Компьютерный томограф Asteion 4 для сканирования всего тела и его комплектующие

  • Вид работы:
    Курсовая работа (т)
  • Предмет:
    Информатика, ВТ, телекоммуникации
  • Язык:
    Русский
    ,
    Формат файла:
    MS Word
    4,17 Мб
  • Опубликовано:
    2014-04-11
Вы можете узнать стоимость помощи в написании студенческой работы.
Помощь в написании работы, которую точно примут!

Компьютерный томограф Asteion 4 для сканирования всего тела и его комплектующие

СПИСОК СОКРАЩЕНИЙ

НИРС - научно исследовательская работа студента- поле обзора дисплея;- поле обзора;- полная ширина среза на уровне полумаксимума; - ширинасрезана1/10 площади;- проекция минимальных интенсивностей;- проекция максимальных интенсивностей;- система архивирования и связи;- область интереса;- коллимация среза;- поле обзора сканирования;- профиль чувствительности слоя;- эффективная толщина слоя (ширина среза);

Ед.X - единицы Хаунсфилда;

КТ - компьютерная томография;

МПР - многоплоскостные реформации (переформатирования);

МСКТ - многослойная спиральная компьютерная томография;

СКТ - спиральная компьютерная томография.

ВВЕДЕНИЕ

Быстрое развитие техники компьютерной томографии потребовало от радиологов изменить протоколы сканирования, предназначенные для различных органов и применяемые при различных заболеваниях, чтобы наиболее полно использовать возможности 4-,8- и 16-слойных томографов. Никогда еще за эти десятилетия компьютерные томографы, используемые в клинической практике, так сильно не отличались по своим возможностям. Новые применения компьютерных томографов, которые стали возможны вследствие технических усовершенствований последних лет, предъявляют дальнейшие требования к радиологам. Среди новейших и наиболее динамично развивающихся областей в практике компьютерной томографи находяться КТ-ангиография, кардиальная КТ, а также технология послеобработки.

С появленим спирального сканирования, а потом и многослойной КТ стали очевидными быстрый технический прогресс и растущее количество новых применений компьютерной томографии. Новые технологии позволили КТ отстоять ведущие позиции среди послойных методов визуализации как метода выбора во многих клинических ситуациях. В частности, многослойная техника сканирования преобразовала КТ, превратив ее из метода получения аксиальных срезов в метод создания трехмерных изображений.

Техническое развитие метода обеспечило значительное увеличение диагностических возможностей, улучшило точность и диагностическую достоверность КТ. Многие показания к обычной проекционной рентгенографии перешли к компьютерной томографии. Среди них диагностика заболеваний желудочно-кишечного тракта, томография скелета и большинство внутри артериальных ангиографических процедур. Усовершенствованные возможности трехмерных изображений позволили более эффективно сопровождать хирургические и интервенционные процедуры и революционизировали пути исследования патологических процессов.

В работе представлены результаты практического применения виртуальной эндоскопии сосудов (ангиоскопия) без введения эндо-колоноскопа на основании обследования пациентов с различной патологией сосудов. Показана эффективность использования на втором этапе исследования рабочей станции Vitrea 2. которая обеспечивает улучшенную 2D и 3D визуализацию и анализ.

В данной работе рассмотрен компьютерный томограф Asteion 4, для сканирования всего тела, и его комплектующие.

Основными задачами при изучении данного оборудования являются:

Ознакомление с нормативно - технической документацией оборудования, поставленного компанией TOSHIBA;

Создание списка выполняемых функций и заданий;

Изучение принципов и параметров сканирования, реконструкции изображения;

Получение обобщенной информации о программном, техническом, обеспечениях;

Изучение метода виртуальной эндоскопии;

Приобретение практических навыков работы при помощи новейшего КТ Asteion 4 при ангиоскопии, в частности;

Обобщение полученных данных и выводы о результатах исследования.

компьютерный томограф эндоскопия

1. КОМПЬЮТЕРНАЯ ТОМОГРАФИЯ

1.1 Принцип сканирования

КТ-метод рентгеновской томографии, при котором пучок рентгеновского излучения проходит через тонкий слой тела пациента в разных направлениях (рис.1). Используется параллельная коллимация, чтобы сформировать пучок лучей в виде тонкого веера, что определяет толщину сканируемого слоя. Ослабленную интенсивность излучения на выходе из тела пациента измеряют детекторы. Математическая реконструкция изображений (обратное преобразование Радона) позволяет рассчитать локальные ослабления излучения в каждой точке среза. Эти коэффициенты локального ослабления пересчитываются в КТ-числа и, наконец, преобразуются в ступени серой шкалы, которые выводятся на экран, формируя изображение. При обычном КТ-сканировании объем интереса сканируется последовательно, обычно продвигаясь на один срез за каждый шаг.

Рисунок 1.1 - Принцип КТ-сканирования.

Первые два поколения компьютерных томографов были вытеснены в конце 1970-х гг. томографами 3-го и 4-гопоколений, которые используются и ныне. В томографах 3-го поколения рентгеновская трубка и совокупность детекторов синхронно вращаются вокруг пациента. Массив детекторов покрывает полную ширину веерообразного пучка излучения. В томографах 4-го поколения элементы детекторов покрывают полный круг, окаймляя отверстие томографа, и остаются неподвижными во время сканирования. Вокруг пациента вращается только рентгеновская трубка (рис.2). Однако томографы 3-го поколения обеспечивают лучшее подавление рассеивания и требуют меньшего количества элементов детекторов. Этим объясняется, почему на всех многослойных компьютерных томографах используют технологию 3-го поколения.

Попытки ускорить процесс изображения привели к развитию КТ-томографов с множественными трубками, которые получили название динамических реконструкторов пространства (Mayo Monster был оснащен 28 трубками, способными сканировать до 240 срезов толщиной I мм каждый за один оборот на360°), а также электронно-лучевой КТ, спиральной компьютерной томографии (СКТ ) и недавно- многослойной спиральной компьютерной томографии (МСКТ). Из этих технологических решений только СКТ и МСКТ получили широкое клиническое применение.

Рисунок 1.2 - Сравнение принципов сканирования и реконструкции на КТ-томографах 3-го (а ,б ) и 4-го(в ,г ) поколений .

.2 Реконструкция изображений

Сигналы, зарегистрированные детекторами во время сканирования, подвергаются предварительной обработке, чтобы компенсировать неоднородности системы детекторов и корректировать артефакты, обусловленные повышением жесткости излучения внутри тела обследуемого. Данные, полученные после различных шагов коррекции и преобразования интенсивности сигнала в значения ослабления рентгеновских лучей, называют исходными КТ-данными (рис. 3). Массив исходных данных на томографах 3-го и 4-го поколений состоит из профилей ослабления излучения от 500-2300 проекций для каждого оборота рентгеновской трубки на 360°. Каждую проекцию, в свою очередь, составляют 500-900 значений ослабления излучения. Реконструкция изображения из массива исходных данных создает массив данных изображения.

Рисунок 1.3 - Этапы реконструкции КТ-изображений.

Реконструкция изображений начинается с выбора желаемого поля обзора. Для реконструкции используется каждый луч ,который проходит через это поле обзора от трубки до детектора. Коэффициент ослабления для каждой точки изображения определяется посредством усреднения значений ослабления для всех лучей, которые пересекают эту точку (обратная проекция - back projection). Однако этот тип не отфильтрованной обратной проекции создает очень нерезкое изображение с размытыми контурами, поэтому множество лучей объединяют в проекцию и полученный профиль ослабления подвергают математической фильтрации с краевым усилением (конволюции). Тип фильтрации определяется так называемым кернелем конволюции. После этого обратные проекции отфильтрованных профилей изображения создают резкое изображение. Кернель конволюции (алгоритм реконструкции: линейная фильтрация данных изображения осуществляется посредством математических операций, которые завершаются конволюцией. При конволюции значения пикселей на выходе вычисляются как взвешенная сумма с соседними пикселями. Матрица таких весов называется кернель конволюции и известна также как фильтр), используемый для отфильтрованных обратных проекций (filtered back projection), определяет такие свойства реконструированного КТ-среза, как пространственное разрешение и шумы в изображении, и может изменяться от мягкого, или сглаживающего, до резкого, или усиливающего контуры (рис.4) .

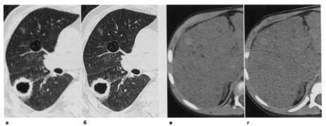
Рисунок 1.4 - Влияние кернеля конволюции на пространственное разрешение и шумы в изображении. В паренхиме легких (высокий естественный контраст) использование кернеля повышенной резкости (б) вместо стандартного кернеля (а) увеличивает резкость изображения. В печени (низкий естественный контраст) мягкий кернель (в) предпочтителен, так как в противном случае (кернель повышенной резкости) (г) увеличивающиеся шумы могут скрадывать структуры с низким контрастом.

Томографы 3-го и 4-го поколений отличаются способом, которым значения ослаблений объединяются в веерообразные проекции. Томографы 3-го поколения используют веер от единственного положения трубки до детектора, тогда как томографы 4-го поколения принимают данные, собранные единственным детектором для различных положений трубки, и объединяют их в проекции (см. рис. 1.2) .

.3 Дисплей и документирование изображений

Матрица изображения и поле обзора

КТ-изображения состоят из квадратной матрицы изображения величиной от 256x256 до 1024x1024 элементов изображения, или пикселей. Поскольку КТ-срез имеет конечную толщину, каждый пиксель представляет в изображении маленький элемент объема - воксель. Величина вокселя зависит от величины матрицы, выбранного поля обзора (FOV) и толщины слоя (рис.5). При большинстве КТ-исследований воксель имеет форму деревянной части спички: размеры пикселя, измеренные в плоскости ху, в 10-20 раз меньше, чем толщина слоя, измеренная по оси z. Эта анизотропия вокселя может быть уменьшена только путем уменьшения толщины слоя. Только посредством МСКТ можно получить почти изотропные воксели для большой области тела.

Рисунок 1.5 - Пиксели в КТ-матрице фактически представляют элементы объема (воксели ) в сканируемой области тела.

Фактическая матрица изображения (image matrix), которая реконструируется из исходных данных, может отличаться от матрицы дисплея

(display matrix), с которой изображения выводятся на экран или распечатываются на пленке. Хотя обычно обе матрицы идентичны, можно выбрать матрицу дисплея большей величины (например, 1024x1024 вместо 512x512), чтобы улучшить качество изображений.

Для реконструкции изображений обычно не обязательно использовать данные от всего поперечного среза тела и можно реконструировать поле обзора (Field Of View - FOV) ограниченных размеров из исходных данных. Это поле обзора характеризуется или его размерами в миллиметрах, или фактором зума (zoom factor) - увеличения относительно максимального поля, доступного на данном томографе. В зависимости от томографа оно может быть округлым или квадратным. Некоторые производители называют его полем обзора реконструкции (Reconstruction Field Of View - RFOV), чтобы отличить его от поля обзора дисплея (Display Field Of View - DFOV), которое может быть выбрано из первого поля и увеличено для дисплея на мониторе. Обычно такое увеличенное изображение менее резкое, чем реконструированное прямо из исходных данных, потому что оно использует только часть данных изображения, а не всю информацию, содержащуюся в массиве исходных данных.

Поля обзора реконструкции и дисплея нужно отличать от поля обзора сканирования (Scan Field Of View - SFOV), доступного на некоторых томографах. SFOV - уменьшенная локализованная в центре область, из которой собираются данные, что может увеличить темп выборки и тем самым улучшить пространственное разрешение. Обычно такая техника применяется при исследованиях конечностей (пяточнаякость), позвоночника или области головы и шеи. Поскольку в случае уменьшенного SFOV используется веерообразный пучок с более узким углом, эта техника также уменьшает облучение той части тела пациента, которая находится вне SFOV. По этой причине оно используется на некоторых томографах, чтобы уменьшить лучевую нагрузку при МСКТ сердца.

КТ-числа

Во время реконструкции изображения каждому векселю приписываются числовые значения в соответствии со степенью ослабления излучения в этом вокселе. Чтобы уменьшить зависимость от энергии излучения и получить удобные количественные значения, КТ-числа определяются по формуле:

КТ=1000*( µ- µводы)/ µводы

µ-коэффициент линейного ослабления излучения, показывающий, на сколько ослабляется излучение слоем данного вещества определенной толщины

(зависимость между толщиной слоя и ослаблением излучения экспоненциальная).

Единицы КТ-ослабления называют единицами Хаунсфилда - ед. X (Hounsfieldunit - HU). Числа заданы по шкале, на которой-1000 представляет воздух и 0 представляет воду. Шкала не имеет верхнего предела. Доступный диапазон КТ-чисел отличается в зависимости от томографа и доступной величины бит/пиксель (например, от-1024 до 3071 для 12 битов или до 64500 для 16 бит).

Шкала чисел КТ-ослаблений показана графически на рисунке 6. За исключением жира, жидкостей с низким содержанием белка и свежей крови нет типичных значений, которые позволяли бы специфическую характеристику мягких тканей по их КТ-числам.

Рисунок 1.6 - Шкала чисел КТ-ослабления задается значениями ослабления для воздуха (-1000 ед. X) и воды (0 ед. X). Мягкие ткани занимают узкую полосу вокруг значения 50 ед. X.

1.4 Установки окна

Глаз человека способен различать только ограниченное количество градаций серой шкалы - от 40 до 100 в зависимости от условий рассматривания. Следовательно, не имеет смысла приписывать весь диапазон КТ-чисел (примерно 4000ед.) доступному диапазону градаций серой шкалы (от белого до черного), так как невозможно различать структуры с небольшой разницей КТ-чисел. Поэтому лучше вывести на экран только часть всей КТ-шкалы. Так называемое окно определяется шириной, которая влияет на контраст изображений, и уровнем (центром), который определяет яркость изображения. Уменьшение ширины окна повышает контраст изображения, снижение уровня окна делает изображение более ярким, а повышение уровня-более темным (рис.1.7).

Рисунок 1.7 - Установка окна. Для оптимального контраста уровни серой шкалы для рассматривания и съемки изображений приписываются определенным частям КТ-шкалы. Окно характеризуется шириной, которая определяет контраст, и уровнем, который определяет яркость.

.5 Обработка изображений и анализ

Программы, используемые в компьютерных томографах, обеспечивают различные выборы обработки КТ-срезов и манипуляций с ними. Наибольшую практическую важность имеют измерения длины и углов и анализ КТ-чисел в выбранной области интереса (Region Of Interest -ROI). Оператор может интерактивно выбирать эту область с заранее заданной формой (круг, эллипс, прямоугольник) или в виде свободно очерченной области произвольной формы. После этого компьютерные программы позволяют рассчитывать средние КТ-числа и стандартные отклонения внутри ROI и создавать гистограммы.

Можно также манипулировать объемом сканирования, чтобы переформатировать изображения в любой вторичной плоскости среза, создавая многоплоскостные переформатирования (многоплоскостные реформации) -МПР, а также получая трехмерные реконструкции различных типов.

Документирование

КТ-изображения, полученные на обычных томографах, как правило, распечатывают на пленке для их рассматривания. Следует документировать все задания окна, которые важны для исследованной области тела. Например, сканирование грудной полости может быть документировано и с легочной установкой окна, и с мягкотканой установкой. Может быть добавлена еще и костная установка окна для поиска метастазов. Попытки вывести на экран две неперекрывающиеся установки окна одновременно (например, средостение и легкие) оставлены, так как структуры с КТ-числами между двумя окнами (например, плевральные изменения) легко пропускаются. Эта техника двойного окна больше не используется.

В современных СКТ и МСКТ и благодаря введению в практику архивирования изображений и систем архивирования и связи (Picture Archiving and Communication Systems - PACS) все больше отходят от распечатки КТ-изображений, предпочитая ей прямое рассматривание на плоских экранах мониторов и сохранение данных изображений в цифровых архивах.

Параметры сканирования

Наклон гентри

Гентри - это рама, которая вмещает сканирующее устройство и может быть наклонена вокруг оси х, чтобы выполнить сканирование в наклонной плоскости. Диапазон наклона гентри составляет до ±30° в зависимости от типа томографа. Наклоны гентри используют главным образом при сканировании головы, шеи и позвоночника. Они не обязательны для других применений, и от них все больше отказываются при МСКТ в пользу реконструкции наклонных срезов из объемного массива данных.

• Профиль среза

Задание коллимации пучка определяет толщину слоя. Но, как и в обычной рентгенографии, рентгеновская трубка испускает конически расходящийся, а не параллельный пучок лучей. Чтобы получить срезы приемлемо однородной толщины, необходимо использовать коллиматоры, помещаемые непосредственно позади трубки. В некоторых томографах для дальнейшей оптимизации профиля среза имеются дополнительные коллиматоры, расположенные за пациентом перед детекторами. Несмотря на эти меры, на практике никогда не получают срезы, ограниченные параллельными плоскостями, но в них всегда включены прилежащие части объекта. Кроме того, из-за конечных размеров фокуса трубки имеется область за пределами первичного пучка, на которую падает излучение меньшей интенсивности. Эта область называется пенумбра (рис.8а).

Влияние этих эффектов на срез можно описать, используя понятие профиль чувствительности среза (Section Sensitivity Profile - SSP), или профиль слоя (slice profile) (рис.8) , который показывает, какой вклад в изображение вносит точка в объекте в зависимости от ее расстояния от центра среза. Идеальный профиль среза прямоугольный с шириной, соответствующей заданной толщине среза, и в этом случае все точки вне среза не вносят вклада в измеряемые ослабления, тогда как все точки внутри среза вносят однородный вклад в КТ-числа. Реальный профиль среза имеет закругленные «края». Это означает, что прилежащие области также вносят слабый вклад в изображение. В то время как профиль толстого среза (7-10мм) близко соответствует идеальной прямоугольной форме, тонкие срезы больше соответствуют колоколоподобной форме (рис.8б). В клинической практике увеличивающиеся «хвосты» тонких срезов только не значительно влияют на качество изображений, так как более важно уменьшение ширины профиля, что ведет к улучшенному разрешению по оси z.

Рисунок 1.8 - Вследствие особенностей геометрии пучка излучения в сканирование включаются области ,расположенные в не выбранной толщины слоя (а). Это приводит к закругленному профилю чувствительности слоя, который приближается к идеальной прямолинейной форме только в случае толстых слоев (б). Эффективная толщина слоя (или ширина среза SW) может быть измерена как ширина профиля слоя на уровне половины его максимальной высоты и получила название полной ширины на уровне полумаксимума (FWHM) или как ширина, заключающая 90 % площади под графиком, которую называют полной шириной на 1/10 площади (FWTA) (в).

•Эффективная толщина среза

Ширина профиля чувствительности среза обычно определяется посредством измерения ширины графика на уровне 50% его пикового значения, что получило название полной ширины на уровне полумаксимума (Full Width at Half Maximum - FWHM) (рис. 8в). Это значение также известно как эффективная толщина среза, или ширина среза (Section Width - SW). При обычной КТ она равна, по определению, коллимации среза (Section Collimation - SC), или номинальной толщине слоя. Однако нужно отметить, что эффективная толщина слоя не эквивалентна коллимации среза при СКТ. Это наиболее частое измерение для определения пространственного разрешения подлинной оси пациента (ось z).

Более строгая мера ширины профиля среза-ширина, заключающая 90% площади под графиком, - называется полной шириной на 1/10 площади (Full Width at Tenth Area - FWTA). FWTA показывает ширину, на которой элементы объекта, расположенные вне среза, вносят вклад, составляющий ровно 10%, в КТ-числа. FWHM и FWTA имеют сходные значения при обычной КТ, когда выбираются толстые слои, но они заметно отличаются при СКТ и в случаях тонкой колимации при обычной КТ.

Еще одно недавно предложенное измерение - индекс качества профиля слоя (Slice Profde Quality Index - SPQI). Оно писывает процент площади под профилем чувствительности среза, которая заключена внутри идеального прямоугольного профиля среза той же ширины.

•Частичный объемный эффект

КТ-число пикселя определяется ослаблением рентгеновского излучения, которое происходит в соответствующем вокселе. Если ткани с различными свойствами ослабления лучей занимают один и тот же воксель (например, кровеносный сосуд и легочная ткань), результирующее КТ-число будет с хорошим приближением представлять сумму различных значений ослабления (частичный объемный эффект или частичное объемное усреднение): CT=v1*CT1+v2*CT2+ ..., где сумма элементов частичного объемного эффекта vi составляет 1. Учитывая гораздо больший размер вокселя по оси z, чем в плоскости ху, коллимация среза вносит больший вклад в частичный объемный эффект, чем поле обзора или размеры пикселя (рис.1.9).

Рисунок 1.9 - Частичный объемный эффект. Вследствие конфигурации вокселя, подобной спичке, на КТ-числа вокселя влияет не только объект интереса (например, округлый очаг поражения), но также прилежащие структуры (например, паренхима легких). Это создает эффект усреднения, который искажает КТ-числа вокселя.

•Коллимация среза

Некоторые анатомические структуры (часть аорты, грудной стенки или край печени) ориентированы параллельно длинной оси тела. Обычная аксиальная ориентация срезов при КТ означает, что при сканировании соответствующие границы между тканями будут срезаться под прямым углом, что сводит к минимуму частичный объемный эффект. Поэтому при КТ тела наиболее часто используется коллимация срезов 7-10мм.

Частичный объемный эффект оказывается особенно неблагоприятным при сканировании с плоскостью среза, которая проходит косо или параллельно к границам между тканями (диафрагма, верхушки легких, полюса почек), и при оценке мелких структур (мелкие сосуды, бронхи, надпочечники). Чтобы оценивать структуры, параллельные плоскости среза(например, поджелудочная железа), или для оценки маленьких органов, таких как надпочечники, может потребоваться коллимация 3-5мм. Тонкая коллимация (1-2мм) предпочтительна для легких, где требуется детальный анализ структуры при диагностике интерстициальных поражений. При МСКТ такая коллимация стала стандартной.

Шаг стола

При обычной КТ объем ткани сканируется слой за слоем. Это достигается перемещением стола с пациентом на заданное расстояние (шаг стола- table increment) между последовательными срезами. Как правило, получают непрерывные изображения, что означает одинаковые толщину слоя и шаг стола.

•Сканирование с перекрытием

Уменьшение шага стола создает перекрывающиеся срезы, что увеличивает лучевую нагрузку на пациентов. В свое время перекрывающиеся срезы рекомендовались, чтобы улучшить ЗD-изображение скелета, однако с появлением СКТ они вышли из употребления.

•Прерывистое сканирование

Когда шаг стола увеличивается, возникают зазоры между срезами. Это можно использовать в избранных случаях, когда необходим поиск только грубых патологических изменений, имеющих большую протяженность.

•Респираторные ошибки регистрации

Такие ошибки появляются, когда структуры, перемещающиеся при дыхательных движениях, пропускаются вследствие разной глубины вдоха между срезами. Однако, несмотря на большие усилия, затраченные, чтобы воспроизвести постоянную глубину вдоха на протяжении 5-20 дыхательных циклов, как правило, возникают некоторые зазоры по оси z. Чем тоньше коллимация и чем мельче очаги поражения, тем выше вероятность респираторных ошибок регистрации (рис.1.10). Они оказывают только умеренное влияние на выявление поражений печени или на оценку почек и надпочечников, но сильно вредят при поиске метастазов в легких. Чтобы получить сплошное покрытие объема, нужно избегать коллимации срезов меньше 5мм в областях, которые перемещаются при дыхательных экскурсиях. Это создает конфликтующие требования при обычной КТ, так как невозможно одновременно свести к минимуму частичный объемный эффект и устранить респираторные ошибки регистрации при одном и том же сканировании.

Рисунок 1.10 - Респираторные ошибки регистрации: разная глубина вдоха при повторных срезах может привести к тому, что маленький очаг поражения (например, узелок в легком) окажется пропущенным при последовательном (пошаговом) сканировании.

1.6 Алгоритм реконструкции (кернель конволюции)

Кернель конволюции (или фильтр), используемый при реконструкции изображений из исходных данных, определяет отношение между пространственным разрешением и шумом в изображении. Шум ограничивает разрешение контраста и тем самым возможность дифференцировать объекты, ослабление которых может очень мало отличаться от ослабления окружающего фона. Высокое разрешение контраста (contrast resolution) важно для обнаружения очаговых поражений паренхиматозных органов, подобных печени и поджелудочной железе. Высокое пространственное разрешение (spatial resolution) необходимо для выявления тонких морфологических изменений в легких или костях. Кернели конволюции высокого разрешения (ВР-кернель, резкий кернель- HR-kernels, sharp kernels) улучшают пространственное разрешение, но также диспропорционально увеличивают шум. Наоборот, мягкие, или сглаживающие, кернели (smooth kernel) ведут к одновременному уменьшению шума и пространственного разрешения (рис.11). Стандартный кернель (standart kernel) означает компромисс между хорошим пространственным разрешением и приемлемым уровнем шумов для большинства изображений тела.

Рисунок 1.11- Использование кернеля конволюции с более высоким разрешением может улучшить пространственное разрешение, но ведет к диспропорциональному увеличению шумов в изображениях.



2. СИСТЕМА TOSHIBA TS1300

Система Toshiba TS1300 представляет собой мультисрезовый спиральный КТ сканер, поддерживающий сканирование всего тела.

Рисунок 2.1 - Мультисрезовый спиральный КТ Toshiba TS1300 .

Эта система генерирует 4 среза за один оборот путем использования многорядового детектора с выбором толщины среза (SSMD). Поскольку она также выполняет высокоскоростную реконструкцию для максимум 12 кадров в секунду, каждое исследование можно выполнить на сверхвысокой скорости. В сочетании с технологией непрерывного формирования изображений можно быстро выполнить более точное сканирование и исследования.

.1 Гентри

Апертура: 720 мм.

Поля сканирования: 180, 240, 320, 400 и 500 мм.

Углы наклона: ±30°.

Толщина срезов: 0,5 мм, 1 мм, 2 мм, 3 мм, 4 мм, 6 мм, 8 мм.

Время сканирования: для 360° - 0,5 с, 0,75 с, 1 с, 1,5 с, 2 с, 3 с.

Время сканирования для сканограммы: произвольно от 2 до 14 с.

Система детекции: высокоэффективный твердотельный детектор с 788 каналами плюс 1 эталонный канал, расположенный перед пациентом.

Напряжение на рентгеновской трубке: 80, 120 и 135 кВ.

Ток рентгеновской трубки: от 10 до 300 мА с приращением 10 мА.

Мощность излучения рентгеновской трубки: 4.0 МHU.

Скорость охлаждения анода трубки: 864 кHU/мин.

Угол расхождения пучка рентгеновской трубки: 49,2°.

Рисунок 2.2 - Основные части гентри.

2.2 Рентгеновская трубка

Улучшенная конструкция рентгеновской трубки Helicool системы Toshiba TS1300 обеспечивает мультисрезовое сканирование с высоким разрешением и высокой пропускной способностью. Эта высоко надежная трубка отличается анодом с жидкометаллическим подшипником и имеет высокую скорость охлаждения 864 kHU/мин, что позволяет устранить задержки на охлаждение трубки.

Детектор Quantum

Волюметрические КТ-данные можно получить очень быстро и с превосходным разрешением путем применения уникального детектора с 22 рядами параллельных детекторов. Выполняется сбор данных 4 срезов толщиной 0,5 мм для каждого оборота, что идеально для церебральных исследований, исследований при инсульте и ангиографических исследований. Этот детектор сочетает охват 20 мм за один оборот с максимальной эффективностью для большого анатомического охвата. Эффективная дозовая нагрузка Высокое качество изображений сочетается с низкой дозой за счет максимально эффективного использования дозовой нагрузки. Детектор рентгеновского излучения основан на выборе специального материала в сочетании с оптимальным процессом производства, что дает в результате высокую эффективность преобразования фотонов, улучшая, таким образом, возможности формирования изображений и снижая дозу в каждом конкретном исследовании.

Программа SureCare позволяет добиться снижения дозы на пациента путем непрерывной регулировки интенсивности рентгеновского излучения при спиральном сканировании на основании информации полученной по предварительной сканограмме. Для дальнейшего ограничения дозы применяется специальный коррегирующий фильтр.

Стол пациента

Вертикальное перемещение: минимальная высота ~300 мм (высота стола), рабочий ход 644 мм.

Горизонтальное перемещение: рабочий ход 2190 (1890) мм, диапазон сканирования 1800 (1500) мм.

Одновременно можно получить четыре среза за один оборот. В случае проходящего исследования от плеча до таза взрослого пациента, 720 мм область можно сканировать в пределах 16, 5 с для 5-мм сбора данных.

Длинный диапазон сканирования 1800 мм и высокая скорость сканирования вместе облегчают исследования всего тела при травме без изменения положения пациента.

Рисунок 2.3 - Стол пациента.

2.3 Режим справки и качество изображения

Режим справки: когда выбрана эта функция, рабочие процедуры будут показаны на экране монитора консоли сканирования. Исследования можно выполнять, следуя пошаговым инструкциям на экране. Это позволяет неопытному технику выполнить работу в экстренной ситуации.

Превосходное качество изображений: система достигает регистрации низкого контраста 2 мм при 0,3 % и разрешения высокого контраста 0,35 мм в направлении x, y и z. Рутинные мультисрезовые спиральные КТ-исследования можно выполнить с использованием тонких срезов, например, 0,5 мм, что позволяет создавать высокоточные 3D и MPR изображения по точным данным изотропных вокселей.

Снижение экспозиционной дозы

Система детекторов имеет превосходное отношение сигнал/шум (SNR), что позволяет выполнить исследования со сниженной экспозиционной дозой. При спиральном сканировании функция Real-EC, которая обеспечивает однородность шума для каждого среза, может быть выбрана в плане исследования eXam Plan (Функция eXam Plan дает возможность просто выбрать заранее запрограммированные параметры сканирования для обычных исследований, что повышает производительность системы при работе с пациентами), легко минимизируя ненужную для пациента экспозицию.

Наклонное спиральное сканирование

Высокая скорость охлаждения трубки 4-MHU, которая снижает время охлаждения, необходимое между сканами; высокая скорость сканирования, которая сокращает время экспозиции; и высокая скорость реконструкции (4 изображения/с), которая уменьшает цикл сканирования пациента, вместе значительно увеличивают пропускную способность пациентов. Многозадачные возможности системы позволяют выполнять регистрацию пациента и настройку протоколов с реконструкцией в фоновом режиме и, таким образом, увеличивают гибкость. Кроме того, возможность системы генерировать изображения с различной толщиной среза по одному набору данных позволяют выполнить за один скан рутинные исследования, процедуры биопсии и создание 3D изображений. Например, можно реконструировать 5-мм изображения для рутинных исследований, 1-мм изображения для детальных исследований и изображения с толщиной среза 0,5 мм или 1 мм для создания 3D изображений по одному набору данных, полученных при спиральном сканировании с 0,5 мм срезами.


Пользовательский интерфейс включает в себя специальную консоль с гибридной клавиатурой, мышь и цветной 18-дюймовый ЖК монитор с высокой разрешающей способностью для управления графическим интерфейсом пользователя, полностью представленным в виде пиктограмм.

Этот пользовательский интерфейс разработан с ориентацией на ощущения человека. Высокий уровень удобства пользователя обеспечивает эффективную пропускную способность пациентов, обработку данных и диагностику. Полученные изображения сразу же сохраняются на большом жестком диске системы.

Рисунок 2.4 - Консоль управления.

2.5 Рабочая станция Vitrea-2. Программное обеспечение

Рабочая станция Vitrea-2 обеспечивает улучшенную 2D, 3D и 4D визуализацию и анализ при ежедневной плановой работе. Разработка программного обеспечения Vitrea2, ориентированного полностью на клинические потребности, позволила получить быстрый, интуитивный клинический инструмент.

Рисунок 2.5 - Рабочая станция Vitrea2.

Vitrea-2 включает в себя интуитивный графический интерфейс и встроенную автоматизацию клинического процесса, давая пользователю возможность подготовить отчет о пациенте за считанные минуты. Скорость обработки программного обеспечения Vitrea-2 позволяет клиницистам управлять 3D объемом в диалоговом режиме и осуществлять виртуальный просмотр внутри и снаружи анатомических областей интереса в реальном времени. Запатентованные клинические протоколы позволяют применить настройки визуализации для конкретного типа исследований, создавая до шести различных 2D или 3D видов быстро и точно, сокращая время, необходимое для получения нужной клинической проекции.

Рисунок 2.6 - Пульт управления (левая сторона).

Система «Toshiba TS1300» отличается полной совместимостью Dicom 3.0. Сохранение Dicom Storage SCU является стандартом, аналогично печати Dicom Print SCU для передачи данных на устройство формирования изображений. Сохранение на, например, дополнительный сервер архива, можно легко выполнить на базе передачи данных Dicom 3.0. Предыдущие исследования можно просто загрузить на консоль управления для быстрого просмотра. Управление рабочей таблицей модальностей и выполненный этап процедуры устраняют повторный набор и обеспечивают повышение точности инициации и завершения исследований.

3. КЛИНИЧЕСКОЕ ПРИМЕНЕНИЕ

Система «Toshiba TS1300» относится к системам 3-го поколения с непрерывным вращением и наиболее подходит для исследований головного мозга и всего тела. Данная система позволяет производить точные замеры размеров и объемов патологических образований. Исследования, которые можно выполнять на базовой модели КТ:

Безконтрастные:

КТ исследования костно-суставной системы с возможностью создания трехмерных реконструкций.

КТ исследования костей черепа.

КТ исследования головного мозга с возможностью создания трехмерных реконструкций.

КТ исследования органов грудной полости с возможностью создания трехмерных реконструкций.

КТ исследования органов брюшной полости с возможностью создания трехмерных реконструкций.

КТ исследования органов малого таза.

КТ исследования органов забрюшинного пространства.

Контрастные:

КТ ангиография магистральных (аорты на всем ее протяжении, подключичных, сонных, почечных, подвздошных, бедренных и плечевых артерий), периферических и мозговых артерий с возможностью создания трехмерных реконструкций.

КТ исследования органов брюшной полости (печени, селезенки) с возможностью создания трехмерных реконструкций.

Экскреторная КТ урография,

КТ исследования органов забрюшинного пространства (почек, мезентериальных лимфоузлов).

4. МЕТОДЫ ОБРАБОТКИ СНИМКОВ

4.1 Сегментация изображения

Одной из основных задач обработки и анализа изображений является сегментация, т.е. разделение изображения на области, для которых выполняется определенный критерий однородности, например, выделение на изображении областей приблизительно одинаковой яркости. Понятие области изображения используется для определения связной группы элементов изображения, имеющих определенный общий признак (свойство).

Один из основных и простых способов - это построение сегментации с помощью порога. Порог - это признак (свойство), которое помогает разделить искомый сигнал на классы. Операция порогового разделения заключается в сопоставлении значения яркости каждого пикселя изображения с заданным значением порога.

Рисунок 4.1 - Разновидности сегментации.

4.2 Бинаризация

Операция порогового разделения, которая в результате дает бинарное изображение, называется бинаризацией. Целью операции бинаризации является радикальное уменьшение количества информации, содержащейся на изображении. В процессе бинаризации исходное полутоновое изображение, имеющее некое количество уровней яркости, преобразуется в черно-белое изображение, пиксели которого имеют только два значения - 0 и 1

Пороговая обработка изображения может проводиться разными способами:

Бинаризация с нижним порогом

Бинаризация с нижним порогом является наиболее простой операцией, в которой используется только одно значение порога:


Все значения вместо критерия становятся 1, в данном случае 255 (белый) и все значения(амплитуды) пикселей, которые больше порога t - 0 (черный).

Бинаризации с верхним порогом

Иногда можно использовать вариант первого метода, который дает негатив изображения, полученного в процессе бинаризации. Операция бинаризации с верхним порогом:


Бинаризация с двойным ограничением

Для выделения областей, в которых значения яркости пикселей может меняться в известном диапазоне, вводится бинаризация с двойным ограничением (t1<t2):


Так же возможны другие вариации с порогами, где пропускается только часть данных (средне полосовой фильтр).

Неполная пороговая обработка

Данное преобразование дает изображение, которое может быть проще для дальнейшего анализа, поскольку оно становится лишенным фона со всеми деталями, присутствующими на исходном изображении.


Многоуровневое пороговое преобразование

Данная операция формирует изображение, не являющееся бинарным, но состоящее из сегментов с различной яркостью.


Что касается бинаризации, то по сути все. Хотя можно добавить, что есть глобальная, которая используется для всего изображения и так же существует локальная, которая захватывает часть картинки (изображения)

Локальная пороговая обработка

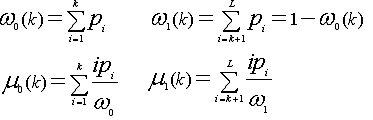
Метод Отса

Метод использует гистограмму распределения значений яркости пикселей растрового изображения. Строится гистограмма по значениям pi=ni/N, где N - это общее кол-во пикселей на изображении, ni - это кол-во пикселей с уровнем яркости i. Диапазон яркостей делится на два класса с помощью порогового значения уровня яркости k,k - целое значение от 0 до L. Каждому классу соответствуют относительные частоты ω0ω1:


Средние уровни для каждого из двух классов изображения:

Далее вычисляется максимальное значение оценки качества разделения изображения на две части:

где (σкл)2=ω0ω1(μ1-μ0)2, - межклассовая дисперсия, а (σобщ)2 - это общая дисперсия для всего изображения целиком.


Определение порога на основе градиента яркости изображения

Предположим, что анализируемое изображение можно разделить на два класса - объекты и фон. Алгоритм вычисления порогового значения состоит из следующих 2 шагов:

Определяется модуль градиента яркости для каждого пикселя

изображения:


Вычисление порога:


Метод использования энтропии гистограммы


.4 Глобальная пороговая обработка

1) Метод Бернсена

. Обычная квадратная апертура с нечетным числом пикселей пробегает в цикле по всем пикселям исходного изображения. На каждом шаге находится Min и Max.

. Находится среднее значение Avg= (Min + Max) /2.

. Если текущий пиксель больше Avg<E - он становится белым, иначе - чёрным. E - некая константа заданная пользователем.

. Если среднее меньше порога контраста - то текущий пиксель становится того цвета, который задавался параметром «цвет сомнительного пикселя».

Имеет ряд недостатков: после обработки монотонных областей яркости формируются сильные паразитные помехи, в некоторых случаях приводит к появлению ложных черных пятен

2) Метод Эйквила

Одним из самых производительных методов является метод Эйквеля. Его часто применяют для обработки четких и контрастных изображений. Согласно данному методу изображение обрабатывается с помощью двух концентрических окон: маленького - S, и большого L. Обычно форма окон принимается квадратной. Оба окна последовательно слева направо сверху вниз накладываются на изображение с шагом равным стороне маленького окна S. Для окна L рассчитывается порог B так, чтобы поделить пиксели на два кластера. Если математические ожидания уровня яркости в двух кластерах имеют разницу, превышающую некоторый заданный пользователем уровень /μ1-μ2/≥l, то все пиксели внутри окна S бинаризуются в соответствии с порогом T. В противном случае, яркость пикселей из окна S заменяется некоторым близким значением.

Метод Ниблэка

Идея данного метода состоит в варьировании порога яркости B бинаризации от точки к точке на основании локального значения стандартного отклонения. Порог яркости в точке (x, y) рассчитывается так:


где μ(x, y) - среднее и s(x, y) - среднеквадратичное отклонение выборки для некоторой окрестности точки. Размер окрестности должен быть минимальным, но таким, чтобы сохранить локальные детали изображения. В то же время размер должен быть достаточно большим, чтобы понизить влияние шума на результат. Значение k определяет, какую часть границы объекта взять в качестве самого объекта. Значение k=-0.2 задает достаточно хорошее разделение объектов, если они представлены черным цветом, а значение k=+0.2, - если объекты представлены белым цветом.

Метод Яновица и Брукштейна

В качестве пороговой поверхности бинаризации используется поверхность потенциалов, строящаяся на основе локальной максимизации градиента яркости. начение градиента яркости часто рассчитывается с помощью контурного оператора Собеля или Кэнни. Изображение фильтруется с целью получения контурных линий толщины в 1 пиксель, а затем усредняющим фильтром 3×3. Потенциальная поверхность, теперь, строится по итерационной интерполирующей схеме. Расчет поверхности идет в порядке, начиная от контурных пикселей. Для каждого не контурного пикселя рассчитывается интерполяционный остаток R(x, y) и новое значение пикселя P(x, y) на n+1-ом шаге должно рассчитываться в соответствии с формулами:


β в пределах 1≤β≤2 для быстрой сходимости.

5. ИСПОЛЬЗОВАНИЕ ВИРТУАЛЬНОЙ КТ-ЭНДОСКОПИИ КРУПНЫХ СОСУДОВ С ИСПОЛЬЗОВАНИЕМ КОМПЬЮТЕРНОГО ТОМОГРАФА «Toshiba TS1300» И СТАНЦИИ «VITREA-2»

В работе представлены результаты практического применения виртуальной эндоскопии сосудов без введения эндо-колоноскопа на основании обследования пациентов с различной патологией. Показана эффективность использования на втором этапе исследования рабочей станции VITREA-2, которая обеспечивает улучшенную 2D, 3D и 4D визуализацию и анализ.

.1 Материал и методы

Применяемая мультисрезовая технология системы «Toshiba TS1300» позволяет просматривать данные в любой проекции без потери качества изображения. Сканирование с толщиной среза 0,5мм применяется для исследования мозгового кровотока, легких, позвоночника, суставов и конечностей. Эта технология позволяет расширить диагностические возможности КТ и существенно улучшить качество мультипланарной реконструкции (МПР) и 3D реконструкции, которые не только повышают надежность диагностики, но также помогают в управлении большим количеством данных, полученных с помощью мультисрезового сканера.

В «VITREA-2» используется самый современный из доступных сегодня в мире процессор для обработки больших объемов изображения исследуемых органов, полученных с помощью КТ.

При КТ-ангиографии использовался Визипак 320 или Омнипак.

Система «VITREA-2» воспроизводит изображение из целой серии, сохраняя детали объема, особенно внутренние структуры, которые могут быть потерянными или невидимыми при других способах визуализации.

«VITREA-2» позволяет увидеть данные пациента на экране в трехмерном режиме 3D. 3D-изображение можно поворачивать на любой угол, рассматривать его снаружи и изнутри, изменять опции режима визуализации для выделения на экране различных типов тканей (кости, сосуды, мышцы) в соответствии с конкретными клиническими задачами.

Рабочая станция может сделать окружающую ткань полностью прозрачной, что позволит увидеть сквозь нее поверхность кости.

В процессе освоения и использования рабочей станции «VITREA-2» был оптимизирован ряд протоколов при исследовании различных органов и систем, особенно при проведении виртуальной эндоскопии сосудов.

.2 Результаты исследований

5.2.1 Принцип виртуальной эндоскопии

Виртуальная эндоскопия - это метод 3D изображения без введения в просвет трахеи, бронхов или кишки эндо-колоноскопа.

Виртуальная зндоскопия создает перспективные виды по средствам использования центральной проекции луча вместо параллельной.

Углы обзора можно менять от 15 до 120. Оптимальными углами обзора считаются близкие к реальной эндоскопии, которые варьируют от 60 до 90.

МПР обеспечивает информацию КТ-плотности контрастного усиления, помогает оценить внутристеночную распространенность поражения, а также виртуальное эндоскопическое изображение, создает эндоскопическую проекцию в противоположном положении, а также изображение просвета сосуда.

В «VITREA-2» встроен порядок действий, обычно используемый в клинической рентгенологии, что делает применение станции «VITREA-2» наглядным и простым.

Благодаря сочетанию ранее неслыханной скорости обработки с встроенной клинической последовательностью процедур и клиническими протоколами просмотра, «VITREA-2» преодолевает все основные препятствии к рутинному использованию 3D- визуализации в диагностической рентгенологии.

Наибольший интерес представляет исследование станции «VITREA-2» для изучения сосудистой патологии.

Важным явилось изучение с помощью станции «VITREA-2» сосудистой патологии с целью выявления разрастания внутренней стромы сосудов, наличие в них бляшек, тромбов и эмболов.

Рисунок 4.1 - КТ-ангиография сосудов головного мозга. Аневризма передней соединительной артерии головного мозга. На поверхности сосуда видны многочисленные бляшки.

Рисунок 4.2 - Измерение диаметра просвета пораженного отдела брюшной аорты.

.2.2 Виртуальная КТ-ангиография

При изучении внутренней структуры пораженных сосудов следует начать с подготовки станции, которая заключается в переключении из обычного исходного окна просмотра в режим Fly Through (режим виртуального просмотра) к виртуальной проекции.

Затем, в галерее станции «VITREA-2» выбираем протокол 3D Vascular Color и открываются 4 окна, 3 из них в МПР проекциях, а именно, в аксиальной, фронтальной и сагиттальной и одно окно в режиме виртуального просмотра Fly Through.

Использовался метод трехмерного объемного представления (3D volume rendering); метод отображения затемненной поверхности (surface shaded display); метод максимально интенсивной проекции (МIР); метод минимально интенсивной проекции (Мin IР). Основной акцент сделан на наиболее современном методе - трехмерного объемного представления (volume rendering).

Виртуальная КТ-ангиография позволяет обнаружить потенциальные причины острой ишемии, такие как артериальный стеноз высокой степени, изъязвление бляшки или аневризму с частичным тромбированием, что позволяет предпринять тромболитическую терапию или отказаться от тромболитической терапии (рис.18-20).

компьютерный томограф сканирование сосуд

Рисунок 4.3 - КТ-ангиография верхних конечностей

ВЫВОД

Во время исследования были получены новые знание и навыки работы со специализированными компьютерными системами, изучен метод виртуальной ангиографии с использованием компьютерного томографа и рабочей станции.

Пакет программного обеспечения станции позволяет быстро и качественно проводить исследования. Предлагаемая методика виртуального исследования позволяет значительно расширить диагностические возможности спиральной компьютерной томографии. По полученным данным, виртуальные исследования могут быть одним из основных способов диагностики. Рабочая станция обеспечивает улучшенную 2D и 3D визуализацию и анализ, давая врачу возможность подготовить отчет о пациенте за считанные минуты.

СПИСОК ИСПОЛЬЗУЕМОЙ ЛИТЕРАТУРЫ

М. Прокоп, М. Галански. Спиральная и многослойная компьютерная то-мография.- с 1-52. 2006.

В. Н. Корниенко, И. Н. Пронин. Нейрорадиология. -с.179-273.

De Chiro G.et al. Tomorsand (arterio-venous malformations of the braine) assement using CT Radiology 2000. 156, p.689-697.

Соколов В. Н. Использование виртуальной КТ-эндоскопии сосудов головного мозга и брюшной полости. Congresul 11al medicilor imagistidin Republica Moldova cu participare international. 2007.

Похожие работы на - Компьютерный томограф Asteion 4 для сканирования всего тела и его комплектующие

 

Не нашли материал для своей работы?
Поможем написать уникальную работу
Без плагиата!
Без нейросетей!