Проектирование цеха по производству полужестких минераловатных плит с синтетическими смолами с производительностью 40000 м3/год
Пояснительная записка к
курсовому проекту
Проектирование цеха по
производству полужестких минераловатных плит с синтетическими смолами с
производительностью 40000 м3/год
Введение
Теплоизоляционными материалами называют такие строительные материалы,
которые имеют малую теплопроводность и используются благодаря этому для
тепловой изоляции строительных конструкций зданий, а также горячих и холодных
поверхностей различного оборудования и трубопроводов.
В строительстве тепловая изоляция позволяет
уменьшить толщину ограждающих конструкций (стен, кровли), снизить расход
основных материалов (кирпича, бетона, древесины), облегчить конструкции и
понизить их стоимость, уменьшить расход топлива в эксплуатационный период. В
технологическом и энергетическом оборудовании тепловая изоляция снижает потери
теплоты, обеспечивает необходимый температурный режим, снижает удельный расход
топлива на единицу продукции, оздоровляет условия труда. Чтобы получить
достаточный эффект от применения тепловой изоляции, в инженерных проектах
производятся соответствующие тепловые расчеты, в которых принимаются конкретные
разновидности теплоизоляционных материалов и учитываются их теплофизические
характеристики. Эти мероприятия позволяют успешно решать проблему экономии
топливно-энергетических ресурсов.
До периода рыночных реформ большая часть объема выпускаемых
минераловатных изделий была ориентирована на промышленную теплоизоляцию, а
интересы жилищного строительства, особенно индивидуального, оставались на
втором плане. В настоящее время номенклатура выпускаемой продукции все больше
отвечает условиям жилищного строительства, где наряду с традиционными
требованиями появляются требования по прочности, долговечности, водо- и
атмосфероустойчивости.
Структура объемов выпуска утеплителей в современной России
близка к структуре, сложившейся в передовых странах мира, где волокнистые
утеплители также занимают 60-80% от общего выпуска теплоизоляционных
материалов.
Основной задачей отрасли по производству теплоизоляционных
изделий является вовлечение в сферу производства максимально возможных объемов
побочных продуктов других отраслей и промышленных отходов, образующихся в
весьма большом количестве, исчисляемом миллиардами тонн, при добыче и сжигании
углей, выплавке черных и цветных металлов, производстве и применении стекол,
переработке нефти, производстве удобрений, добыче и переработке руды и нерудных
полезных ископаемых и т.п. Решение этой проблемы кроме значительного
технико-экономического эффекта имеет важное экологическое значение.
1. Номенклатура
выпускаемой продукции
цех технологический производительность
Минеральные плиты является широко распространенным
теплоизоляционным материалом, изготавливают из минерального волокна путем
распыления на него синтетических смол или битума с последующим прессованием и
сушкой.
Плотность плит зависит от вида связующего и уплотнения, и
лежит в диапазоне 75 - 300 кг/м3.
Полужесткие плиты применяют для теплоизоляции ограждающих
конструкций и поверхностей оборудования, доходящую до температуры до 300°С -
если в процессе изготовления плит применялись синтетические связующие; и до
60°С - на битумном связующем.
Плиты на синтетическом связующем выпускают марок от 50 до
300; они имеют большую теплостойкость, чем на битумном связующем (до
100…120°С). Плиты марок 50 и 75 - гибкие, а марок 200 и 300 - жесткие с
прочностью при изгибе не менее 0,2 и 0,4 МПа соответственно.
Применение синтетических смол в качестве связующих веществ в
производстве мягких и полужестких теплоизоляционных изделий из минеральной ваты
позволяет получать плиты, цилиндры, полуцилиндры, сегменты, маты предельно
малыми для этого вида изделий объемными массами при достаточной прочности и
хорошей упругости.
Мягкие и полужесткие минераловатные изделия с синтетическими
смолами выгодно отличаются своими физико-механическими показателями и по
внешнему виду от аналогичных изделий, изготовляемых с использованием других
видов связующих веществ (например, битумов).
2. Характеристика
базового изделия
За базовое изделие дана минераловатная плита с синтетическими
смолами. Плотность на сжатие твердых плит возрастает с количеством вертикально
ориентированных волокон. Прочность на сжатие при 10%-ной деформации в 100 кПа
может быть достигнута при содержании вертикально ориентированных волокон около
65% для минераловатных плит плотностью 15-160 кг/м3, и около 55% -
для плит плотностью 180-190 кг/мў.
Плиты размером 180Ч120 см, а при определенных параметрах
уплотнения до 360Ч120 см экономически целесообразно применять для утепления
стен, перекрытий и покрытий зданий. Придельная температура применения не более
100оС
3. Технологическая
часть
.1
Режим работы цеха
Для расчета технологического оборудования, сырья, списочного
состава рабочих, составляют режим работы цеха.
Таблица 1. Режим работы цеха
|
№
|
Наименование
технологического передела
|
Кол-во рабочих
дней в году, (сут)
|
Кол-во смен в
сутки
|
Длительность
смен, (ч)
|
Годовой фонд
эксплуатационного времени, (ч)
|
Годовой фонд рабочего времени, (ч)
|
|
|
1.
|
Склад сырья
|
265
|
3
|
8
|
63600,85088
|
|
|
|
2.
|
Дробильно-сортировочное
отделение
|
265
|
3
|
8
|
63600,85088
|
|
|
|
3.
|
Плавильное
отделение
|
265
|
3
|
8
|
63600,85088
|
|
|
|
4.
|
Отделение
получение волокна
|
265
|
3
|
8
|
63600,85088
|
|
|
|
5.
|
Термообработки
|
265
|
3
|
8
|
6360
|
0,85
|
5406
|
|
6.
|
Резка и
упаковка
|
265
|
3
|
8
|
63600,85088
|
|
|
|
7.
|
Склад готовой
продукции
|
265
|
3
|
8
|
6360
|
0,9
|
5724
|
3.2
Производительность цеха.
Расчет производительности для каждого технологического
передела производится по формуле:
,
где
- производительность рассчитываемого
передела;
- производительность передела, следуемого за рассчитываемым;
- производственные потери и брак.
Таблица 2. Расчет производительности цеха
|
№
|
Наименование
технологического передела
|
Потери, %
|
Формула для
расчёта
|
Производительность,
мі
|
|
|
|
|
в час
|
в смену
|
в сутки
|
в год
|
|
1.
|
Склад готовой
продукции
|
-
|
-
|
6,29
|
50,3
|
151
|
40000
|
|
2.
|
Резка
|
1
|
6,3550,8152,540404
|
|
|
|
|
|
3.
|
Охлаждение
|
0,5
|
6,3951,08153,2340607
|
|
|
|
|
|
4.
|
Термообработка
|
0,3
|
6,451,23153,6940729
|
|
|
|
|
|
5.
|
Образование
минераловатного ковра
|
2
|
6,5452,28156,8341560
|
|
|
|
|
|
6.
|
Волокно-образование
|
10
|
7,2658,09174,2646178
|
|
|
|
|
|
7.
|
Плавление
|
2
|
7,4159,27177,8147120
|
|
|
|
|
|
8.
|
Перемешивание
|
1
|
7,4859,87179,6147596
|
|
|
|
|
|
9.
|
Дозирование:
|
1
|
7,5660,47181,4248077
|
|
|
|
|
|
1). Сланец
хлоритовый Диабаз
|
5,06
|
40,52
|
121,55
|
32212
|
|
|
|
2). Доломит Известняк
|
2,49
|
19,95
|
59,87
|
15865
|
|
|
|
10.
|
Фракционирование:
|
1,5
|
7,6761,39184,1848809
|
|
|
|
|
|
1). Диабаз
|
|
|
5,14
|
41,13
|
123,4
|
32702
|
|
2). Известняк
|
|
|
2,53
|
20,26
|
60,78
|
16107
|
|
12.
|
Дробление:
|
1
|
7,7562,02186,0549302
|
|
|
|
|
|
1). Диабаз
|
|
|
5,2
|
41,55
|
124,65
|
33032
|
|
2). Известняк
|
|
|
2,55
|
20,47
|
61,4
|
16270
|
|
14.
|
Склад сырья:
|
0,5
|
7,7962,33186,9849550
|
|
|
|
|
|
1). Диабаз
|
|
|
5,22
|
41,76
|
125,28
|
33198
|
|
2). Известняк
|
|
|
2,57
|
20,57
|
61,7
|
16352
|
3.3
Сырьё и полуфабрикаты
Характеристика сырьевых материалов и требования к ним
Основным минералом является диабаз представляет собой
мелкозернистую полнокристаллическую вулканическую породу, которая по своему
химическому и минеральному составу достаточно близка к базальту и чаще всего
имеет чёрный цвет. Характерной чертой данного камня является высокая твёрдость
и значительная прочность на сжатие. Одной из отличительных черт данного
природного камня является сравнительно малое содержание в нем кремнезёма (около
45-52%).
Цвет минерала может быть различным. Встречаются образцы,
которые имеют чёрную, тёмно-серую и даже зеленовато-чёрную окраску. Камень
имеет диабазовую (её ещё называют офитовая) структуру, которая образуется
хаотично расположенными и вытянутыми кристаллами плагиоклаза, всё пространство
между которыми занимает авгит.
Диабаз имеет широкое распространение в регионах с достаточно
пологим залеганием горных пород осадочного происхождения, а также в районах
нахождения вулканических туфов и лав. Образования данного минерала формируют
собой застывшие тела, которые располагаются относительно неглубоко. Мощность
таких залеганий может колебаться от нескольких сантиметров до 200 метров, а в
некоторых случаях и более.
Самой ценной характеристикой этой горной породы считается её
высокая прочность на сжатие, отличная морозостойкость и достаточная твёрдость.
Такими камнями сложены сибирские траппы.
Известняк, осадочная горная порода, состоящая преимущественно
из кальцита СаСО3 (редко из арагонита).
Наиболее частыми примесями в известняк являются доломит,
кварц, глинистые минералы, окислы и гидроокислы железа и марганца, а также
пирит, марказит, фосфаты, гипс, органическое вещество и др. Химический состав
чистых известняков приближается к теоретическому составу кальцита (56% CaО и
44% СО2). При содержании в известняке MgO от 4 до 17% их называют
доломитизированными известняками. При возрастании содержания магния известняк
через ряд промежуточных разновидностей переходят в доломиты. Известняки,
содержащие от 25 до 50% глинистых частиц.
Подбор состава сырьевой шихты
Определение состава шихты для производства минеральной ваты
включает в себя ряд основных требований. Запас сырья, позволяющий изготавливать
минеральную вату из однокомпонентной шихты без добавок, весьма ограничен. В
связи с этим для производства минеральной ваты, соответствующей требованиям
стандарта, шихту составляют из двух, а иногда и из трех компонентов. Основным
критерием при этом является модуль кислотности
=(
+
)/(CaO+MgO),
который представляет собой отношение в шихте суммы кислотных оксидов к
основным. По стандартам
минеральной ваты должен быть не менее 1,5
для высшей и не менее 1,0 для первой категории сырья.
С повышением
увеличивается долговечность минеральной
ваты, так как повышается ее химическая стойкость и, в частности, водостойкость.
К сырью предъявляются следующие требования:
─ химический состав должен обеспечивать невысокую
температуру плавления;
─ реологические свойства расплава, необходимые для
волокнообразования, должны обеспечивать получение ваты, стойкой против действия
эксплуатационных факторов;
─ распространенность сырья и несложность его
предварительной подготовки.
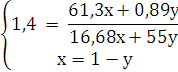
Расчет состава сырьевой шихты
Расчет состава сырьевой шихты для минеральной ваты по заданному
модулю кислотности (
), производим методом составления и
решения алгебраических уравнений.
Обозначим: x-диабаз; y- известняк.
,352+53,648y=61,3-60,41y
y = 37,948/114,058
y = 0,33 (33%)
x = 0,67 (67%)
Таким образом, шихта состоит из 67% диабаза и 33% известняка.
Уточняем величину модуля кислотности. Для этого умножаем
количество окислов исходных материалов шихты на значения x и y.
Таблица 3. Состав шихты
|
Наименование
сырьевых материалов
|
Содержание
окислов, %
|
|
  
|
|
|
|
|
1). Диабаз
|
31,63
|
9,44
|
7,08
|
4,1
|
|
2). Известняк
|
0,23
|
0,06
|
17,92
|
0,23
|
|
Итого:
|
31,869,5254,33
|
|
|
|
|
= = 1,4
|
Расхождение величины модуля кислотности заданного и полученного
составляет менее 5%, следовательно, состав шихты удовлетворяет условию
получения расплава с
=1,4.
.4
Технологический процесс производства
Технологическая схема производства полужестких минераловатных
плит.
Технологическая линия производства минераловатных плит
представляет собой непрерывную конвейерную линию.
Сырьевые материалы храниться на складе сырья, откуда подаются
2-мя ленточными транспортерами на дробление в щековые дробилки (ЩДС1,6Ч2,5 и
ЩДС 2,5Ч4. Далее транспортируются в отделении фракционирования, в котором
установлено два горизонтальных вибрационных грохота), после чего происходит
дозирование каждого компонента шихты, дозаторами типа АВДИ-1200М, и поступление
их в плавильное отделение. В плавильном отделении установлена вагранка, в
которой получают силикатный расплав при температуре до 1600 оС
Вагранки относятся к группе шахтных противоточных пересыпных
печей. Рабочей камерой вагранки является шахта, сваренная из листовой стали
толщиной 10-14 мм. Нижняя часть шахты выполнена в виде полого цилиндра, в
концентрическом пространстве которого непрерывно циркулирует вода, охлаждающая
внутреннюю его поверхность. Этот конструктивный элемент вагранки,
представляющий собой водяную рубашку называют обычно ватержакетом (по
английской терминологии). Максимальная температура воды, вытекающей из
ватержакета, 70°С. Верхняя часть корпуса футерована изнутри огнеупорным
кирпичом, а в зоне загрузки материала - чугунными сегментами, способными
воспринимать ударные нагрузки загружаемого материала.
Днище шахты (под, лещадь) выполняют (для удобства ремонта)
раскрывающимся двухсекционным, укрепленным на шарнирах. Изнутри днище
футеровано огнеупорной набивкой 5 с уклоном для стока расплава к выгрузочному
отверстию - летке 6. Конструктивно летку оформляют в виде водоохлаждаемой трубы
диаметром 55-65 мм, укрепленной в ватержакете. В нижней части ватержакета
вмонтированы фурмы - трубы диаметром 50-100 мм, через которые воздух поступает
в шахту из кольцевого коллектора. В последний воздух нагнетает дутьевой
вентилятор, или воздуходувка. Фурмы располагают в один или два ряда, а иногда
даже в три ряда. Количество фурм в одном ряду 8-16.
Процесс волокнообразования при получении минерального волокна
из силикатных расплавов идет при больших скоростях, поэтому его нельзя
наблюдать визуально или рассматривать при помощи обычной фототехники.
Удовлетворительные результаты можно получить только с помощью высокоскоростной
киносъемки
Центробежно-дутьевой способ (ЦДС). Этот способ основан на
превращении струи расплава в пленку и струйки центробежной силой вращающейся
чаши и последующем вытягивании в волокно при помощи энергоносителя. Схема
центробежно-дутьевой установки представлена на рис.
Расплав из вагранки с температурой 1300-1350°С по лотку
стекает на внутреннюю часть боковой стенки чаши центрифуги. При вращении чаши с
частотой 1000 - 4000 об/мин. расплав распределяется по ее периметру и срывается
с кромок чаши в виде пленок, струек и капель. Последние подхватывает поток
энергоносителя, и под совместным действием центробежных и аэродинамических сил
из струек образуются волокна.
Раздаточные чаши имеют различную конструкцию: медные с
водяным охлаждением, керамические неохлаждаемые, стальные с частичным или
полным охлаждением и др. Вокруг чаши на расстоянии 5-15 mim от ее «рая находится
неподвижное дутьевое - кольцо. По окружности его расположены отверстия диаметром
2-4 мм на расстоянии 15-20 мм одно от другого. Чтобы обеспечить большие
скорости в качестве энергоносителя, как правило, применяют пар или воздух с
давлением 0,6-0,8 МПа.
Центрифуги такой конструкции позволяют перерабатывать до 3
т/ч расплава и получать минеральную вату с объемной массой 85-120 кг/м3. Они
просты в изготовлении и эксплуатации.
При использовании в качестве связующего фенолоспиртов
температуру в камере волокноосаждения необходимо поддерживать в пределах 40-50°
С во избежание преждевременного отвердевания смолы, что затрудняет последующую
подпрессовку ковра и снижает качество изделий.
Рабочий раствор смолы распыляется в головной части камеры
соплами или механическими форсунками (одна или несколько), расставленными по
ширине конвейера камеры.
Смолы поступают на заводы по железной дороге или
автотранспортом в цистернах или бочках, затем их сливают в приемный бак
центрального склада. Со склада смолу перекачивают насосом в расходный бак
концентрированной эмульсии, установленный в цехе вблизи вагранок, откуда
самотеком через дозатор смола поступает в бак-смеситель для разведения водой. В
этот же бак подают воду с температурой 60-70° С. Продолжительность
перемешивания смолы при разведении 3-5 мин. Из бака-смесителя рабочий раствор
фенолоспиртов либо подается в расходный бак, также оборудованный мешалкой, либо
самотеком непосредственно по трубопроводу поступает через контрольную воронку в
камеру осаждения к узлам распыления. Технологические схемы некоторых заводов
имеют два бака-смесителя для разведения смол, из которых смолу рабочей
концентрации расходуют попеременно. Расход смол регулируют при помощи
пробкового спускного крана и калиброванных головок различного диаметра,
установленных перед воронкой.
Поступающие на минераловатные заводы фенолоспирты обычно
имеют концентрацию 50%, а рабочая концентрация раствора должна быть от 12 до
17%, поэтому фенолоспирты необходимо разводить в соотношении смола: вода,
равном от 1,2 до 3,5. Расход фенолоспиртов в пересчете на сухое вещество на 1 м3
изделий составляет в среднем для плит с объемными массами 125, 150, 200 кг/м3
соответственно 18,7; 22,5 и 30 кг.
Теплоносителем служат дымовые газы, получаемые сжиганием
топлива в специальных топках, откуда газы, смешанные с воздухом, подаются
вентилятором в верхнюю часть зоны отверждения. Затем газы просасываются через
высушенный минераловатный ковер, направляются промежуточным вентилятором в
нижнюю часть зоны сушки, где они просасываются снизу вверх через влажный ковер,
и из верхней части зоны сушки выбрасываются вентилятором в атмосферу (могут
быть и другие схемы потоков газов) Температура дымовых газов в зоне отверждения
180-200° С, в зоне сушки 120-130° С и в выхлопной трубе 105-110° С. Давление
газов в верхней части зоны отверждения не должно превышать 70 Па (7 мм вод. ст.),
что предусмотрено условиями охраны труда для работающих в цехе (возможно
выбивание газов в цех).
Минераловатный ковер с введением в него связующих
представляет собой анизотропную волокнистую пространственную систему с
преимущественно горизонтальным расположением волокон. Уплотнение волокнистого
ковра при конвейерном способе производства изделий осуществляют путем
приложения нагрузки перпендикулярно плоскости преимущественной ориентации
волокон При этом элементарное волокно работает на поперечный изгиб как
неразрезная свободно опертая балочка, опорами которой в данном случае являются
точки пересечения горизонтально ориентированных волокон.
Обязательное наличие в волокнистом ковре волокон другой
ориентации, а также волокон криволинейной формы предопределяет упругие свойства
волокнистого ковра. Поэтому после снятия уплотняющей нагрузки упругие
деформации исчезают и первоначальная толщина ковра частично восстанавливается.
Пластические реформации ковра предопределяют неполное восстановление его
первоначальной толщины.
Так как минераловатный ковер представляет собой не сплошное
тело, а дискретную пространственную систему, то с точки зрения классической
механики термины «упругая» и «пластическая» деформации к нему не применимы.
Поэтому деформации волокнистого ковра принято называть «восстанавливающаяся» и
«остаточная».
Доля остаточной деформации минераловатного ковра независимо
от усилия прессования составляет примерно 70%. Поперечная же деформация
волокнистого ковра очень мала и не превышает 0,1%. Таким образом, напряженное
состояние ковра под нагрузкой ближе всего к состоянию «чистого» сжатия.
Наличие восстанавливающейся деформации вызывает необходимость
применения фиксирующих устройств, обеспечивающих получение изделий заданной
толщины. Так как наиболее жесткое закрепление волокнистого каркаса может быть
достигнуто после отверждения связующего, которое происходит при тепловой
обработке, то фиксирующие устройства устанавливаются в камере тепловой
обработки. Эту роль выполняет конвейер, расположенный в верхней части камеры
термообработки. Нижняя лента этого конвейера фиксирует толщину ковра,
пропитанного связующим, двигаясь с одинаковой с ним скоростью вдоль камеры.
Таким образом, вплоть до отверждения связующего ковер зажимается между верхней
лентой нижнего и нижней лентой верхнего конвейеров, чем и обеспечивается
фиксация его толщины. На некоторых заводах в качестве фиксирующего устройства
применяют рольганг вместо верхнего конвейера
Из камеры термообработки ковер с температурой 140-160°С
поступает через рольганг подпрессовщика на конвейер камеры охлаждения, где
через него вентилятором просасывается атмосферный воздух, охлаждающий ковер до
20-40° С. Затем ковер поступает на продольную и поперечную разрезку ножами,
после чего маты укладывают стопами на щиты и вывозят на склад готовой
продукции, где их упаковывают в водонепроницаемую бумагу и жесткую тару.
.5
Расчёт основного технологического оборудования
Количество необходимого оборудования находят по формуле:
n =
где k - коэффициент использования оборудования (0,8 ч0,9) на
данном технологическом переделе,
Ошибка! Закладка не определена.- часовая производительность оборудования,
Ошибка! Закладка не определена.-требуемая производительность.
. Ленточный транспортёр для подачи сырья на дробление.
Часовая производительность:
Ошибка! Закладка не определена.=b·h·v,
где b - ширина ленты (0,4 ч 0,6 м), принимаем b= 0,5 м;
h - толщина слоя материала на транспортере (0,1 ч 0,2 м),
принимаем h=0,2
м;
v - скорость движения ленты на транспортере (60 ч 120 м/ч),
принимаем v
= 100 м/ч.
Ошибка! Закладка не определена.=0,5·0,2·100 = 10,00 м3/ч
|
1). Диабаз
|
n = = 0,643 ≈
1 шт.
|
|
2). Известняк
|
n = = 0,316 ≈
1 шт.
|
. Щековая дробилка.
Таблица 4. Технические характеристики щёковой дробилки
|
Характеристики
|
ЩДС 1,6Ч2,5
(для известняка)
|
ЩДС 2,5Ч4 (для
диабаза)
|
|
Мощность
электродвигателя, кВт
|
7,5
|
17
|
|
Производительность
на номинальной щели, м3/ч
|
3,0
|
7,8
|
|
Габаритные
размеры, м: длина ширина высота
|
0,88 1,07
1,085
|
1,33 1,25
1,435
|
|
Размеры
приёмного отверстия (lЧb), мм
|
160Ч250
|
250Ч400
|
|
Наибольшая
крупность материала, мм
|
130
|
210
|
|
Угол захвата,
єС не более
|
15
|
16
|
|
Номинальная
выходная щель, мм
|
30
|
40
|
|
Диапазон
изменения выходной щели, %
|
±15
|
+40 -20
|
|
Масса дробилки
без электродвигателя, т
|
1,37
|
2,56
|
|
1). Диабаз
|
n = = 0,83 ≈ 1
шт.
|
|
2). Известняк
|
n = = 1,063 ≈
2 шт.
|
. Горизонтальный вибрационный грохот.
Часовая производительность:
Ошибка! Закладка не определена.= 0,65·F·q·k1·k2
Ошибка! Закладка не определена.= 159,67
Ошибка! Закладка не определена.68,29
где
- площадь сита (6,4 м2);
q - удельная производительность 1 м2 сита (60ч64 м3/ч),
принимаем q1= 89; q2=64
k1 -
коэффициент, учитывающий процент содержания зёрен нижнего класса в исходном
материале, k1=0,92; k2=0,76;
- коэффициент, учитывающий процент содержание в нижнем классе
зёрен, размеры которых меньше половины размера отверстия сита k1=1, k2=0,72.
|
1). Диабазn = = 1 шт.
|
|
|
2). Известняк
|
n = = 0,0463 ≈
1 шт.
|
. Ленточный транспортёр для подачи сырья на дробление.
Ошибка! Закладка не определена.=0,5·0,2·100 = 10,00 м3/ч
|
1). Диабазn = = 0,633 ≈ 1 шт.
|
|
|
2). Известняк
|
n = = 0,311 ≈
1 шт.
|
|
|
. Дозаторы.
Дозаторы подбираются по пределам взвешивания в м3.
Принимаем комплект дозаторов системы АВД. Пределы взвешивания 0,8 ч 15 м3.
Тип дозатора АВДИ - 1200М.
|
1).n = = 0,422 ≈
1 шт.
|
|
|
2).
|
n = = 0,208 ≈
1 шт.
|
. Оборудование плавильного отделения.
Плавильный агрегат: Вагранка.
Таблица 5. Техническая характеристика вагранки
|
Производительность
по расплаву Вр кг/ч
|
1355
|
|
Съем с 1 м2
пода кг/(м2 ч)
|
1063
|
|
Температура
(средняя) Загруженного сырья Дутья Колошниковых газов Расплава при вытекании
из летки
|
21 21 440 1290
|
|
Давление
воздуха, создаваемое вентилятором в фурменном поясе, Па (мм вод. ст.)
|
4100 (418)
|
|
Расход воздуха,
м3/ч
|
3190
|
|
Объем отходящих
газов, кг/ч
|
4500
|
|
Высота столба
шихты, м: Выше уровня подины Участвующего в теплообмене
|
3,25 1,85
|
|
Высота
(примерная) холостой коксовой колоши выше уровня подины, м
|
1,4
|
Принимаем к установке 1 вагранку.
. Оборудование отделения волоконообразования.
Центробежно-дутьевая установка для получения волокон:
диаметр волокон - 6,0ч 8 мкм,
длина волокон - 18 ч 23 мм,
мощность ЦДС установки - 1 кВт
производительность ЦФД установки - 2,6 т/ч.
Принимаем 1 установку
. Оборудование отделения волокноосаждения
Принимаем камеру волокноосаждения типа СМТ - 093,
мощность 250 кВт,
Устанавливаем 1 камеру.
. Оборудование для сушки.
мощность 150 кВт
Принимаем 1 установку.
. Оборудование для охлаждения
Камера охлаждения СМТ-100
СМТ-100
Ошибка! Закладка не определена.=402 кг/ч
Мощность N = 120кВт
10. Оборудование для резки.
Станок для резки минераловатного ковра СМТ - 098,
производительность - 900 м/ч,
мощность - 33,6 кВт.
Принимаем 1 установку.
Таблица 6. Сводная ведомость оборудования
|
№
|
Наименование
оборудования
|
Кол-во, шт.
|
Примечание
|
|
1.
|
Щековая
дробилка
|
2
|
Мощность N = 7,8; 3 кВт
|
|
1). Диабаз
|
1
|
ЩДС 1,6Ч2,5
|
|
2). Известняк
|
1
|
ЩДС 2,5Ч4
|
|
2.
|
Ленточный
транспортёр
|
3
|
Ширина ленты -
0,5 м Скорость - 100 м/ч Мощность N = 2,8
кВт
|
|
1). Диабаз
|
2
|
|
|
2). Известняк
|
1
|
|
3. Горизонтальные вибрационные грохоты 2 Ошибка! Закладка не определена.=136,58 м3/ч
q= 60
|
Мощность N = 3кВт
|
|
|
1). Диабаз
|
1
|
|
|
2). Известняк
|
1
|
|
|
4.
|
Ленточный
транспортёр
|
3
|
Ширина ленты -
0,4 м Скорость - 120 м/ч Мощность N = 2,8
кВт
|
|
1). Диабаз
|
2
|
|
|
2). Известняк
|
1
|
|
|
5
|
Дозаторы
|
2
|
АВДИ-1200М, N = 1кВт Пределы взвешивания -15 м3
|
|
1). Диабаз
|
1
|
|
|
2). Известняк
|
1
|
|
|
6.
|
Вагранка
|
1
|
Ошибка!
Закладка не определена.=1355
кг/ч
|
7. Установка ЦДС 1 Ошибка! Закладка
не определена.=2,6 т/ч
Диаметр 6,0ч 8 мкм
8. Камера волокноосаждения 1 СМТ
- 093 Ошибка! Закладка не определена.=2500 кг/ч
|
Мощность N = 250 кВт
|
|
|
9.
|
Камера тепловой
обработки
|
1
|
СМТ-195
Мощность N=150 кВт. Ошибка! Закладка не
определена.=452 кг/ч
|
10. Камера охлаждения 1 СМТ-100 Ошибка!
Закладка не определена.=402 кг/ч
11. Станок для резки минераловатного ковра 1 СМТ
- 098 Ошибка! Закладка не определена.= 900 м/ч
.6
Расчёт потребности цеха в энергоресурсах
Производим расчет потребности цеха в электроэнергии и
результаты сводим в таблицу.
Таблица 7. Ведомость потребности цеха в электроэнергии
|
Наименование
Оборудования
|
Кол-во шт.
|
Мощность
|
Продолжительность
работы в смену
|
Коэффициент
используемой мощности
|
Потребляемая
электроэнергия, кВт/ч
|
|
|
ед.
|
общ.
|
|
|
|
|
Ленточный
транспортёр
|
4
|
2,8
|
16,87,20,9108,9
|
|
|
|
|
Щековая
дробилка ЩДС 1,6Ч2,5
|
2
|
7,8
|
17
|
7,2
|
0,9
|
110,16
|
|
Щековая
дробилка ЩДС 2,5Ч4
|
1
|
3
|
3
|
7,2
|
0,9
|
19,44
|
|
Грохот
|
2
|
4,5
|
9
|
7,2
|
0,9
|
58,32
|
|
Дозатор
|
2
|
1
|
2
|
7,2
|
0,9
|
12,96
|
|
Установка ЦФД
|
1
|
1
|
17,20,96,48
|
|
|
|
|
Камера
волокно-осаждения
|
1
|
250
|
2507,20,91620
|
|
|
|
|
Камера тепловой
обработки
|
1
|
150
|
150
|
7,2
|
0,9
|
972
|
|
Камера
охлождения
|
1
|
120
|
120
|
7,2
|
0,9
|
777,6
|
|
Станок для
резки
|
1
|
33,6
|
33,67,20,9217,73
|
|
|
|
|
Расход электроэнергии
в смену
|
3885,59
|
Расход электроэнергии:
- часовой: 485,7 кВт
сменный: 3885,59кВт
суточный: 11656,77 кВт
годовой: 4254721,05 кВт
.7
Штатная ведомость цеха
Таблица 8. Штатная ведомость цеха
|
п/п
|
Наименование
профессии
|
Количество
работающих
|
Длительность
смены
|
Количество
чел.-час.
|
|
|
1 см.
|
2 см.
|
3 см.
|
всего
|
|
сут
|
год
|
|
А.
Производственные рабочие
|
|
1
|
Оператор
ленточных питателей
|
4
|
4
|
4
|
1289625440
|
|
|
|
|
2
|
Оператор
дробилки
|
3
|
3
|
3
|
987219080
|
|
|
|
|
3
|
Оператор
вибра-ционных грохотов
|
2
|
2
|
2
|
684812720
|
|
|
|
|
4
|
Оператор
дозаторов
|
2
|
2
|
2
|
684812720
|
|
|
|
|
5
|
Оператор печи
|
1
|
1
|
1
|
38246360
|
|
|
|
|
6
|
Оператор узла
волокно-образования
|
1
|
1
|
1
|
38246360
|
|
|
|
|
7
|
Оператор узла
волокноосаждения
|
1
|
1
|
1
|
38246360
|
|
|
|
|
8
|
Оператор
термообработки
|
1
|
1
|
1
|
38246360
|
|
|
|
|
9
|
Оператор резки
|
1
|
1
|
1
|
38246360
|
|
|
|
|
10
|
Кладовщик
|
1
|
1
|
1
|
38246360
|
|
|
|
|
Итого:
|
17171751-408108120
|
|
|
|
|
|
|
|
Б. Цеховой
персонал
|
|
1
|
Начальник цеха
|
1
|
-
|
-
|
1
|
8
|
82120
|
|
|
2
|
Мастер смены
|
1
|
1
|
1
|
3
|
8
|
246360
|
|
|
3
|
Дежурный
слесарь
|
1
|
1
|
1
|
3
|
8
|
246360
|
|
|
4
|
Дежурный
электрик
|
1
|
1
|
1
|
3
|
8
|
246360
|
|
|
5
|
Технолог
|
1
|
-
|
-
|
1
|
8
|
82120
|
|
|
6
|
Лаборант
|
2
|
2
|
-
|
4
|
8
|
328480
|
|
|
7
|
Уборщица
|
2
|
2
|
2
|
6
|
8
|
4812720
|
|
|
Итого:
|
10
|
7
|
3
|
20
|
8
|
16044520
|
|
|
Всего:
|
21181453-520152640
|
|
|
|
|
|
|
4. Контроль
технологических процессов производства и качества готовой продукции
Размеры, правильность геометрической формы, плотность,
влажность, содержание органических веществ определяют по ГОСТ 17177.
Пробу для определения влажности, содержания органических
веществ составляют из пяти точечных проб, отобранных в четырех углах и
посередине каждой плиты, попавшей в выборку.
Теплопроводность определяют по ГОСТ 7076, ГОСТ 30256 или ГОСТ
30290. Образцы для испытания вырезают по одному из каждой плиты, попавшей в
выборку.
Сжимаемость определяют по ГОСТ 17177. Образцы для испытания
вырезают по два из каждой плиты, попавшей в выборку.
Сжимаемость после сорбционного увлажнения определяют по ГОСТ
17177 со следующими дополнениями:
для выдержки образцов во влажных условиях применяют эксикатор
по ГОСТ 25336, гидростат или другие сосуды, герметически закрывающиеся и
обеспечивающие относительную влажность воздуха (98±2)%;
образцы для испытания вырезают по два из каждой плиты,
попавшей в выборку;
образцы выдерживают при относительной влажности воздуха
(98±2)% и температуре (22±5)°С в течение 72 ч, после чего определяют
сжимаемость.
Прочность на сжатие при 10%-ной деформации определяют по ГОСТ
17177. Образцы для испытания вырезают по два из каждой плиты, попавшей в
выборку.
Прочность на сжатие при 10%-ной деформации после сорбционного
увлажнения определяют по ГОСТ 17177 со следующими дополнениями:
для выдержки образцов во влажных условиях применяют эксикатор
по ГОСТ 25336, гидростат или другие сосуды, герметически закрывающиеся и
обеспечивающие относительную влажность воздуха (98±2)%;
образцы для испытания вырезают по два из каждой плиты,
попавшей в выборку;
образцы выдерживают при относительной влажности воздуха
(98±2)% и температуре (22±5)°С в течение 72 ч, после чего определяют прочность
на сжатие при 10%-ной деформации.
Водопоглощение определяют по ГОСТ 17177 при частичном
погружении образцов в воду. Образцы для испытания вырезают по два из каждой
плиты, попавшей в выборку.
Санитарно-химическую оценку плит проводят специализированные
лаборатории или органы санитарного надзора по действующим методикам.
Примечание - До испытания плиты должны выдерживаться не менее
2 мес в проветриваемом помещении.
На всех стадиях производства изделий регулярно производится
контроль качества.
Таблица 9. Виды контролируемых параметров
|
№
|
Контролируемый
параметр
|
Периодичность
контроля
|
Наименование
метода или контролирующего прибора
|
Место отбора
проб и измерений
|
|
1
|
Фракционный
состав сырья
|
1-2 раза в
смену
|
Ситовой анализ
|
Отделение
дробления
|
|
2
|
Дозировка
|
2-4 раза в
смену
|
Весовой
контроль
|
Бункер дозатора
|
|
3
|
Плавление
материала а) уровень шихты б) стабильность и стечение расплава в) содержание
СО2 в отход. газах. г) температура плавления
|
2-4 раза в
смену
|
Автоматические
приборы, счетчики, газоанализ
|
Вагранка
|
|
4
|
Волокнообразование
а) диаметр и длина волокон б) количество корольков
|
2-3 раза в
смену
|
Микроскоп,
прибор для определения количества корольков.
|
Камера
волокно-осаждения
|
|
5
|
Влажность
изделия
|
2-3 раза в
смену
|
Сушильный шкаф
|
Резательная
установка
|
|
6
|
Средняя
плотность и теплопроводность изделия
|
2-3 раза в
смену
|
Линейка,
штангельциркуль
|
Резательная
установка
|
|
7
|
Скорость
движения конвейера
|
2-3 раза в
смену
|
Тахометр
|
Конвейер
|
|
8
|
Проверяется
каждая партия
|
Измерительные
приборы по МРТУ 7-19-68
|
Склад
|
5. Технико-экономическая
часть
Удельные трудовые затраты:
= = = 10,97 чел. ч/год
где
- количество человеко-часов в год;
- годовая производительность завода.
Баланс времени 1 рабочего:
Количество календарных дней в году - 365
Нерабочее время в году:
- выходные дни: 100 дней
очередной отпуск: 28 дней
праздники: 30 дней
по болезни: 5 дней
Всего - 163 дней
Тогда количество дней отработанных одним рабочим в году составляет
209 дней (
)
Коэффициент перехода от явочного к списочному количеству
работающих:
,
где
- количество дней работы предприятия в
году
= 270 дня;
Кп = 1 + =1,31
Списочное количество рабочих:
,
где
- явочное количество рабочих;
Кс = 73· 1,31 = 96,94 ≈ 97 чел.
Производительность труда или показатель выработки одного рабочего:
= = = 412,37 м3/чел.
Энерговооружённость:
Э =
,
где
- расход электроэнергии в смену.
Э = = 52,57 кВт/чел. ч
Съём продукции с 1 м2 производственной площади:
С = = = 15,43 м3/м2
где
- площадь цеха (размеры цеха 18Ч144 м)
Таблица 10. Технико-экономические показатели
|
№ п/п
|
Наименование
показателей
|
Единица
измерения
|
Количество
|
|
1.
|
Годовая
производительность
|
м3/год
|
40000
|
|
2.
|
Расход
электроэнергии
|
кВт/год
|
3092502,3
|
|
3.
|
Удельные
трудовые затраты
|
чел. ч/год
|
10,97
|
|
4.
|
Удельный расход
электроэнергии
|
кВт/м3
|
77,31
|
|
5.
|
Производительность
труда
|
м3/чел
|
412,37
|
|
6.
|
Энерговооруженность
|
кВт/чел. ч
|
52,57
|
|
7.
|
Съём продукции
с 1 м2 производственной площади
|
м3/м2
|
15,43
|
Список
используемой литературы
1. Горлов Ю.П. и др. «Технология
теплоизоляционных материалов», 1980 г. Стройиздат.
2. Перегудов В.В. и др. «Тепловые процессы
и установки в технологии строительных изделий и деталей. М.: Стройиздат, 1983
г., 416 с.
. Горяйнов К.Э., Горяйнова С.К.
«Технология теплоизоляционных материалов и изделий», 1982 г., Стройиздат.
. Китайцев В.А. «Технология
теплоизоляционных материалов», 1970 г., Стройиздат.
. Горяйнов К.Э. и др. «Технология
теплоизоляционных материалов и лёгких бетонов», 1976 г., Высшая школа.
. Евстратов В.А. Методические указания к
выполнению курсовой работы по дисциплине «Технология изоляционных строительных
материалов и изделий», Волгоград, 1994 г.