Електричний та конструктивний розрахунок параболоїда обертання

  • Вид работы:
    Курсовая работа (т)
  • Предмет:
    Информатика, ВТ, телекоммуникации
  • Язык:
    Украинский
    ,
    Формат файла:
    MS Word
    248,18 Кб
  • Опубликовано:
    2014-05-09
Вы можете узнать стоимость помощи в написании студенческой работы.
Помощь в написании работы, которую точно примут!

Електричний та конструктивний розрахунок параболоїда обертання













Курсова робота з навчальної дисципліни

"Пристрої надвисоких частот та антени"

на тему: "Електричний та конструктивний розрахунок параболоїда обертання"

Зміст

Вихідні данні

1. Конструкція, принцип дії параболоїда обертання

2. Конструктивний розрахунок параболоїда обертання

. Конструктивний розрахунок пірамідального рупору

4. Розрахунок діаграми направленості антени

5. Вибір стандартного хвилевода

6. Пропозиції по конструктивному виготовленню та особливості застосування у військових умовах

Висновок

Література

параболоїд обертання рупор хвилевод

1. Вихідні дані

1.   Ширина діаграми спрямованості (ДС) - 2Ө0,5р= 1 º

2.       Рівень бокових пелюстків - Fбу= - 23 дБ

3.       Довжина хвилі - λ = 3 см

.        Тип опромінювача - пірамідальний рупор

.        Поляризація - горизонтальна

. Конструкція, принцип дії параболоїда обертання


Дзеркальними називаються антени у котрих поле в розриві формується в результаті відбиття електромагнітної хвилі від металевої поверхні спеціального рефлектора (дзеркала). Джерелом електромагнітних хвиль зазвичай є елементарна антена, що називається опромінювачем. Саме дзеркало і опромінювач є основним елементом антени.

Параболоїд обертання трансформує сферичний фронт хвилі (паралельний пучок променів) опромінювача в плоский фронт в розкриві дзеркала. Для цього фазовий центр опромінювача встановлюють в фокусі параболоїда.

Поле, яке випромінює антена, представляє собою сему полів, викликаних самим дзеркалом , його металічними конструктивними елементами, призначених для кріплення випромінювача. Та поля випромінювача, випромінюючого ним за межами кутів, займаємих дзеркалом. Енергія випромінювача. Не перехоплена дзеркалом, та енергія, розсіяна на елементах конструкції, збільшують побічне випромінювання, впливаючи в основному на "дальні" бокові пелюстки з малим в порівнянні рівнем. Вплив цих факторів на основний та перші бокові пелюстки незначний їм зазвичай нехтують, рахуючи, що поле випромінене збуджуються тільки в розкриві дзеркала. При цьому нехтують також полем, яке виникає в результаті затікання струмів на "тіньову" поверхню дзеркала.

Дзеркало і опромінювач являються основними елементами дзеркальних антен. Дзеркало зазвичай виготовляється із алюмінієвих сплавів. Поверхні дзеркала надається форма, що забезпечує формування потрібної ДС. Інодідля зменшення парусності і ваги дзеркало виготовляють не суцільним, а решітчастим. Для такого дзеркала доля просо чуваної крізь неї потужності, яка йде на утворення небажаного заднього випромінювання, не повинна перевищувати 0,01-0,02 %. Тому решітка повинна бути достатньо густою.

Класичними серед параболічних антен є антени, виконані в виді параболоїда обертання або параболічного циліндра. Дзеркала цих антенн перетворюють сферичну чи циліндричну хвилю опромінювача в плоску хвилю при передачі, і навпаки при прийомі. Опромінювач, відповідно, розміщують в фокусі параболоїда чи вздовж фокальної лінії циліндричного дзеркала.

3.   Конструктивний розрахунок параболоїда обертання

Розрахунок геометричного розміру параболоїда


1.   Використовуючи ДС в Н-плоскості, по заданому рівню бокових пелюстків знайти приблизне відношення а\р:


2.   Використовуючи ДС в Е-плоскості, по заданій довжині хвилі та ширині ДС визначемо розмір розкрива антени Д:


3.   По знайденим а\р та Д=2а визначемо фукусну відстань та кут розкрива антени:

а = 2,01/ 2 = 1,005 м

р = 1,005 / 0,7 = 1,435 м

f = 1,435 / 2 = 0,717 м

ϴ0 = (arctg(1,005/2·0,717))2 = 70°

z0 = 1,005 2 / 2·0,717= 0,703 м

4.   Конструктивний розрахунок пірамідального рупора

Для заданої довжини хвилі розрахуємо опромінювач


Пирамидальний рупор - рупор у якого збільшуються розміри в обох площинах.

Опромінювач вважається важливим елементом дзеркальної антени в великій степені визначаючий її парамитери. До опромінювачів які використовуються у параболоїда обертання вимагаються наступні умови:

1.     Фронт хвилі, випроміненої опромінювачем, повиннен бути близьким ло сферичного, опромінювач повиннен мати фазовий центр.

2.       ДН опромінювача повинна бути односторонньою,близькою до осеметричної та мати визначену ширену, узгоджену з кутом розкрива дзеркала, рівень бокових пелюстків повинен бути мінімальним.

.        Поле, випромінене опромінювачем повинно мати задану поляризацію.

.        Опромінювач повинен мати невеликі розміри, що найменше затіняти розкрив дзеркала.

.        Опромінювач повинен пропускати задану потужність випромінення та бути добре узгодженим з фідером в заданому діапазоні частот.

Розраховуємо геометричні розміри  опромінювача в головних плоскостях: Е - плоскости

ΨE =


FE (ϴ) =  - діаграма направленості в Е - площинні

Ө

0

10

20

30

40

50

60

70

F(Ө)

1.0

0,97

0,90

0,76

0,63

0,39

0,3

ΨЕ

0

0,44

0,86

1,257

1,608

1,935

2,187

2,36





H - плоскости:

ΨH =

E (ϴ) =  - діаграма спрямованості в Н-площині

Ө

0

10

20

30

40

50

60

70

F(Ө)

1.0

0,94

0,85

0,77

0,59

0,46

0,36

0,3

ΨН

0

0,58

1,139

1,676

2,145

2,58

2,915

3,15





Розрахунок амплітудного розділу в розкриві дзеркала

в Е- площині

Розрахунок  за формулою:


№ з\п

)

1

0

0

0

1

1

1

1

2

0,087

0,124

0,98

0,98

0,97

0,95

3

20

0,176

0,251

0,939

0,96

0,9

0,86

4

30

0,267

0,381

0,866

0,92

0,76

0,69

5

40

0,363

0,518

0,766

0,88

0,63

0,55

6

50

0,466

0,602

0,642

0,81

0,50

0,40

7

60

0,577

0,823

0,500

0,76

0,39

0,29

8

70

0,700

1

0,342

0,67

0,3

0,20


Графік АР антенив Е-площині


θ

0

10

20

30

40

50

60

70

А(θ)

1

0,95

0,86

0,69

0,40

0,29

0,20



Н- площина


Таблица

 № з\п

1

0

0

0

1

1

1

1

2

10

0,087

0,124

0,98

0,98

0,94

0,92

3

20

0,176

0,251

0,939

0,96

0,85

0,82

4

30

0,267

0,381

0,866

0,92

0,77

0,71

5

40

0,363

0,518

0,766

0,88

0,59

0,52

6

50

0,466

0,602

0,642

0,81

0,46

0,37

7

60

0,577

0,823

0,500

0,76

0,36

8

70

0,700

1

0,342

0,67

0,3

0,20


Графік АР антени в Н-площині


θ

0

10

20

30

40

50

60

70

А(θ)

1,0

0,92

0,82

0,71

0,52

0,37

0,27

0,20



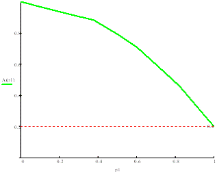
Апроксимуємо отриманий АР однієї із функцій

 

ρ1ρ0 ρ0 = а = 1,005

ρ1

0

0,123

0,25

0,379

0,515

0,599

0,819

0,995

А(ρ1)

1

0,96

0,92

0,88

0,78

0,71

0,46

0,20



Горизонтальну поляризацію забезпечуємо за рахунок розміщенням рупора, а саме :



4. Розрахунок діаграми спрямованості антени

Розрахунок ДС антени:

A(θ) =

 

θ

FA(θ)

0

0

0

1

1

1

0,25

0.2

0.88

0.90

0,89

0,5

1,68

0.2

0.68

0.79

0,76

0,75

2,73

0.2

0.29

051

0,46

1,0

3,57

0.2

0.02

0.3

0,24

1,25

4,42

0.2

-0.12

0.1

0,05

1,5

5,47

0.2

-0.15

-0.05

-0,07

1,75

6,31

0.2

-0.09

-0.11

-0,106

2,0

7,15

0.2

0,03

-0,1

-0,074

2,25

8,20

0.2

0,09

0

0,018




5. Вибір стандартного хвилеводу

Позначення

Диапазон частот для основного типау хвиль Ггц

Внутренние розміри, мм

Товщина стін

Затухання дБ/м



ширина

висота


На частоті Ггц

Теоретична величина

Максимальна величина


от

до







МЭК-12

0,96

1,46

195,58

-

1,15

0,00405

0,005


. Пропозиції по конструктивному виготовленню та особливості застосування у військових умовах

Дзеркальні антени сучасних РЛС являють собою досить складні та часто громіздкі конструкції, які складаються із дзеркала та опромінювача та фідерного пристрою.

Для зменшення ваги та парусності антени дзеркала часто роблять перфорованими (дирчатими), сітчатими або з паралельних проводів

У військах дзеркальні антени використовуються як РЛС виявлення. До РЛС виявлення вимагаються визначенні тактико-технічні вимоги по зоні огляду,дальності дії, точності визначення координат, перешкодозахисту. Антена повинна забезпечувати круговий огляд простору. Для досягнення потрібної дозволяючої можливості по азимуту ширина ДС в азимутальній площинні повинна бути вузькою (0,5 - 2). Для збільшення перешкодозахисту рівень бокових пелюстків повинен бути по можливості меншим.

В процесі експлуатації та бойової роботи РЛС можливі різні види пошкоджень дзеркала та опромінювача.

До пошкоджень дзеркала відносяться перекоси поверхні з порушенням форми пробоїни та вигини. Основними параметрами пошкоджень дзеркала являються: площа пошкодженої ділянки Ṡп ,координати пошкодженого ділянки (α,ψ). Глибина вм’ятини h, діаметр вм’ятини d.

При будь-якому пошкодженні дзеркала відбувається зміна АФР в його розкриві що призводить до викривлення ДС, зниження КНД, розширення головних пелюстків, зміщенню максимуму головного пелюстка, збільшення заднього випромінювання.

Найбільший вплив здійснюють пошкодження в центрі антени. Для тимчасового відновлення антени на позиції при пошкодженні дзеркала використовують спеціальні накладки. Які за формою співпадають з профілем дзеркала, які наклеюються на пошкодженні частини антени.

В ході експлуатації на поверхні антени можуть збиратися слої льоду, інію або снігу. Теплові втрати в цих слоях невеликі, та їх можна не враховувати, але фазові зміни,які виникають за рахунок опадів , можуть призвести до зміни характеристик антени.

Для захисту антени від зовнішніх чинників в останні роки використовують радіо прозорі антенні укриття (РПУ) або обтеклі. Вони змінюють характеристики антени, ці зміни необхідно враховувати при оцінці роботи радіотехнічної системи.

Таким чином, при експлуатації дзеркальних антен необхідно не допускати механічні пошкодження, накопичення опадів на дзеркалі та РПУ, попадання води у фідерні тракти та опромінювач. Фарбування поверхні дзеркала та РПУ повинна відбуватися спеціальними красками та лаками.

Висновок

В результаті виконання курсової роботи була розрахована дзеркальна параболічна антена. Розрахунки показали, що при відносно невеликих розмірах антена забезпечує вузько спрямовану ДС. Нажаль, ефективна поверхня випромінювання дзеркала менша за її геометричні розміри. Це пов’язано з нерівномірністю розподілення амплітуди поля в розкриві параболи, яке для дзеркальних антен послаблюється від центру до його країв. В результаті елементи дзеркала більш близькі до країв створюватимуть меншу напруженість поля, ніж елементи поля, що розташовані в середині. Тому послаблення поля до країв параболи еквівалентно зменшенню її розмірів, якщо площадку розглядати як збуджувану рівномірно. Параметром, що характеризує розподілення поля в розкриві є КВП, який повністю визначається розміщенням і ДС опромінювача. При швидкому спаді амплітуди поля до країв дзеркала КВП різко падає.

Параболоїд обертання трансформує сферичний фронт хвилі (паралельний пучок променів) опромінювача в плоский фронт в розкриві дзеркала. Для цього фазовий центр опромінювача встановлюють в фокусі параболоїда.

ДС антени, КНД, рівень головних пелюстків, положення максимуму головного пелюстка, задне випромінювання, залежить основним чином від АФР в розкриві дзеркала.

Таким чином, при експлуатації дзеркальних антен необхідно не допускати механічні пошкодження, накопичення опадів на дзеркалі та РПУ, попадання води у фідерні тракти та опромінювач. Фарбування поверхні дзеркала та РПУ повинна відбуватися спеціальними красками та лаками.

Дзеркальні параболічні антени характеризуються високим рівнем ККД. ККД сильно залежить від геометричних розмірів параболоїда, тобто чим глибше дзеркало тим більша частина енергії попадає на дзеркало і тому більше ККД. Характер зміни ККД протилежний характеру зміни КВП. КСД дзеркальних антен не є параметром який в достатній мірі характеризує направлені властивості, оскільки не враховує втрат енергії на розсіювання. Для більш повної характеристики використовують коефіцієнт підсилення антени.

Література

1.     Шифрин Я.С. Расчет и проектирование антен сверхвысоких частот. Х., 1971.

2.       Шифрин Я.С. Антени. Издание академии. Х., 1976.

.        Усин В.А. Присторї НВЧ та антени . Х., 1984.

.        Белоусов В.В. Авивционные антенно-фидарные устройства. Учебное пособие по курсовому и дипломному проектированию ч. І.Х., 1989.

Похожие работы на - Електричний та конструктивний розрахунок параболоїда обертання

 

Не нашли материал для своей работы?
Поможем написать уникальную работу
Без плагиата!
Без нейросетей!