Модернизация схемы блока управления для привода Fm-Stepdrive фирмы siemens с целью расширения функциональных возможностей

  • Вид работы:
    Курсовая работа (т)
  • Предмет:
    Информатика, ВТ, телекоммуникации
  • Язык:
    Русский
    ,
    Формат файла:
    MS Word
    175,43 Кб
  • Опубликовано:
    2014-02-18
Вы можете узнать стоимость помощи в написании студенческой работы.
Помощь в написании работы, которую точно примут!

Модернизация схемы блока управления для привода Fm-Stepdrive фирмы siemens с целью расширения функциональных возможностей

Департамент образования города Москвы

Государственное бюджетное образовательное учреждение

среднего профессионального образования

Политехнический колледж № 19








Курсовой проект

«Модернизация схемы блока управления для привода Fm-Stepdrive фирмы siemens с целью расширения функциональных возможностей»

 

 

 

Дисциплина: «Микропроцессоры и микропроцессорные системы»

Специальность: 230101 «Вычислительные машины, комплексы, системы и сети»

Разработал:         Маевский К.И.

Руководитель: Пехотник Н.Р.

Москва 2013г.

Содержание

1.       Пояснительная записка

Введение

.1       Обоснование выбора схемы БУ для привода fm-stepdrive

.2       Описание работы БУ привода Fm-Stepdrive по схеме электрической структурной

.3       Необходимость модернизации схемы БУ привода fm-stepdrive

.4       Обоснование выбора элементной базы модернизированной схемы fm-steprive

.5       Описание работы fm-steprive по схеме электрической принципиальной модернизированной

.        Расчётная часть проекта

.1       Расчет временных соотношений командного цикла ЦАП БИС AT90S2313

.2       Расчет надежности модернизированной схемы БУ fm-stepdrive

Заключение

Список используемой литературы

1. Пояснительная записка

Введение

История развития бытовой и промышленной микропроцессорной аппаратуры тесно связана с развитием средств ЭВТ.

За время своего развития средства ЭВТ прошли ряд этапов, которые принято называть поколениями. Компьютеры на основе электронных лучевых ламп появились в 40-х годах XX века.

Примерами машин I-го поколения могут служить Mark 1, ENIAC, EDSAC (Electronic Delay Storage Automatic Calculator), - первая машина с хранимой программой. UNIVAC (Universal Automatic Computer). Первый экземпляр Юнивака был передан в Бюро переписи населения США. Позднее было создано много разных моделей Юнивака, которые нашли применение в различных сферах деятельности. Таким образом, Юнивак стал первым серийным компьютером. Кроме того, это был первый компьютер, где вместо перфокарт использовалась магнитная лента.

Во втором поколении большие достижения в архитектуре компьютеров позволило достичь быстродействия в миллион операций в секунду. Примерами транзисторных компьютеров могут послужить "Стретч" (Англия), "Атлас" (США). В то время СССР шел в ногу со временем и выпускал ЭВМ мирового уровня (например "БЭСМ-6").

Появление интегральных схем ознаменовало собой новый этап в развитии вычислительной техники - рождение машин третьего поколения. Интегральная схема, которую также называют кристаллом, представляет собой миниатюрную электронную схему, вытравленную на поверхности кремниевого кристалла площадью около 10 мм2. Основным отличием третьего поколения от второго является то что появились первые операционные системы, а также появился режим мультипрограммирования. Появление ИС означало подлинную революцию в вычислительной технике. Ведь она одна способна заменить тысячи транзисторов, каждый из которых в свою очередь уже заменил 40 электронных ламп. Быстродействие ЭВМ третьего поколения возросло в 100 раз, а габариты значительно уменьшились.

Силовая часть Fm-Stepdrive в составе системы ЧПУ SINUMERIK 802S достаточно широко представлена на рынке в различных системах автоматизации для обрабатывающих станков. Fm-Stepdrive применяется для управления шаговыми двигателями SIMOSTEP серии 1FL3 и вместе с функциональными модулями FM-NC, FM 353 и FM357-2 выполняет высокоточные задачи позиционирования в диапазоне мощности от 50 до 600 Вт. Блок Fm-Stepdrive модет применяться для шаговых двигателей в диапазоне крутящего момента от 2 до 15 Нм, его основные параметры приведены чуть далее.

Фактически силовая часть Fm-Stepdrive представляет собой привод с законченным интерфейсом управления. Поэтому в дальнейшем мы будем употреблять термин «привод». Данные приводы имеют высокую надежность и достаточно простой интерфейс управления.

Подобные приводы с шаговым двигателем могут найти применение не только в составе систем ЧПУ, но и везде, где необходимо решать задачи высокоточного позиционирования.

Питание силовой части (через винтовой клеммник Х1 привода А1) может быть 115 или 230 В, для этого необходимо подключить соответственно к контакту 3 или 4 клеммника Х1. Индикаторы состояния обеспечивают визуальное отображение диагностики состояния привода (короткое замыкание фаз двигателя, перегрев силовой части т.д.). Если привод находится в рабочем режиме включены зеленые индикаторы GTE и RDY. При различных неисправностях включаются другие индикаторы. Привод управляется с помощью сигналов импульсного (соединитель Х3 привода А1) и сигнального (соединитель Х4 привода А1) интерфейсов. Через импульсный интерфейс подаются следующие сигналы:

PULSE (вход) - тактовые импульсы;

DIR (вход) - сигнал направления движения;

ENABLE (вход) - сигнал разрешения работы;

READY1_N (выход) - сигнал готовности.

микропроцессоров. Процессоры семейства Intel Core 2 изготовлены по 45-нанометровой производственной технологии с использованием соединений гафния и отличаются повышенной производительностью и малым энергопотреблением.

В 2008 году выпущен процессор Core i7, который окончательно отошел от традиционной шины в пользу QuickPath Interconnect, которая являлась аналогом HyperTransport от AMD. Это двухточечное межкомпонентное соединение (point-to-point interconnect) позволяет намного быстрее осуществлять связь между процессором и различными подсистемами. На сегодняшний день в продаже есть три Core i7 - Core i7-920, Core i7-940 и Core i7-965 - все производятся с использованием 45 нм технологии, имеют 731 млн транзисторов и 8 МБ вторичный кэш. Тактовая частота процессора составляет от 2.66 ГГц до 3.2 ГГц.i7 имеет размер кристалла в 263 кв. мм, по сравнению с площадью кристалла в 143 кв. мм у Core 2.

В 2011 году вышли в свет процессоры Nano, работающие в диапазоне частот от 1 ГГц до 1.8 ГГц с 533 МГц или 800 МГц. Имеют вторичную кэш-память до 1 МБ и поддерживают инструкции MMX, SSE, SSE2, SSE3 и SSSE3.

К 80-ым годам в нашей стране уровень практического использования ЭВМ был крайне низок и из-за этого была широко распространена компьютерная безграмотность. В связи с этим была начата реформа о профессиональном техническом образовании, . Были выделены средства на оснащение вычислительных центров, компьютерных классов, учебных лабораторий средствами ЭВМ, а предметы «Основы информатики», «Программирование» были введены во все учебные планы школ, колледжей, вузов, даже на не профилирующие, специальности.

В свете вышеизложенного в данном курсовом проекте модернизируется схема MP-3 Flash-плеера с использованием новых элементов, с целью повышения производительности и поддержки большего объема памяти.

.1 Обоснования выбора схемы БУ для привода fm-stepdrive

БУ Fm-Stepdrive - предназначен для силовая части FM STEPDRIVE с высокой точностью управляет шаговыми двигателями SIMOSTEP серии 1FL3. В комбинации с СЧПУ SINUMERIK 802S и функциональными модулями FM 353 и FM 357-2 решаются высокоточные задачи позиционирования в нижнем диапазоне мощности 600 Вт.STEPDRIVE может использоваться для шаговых двигателей в диапазоне моментов вращения от 2 Nm до 15 Nm.

Технические параметры fm-stepdrive:

Напряжение питания - 115В/230AC ±20 % переключаемое

Входной ток, макс. - 11А/5.5А

Частота - 47Гц…63Гц

Подключение через клеммы макс. - 2,5 мм2

Напряжение питания (сигналы) - 24В DC (20,4 B до 28,8 В)

Входной ток, макс. - 1.5А

Напряжение промежуточного контура - 325 В

Импульсный интерфейс - сигналы 5 В2) 15-ти полюсное гнездо Sub-D, стандартный кабель

Сигнальный интерфейс - 24 В, сигналы I/O2)

Подключение двигателя - 3 x 325 В (соединен с сетью)

Фазный ток - 1.7А…6,8А (устанавливается на приборе)

Длина кабеля, макс. - до 50 м при 1.5мм2 до 30 м при 0,75мм2

Соединительные клеммы для макс. - 2,5мм2

Количество шагов/оборот - устанавливается на 500, 1000, 5000, 10000

Класс защиты по DIN EN 60529 (IEC 60529) - IP20, требуется установка в шкаф

Наличие росы - не допускается

Допустимая внешняя температура:

Хранение и транспортировка -40°C ...+70 °C

Эксплуатация 0 °C ...+60 °C с уменьшением мощности и в зависимости от позиции установки

Вес, размеры (Д х В х Ш) - 0,85 кг, 80 мм х 125мм х 118

Крупные изменения в архитектуре появились у микропроцессора Intel 80486. Он имел частоту 25 МГц с быстродействием 20 MIPS и встроенный математический сопроцессор. Шина данных - 32 бита, количество транзисторов 1,2 миллиона, технология изготовления 1 мкм, адресуемая память 4 Гбайта, виртуальная память 64 Тбайт. Появился кэш первого уровня.Pentium - первый суперскалярный и суперконвеерный процессор. Работает на частотах от 60 до 233 МГЦ. Особенностью является полностью переработанный блок FPU.

В 1995 году фирма Intel выпустила Pentium Pro, у которого в чипе были заложены: блоки предсказания ветвлений, RISC-ядро, переименование регистров.

У Pentium III выпущенного в 1999 году, добавили инструкции SSE (потоковое SIMD-расширение процессора, т.е. одна инструкция - множество данных).Core 2 Duo - процессоры Core 2 Duo работают на частотах от 1,86 до 2,66 ГГц. Core 2 - восьмое выпущенное корпорацией Intel поколение

.2 Описание работы БУ привода Fm-Stepdrive по схеме электрической структурной

Структурная схема Fm-Stepdrive а приведена на листе 7. Он содержит следующие компоненты:

последовательный интерфейс RS-232C

микроконтроллер

панели для подключения программируемых микросхем

формирование напряжений программирования

Источник питания

Интерфейс RS-232C предназначен для подключения к компьютеру стандартных внешних устройств (принтера, сканера, модема, мыши и др.), а также для связи компьютеров между собой. Основными преимуществами использования RS-232C по сравнению с Centronics являются возможность передачи на значительно большие расстояния и гораздо более простой соединительный кабель. В то же время работать с ним несколько сложнее. Данные в RS-232C передаются в последовательном коде побайтно. Каждый байт обрамляется стартовым и стоповыми битами. Данные могут передаваться как в одну, так и в другую сторону (дуплексный режим).

Микроконтроллер-микросхема предназначенная для управления электронными устройствами. Типичный микроконтроллер сочетает на одном кристалле функции процессора и периферийных устройств, содержит ОЗУ и (или) ПЗУ. По сути, это однокристальный компьютер, способный выполнять простые задачи.

Источник питания - устройство, предназначенное для обеспечения различных устройств электрическим питанием Схема электрическая структурная Fm-stepdrive, представленная на листе 12, состоит из следующих функционально-законченных частей:


1.3 Необходимость модернизации схемы БУ fm-stepdrive

Поставлена задача: Необходимости модернизации схемы БУ Fm-Stepdrive с целью расширения функциональных возможностей. Для этого микроконтроллер БИС PCF8583 заменяется на новый микроконтроллер БИС AT90S2313.

Исходный МК БИС PCF8583

Новый МК AT90S2313

Размер ядра

8Бит

Размер ядра

8Бит

Тактовая частота

40MГц

Тактовая частота

48MГц

Подключения

I²C, SPI, UART/USART

Подключения

I²C, SPI, UART/USART, USB

Периферия

Brown-out Detect/Reset, LVD, POR, PWM, WDT

Периферия

Brown-out Detect/Reset, LVD, POR, PWM, WDT

Число вводов/выводов

34

Число вводов/выводов

35

Размер программируемой памяти

32КБ (16K x 16)

Размер программируемой памяти

32КБ (16K x 16)

Тип программируемой памяти

FLASH

Тип программируемой памяти

FLASH

EEPROM Size

256 x 8

EEPROM Size

256 x 8

Напряжение источника (Vcc/Vdd)

4.2В ~ 5.5В

Напряжение источника (Vcc/Vdd)

4.2В ~ 5.5В

Преобразователи данных

A/D 8x10b

Преобразователи данных

A/D 13x10b

Тип осцилятора

External

Тип осцилятора

Internal

Рабочая температура

-40°C ~ 85°C

Рабочая температура

-40°C ~ 85°C

Корпус (размер)

44-LCC (J-Lead)

Корпус (размер)

44-TQFP


1.4 Обоснование выбора элементной базы модернизированной схемы fm-steprive

Схема электрическая принципиальная модернизированная Fm-Stepdrive а мк построена на следующих БИС и ИМС:

Рис. 1: Условно-графическое обозначение МК БИС PCF8583

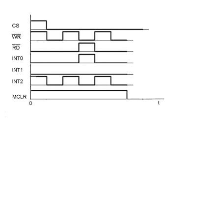
1.5 Описание работы Fm-Stepdrive по схеме электрической принципиальной модернизированной

Рассмотрим работу Fm-Stepdrive а мк по схеме электрической принципиальной модернизированной в положительной логике

Работу Fm-Stepdrive а иллюстрирует таблица истинности, а также временные диаграммы работы, представленные на листе 19-20.

CS

WR

RD

LEFT

RIGHT

1

1

1

0

1

 

0

0

1

0

0

 

1

0

0

1

1

 

0

1

1

0

0

 

1

0

0

1

1

 

0

1

1

1

0

 

1

0

0

0

1

 

0

0

1

0

0

 


управление привод блок модернизированный


Таблица 2. Т

WR

RD

INT0

INT1

INT2

CS

MCLR

1

1

1

0

0

1

0

1

0

0

1

0

1

0

0

0

0

0

1

1

1

1

0

1

0

0

0

0

0

0

0

1

1

1

1

1

0

1

0

0

1

0

0

0

0

1

1

1

0

1

1

0

0

0

0






2. Расчетная часть проекта

2.1 Расчёт временных соотношений командного цикла ЦАП БИС AT90S2313

Произведём расчет временных соотношений командного цикла ЦАПП БИС AT90S2313

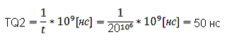
Тактовая частота работы МК задаётся кварцевым резонатором (Q2) = 20 МГц.

Найдём период следования импульсов сигнала «Q2» (TQ2):


При расчёте были использованы следующие справочные данные:

) Время генерации адресов «RA0-RA5»:

адр = TQ2 - 6 = 44 нс

) Длительность фиксации младшего байта адреса «SCK»:

tSCK = 2 * TQ2 - tадр = 2 * 50 - 44 = 6 нс

) Время задержки сигнала фиксации, адреса младшего байта, относительно сигналов «RA0-RA5»:

tзад1 = TQ2 - tадр = 50 - 44 = 6 нс

) Длительность сигнала чтения команды из памяти «MCLR»

tMCLR = 3 TQ2 - 35 = 3 * 50 - 6 = 144 нс

) Время задержки сигнала чтения команды «MCLR» относительно сигнала «SCK»

зад2 = tMCLR - tSCK = 144 - 56 = 88 нс

) Время обработки и исполнения команды

исп = 6 * TQ2 = 450 нс

выб = tадр + tSCK + tзад1 + tMCLR + tзад2

= 6 + 56 + 6 + 144 + 88 = 450 нс

Длительность командного цикла (TКЦ) МК БИС PCF8583 будет равна сумме времени выборки команды из памяти (tвыб) и времени исполнения (tисп):

TКЦ = tвыб + tисп = 450 + 450 = 900 нс

В результате расчёта временных соотношений командного цикла, общая задержка составила 900 нс, что соответствует техническим условиям на данную БИС.

2.2 Расчет надежности модернизированной схемы БУ fm-stepdrive

Надежность - это свойство изделия или отдельных его элементов выполнять заданные функции, сохраняя во времени значения установленных эксплуатационных показателей в необходимых пределах, соответствующих данным режимам и условиям использования технического обслуживания, ремонта, хранения и транспортировки.

Надежность важная характеристика любой конструкции. На показатель надежности оказывают влияние следующие характеристики схемы: элементная база, количество паек, условие эксплуатации, безотказность, долговечность, ремонтопригодность и сохраняемость.

Интенсивность отказов - условная вероятная частота возникновения отказов объекта, определяемая для рассматриваемого времени, при условии, что до этого момента отках не возникал.

Отказ - нарушение работоспособности, без устранения которых не возможна дальнейшая работа аппаратуры.

Долговечность - свойство аппаратуры долго сохранять работоспособность до наступления предельного износа.

Ремонтопригодность - свойство объекта, заключающееся в приспособленности к предупреждению и обнаружению отказов, повреждений и устранению их последствий путем проведения ремонтов и технического обслуживания.

Безотказность - свойство устройства непрерывно сохранять работоспособность в течение некоторого времени и некоторой наработки.

Существует несколько методов определения надежности, и они делятся на 2 группы: приближенный или ориентировочный расчет, полный или окончательный расчет.

В данном курсовом проекте применяется приближенный метод расчета надежности ЛИПсМКУ по экспоненциальному закону.

Для расчета надежности использовались данные:

.        Схема электрическая принципиальная модернизированная ЦАП БИС AT90S2313

2.      Λi - интенсивность отказов элементов i-ой группы

3.      Ni - количество элементов i-ой группы

Произведем расчет надежности схемы БУ fm-stepdrive. Данные для расчета удобно представлять в виде (табл. 3), данные в таблице представлены из справочника.

Таблица 3

Наименование элементов

Количество элементов

Интенсивность отказов одного элемента

l i × N i *10 -6


N i [шт ]

l i* 10 -6 [1/час ]

[1/час]

PCF8583

1

0,00033

0,00033

AT90S2313

1

0,00023

0,00023

Конденсаторы

21

0,018

0,378

Пайка

240

0,001

0,24

Резисторы

16

0,049

0,784

Диоды

1

0,014

0,014

Всего

282

0,08303

1,41724


Произведём расчёт надёжности схемы ЦАП БИС AT90S2313 по схеме электрической принципиальной. Данные для расчёта удобно представлять в виде таблицы, которая составляется на основе справочных данных.

) Определим общее значение интенсивности отказов элементов схемы:

λобщ=(0,00033+0,00023+0,00026+0,00021+0,0378+0,24+0,784+0,014)*10-6 = 1,41724 * 10-6 = 0,00000141724 [1/час]

) Определим наработку на отказ:

Т0= 1/ λобщ = 62744 часов = 2614 дней ≈ 7 лет

) Определяем вероятность безотказной работы:

P (t) = e-λобщ*t

P (0) = e-6,3 * 10^-6 * 0 = 1(10) = e-6,3 * 10^-6 * 10 = 0,99996(100) = e-6,3 * 10^-6 * 100 = 0,99928(1000) = e-6,3 * 10^-6 *1000 = 0,99361(10000) = e-6,3 * 10^-6 * 10000 = 0,93884(100000) = e-6,3 * 10^-6 * 100000 = 0,53249 (1000000) = e-6,3 * 10^-6 * 1000000 = 0,00194

) Вычислим показатели отказов Q(t) = 1 - P(t).

Q (0) = 1-1 = 0

Q (10) = 1-0,99994 = 0,00006

Q (100) = 1-0,99937 = 0,00053

Q (1000) = 1-0,99372 = 0,00638

Q (10000) = 1-0,93894 = 0,06206

Q (1000000) = 1-0,00184 = 0,99716

В результате расчета на отказ было рассчитано время безотказной работы.


Масштабы:

По оси P,Q: в 1 см - 0,1 P(t), Q(t)

По оси t: в 1,5 см [час], где n = 1,2,...,6

Заключение

В данном курсовом проекте модернизируется схема БУ fm-stepdrive. Подводя итоги, можно сделать выводы. Fm-Stepdrive состоит из следующих элементов: МК БИС PCF8583, ЦАП БИС AT90S2313 является общедоступной, имеет малую потребляемую мощность, низкую стоимость и высокое быстродействие, что и обеспечило выбор данной схемы

В схему электрическую структурную БУ fm-stepdive входят следующие блоки: микроконтроллер, операционный усилитель, цифро-аналоговый преобразователь, преобразователь напряжения, пятипозиционный джойстик.

Работа БУ fm-stepdive по схеме электрической принципиальной рассмотрена в положительной логике (уровень логического нуля равен 0.4 В., а уровень логической единицы соответствует 2.4 В.). Составлена таблица истинности и построены временные диаграммы работы БУ fm-stepdrive.

Однокристальный микроконтроллер МК БИС PCF8583 функционально состоит из следующих узлов: АЛУ, ПЗУ, ОЗУ, таймер-счетчик, схема прерывания, тактовый генератор, устройство управления и синхронизации, регистр состояния программ. Работу ЦАП БИС AT90S2313 иллюстрирует таблица истинности и временные диаграммы работы.

Микросхема ЦАП БИС AT90S2313 работает в следующих режимах: запись, считывание и хранение информации. Также она содержит накопитель, дешифраторы адреса строк и столбцов, усилители записи-считывания, схемы ввода-вывода информации и блок управления. Работу ЦАП БИС AT90S2313 иллюстрирует таблица истинности и временные диаграммы работы.

Длительность командного цикла МП, состоящего из суммарного времени выборки команды из памяти и времени исполнения, составила 900 нс., что соответствует техническим условиям на данную БИС.

Расчет точности и погрешности работы проходили при НУ (Нормальных условиях). В конечном итоге частота сигнала была равна 44.1MHz, при температуре +25ºС.

Расчёт надёжности произведён приближённым методом по экспоненциальному закону, который показал, что схема Fm-Stepdrive а является достаточно надёжной и обеспечивает безотказную работу в течение 7 лет.

Список используемой литературы

1.       А.В. Нефедов.: «Интегральные микросхемы и их зарубежные аналоги», Справочник, том 9, Издательство «РадиоСофт», 2003 г.

2.       Перельман Б.Л.,Шевелев В.И. «Отечественные микросхемы и зарубежные аналоги». Справочник. Изд. «НТЦ Микротех» 2003год.

.        Пехотник Н.Р., Конспект лекций по предмету: «Микропроцессоры и микропроцессорные системы», М., ПК№19, 2013/2014 уч/г.

4.       Пучков Н.А. «Зарубежные интегральные микросхемы и их отечественные аналоги: Справочник», Москва, «Машиностроение», 2004г.

5.       http://radioskot.ru/publ/skhema_stepdrive_1-1-0-138

6.       http://octopart.ru/catalogue/

.        http://forum.ixbt.com/

Перечень Элементов

Поз. обозн.

Наименование

Кол.


Микросхемы


DD1

PCF8583

1

DD2

AT90S2313

1





Конденсаторы


С1,С2,С3,С4,С5,С6,С7

100 мк

7

С8,С9

10 мк

2

С10,С11

33 мк

2

С12,С13

22 мк

2

С14

47 мк

1





Резисторы


R1

39 кОм

1

R2,R3,R5,R11,R16

100 кОм

5

R4,R7,R10,R13,R14,R15, R12

10 кОм

7

R6

1 МОм

1

R8,R9

2,2 кОм

2





Кварцевые резонатры


Q1

24,575 МГц

1

 20 МГц

1





Диоды


D1

BAT85

1


Похожие работы на - Модернизация схемы блока управления для привода Fm-Stepdrive фирмы siemens с целью расширения функциональных возможностей

 

Не нашли материал для своей работы?
Поможем написать уникальную работу
Без плагиата!
Без нейросетей!