Выбор периодов следования неэквидистантных последовательностей импульсов
Введение
Изучение большинства разделов
радиотехники базируется на знании и умении применять на практике большого
количества математических методов и подходов. Для этого в курс обучения
студентов радиотехнических направлений подготовки введена дисциплина «Математические
методы в радиотехнических расчетах». Материал этой дисциплины призван расширить
знания студентов в специальных разделах математики и научить применять их при
проведении радиотехнических расчетов.
Большинство математических методов,
применяемых в радиотехнике, являются достаточно громоздкими и трудоемкими,
поэтому для автоматизации вычислений и расчетов широко используется
вычислительная техника и математические пакеты прикладных программ. В настоящее
время наиболее популярной программой является MathCAD 14. Эта программная среда
сочетает в себе большое количество математических функции с достаточно простым
интуитивно-понятным интерфейсом. Кроме этого эта программа позволяет
автоматизировать элементарные математические расчеты, представлять полученные
результаты при помощи большого количества разнообразных графиков, а так же
проводить достаточно сложные научные и экспериментальные исследования.
Глава 1. Выбор периодов следования
неэквидистантных последовательностей импульсов
Импульсные сигналы широко
используются в радиосистемах в качестве переносчиков различной информации, а
так же при зондировании пространства. При этом различают регулярные
(эквидистантные) и неэквидистантные последовательности импульсов. В первых,
основные параметры (амплитуда, частота и фаза) от импульса к импульсу
последовательности являются неизменными, а у вторых один или несколько
параметров изменяются случайно, либо по какому-либо закону.
Наибольшее распространение получили
регулярные последовательности импульсов, характеристики которые достаточно
хорошо и полно изучены.
Неэквидистантные последовательности
импульсов могут быть получены двумя разными путями. В виде таких
последовательностей могут формироваться импульсные сигналы, принятые в процессе
исследования разного рода систем, либо в результате получения информации
(дискретизация сигналов с пропусками и сбоями наблюдений, стохастическое и
квазистохастическое кодирование, потоки отсчетов в цифровых системах передачи
информации и т.д.) [1]. В ряде задач обработки [2, 3] неэквидистантные
последовательности формируются намерено, поскольку при этом появляется
возможность выявить дополнительную информацию из принятого сигнала, либо
расширить пределы измерений. В первом случае последовательность импульсов уже
получена и необходимо синтезировать наилучшие, в некотором смысле, алгоритмы ее
обработки, во втором - тип неэквидистантности последовательности импульсов
задается, исходя из наиболее предпочтительных критериев дальнейшей их
обработки. В представленной работе рассмотрены пути решения второй задачи.
1.1 Регулярные последовательности и
их свойства
Свойства регулярных
последовательностей импульсов в настоящее время достаточно хорошо изучены [см.,
например, 4, 5], остановимся на основных свойствах этих последовательностей,
которые нам понадобятся в дальнейших исследованиях. В большинстве задач
характеризуют импульсные последовательности при помощи корреляционных функций,
спектральных плотностей, а также для них строят функции неопределенности [5,
6].
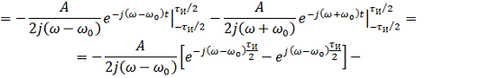
Рассмотрим следующую задачу. Пусть
формируется последовательность из N импульсов, каждый из которых в
пределах периода импульса описывается функцией вида
где A(t) - известный
закон изменения огибающей импульса; w0 = 2p×f0, f0 - несущая частота; y(t) - известный закон изменения фазы импульса; j0 - начальная фаза и tИ - длительность
импульса.
В случае регулярной последовательности
все параметры импульсов являются постоянными - период следования T, несущая
частота f0, начальная фаза j0 и длительность tИ, изменяются только A(t)
и y(t).
Для примера на рис. 1.1 приведена
последовательность из десяти видеоимпульсов (w0 = 0) со следующими
параметрами: длительность каждого импульса составляет tИ = 100 мкс, период
следования T = 1 мс, A(t) = А = 1, y(t) = 0 и j0 = 0.
Рис. 1.1 Регулярная
последовательность видеоимпульсов
.1.1 Автокорреляционная функция
регулярной последовательности импульсов
Наиболее часто для описания свойств
импульсных последовательностей рассчитывают ее автокорреляционную функцию
(АКФ), которая для детерминированного сигнала вычисляется по формуле [5]
Подставим в (1.2) выражение,
описывающее сигнал (1.1). С учетом того, что сигнал в пределах периода T
отличен от нуля только от -tИ/2 до tИ/2, а так же введенные ограничения A(t) = A, y(t) = 0 и j0 = 0, получим
Решением определенного интеграла
(1.3) является выражение для АКФ одиночного видеоимпульса
или
функция синус Котельникова.
Для получения выражения АКФ
регулярной последовательности импульсов воспользуемся методикой изложенной в
[4, 5]:
1. АКФ регулярной последовательности
из N импульсов содержит 2N - 1 лепестков;
2. Центральный лепесток имеет
максимальную амплитуду, лепестки справа и слева от центрального являются
симметричными с уменьшающейся амплитудой;
. Значение центрального
лепестка АКФ последовательности импульсов равна N×R(t) одиночного импульса (1.5);
. Значение первого бокового
лепестка равна (N - 1)×R(t), второго (N - 2)×R(t), и т.д., последний лепесток АКФ определяется соотношением (1.5).
На рис. 1.2 приведена рассчитанная
средствами языка программирования С++ по соотношению (1.2) АКФ
последовательности, приведенной на рис. 1.1. Полученная АКФ и функция,
рассчитанная по описанной выше методике и соотношению (1.5), полностью совпали.
Это говорит о том, что получить АКФ регулярной последовательности
видеоимпульсов можно как в результате моделирования, так и при помощи расчетов.
Основными характеристиками АКФ
являются - ширина центрального лепестка и максимальный уровень боковых
лепестков (УБЛ). Из соотношения (1.5) и рис. 1.2 видно, что ширина центрального
лепестка, как и всех других, составляет 2tИ. Максимальный УБЛ равен
отношению максимального значения бокового лепестка Rmax(t) (в нашем случае это первый боковой лепесток) к максимальному
значению центрального R(0)
Для рассчитанной АКФ, приведенной на
рис. 1.2 УБЛ составляет минус 0,92 дБ.
Рис. 1.2 АКФ регулярной
последовательности видеоимпульсов
Рассмотрим теперь регулярные
последовательности импульсов, у которых w0 ¹ 0, причем исследуем частный случай, когда выполняется условие
где M - любое четное число,
при этом начальные фазы каждого импульса в последовательности принимают одно и
то же значение.
На рис. 1.3, а) приведена
последовательность таких импульсов (1.1) при f0 = 10 кГц (из
соотношения (1.8) следует, что M = 10), а на рис. 1.3, б) два первых
импульса этой последовательности. На рис 1.4, а) полученная АКФ, а на рис. 1.4,
б) центральный и два первых ее боковых лепестка.
В случае, когда w0 ¹ 0 последовательность содержит импульсы, состоящие из части
периода или нескольких периодов гармонического колебания, и, как следствие, АКФ
из треугольной формы, как в случае последовательности видеоимпульсов (рис.
1.2), становится колебательной (рис. 1.4), причем R(t) принимает как положительные, так и отрицательные значения. Как
видно из рис. 1.4 при w0 ¹ 0 ширина
центрального лепестка, как и в случае последовательности видеоимпульсов
составляет 2tИ, а УБЛ увеличился до значения минус 0,51 дБ. Кроме этого из
сравнения рис 1.2 и 1.4 видно, что максимум главного лепестка АКФ при w0 ¹ 0 уменьшается по сравнению со случаем, когда w0 = 0. Как и в случае
видеоимпульсов, функция, рассчитанная по (1.5) по описанной методике совпала с
экспериментальной зависимостью, приведенной на рис. 1.4.
а) б)
Рис. 1.3 Регулярная
последовательность импульсов при f0 = 10 кГц
Теперь рассмотрим общий случай,
когда соотношение (1.8) не выполняется. Например, если у каждого импульса последовательности
f0 = 200 Гц (из соотношения (1.8) М = 0,2), то
получаем последовательность импульсов, приведенных на рис. 1.5. Из рис. 1.5
видно, что начальные фазы у каждого импульса последовательности принимают
разные значения, АКФ такой последовательности показана на рис. 1.6.
а) б)
Рис. 1.4 АКФ регулярной
последовательности импульсов при f0 = 10 кГц
В ситуациях, когда w0 ¹ 0 и соотношение (1.8) не выполняется использовать описанную
методику получения аналитического выражения для расчета АКФ последовательности
импульсов на основе выражения для АКФ одиночного импульса нельзя. В общем
случае получение такого аналитическое выражение вызывает серьезные трудности и
определить АКФ проще при помощи моделирования.
Рис. 1.5 Регулярная
последовательность импульсов при f0 = 200 Гц
Рис. 1.6 АКФ регулярной
последовательности импульсов при f0 = 200 Гц
Как видно из приведенных рисунков
ширина главного лепестка АКФ остается неизменной при различных значениях w0. Получение
аналитического выражения для АКФ в общем случае вызывает сложности, однако для
расчета УБЛ АКФ формируемой последовательности импульсов при разных значениях w0 можно использовать
следующую методику.
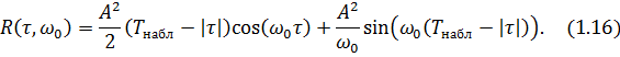
Рассмотрим предельный случай
последовательности, когда период и длительность импульса равны друг другу. При
этом последовательность импульсов переходит в гармоническое колебание с
частотой w0. Т.е. мы наблюдаем сигнал вида
На рис. 1.7 приведены -
гармоническое колебание с w0 = 500 Гц (пунктирная кривая) и полученная из нее
последовательность импульсов (сплошная кривая).
Рис. 1.7 Гармоническое колебание с w0 = 500 Гц (пунктирная
кривая) и последовательность импульсов (сплошная кривая)
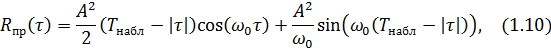
Получим выражение для АКФ сигнала
(1.9) при помощи выражения (1.2) при A(t) = A, y(t) = 0 и j0 = 0. После вычисления
интеграла и проведения алгебраических упрощений получаем выражения для АКФ
где 
- длительность
наблюдаемого гармонического колебания.
На рис. 1.8, а) - в)
приведены нормированные АКФ последовательностей импульсов при w0
= 0 Гц, 500 Гц и 1000 Гц (сплошная кривая) и отрезка гармонического колебания
длительностью 
(пунктирная кривая). Из
рис 1.8 видно, что АКФ сигналов (1.1) и (1.9) совпадают в точках экстремумов.
Т.о. для расчета УБЛ АКФ последовательности импульсов длительностью 
при различных значениях
w0
необходимо:
1. по соотношению (1.10) рассчитать
АКФ;
. найти модули значений АКФ в
точках t, 2t, …, Nt или в
точках -t, -2t, …, -Nt от
точки главного максимума АКФ;
. выбрать из полученных
значений максимальное;
. по соотношению (1.7)
рассчитать значение УБЛ.


в) f0 = 1000 Гц
Рис. 1.8 АКФ
.1.2 Спектральная плотность
регулярной последовательности импульсов
Второй важной характеристикой
импульсных последовательностей является спектральная плотность, которая
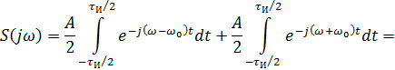
определяет меру энергии, приходящейся на единичную полосу частот [5]. Найдем
спектральную плотность периодической последовательности импульсов с постоянным
периодом T и постоянной несущей частотой f0 как прямое
преобразование Фурье [5]
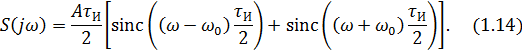
Определим выражение для спектральной
плотности одиночного импульса (1.1) при A(t) = A, y(t) = 0 и j0 = 0. Подставим в (1.11)
выражение (1.1), с учетом введенных ограничений, получаем
Воспользуемся формулой Эйлера
и вынесем постоянные множители за
знак интеграла, получаем следующее выражение
Поскольку значения сигнала отличны
от нуля только в пределах от -tИ/2 до tИ/2, то и интегрирование
будем проводить в этих пределах. Интегралы являются табличными, решением
которых являются выражения
С учетом того, что
получаем окончательное выражение для
спектральной плотности одиночного импульса
Если числитель и знаменатель каждой
дроби выражения (1.13) умножить и поделить на tИ/2, то получим выражение
для спектральной плотности, определяемое через функцию синус Котельникова
(1.6), т.е.
На рис. 1.9 приведены спектральные
плотности одиночного импульса, рассчитанные по соотношению (1.14) при A
= 1 и f0 = 0, 5, 10 кГц средствами программы математического
моделирования MathCAD.

f0 = 0 кГц f0
= 5 кГц
f0 = 10 кГц
Рис. 1.9 Спектральные плотности
одиночного импульса при разных значениях f0
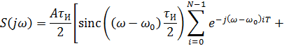
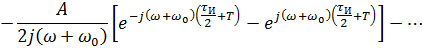
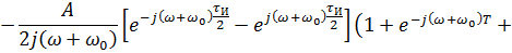
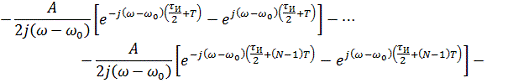
Определим выражение для спектральной
плотности последовательности из N импульсов, имеющих постоянный период T.
При этом значения сигнала становятся отличными от нуля в пределах -tИ/2..tИ/2, -tИ/2+T..tИ/2+T, -tИ/2+2T..tИ/2+2T,…-tИ/2+(N-1)T..tИ/2+(N-1)T,
в таких же пределах будем интегрировать (1.12). Каждый интеграл в правой части
(1.12) будет являться суммой из N интегралов с пределами интегрирования
-tИ/2..tИ/2, -tИ/2+T..tИ/2+T, -tИ/2+2T..tИ/2+2T,…-tИ/2+(N-1)T..tИ/2+(N-1)T.
Первообразная каждого из N интегралов одна и та же, разными являются
лишь пределы интегрирования. Из выражения (1.12) получаем
Разложим экспоненциальную функцию на
множители
Тогда выражение для спектральной
плотности можем записать в следующем виде
Заменяем разность экспоненциальных
функций через синусоидальную функцию, окончательно получаем выражение для спектральной
плотности последовательности импульсов
Из выражения (1.15) видно, что
спектральная плотность регулярной последовательности импульсов отличается от
спектральной плотности одиночного импульса (1.14) наличием двух сумм
экспоненциальных функций. Кроме этого, спектральная плотность одиночного
импульса являлась действительной функцией, а у регулярной последовательности
импульсов спектральная плотность становится комплексной.
На рис. 1.10, а приведена
спектральная плотность одиночного импульса (сплошная кривая) и модуль
спектральной плотности последовательности из двух импульсов (пунктирная кривая)
при f0 = 10 кГц. На рис. 1.10, б показана центральные части
этих зависимостей.
Рис. 1.10 Спектральные плотности при
f0 = 10 кГц
На рис. 1.11 приведены модули
спектральных плотностей для 3, 5, и 10 импульсов

N = 3 N = 5
N = 10
Рис. 1.11 Спектральные плотности при
f0 = 10 кГц для разного количества импульсов в
последовательности
Из рис. 1.10 и 1.11 видно, что вид
спектральной плотности с увеличением количества импульсов в последовательности
приобретает большее количество пиков.
2. Функция неопределенности
регулярной последовательности импульсов
неэквидистантный последовательность
импульс
Кроме отмеченных выше
зависимостей - корреляционной функции и спектральной плотности импульсные
последовательности также описывают при помощи функции неопределенности. По
сути, функцию неопределенности, которая является двумерной нормированной
корреляционной функцией, мы ввели в рассмотрение в разделе 1.1.2 при
рассмотрении корреляционных функций при разных значениях f0.
АКФ, приведенные на рис. 1.8 являются срезами тела неопределенности при
различных значениях f0. Если в функции (1.10) изменять не
только параметр 
, но и 
, то получим выражение
для двумерной корреляционной функции гармонического колебания в виде
Если поделить полученное
выражение на энергию сигнала, которая, как можно показать, равна 
, получим выражение для
нормированной двумерной корреляционной функции или функции неопределенности
сигнала гармонического колебания
На рис. 1.12 приведена
функция неопределенности гармонического колебания, полученная по соотношению
(1.17) при положительных значенияхt и f0.
Рис. 1.12 Функция
неопределенности гармонического колебания
Тело неопределенности
последовательности импульсов при разных количествах импульсов в пачке
1. Прохоров С.А. Прикладной анализ неэквидистантных временных
рядов. - Самарский государственный аэрокосмический университет, 2001. - 375 с.
2. Бакулев П.А., Степин В.М. Методы и устройства селекции
движущихся целей. - М.: Радио и связь, 1986. - 288 с.
. Справочник по радиолокации. Под ред. М. Сколника. Нью-Йорк,
1970: Пер. с англ. (в четырех томах) / Под общей ред. К.Н. Трофимова; Том 3.
Радиолокационные устройства и системы/ Под ред. А.С. Виницкого.- М.: Сов.
Радио, 1978. - 528 с.
. Гоноровский И.С. Радиотехнические цепи и сигналы. Учебник
для вузов. Изд. 3-е, перераб. и доп. - М.: Сов. Радио, 1977. - 608 с.
. Баскаков С.И. Радиотехнические цепи и сигналы: Учеб.
пособ. для вузов по спец. "Радиотехника" / Баскаков С.И. - 2-е изд.,
перераб. и доп.. - М.: Высшая школа, 1988. - 448c.
. Бакулев П.А. Радиолокационные системы: Учебное пособие
для вузов.- М.: Радиотехника, 2004. - 320 с.
. Быков В.В. Цифровое моделирование в статистической
радиотехнике.-М.: Сов. радио, 1971. - 326 с.
. Перов А.И. Статистическая теория радиотехнических систем.
Учеб. пособие для вузов. - М.: Радиотехника, 2003, 400 с.
. Жутяева Т.С., Зайцев М. Ф., Щернакова Л. А. Цифровые
устройства обработки сигналов на фоне коррелированных помех. - М.: Моск. энерг.
ин -т, 1987. - 98 с.
. Ширман Я.Д., Манжос В. Н. Теория и техника обработки
радиолокационной информации на фоне помех. - М.: Радио и связь, 1981. - 416 с.
. Кузьмин С.З. Цифровая радиолокация. Введение в теорию.-
Киев: Издательство КВiЦ, 2000. - 428 с.