Електричний та конструктивний розрахунок фазованої антенної решітки
ХАРКІВСЬКИЙ
УНІВЕРСИТЕТ
Курсова
робота
з
навчальної дисципліни « Пристрої надвисоких частот та антени »
на
тему: « Електричний та конструктивний розрахунок ФАР»
ХАРКІВ
- 2011
ЗМІСТ
1. Вихідні данні
. Конструкція, принцип ,класифікація дії ФАР
. Вибір стандартного хвилеводу
. Геометричні розміри решітки
. Геометричні розміри елемента (рупора)
6. Електричний розрахунок антени
Висновок
Література
1. ВИХІДНІ ДАННІ
1. Ширина діаграми
спрямованості (ДС) - 0.032 м.
2. Рівень бокових пелюстків -
Fбу= -13,3 дБ
3. Довжина хвилі - λ
=0,04 м.
. КОНСТРУКЦІЯ, ПРИНЦИП ДІЇ ФАЗОВАНОЇ
АНТЕННОЇ РЕШІТКИ
Антенними решітками називають
системи, які складаються із ряду окремих випромінювачів. Решітки складаються із
ідентичних і однаково орієнтованих випромінювачів.
За останні роки вимоги до РЛС
різного цільового призначення різко підвищились. сучасна РЛС повинна бути
багатофункціональною, здатна виконати різні задачі по ряду цілей (виявлення,
супроводження, наведення ракет та інше). Дзеркальні антени не можуть
забезпечити виконання комплексу цих вимог. Справа в тім, що дзеркальні антени
мають багато недоліків. Тому найбільш перспективним шляхом задоволення
комплексу вимог, які пред’являються до сучасних РЛС є використання в них ФАР.
ФАР - це решітка випромінювачів
у якій переміщення променя у просторі здійснюється шляхом введення змінних
фазових зсувів між струмами, які живляться окремими випромінювачами управління
фазовим розподіленням в ФАР здійснюється електричним шляхом, що дозволяє швидко
керувати формою ДС РЛС і положенням її у просторі.
У якості випромінювачів
використовуються слабо направлені антени. Живлення випромінювачів здійснюється
окремими каналами. В кожному каналі знаходяться керуючі пристрої, які
дозволяють у загальному випадку змінювати фазу та амплітуду струму у кожному
випромінювачі.
антенний решітка фідерний випромінювач
Управляющие устройства
Мал.1
Классификация ФАР
Фазированные антенные решетки могут
быть классификацированы по различными признаками - по геометрии расположения
излучателей решетки в пространстве, по характеру размещения излучателей в самой
решетки ,по способу качания луча и т.д.
В зависимости от геометрии
расположения излучателей в пространстве ФАР можно разделить на одномерные, двухмерные
и трехмерные.
К одномерным решеткам относятся
линейные , дуговые ,кольцевые решетки.
Двумерные решетки могут быть:
плоскими ,когда излучатели
расположены в одной плоскости в пределах прямоугольника ,круга ,
многоугольника;
цилиндрическими , сферическими ,
коническими - излучатели расположены соответственно на цилиндре , сфере ,конусе
.
Трехмерные решетки. В простейшем
варианте это системы из двух параллельно расположенных плоскостных решеток.
Линейные и плоские ФАР позволяют
осуществить соответственно одномерное или двумерное сканирование ДН в секторе
до ±45°. При больших углах отклонения ДН расширение луча и снижение КНД
становятся недоступными. Для увеличения сектора сканирования излучатели ФАР
размещают на искривленных поверхностях. Сканирование в таких решетках
осуществляются обычно путем коммутации группы работающих излучателей, то КИП
антенны невелик.
По характеру размещения излучателей
в самой решетки последние делятся на эквидистантные и неэквидистантные .
По способу возбуждения ФАР можно разделить
на решетки с фидерным и оптическим питанием. Фидерное питание может
осуществится по последовательной или параллельной схеме . В последовательной
схеме возбуждение элементов осуществляется волной , бегущей вдоль фидера .В
параллельной схеме элементы решетки возбуждаются независимо . Возможно также
смешанная (последовательно - параллельная ) схема фидерного питания.
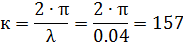
3. ВИБІР СТАНДАРТНОГО ХВИЛЕВОДУ
Для визначення розмірів фідерного
тракту необхідно знати частоту хвилі. Визначивши частоту хвилі можна визначити
за простою формулою (6):
ГГц
Знаючи частоту хвилі визначимо
геометричні розміри фідерного тракту таблиця №1
:
Таблиця
|
Позначення
|
Диапазон частот для основного типу хвиль Ггц
|
розміри, мм
|
Товщина стін
|
Затухання дБ/м
|
|
|
ширина
|
висота
|
|
На частоті Ггц
|
Теор. величина
|
Макс. Вел-на
|
|
от
|
до
|
|
|
|
|
|
|
|
МЭК-100
|
6,57
|
9,99
|
28,499
|
12,624
|
1,625
|
7,89
|
0,0794
|
0,103
|
а = 0,0285 м.
в = 0,0126 м.
4.
ГЕОМЕТРИЧНІ РОЗМІРИ РЕШІТКИ
Розглянемо геометричні розміри
фазованої антенної решітки рис.1:

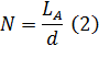
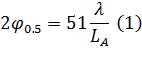
З формули (1), знайдемо довжину ФАР:
Для розрахунку кількості елементів з
яких складається ФАР скористаємося формулою
З рис.1 видно, що відстань між
елементами ФАР дорівнює геометричним розмірам рупора в Е - площині:
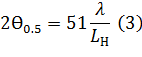
5. ГЕОМЕТРИЧНІ РОЗМІРИ ЕЛЕМЕНТА
(РУПОРА)
На рис. 2 зображений пірамідальний
рупор з амплітудним розподілом у відповідних площинах:
Для знаходження геометричних
розмірів рупора необхідно знати ширину ДС, рівень бокових пелюстків, та довжину
хвилі. Скористаємося формулою
З формули (3), знайдемо геометричні
розміри рупора в Н - площині:
З рис.1 видно, що відстань між
елементами ФАР дорівнює геометричним розмірам рупора в Е - площині:
6.
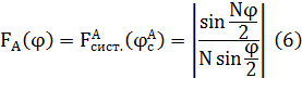
ЕЛЕКТРИЧНИЙ РОЗРАХУНОК
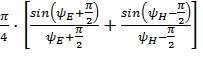
ДС лінійної ФАР в Н - площині:
ДС лінійної ФАР в Н - площині
співпадає з ДС опромінювача в Е - площині розраховується за формулою
:
ДС - при рівномірному амплітудному
розподілі розраховується за формулою:
FE (
)
=
;
Оскільки ДС джерела Гюгенса набагато
ширше ніж ДС опромінювача, дивись (рис. 3 ),
Рис.3 ДС
джерела Гюгенса
тоді
.
Використовуючи формулу
, будемо
вважати, що ДС опромінювача Е- площині розраховується наступним чином:
FН (
) =
, де ΨН =
При цьому зручно вести розрахунки в
таблиці №1:
Таблиця
|
Ө
|
0
|
10
|
20
|
30
|
40
|
50
|
60
|
|
ΨЕ
|
0
|
1,36
|
2,67
|
3,93
|
5,03
|
6,05
|
6,83
|
|
F(𝜑)
|
1
|
0,70
|
0,18
|
-0,18
|
-0,18
|
-0,021
|
0,08
|
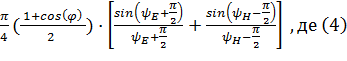
Розрахунок ДС антени в Е - площині:
ДС лінійної ФАР в Н- площині
розраховується за формулою
:
- ДС опромінювача
.
Враховуючи, що
,
тоді ДС ФАР в Е - площині буд розраховуватись за формулою формулу
- кількість
елементів,= 0.032 м.
Розрахунок ДС антени в Е - площині:

(0,07
57,3)
= 80 ширина ДС;
ВИСНОВОК
Радиолокация как наука окончательно
сформировалась во время Второй Мировой войны. В то время использование
радиолокационных станций давало огромное преимущество перед противником. И за счет
этого радиолокация получила огромный толчок для быстрого развития.
Сегодня мы имеем, с одной стороны,
классическую учебно-научную дисциплину, с другой стороны, удивительные по своим
возможностям многочисленные различные радиолокационные станции и устройства,
действительно способные совершить невозможное и увидеть то, что в житейском
плане в принципе невозможно увидеть.
На радиолокации основано действие
многих приборов, широко применяемых как в повседневной жизни, а также в военной
области. Отражение радиоволн - первая основа, первый принцип радиолокации. Не
будь отражения радиоволн, не было бы и радиолокации. Направленность составляет
также основу радиолокации, то есть второй ее принцип.
В радиолокации вся получаемая
информация о наблюдаемой цели может быть получена только из сравнения
излученного и принятого сигналов. Будучи извлеченной, эта информация будет
выражаться на языке электрических сигналов, а не на языке каких-либо физических
или геометрических характеристик цели. Перевод с одного языка на другой это
другая самостоятельная задача. В радиолокации используются радиоволны с длиной
волны, приходящейся на сантиметровый (реже дециметровый) и миллиметровый
диапазоны.
Радиоволна распространяется в
воздухе со скоростью, близкой к скорости света. Поэтому время, которое
приходится измерять, очень мало. Надо уметь измерять промежутки времени порядка
сотен микросекунд с точностью до десятой доли микросекунды. Фазированая
антенная решетка по этим характеристикам больше всего подходит. К сожалению , в
настоящее время создание ФАР пока еще сопряжено с серьезными трудностями:
. Высокая стоимость ФАР ,
обусловленная сложностью излучающей системы, канализирующих трактов, дорого
управляющего устройства и необходимостью разработки большого количества
принципиально новых СВЧ узлов .
. Появления значительных фазовых
ошибок в разкрыве из-за не стабильности работы управляющих устройств,
неидентичности СВЧ приборов, включаемых в тракты ФАР. Это вынуждает принимать
меры по стабилизации фазового распределения что приводит к усложнению схемы
решетки и дополнительному повышению её стоимости.
. Значительные потери мощности из-за
сложности трактов приводят к низкому КПД антенны.
. Трудности расширения полосы
пропускания.
Не смотря на то, что перечисленные
трудности заметно сдерживают разработку ФАР, последние считаются наиболее
перспективным классом радиолокационных антенн. Их внедрение позволит
существенно улучшить основные характеристики РЛС.
ЛІТЕРАТУРА
1. «Что
такое радиолокация» С. А. Божанов 1948 г.
. «Антени»
Я.С. Шифрин 1976г.
. «
Расчет и проектирование антен СВЧ» Я.С. Шифрин 1971г.
. «Пристрої
НВЧ та антени» В.А. Усин 1984г.
. «Авиационные
антенно - фидерные устройства» В.В.Белоусов 1974г.