Проект комбинированной установки ГК-3 Северо-варьеганской нефти. Блок ВТ
Министерство
образования и науки Российской Федерации
Федеральное
государственное бюджетное образовательное
учреждение
высшего профессионально образования
«Тюменский
государственный нефтегазовый университет»
Технологический
институт
Кафедра
переработки нефти и газа
РАСЧЕТНО-ПОЯСНИТЕЛЬНАЯ
ЗАПИСКА
к курсовому
проекту на тему:
«Проект
комбинированной установки ГК-3 Северо-варьеганской нефти. Блок ВТ»
Выполнила: студентка гр.ХТТ-09-1
Терещук Е.А.
Руководитель: к.т.н, доцент Трушкова
Л.В.
Тюмень 2013
Аннотация
Курсовой проект на тему «Проект комбинированной
установки ГК-3 Северо-варьеганской нефти. Блок ВТ» состоит из литературного
обзора, технологической части и заключения. Литературный обзор содержит
систематизированный материал по технологии проектирования установки ГК-3 и
блока ВТ. Технологическая часть состоит из выбора и обоснования технологической
схемы производства, характеристики сырья, принципиальной технологической схемы
производства с описанием, материального баланса установки ГК-3 и ее блоков.
Объектом проектирования является вакуумная
колонна блока ВТ установки ГК-3. Мощность установки составляет 3 млн. т/год.
Цель проекта - выполнить технологический и
гидравлический расчеты вакуумной колонны блока ВТ (колонна для перегонки мазута
с обвязкой), предназначенной для получения остаточной дизельной фракции
(350-370 °С), вакуумного дистиллята (370-470°С) и гудрона
(>470°С).
В результате проведенного расчета получено, что
для установки мощностью 3 млн. т/год потребуется колонна: диаметр колонны 3,2
м, высота 19 м. (11 клапанных тарелок, расстояние между тарелками 0,5 м).
Пояснительная записка к курсовому проекту
содержит 4 графика, 2 схемы, 14 таблиц, 13 источников.
Содержание
Введение
Список условных обозначений и
сокращений
Литературный обзор
. Технологическая часть
1.1 Описание принципиальной
технологической схемы установки вакуумной перегонки мазута
1.2 Технологическая классификация
нефти
1.3 Разгонка (ИТК)
Северо-варьеганской нефти в аппарате АРН-2 и арактеристика полученных фракций
.4 Построение кривой ИТК мазута
Северо-варьеганской нефти
.5 Теоретические материальные
балансы комбинированной установки ГК-3 и блоков, входящих в ее состав
.6 Технологический расчёт вакуумной
колонны
1.6.1.Температурный режим
ректификационной колонны
.6.2 Расчет доли отгона
.7 Тепловой баланс колонны
2. Гидравлический расчет
2.1 Расчет диаметра колонны
.2 Расчет числа тарелок
.3 Расчет высоты колонны
Заключение
Список использованной литературы
Приложения
Введение
Одно из основных направлений технического
прогресса в нефтеперерабатывающей и нефтехимической промышленности -
строительство высокопроизводительных комбинированных установок. Высокие
технико-экономические показатели достигнуты при эксплуатации отечественных
комбинированных установок глубокой переработки нефти, например таких как ГК-3.
В состав комбинированной установки ГК-3 входят
блоки атмосферной перегонки нефти и вакуумной перегонки мазута, блоки легкого
термического крекинга гудрона и каталитического крекинга вакуумного газойля, а
также блок газофракционирования. Основные продукты установки: головная фракция
стабилизации, высокооктановый компонент бензина, котельное топливо, а также
компоненты бензина и дизельного топлива.
Увеличение объема производства нефтепродуктов,
расширение их ассортимента и улучшение качества-основные задачи, поставленные
перед нефтеперерабатывающей промышленностью в настоящее время. Решение этих
задач в условиях, когда непрерывно возрастает доля переработки сернистых и
высокосернистых, а за последние годы и высокопарафинистых нефтей, потребовало
изменения технологии переработки нефти. Большое значение приобрели вторичные и,
особенно, каталитические процессы. Производство топлив, отвечающих современным
требованиям, невозможно без применения таких процессов, как каталитический
крекинг, каталитический риформинг, гидроочистка, алкилирование и изомеризация,
а в некоторых случаях-гидрокрекинг.
Целью данного курсового проекта является
проектирование блока вакуумной перегонки мазута установки ГК-3
Северо-варьеганской нефти.
Задачи:
) Выбрать, обосновать и описать
технологическую схему производства;
) Дать характеристику сырью процесса:
построить кривые ИТК и фракций выделяемых из мазута;
) Составить теоретический материальный
баланс производства;
) Провести расчет вакуумной колонны блока
ВТ.
Список условных обозначений и
сокращений
I
- энтальпия, кДж/кг;
Р - давление, МПа;
t
- температура, оС;
Т - температура, К;
µ - динамическая вязкость,
Па·с.
М - молярная масса, кг/кмоль;
Ф - тепловой поток, Вт;
rж, рп- плотность жидкой и паровой фаз, кг/м3;л -
линейная скорость пара, м/с;
D - диаметр, м;
Н - высота, м;
- состав нефти (в массовых долях);
- молярная масса фракции;
и
- составы жидкой и паровой фазы;
- расход
компонента, кг/с;
минимальное число
теоретических тарелок, отвечающее полному орошению;
H - высота, м;
D - диаметр, м;
ИТК - кривая истинных температур кипения;
ОИ- линия однократного испарения;
КПД - коэффициент полезного действия;
НПЗ - нефтеперерабатывающий завод;
АТ - атмосферная трубчатая установка;
ВТ - вакуумная трубчатая установка;
ВПБ - установка вторичной перегонки бензина;
КК - каталитический крекинг;
ДТ - дизельное топливо;
КТ - котельное топливо;
УГ - углеводородные газы;
Литературный обзор
Под комбинированием технологических процессов
производства нефтяных топлив понимают обычно сочетание на одной площадке
нескольких технологий, когда продукты (дистилляты) одной из них являются
исходным сырьем для другой (или других) без промежуточных (накопительных)
парков. Это дает значительные преимущества, среди которых основными являются:
· сокращение резервуарных парков для промежуточных
продуктов;
· ликвидация перекачек промежуточных
продуктов в парки и обратно и сокращение за счет этого числа насосов, длины
трубопроводных трасс и расхода энергии;
· сокращение в 2 - 3 раза площади
застройки технологическими установками;
· значительная экономия тепловой
энергии за счет того, что продукты от одного технологического процесса
поступают к другому горячими, и нет необходимости их охлаждать перед
направлением в парк и нагревать при взятии из парка (если процессы не
комбинированы);
· возможность рационально расположить
однотипное оборудование блоками (колонны, печи реакторы, теплообменники и др.)
и упростить за счет этого обслуживание;
· сокращение штата обслуживающего
персонала и соответственно рост производительности труда.
Аппараты и оборудование комбинированных
установок объединяются в укрупненные блоки секции, взаимное расположение
которых определяется технологической схемой, предусматривающей жесткие связи
между ними. Застраиваемая территория используется, таким образом, с большей
эффективностью. Основная цель компоновки аппаратуры и оборудования - это
технологическая целесообразность и компактность.
В данном курсовом проекте необходимо рассчитать
вакуумную колонну установки ГК-3. Основное целевое назначение установки (блока)
вакуумной перегонки мазута топливного профиля - получение вакуумного газойля
широкого фракционного состава (350-500 оС), используемого как сырье установок
каталитического крекинга, гидрокрекинга или пиролиза и в некоторых случаях
термического крекинга с получением дистиллятного крекинг-остатка, направляемого
далее на коксование с целью получения высококачественных нефтяных коксов.
В процессах вакуумной перегонки, помимо проблемы
уноса жидкости, усиленное внимание уделяется обеспечению благоприятных условий
для максимального отбора целевого продукта без его заметного разложения.
Многолетним опытом эксплуатации промышленных установок ВТ установлено, что
нагрев мазута в печи выше 420-425 оС вызывает интенсивное образование газов
разложения, закоксовывание и прогар труб печи, осмоление вакуумного газойля.
При этом, чем тяжелее нефть, тем более
интенсивно идет газообразование и термодеструкция высокомолекулярных соединений
сырья.
Вследствие этого, при нагреве мазута до
максимальной температуры уменьшают время его пребывания в печи, устраивая
многопоточные змеевики (до четырех), применяют печи двухстороннего облучения, в
змеевик печи подают водяной пар и уменьшают длину трансферного трубопровода
(между печью и вакуумной колонной). Для снижения температуры низа колонны
организуют рецикл (квенчинг) частично охлажденного гудрона. С целью снижения
давления на участке испарения печи концевые змеевики выполняют из труб большого
диаметра и уменьшают перепад высоты между вводом мазута в колонну и выходом его
их печи. В вакуумной колонне применяют ограниченное количество тарелок с низким
гидравлическим сопротивлением или насадку; используют вакуумсоздающие системы,
обеспечивающие достаточно глубокий вакумм. Количество тарелок в отгонной секции
также должно быть ограничено, чтобы обеспечить малое время пребывания нагретого
гудрона. С этой целью одновременно уменьшают диаметр куба колонн.
Особенности вакуумной колонны:
) отбор вакуумных дистиллятов зависит от
остаточного давления (чем ниже давление, тем больше отбирается);
) остаточное давление (вакуум) создается
путем отсасывания в вакуумсоздающую систему паров и газов, которые состоят на
95-97% из водяного пара, 1-2% - пары остаточной дизельной фракции, остальное -
газы термодеструкции (сероводород, метан, этан);
) в низ колонны подается перегретый
водяной пар с целью увеличения отбора масляных погонов, с целью предотвращения
термического разложения гудрона в кубе колонны (сокращается время пребывания
гудрона);
) все продукты выводятся из колонны в
жидкой фазе через вакуумные приемники (это пустотелые емкости, давление в
которых ниже, чем в основной колонне, поэтому происходит испарение самых легких
компонентов, которые возвращаются в колонну в парах. Это способ корректировки
качества отбираемых погонов;
) диаметр по высоте колонны разный.
Нижняя часть, где сосредоточены 4-5 тарелок, выполнена в форме грушеобразного
отростка. Это сделано с целью сокращения времени пребывания гудрона в зоне
высоких температур 330-370 оС в кубе (диаметр уменьшается, а скорости растут);
) Водяной пар подается и в трубчатую печь
П-1 и называется турбулизатор в количестве от 3 до 5% на сырье с целью
увеличения скоростей и снижения термодеструкции;
) Большое количество циркуляционных
орошений (для поддержания температурного режима при отборе дистиллятов)
позволяет решулировать тепло.
Вакуумные трубчатые установки (ВТ) подразделяют
на две группы:
) установки вакуумной перегонки мазута с
однократным испарением и однократной ректификацией;
) установки вакуумной перегонки мазута с
двукратным испарением и двухкратной ректификацией.
Преимущества второго варианта перегонки мазута
заключается в том, что данная установка может работать как по топливному, так и
по топливно-масляному варианту переработки нефти. Четкость погоноделения в ней
выше, что позволяет вырабатывать более качественные узкие масляные погоны, что очень
важно для производства нефтяных масел. Также, возможно эффективнее использовать
тепло потоков для нагрева.
Преимуществами перегонки с однократным
испарением по сравнению с двухкратным является более простая схема перегонки,
меньший расход топлива для перегонки, более простая технология поддержания
вакуума (так как в двух колоннах поддерживать вакуум тяжелее, чем в одной.
Также во время перегонки с двухкратным испарением вакуумный дистиллят
подвергается вторичному нагреву, что ведет к возможной термодеструкции.
. Технологическая часть
.1 Описание принципиальной
технологической схемы установки вакуумной перегонки мазута с однократным
испарением и однократной ректификацией
Принципиальная технологическая схема установки
ГК-3 представлена в приложении 1.
Принципиальная технологическая схема блока
вакуумной перегонки мазута представлена в приложении 2.
Мазут, отбираемый с низа атмосферной колонны
блока атмосферной перегонки, прокачивается параллельными потоками через три
ступени блока теплообмена (Т-1,2,3,4,5,6) при этом нагреваясь до температуры
200 оС и смешиваясь в два потока поступает в трубчатую печь П-1, где
нагревается до температуры 420 оС. Затем нагретый мазут поступает в вакуумную
колонну.
В сечении питания этой колонны над вводом сырья
установлены отбойные тарелки для предотвращения «заноса» капель жидкого
остатка.
Смесь водяных и нефтяных паров, газы разложения
(и воздух, засасываемый через неплотности) с верха вакуумной колонны поступают
в вакуум-создающую систему. После конденсации и охлаждения в
конденсаторе-холодильнике она разделяется в газосепараторе на газовую и жидкую
фазы. Газы отсасываются трехступенчатым пароэжекторным вакуумным насосом, а
конденсаты поступают в отстойник для отделения нефтепродукта от водного
конденсата.
Верхним боковым погоном вакуумной колонны
отбирают остаточную дизельную фракцию (350-370оС). Часть дизельной фракции
после охлаждения в теплообменниках возвращается на верх колонны в качестве
верхнего циркуляционного орошения.
Вторым боковым погоном отбирают вакуумный дистиллят
(370-470 оС). Часть его после охлаждения в теплообменниках используется как
нижнее циркуляционное орошение вакуумной колонны. Балансовое количество
целевого продукта вакуумного дистиллята после теплообменников и холодильников
выводится с установки и направляется на дальнейшую переработку. С низа
вакуумной колонны отбирается гудрон и после охлаждения направляется на
дальнейшую переработку. В низ вакуумной колонны подается пар с целью увеличения
выхода целевого продукта - вакуумного дистиллята.
.2 Технологическая классификация
нефти
Таблица 1.2.1 Технологический индекс
Северо-варьеганской нефти
|
Класс
|
Тип
|
Группа
|
Подгруппа
|
Вид
|
|
Содержание
серы, % масс.
|
Массовая
доля фракций выкипающих до 350 оС, % масс.
|
Потенциальное
содержание базовых масел, % масс.
|
Индекс
вязкости базовых масел
|
Содержание
парафинов в нефти, % масс.
|
|
|
на
нефть
|
на
мазут
|
|
|
|
1
|
1
|
1
|
1
|
2
|
|
0,23
|
65,8
|
25,8
|
60,9
|
96
|
3,21
|
Таким образом, в соответствии с ГОСТ 38-01197 -
80 технологический индекс нефти: 1.1.1.1.2.
1.3 Разгонка (ИТК) Северо-варьеганской
нефти (Б
, валанжин)
в аппарате АРН-2 и характеристика полученных фракций
Таблица 1.3.1
|
№
фракции
|
Температура
выкипания фракции при 760 мм.рт.ст, oC
|
Выход
на нефть, % масс
|
M, кг/кмоль
|
|
|
|
отдельных
фракций
|
суммарный
|
|
|
|
1
|
До
28
|
2,95
|
2,95
|
-
|
-
|
|
2
|
28-35
|
2,58
|
5,53
|
-
|
0,6246
|
|
3
|
35-58
|
2,58
|
8,11
|
-
|
0,6643
|
|
4
|
58-73
|
2,67
|
10,78
|
81
|
0,6825
|
|
5
|
73-88
|
2,87
|
13,65
|
-
|
0,7020
|
|
6
|
88-102
|
2,84
|
16,49
|
98
|
0,7180
|
|
7
|
102-119
|
3,25
|
19,74
|
-
|
0,7335
|
|
8
|
119-133
|
3,04
|
22,78
|
114
|
0,7482
|
|
9
|
133-148
|
3,25
|
26,03
|
-
|
0,7626
|
|
10
|
148-163
|
3,17
|
29,20
|
132
|
0,7756
|
|
11
|
163-178
|
3,09
|
32,29
|
-
|
0,7872
|
|
12
|
178-193
|
3,29
|
35,58
|
150
|
0,7979
|
|
13
|
193-204
|
2,26
|
37,84
|
-
|
0,8070
|
|
14
|
204-221
|
3,25
|
41,09
|
167
|
0,8152
|
|
15
|
221-238
|
3,58
|
44,67
|
-
|
0,8246
|
|
16
|
238-255
|
3,29
|
47,96
|
192
|
0,8332
|
|
17
|
255-271
|
3,21
|
51,17
|
-
|
0,8406
|
|
18
|
271-286
|
3,08
|
54,25
|
218
|
0,8471
|
|
19
|
286-304
|
3,12
|
57,37
|
-
|
0,8546
|
|
20
|
304-320
|
3,12
|
60,49
|
250
|
0,8618
|
|
21
|
320-340
|
3,42
|
63,91
|
-
|
0,8690
|
|
22
|
340-360
|
3,38
|
67,29
|
290
|
0,8761
|
|
23
|
360-381
|
3,38
|
70,67
|
-
|
0,8844
|
|
24
|
381-403
|
3,58
|
74,25
|
333
|
0,8918
|
|
25
|
403-423
|
3,38
|
77,63
|
-
|
0,8992
|
|
26
|
423-445
|
3,47
|
81,10
|
389
|
0,9072
|
|
27
|
445-470
|
3,40
|
84,50
|
420
|
0,9150
|
|
28
|
Остаток
|
15,50
|
100,00
|
-
|
0,9678
|
Рис.1. Кривая ИТК
Северо-варьеганской нефти (Б
, валанжин)
.4 Построение кривой ИТК мазута
Северо-варьеганской нефти (Б
, валанжин)
Таблица 1.4.1
|
№
фракции
|
Температура
выкипания фракции при 760 мм.рт.ст, oC
|
Выход
на нефть, % масс
|
Выход
на мазут, % масс.
|
|
|
отдельных
фракций
|
суммарный
|
отдельных
фракций
|
суммарный
|
|
1
|
350-360
|
1,69
|
1,69
|
4,91
|
4,91
|
|
2
|
360-381
|
3,38
|
5,07
|
9,83
|
14,74
|
|
3
|
381-403
|
3,58
|
8,65
|
10,41
|
25,15
|
|
4
|
403-423
|
3,38
|
12,03
|
34,97
|
|
5
|
423-445
|
3,47
|
15,50
|
10,09
|
45,06
|
|
6
|
445-470
|
3,40
|
18,90
|
9,88
|
54,94
|
|
7
|
Остаток
|
15,50
|
34,40
|
45,06
|
100,00
|
Рис.2. Кривая ИТК мазута
Северо-варьеганской нефти (Б
, валанжин)
1.5 Теоретические материальные
балансы комбинированной установки ГК-3 и блоков, входящих в ее состав
вакуумный колонна мазут
технологический
Материальный баланс ректификационной колонны
составляется исходя из равенства количеств подаваемого сырья и выходящих
продуктов и выражается обычно массовым или объемным расходом.
По справочным данным строим (рис.1)
кривую ИТК Северо-варьеганской нефти (Б
, валанжин), по которой составляем
теоретические материальные балансы комбинированной установки ГК-3 и ее блоков.
Принимаем, что установка работает 340 дней в
году. Производительность по сырью 3 млн. тонн в год.
Таблица 1.5.1
Материальный баланс установки ГК-3
|
Статьи
баланса
|
Выход
на нефть
|
|
%
масс.
|
тыс.т/год
|
т/сутки
|
кг/ч
|
|
Приход
|
|
|
1)
Нефть
|
100
|
3000
|
8823,53
|
367647
|
|
Всего
|
100
|
3000
|
8823,53
|
367647
|
|
Расход
|
|
|
1)
Сухой газ
|
2,06
|
61,7
|
181,40
|
7558
|
|
2)
Головная фракция стабилизации
|
5,31
|
159,4
|
468,74
|
19531
|
|
3)
Высокооктановый бензин
|
10,82
|
324,7
|
955,14
|
39797
|
|
4)
Прямогонный бензин
|
24,81
|
744,27
|
2189,03
|
91210
|
|
5)
Керосин
|
12,33
|
369,9
|
1087,94
|
45331
|
|
6)
Дизельное топливо
|
29,45
|
883,4
|
2598,12
|
108255
|
|
7)
Кокс
|
0,86
|
25,7
|
75,62
|
3151
|
|
8)
Котельное топливо
|
14,47
|
434,1
|
1276,86
|
53202
|
|
Всего
|
100,00
|
3000
|
8823,53
|
367647
|
Таблица 1.5.2
Материальный баланс блока АТ+ блок ВПБ
|
Статьи
баланса
|
Выход
на нефть
|
|
%
масс.
|
тыс.т/год
|
т/сутки
|
кг/ч
|
|
Приход
|
|
|
1)
Нефть
|
100
|
3000
|
8571,43
|
357142,9
|
|
Всего
|
100
|
3000
|
8571,43
|
357142,9
|
|
Расход
|
|
|
9)
Газы (до 28 oC)
|
2,95
|
88,5
|
260,29
|
10846
|
|
10)
Бензиновая фракция (28-62 oC)
|
5,87
|
176,1
|
517,94
|
21581
|
|
11)
Бензиновая фракция (62-180 oC)
|
23,91
|
717,3
|
2109,71
|
87904
|
|
12)
Керосиновая фракция (180-240 oC)
|
12,33
|
369,9
|
1087,94
|
45331
|
|
13)
Дизельная фракция (240-350 oC)
|
20,54
|
616,2
|
1812,35
|
75515
|
|
14)
Мазут (>350 oC)
|
34,4
|
1032
|
3035,29
|
126471
|
|
Всего
|
100
|
3000
|
8823,53
|
367647
|
Таблица 1.5.3
Материальный баланс блока ВТ
|
Статьи
баланса
|
Выход
|
|
на
нефть, % масс.
|
на
установку, % масс
|
тыс.
т/год
|
т/сутки
|
кг/час
|
|
Приход
|
|
|
1)
Мазут (>350°С)
|
34,4
|
100
|
1032
|
3035,29
|
126471
|
|
Всего
|
34,4
|
100
|
1032
|
3035,29
|
126471
|
|
Расход
|
|
|
1)
Остаточная дизельная фракция (350-370°С)
|
3,3
|
9,6
|
99,00
|
291,18
|
12132
|
|
2)
Вакуумный дистиллят (370-470°С)
|
15,6
|
45,3
|
468,00
|
1376,47
|
57353
|
|
3)
Гудрон (>470°С)
|
15,5
|
45,1
|
465,00
|
1367,65
|
56985
|
|
Всего
|
34,4
|
100,0
|
1032,0
|
3035,29
|
126471
|
Таблица 1.5.4
Материальный баланс блока висбрекинга
|
Статьи
баланса
|
Выход
|
|
на
нефть, % масс.
|
на
установку, % масс.
|
тыс.
т/год
|
т/сутки
|
кг/час
|
|
Приход
|
|
|
|
|
|
|
1)
Гудрон (>470°С)
|
15,50
|
100
|
465,00
|
1367,65
|
56985
|
|
Всего
|
15,50
|
100
|
465,00
|
1367,65
|
56985
|
|
Расход
|
|
|
|
|
|
|
1)
Газ
|
0,6
|
4,0
|
18,70
|
55,00
|
2292
|
|
2)
Бензин
|
0,9
|
5,8
|
26,79
|
78,79
|
3283
|
|
3)
Дизельное топливо
|
1,3
|
8,4
|
39,17
|
115,21
|
4800
|
|
4)
Котельное топливо
|
12,7
|
81,8
|
380,34
|
1118,65
|
46610
|
|
Всего
|
15,50
|
100,0
|
465,00
|
1367,65
|
56985
|
Таблица 1.5.5
Материальный баланс блока каталитического
крекинга
|
Статьи
баланса
|
Выход
|
|
на
нефть, % масс.
|
на
установку, % масс.
|
тыс.
т/год
|
т/сутки
|
кг/час
|
|
Приход
|
|
|
|
|
|
|
1)
Вакуумный дистиллят (370-470°С)
|
15,60
|
100
|
468,00
|
1376,47
|
57353
|
|
Всего
|
15,60
|
100
|
468,00
|
1376,47
|
57353
|
|
Расход
|
|
|
|
|
|
|
1)
Углеводородные газы
|
2,9
|
18,9
|
88,45
|
260,15
|
10840
|
|
2)
Нестабильный бензин
|
5,7
|
36,5
|
170,82
|
502,41
|
20934
|
|
3)
Легкий газойль (190-350°С)
|
4,3
|
27,6
|
129,17
|
379,91
|
15829
|
|
4)
Тяжелый газойль (>350°С)
|
1,8
|
11,5
|
53,82
|
158,29
|
6596
|
|
5)
Кокс
|
0,9
|
5,5
|
25,74
|
75,71
|
3154
|
|
Всего
|
15,60
|
100,0
|
468,00
|
1376,47
|
57353
|
Таблица 1.5.6
Материальный баланс блока газофракционирования
|
Статьи
баланса
|
Выход
|
|
на
нефть, % масс.
|
на
установку, % масс.
|
тыс.
т/год
|
т/сутки
|
кг/час
|
|
Приход
|
|
|
1)
Углеводородные газы
|
2,95
|
16,2
|
88,50
|
260,29
|
10846
|
|
2)
Нестабильный бензин
|
5,7
|
31,3
|
170,82
|
502,41
|
20934
|
|
3)
Газы висбрекинга
|
0,74
|
4,1
|
18,70
|
55,00
|
2292
|
|
4)
Газы КК
|
2,9
|
16,2
|
88,45
|
260,15
|
10840
|
|
5)
Фракция (28-62°С)
|
5,87
|
32,2
|
176,1
|
517,94
|
21581
|
|
Всего
|
18,20
|
100,0
|
542,57
|
1595,80
|
|
Расход
|
|
|
1)
Сухой газ
|
2,06
|
11,3
|
61,31
|
180,33
|
7514
|
|
2)
Головная фракция стабилизации
|
5,32
|
29,2
|
158,43
|
465,97
|
19416
|
|
3)
Высокооктановый бензин
|
10,83
|
59,5
|
322,83
|
949,50
|
39563
|
|
Всего
|
18,20
|
100,0
|
542,57
|
1595,80
|
66492
|
1.6 Технологический расчёт вакуумной
колонны
Ректификация является основным процессом
нефтепереработки. Она предназначена для разделения нефти и нефтепродуктов на
фракции, стабилизации получаемых продуктов, выделения некоторых индивидуальных
углеводородов и отгонки растворителей.
Температурный режим вакуумной ректификационной
колонны определяется температурами в местах подачи сырья, боковых дистиллятов и
остатка.
На процесс ректификации оказывают влияние два
параметра - температура и давление. Определение температуры вывода продуктов
является сложной задачей. Существуют графические и аналитические способы
определения температур. Графические основаны на использовании кривых истинных
температур кипения и однократного испарения. По кривым ОИ определяют
температуру выходящих из ректификационной колонны потоков: жидких - по нулевому
отгону, паровых - по 100%-ому отгону. Если в колонну не подается водяной пар,
эта температура будет соответствовать 75%-ому отгону дистиллята.
1.6.1 Температурный режим
ректификационной колонны
Температура верха колонны
Температура верха вакуумной колонны определяется
температурой вывода верхнего бокового дистиллята, в данном случае выводом
остаточной дизельной фракции (350-370ºС).
Данные для построения кривой ОИ строят исходя из
зависимости между ОИ и ИТК. При этом кривую ОИ определяем, как прямую линию.
Построение кривой ОИ методом Обрядчикова и Смидович: (чтобы использовать этот
метод необходимо иметь кривую ИТК данной фракции)
Таблица 1.6.1.1
Данные для построения ИТК остаточной дизельной
фракции
|
№
фракции
|
Температура
выкипания фракции при 760 мм.рт.ст, oC
|
Выход
на нефть, % масс
|
Выход
на ДФ,
% масс
|
|
|
отдельных
фракций
|
суммарный
|
отдельных
фракций
|
суммарный
|
|
1
|
350-360
|
1,69
|
1,69
|
51,21
|
51,21
|
|
2
|
360-370
|
1,61
|
3,3
|
48,79
|
100,00
|
Построение кривой ОИ
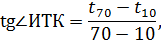
В начале определяем тангенс угла наклона ИТК по
формуле:
где - t70
и t10 - температуры
отгона, равные 70 и 10%-му выходу фракции по кривой ИТК.
Затем по ИТК находим температуру 50%-го отгона,
она равна 360 ºС. Далее, используя
график Обрядчикова и Смидовича, определяем процент отгона по ИТК: 53 % - К.К. и
44 % - Н.К.
Остаточная дизельная фракция 350-370ºС.
Молярная масса М=317 кг/кмоль. Выводится из
вакуумной колонны в количестве 12141 кг/ч. Давление в сечении отбора 7 кПа.
Количество водяного пара, проходящего через тарелку 1897 кг/ч. Рассчитаем
парциальное давление выводимой фракции:
По графику Кокса найдем температуру, соответствующую
парциальному давлению фракции равному 1,9 кПа.
Таким образом, температура верха колонны равна
223
ºС.
Рис.3. Кривая ИТК остаточной дизельной фракции и
линии ОИ
Температура вывода бокового продукта
В качестве бокового продукта отбирается
вакуумный дистиллят - фракция 370-470 ºС.
Построим кривую ИТК данной фракции.
Таблица 1.6.1.2
Данные для построения ИТК вакуумного дистиллята
(370-470
ºС)
|
№
фракции
|
Температура
выкипания фракции при 760 мм.рт.ст, oC
|
Выход
на нефть, % масс
|
Выход
на ВД,
% масс
|
|
|
отдельных
фракций
|
суммарный
|
отдельных
фракций
|
суммарный
|
|
1
|
370-381
|
1,77
|
1,77
|
11,35
|
11,35
|
|
2
|
381-403
|
3,58
|
5,35
|
22,95
|
34,29
|
|
3
|
403-423
|
3,38
|
8,73
|
21,67
|
55,96
|
|
4
|
423-445
|
3,47
|
12,2
|
22,24
|
78,21
|
|
5
|
445-470
|
3,40
|
15,6
|
21,79
|
100,00
|
Вакуумный дистиллят 370-470ºС.
Молярная масса М=368 кг/кмоль. Выводится из
вакуумной колонны в количестве 57291 кг/ч. Давление в сечении отбора 7 кПа.
Количество водяного пара, проходящего через тарелку 1897 кг/ч. Рассчитаем
парциальное давление выводимой фракции:
Построение кривой ОИ
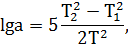
В начале определяем тангенс угла наклона ИТК по
формуле:
где - t70
и t10 - температуры
отгона, равные 70 и 10%-му выходу фракции по кривой ИТК.
Затем по ИТК находим температуру
50%-го отгона, она равна 418 ºС. Далее, используя график
Обрядчикова и Смидович, определяем процент отгона по ИТК: 55 % - К.К. и 38 % -
Н.К.
По графику Кокса найдем температуру,
соответствующую парциальному давлению фракции равному 4,2 кПа.
Рис. 4. Кривая ИТК вакуумного дистиллята (370-470
ºС)
и линии ОИ
Таким образом, температура вывода бокового
продукта - вакуумного дистиллята (370-470 ºС)
равна 280 ºС.
Температура низа колонны:
Температуру низа вакуумной ректификационной
колонны примем равной 400ºС, согласно
справочным данным.
Температура сырья, поступающего в
колонну:
Сырье входит в колонну в парожидкостном
состоянии. Примем температуру сырья, поступающего в колонну равным 420ºС
(температура выхода сырья из печи).
1.6.2 Расчет доли отгона
Отношение количества паров к исходной смеси
называется долей отгона (е). Доля отгона зависит от температуры ввода
сырья. Обычно сырье поступает в колонну в парожидкостном состоянии. В этом
случае выбирают температуру по заданной доле отгона или долю отгона по заданной
температуре так, чтобы выполнялось равенство
Перерасчет молярной е' доли отгона в массовую е
осуществляется по формуле:
где
молярная
масса паровой фазы, кг/кмоль,
Для расчета доли отгона, с которой подается
сырье в колонну, исходную смесь разбиваем на узкие фракции. Определяем среднюю
температуру для каждой из этих фракций. Молярную массу фракций находим по
кривой качества. Давление насыщенных паров каждой фракции определяем по
уравнению Ашворта:
где: PH
- давление насыщенных паров при температуре Т, Т0 - средняя температура кипения
фракции при атмосферном давлении. Значения функций
приведены
в справочнике.
ki=Рнi/Р
- константа фазового равновесия, где Р = 7 кПа -давление в колонне, Рнi
- парциальное давление фракции.
Т-находим по формулеАшворта.
- состав нефти (в
массовых долях);
- молярная масса
фракции;
и
-
составы жидкой и паровой фазы.
где
-
средняя молярная масса паровой фазы, кг/кмоль,
массовая доля
компонента;
- состав жидкой
фазы;
- состав паровой
фазы;
- молярная масса
паровой фазы;
Все расчеты сводим в таблицу 1.5.2.1.и 1.5.2.1
(продолжение)
Таблица 1.6.2.1
|
Фракция,
ºС
|
x
|
tср. ºС
|
Mi, кг/кмоль
|
PHi , кПа
|
ki
|
|
350-390
|
0,1696
|
370
|
325
|
238,2
|
34,0
|
|
390-430
|
0,1715
|
410
|
360
|
121,9
|
17,4
|
|
430-470
|
0,1239
|
450
|
394
|
57,1
|
8,2
|
|
>470
|
0,535
|
-
|
420
|
-
|
-
|
|
1,0000
|
|
|
|
|
|
|
|
|
 
|
|
|
|
|
5,22
|
0,202
|
1,41
|
116,81
|
0,012
|
0,4114
|
133,7
|
|
4,76
|
0,184
|
1,29
|
61,56
|
0,021
|
0,3646
|
131,3
|
|
3,14
|
0,122
|
0,85
|
30,79
|
0,028
|
0,2254
|
88,8
|
|
12,74
|
0,492
|
3,45
|
3,68
|
0,938
|
-
|
-
|
|
25,87
|
1,00
|
|
|
1,00
|
1,0
|
353,8
|
Мазут поступает в вакуумную колонну при
температуре 420 ºС и давлении
7 кПа. Необходимо найти массовую долю отгона e,
если известно, что молярная доля отгона e'=0,48.
Отклонения сумм молярных долей компонентов жидкого
остатка и паровой фазы незначительно, поэтому можно считать, что расчеты
проведены верно.
Массовую долю отгона нефти определим,
предварительно подсчитав среднюю молярную массу нефти,
Сумма чисел последней колонки таблицы даст
молярную массу паровой фазы Му = 353,8.
Тогда массовая доля отгона нефти:
1.7 Тепловой баланс колонны
Количество тепла, поступающее в колонну и
количество тепла, уносимое из нее должны быть равны:
Фвх=Фвых,
Где Фвх и Фвых - тепловой поток, входящий и
выходящий из колонны соответственно, Вт.
Таблица 1.7.1
Исходные для расчета теплового баланса
|
Компонент
|
 
|
|
|
|
Сырье
(мазут)
|
0,9431
|
0,9460
|
35,13
|
|
Остаточная
ДФ (350-370 ºС)
|
0,8825
|
0,8858
|
3,37
|
|
Вакуумный
дистиллят (370-470
ºС)
|
0,9185
|
0,9216
|
15,91
|
|
Гудрон
(>470
ºС)
|
0,9678
|
0,9706
|
15,84
|
|
Водяной
пар
|
0,9200
|
0,9230
|
0,53
|
Для составления теплового баланса определяем
энтальпии всех потоков по формулам:
Обозначая выражение в скобках a=(0,0017T2+0,762T-334,25)
можно упростить уравнение:
a
Значения величины «a»
берется в зависимости от температуры.
Энтальпию паров нефтепродуктов определяют по
уравнению Итона:
это уравнение также можно упростить, обозначив
тогда,
Значения величины «b»
берется в зависимости от температуры.
Энтальпии всех потоков равны:
Фвх=Фвых, где Фвх и Фвых - тепловой поток,
соответственно входящий и выходящий из колонны, Вт
Тепловой поток поступает в колонну:
1) с сырьем, нагретым до 420ºС
при подаче сырья в парожидкостном состоянии с долей отгона e=0,43:
2) c водяным паром:
Тепловой поток выходит из колонны:
1) с остаточной дизельной фракцией (350-370 ºС):
;
2) с боковым продуктом - вакуумным дистиллятом
(370-470
ºС):
3) с жидким нижним продуктом - гудроном
(>470
ºС):
Всего уходит из колонны с учетом тепла,
уносимого орошениями Ф=26964,96
3 Вт.
Превышение прихода тепла над расходом
составляет:
,
Это тепло необходимо отвести при помощи верхнего
и нижнего циркуляционного орошения:
Суммарный тепловой поток покидающий колонну.
Примем тепловой поток в соотношении 1:0,5:
Таблица 1.7.2
Тепловой баланс
|
Название
продукта
|
t, oC
|
|
G, кг/с
|
I, Дж/кг∙103
|
Ф,
Вт∙103
|
|
Приход
|
|
|
1)
Сырье
|
420
|
0,9460
|
35,13
|
1235,69
|
39464,64
|
|
2)
Водяной пар
|
400
|
0,9230
|
0,53
|
1189,48
|
630,43
|
|
Итого
|
|
|
|
|
40095,1
|
|
Расход
|
|
|
1)
Остаточная ДФ
|
223
|
0,8858
|
3,37
|
490,80
|
1654,0
|
|
2)
Вакуумный дистиллят
|
280
|
0,9216
|
15,91
|
632,30
|
10059,89
|
|
3)
Гудрон
|
400
|
0,9706
|
15,84
|
962,82
|
|
4)
С верхним ц.о.
|
75
|
0,8858
|
14,57
|
145,35
|
8861,33
|
|
5)
С нижним ц.о.
|
260
|
0,9461
|
10,88
|
570,44
|
4269,09
|
|
Итого
|
|
|
|
|
40095,1
|
2. Гидравлический расчет
.1 Расчет диаметра колонны
Диаметр колонны зависит от объема паров и их
допустимой скорости в свободном сечении. Объемный расход паров по высоте
колонны может изменяться, поэтому его рассчитывают нескольких сечениях и
диаметр определяют по максимальному значению:
где T-температура
системы, K; p
- общее давление в системе, МПа; Gi
- расход компонента, кг/с; Mi
- молярная масса компонента, кг/кмоль.
Для концентрационной части колонны.
) Для верхней части:
Линейная скорость паров для вакуумной колонны
лежит в пределах v=2,5-3,5
м/с, примем 3,0 м/с. Тогда,
2) Для отгонной части:
Линейная скорость паров для вакуумной колонны
лежит в пределах v=2,5-3,5
м/с, примем 3,0 м/с. Тогда,
) Для нижней части:
Линейная скорость паров для вакуумной колонны
лежит в пределах v=2,5-3,5
м/с, примем 3,0 м/с. Тогда,
Примем диаметр согласно ГОСТ 21944-76 (СТ СЭВ
3020-81) равным 3,2 метра.
2.2 Расчет числа тарелок
Число тарелок определяется требуемой эффективностью
погоноразделения, физико-химическими свойствами паровой и жидкой фаз. Для
расчета ректификации сырья, состоящего из двух компонентов с близкими
температурами кипения, используется уравнение Фенске:
где Nmin
-минимальное
число теоретических тарелок, отвечающее полному орошению; α
- средний
коэффициент относительной летучести НКК в условиях колонны.
где T1
и Т2 - температуры кипения низко- и высококипящего компонента при атмосферном
давлении, К; T - температура при
которой определяется относительная летучесть смеси.
При оптимальном флегмовом числе в колонне
требуется теоретических тарелок в 2 раза больше минимального:
Отношение числа теоретических тарелок к числу
практических называется К.П.Д. тарелки:
К.П.Д. определяет её эффективность по отношению
к теоретической (идеальной) тарелке, на которой при смешении неравновесных пара
и жидкости достигается равновесие. Эффективность тарелки зависит от запаса
жидкости, длительности и интенсивности контакта паровой и жидкой фаз. Обычно
К.П.Д. тарелок вакуумных колонн 35-40%.
Для концентрационной части колонны:
;
К.П.Д. тарелок вакуумных колонн составляет
30-40%, примем равным 35%.
Принимаем клапанные тарелки. Расстояние между
тарелками 500 мм.
Всего в колонне 11 клапанных тарелок.
2.3 Расчет высоты колонны
Высота колонны рассчитывается в зависимости от
числа, типа контактных устройств и расстояния между ними. Расстояние между
клапанными тарелками примем 0,5 м.
,
- высота для
сферического днища;
- высота отгонной
части;
- высота
эвапорационного пространства;
- высота
концентрационной части;
- высота
свободного пространства между уровнем жидкости внизу колонны и нижней тарелкой;
колонны.
Общая высота колонны:
Таким образом, высота вакуумной колонны составит
19 метров.
Заключение
В данном курсовом проекте была рассчитана
вакуумная колонна с диаметром 3,2 метров и высотой 19 метров. Тип тарелок -
клапанные, их расчетное количество 11, расстояние между ними 0,5 м.
Были составлены материальный и тепловой балансы
блока ВТ, найдены температуры верха колонны, вывода боковых погонов и доля
отгона сырья. Температура ввода сырья 420 °С, температура низа колонны 400 °С,
температура верха колонны и температура вывода остаточной дизельной фракции
составляет 223 °С, температура вывода вакуумного дистиллята 280°С. Доля отгона
сырья - 0,43
Производительность колонны составляет:
по остаточной дизельной фракции 12132 кг/ч;
по вакуумному дистилляту 57353 кг/ч;
по гудрону 56985 кг/ч.
Список использованной литературы
1. Ахметов, С.А. Технология
глубокой переработки нефти и газа: учебное пособие / С.А. Ахметов, М.Х.
Ишмияров, А.А. Кауфман. - СПб : Недра, 2009.- 832 с.
. Трушкова, Л.В. Расчёты по
химии и технологии переработки нефти и газа: учебное пособие / Л. В. Трушкова ;
ТюмГНГУ. - 2-е изд., испр. и доп. - Тюмень: ТюмГНГУ, 2006. - 105 с.
. Магарил, Р.З. Теоретические
основы химических процессов переработки нефти: учебное пособие / Р. З. Магарил.
- М.: КДУ, 2010. - 280 с.
4. Мановян А.К. Технология
первичной переработки нефти и природного газа: Учебное пособие для вузов. 2-е
изд.-М.:Химия,2001.-568 с.
5. Александров, И.А. Перегонка
и ректификация в нефтепереработке: монография / И.А. Александров. - М.: Химия,
1981. - 352 с
. Основные процессы и
аппараты химической технологии: пособие по проектированию / Г. С. Борисов [и
др.]; под ред. Ю. И. Дытнерского. - 4-е изд., перепечатка с изд. 1991 г. - М.:
АльянС, 2008. - 494 с.
. Нефти СССР: Справочник/Под
ред. С.Н.Павловой, З.В.Дриацкой. - т.4. - М.:Химия, 1976.
. Справочник
нефтепереработчика: справочное издание / под ред. Г. А. Ластовкина, Е. Д.
Радченко, М. Г. Рудина. - Л.: Химия. Ленинградское отделение, 1986. - 648 с.
. Расчёты основных процессов
и аппаратов нефтепереработки: справочник / Е. Н. Судаков. - 3-е изд., перераб.
и доп. - М.: Химия, 1979. - 567 с.
. Физико-химические свойства
индивидуальных углеводородов: справочник / под ред. В.М. Татевского. - М.:
Гостоптехиздат, 1960. - 412 с.
. Рид, Р. Свойства газов и
жидкостей / Р. Рид, Дж. Праусниц, Т. Шервуд; пер. под ред. Б. И. Соколова. -
Л.: Химия, 1982. - 592 с.
12. Александров И.А.
Ректификационные и абсорбционные аппараты. Методы расчета и основы
конструирования.-3-е изд.М.:Химия,1987.-280 с.
. Альбом технологических схем
процессов переработки нефти и газа/ Под ред. Б.И. Бондаренко.
М.:Химия,1983.-128с.
Приложение 1
Схема комбинированной установки ГК-3