Автономное регулирование

  • Вид работы:
    Курсовая работа (т)
  • Предмет:
    Информатика, ВТ, телекоммуникации
  • Язык:
    Русский
    ,
    Формат файла:
    MS Word
    930,99 Кб
  • Опубликовано:
    2014-04-25
Вы можете узнать стоимость помощи в написании студенческой работы.
Помощь в написании работы, которую точно примут!

Автономное регулирование

Реферат

Описана заданная схема устойчивости системы автоматического регулирования (САР), показаны уравнения звеньев САР, которые затем приведены к операторной форме. По собственному оператору замкнутой САР построено D-разбиение в плоскости заданного параметра к3. Проверена устойчивость САР по критериям Рауса-Гурвица и Найквиста. Рассчитан переходный процесс при ступенчатом управляющем и возмущающем воздействии и определены показатели качества регулирования.

Введение

Развитие систем управления ДВС характеризуется автоматизацией все большего числа процессов и режимов: пуск и прогрев двигателя; минимальные крейсерские и номинальные режимы работы; работа ДВС с перегрузкой; аварийный режим; переключение передач; изменение угла опережения впрыска (зажигания) топлива; регулирование частоты вращения коленчатого вала; регулирование давления наддува и состава смеси; управление пропусками топлива и отключение цилиндров; рециркуляция отработавших газов; поддержание теплового состояния; диагностика технического состояния систем управления.

Современные регуляторы частоты вращения ДВС содержат большое число взаимодействующих функциональных элементов. Для их вычисления используется принципиальная кинематическая схема регулятора. Составляется функциональная схема системы, в которой отображается взаимодействие между собой функциональных элементов с указанием их входных и выходных характеристик.

Решение указанных задач невыполнимо без знаний основ теории автоматического регулирования и управления, изучения ДВС как объекта регулирования, без освоения современных средств автоматики и методов их исследования.

1. САР дизеля КамАЗ 740

.1 Общие сведения об объекте регулирования

Объектом регулирования является дизельный двигатель КамАЗ-740, который на номинальном скоростном режиме п = 2600 об/мин имеет следующие технические данные: Эффективная мощность Ne = 180 л.с; крутящий момент на валу Мк = 550 Н м; максимальное давление в такте сжатия Pz = 8,5 МПа; часовой расхода топлива Gj = 29 кг/ч; удельный эффективный расход топлива ge = 175 г/лс.-ч.

На двигателе установлен топливный насос высокого давления V-образного типа, имеющий следующие характеристики:

число секций: 8;

диаметр плунжера: 8 мм;

ход плунжера: 10 мм;

расстояние между секциями: 36 мм;

номинальная частота вращения: 1300 об/мин;

номинальная цикловая подача топлива: 79 мм3;

цикловая подача топлива при частоте вращения 100 об/мин: 200 мм .

На топливном насосе высокого давления (ТНВД) установлен механический регулятор частоты вращения прямого действия, всережимный, с прямыми и обратными корректорами. Основные характеристики регулятора следующие:

передаточное отношение передачи привода 2:3;

частота вращения, соответствующая началу действия регулятора: 1335...1355 об/мин;

частота вращения, соответствующая полному включению подачи: 1555 об/мин;

минимальная частота вращения холостого хода: 300 об/мин;

постоянная времени регулятора: 0,015 ... 0,025 с;

коэффициент демпфирования в регуляторе L, = 0.5 ... 1,0.

Объект регулирования - двигатель, функционирующий вместе с регулятором, образуют систему автоматического регулирования. Регулируемым параметром является частота вращения коленчатого вала двигателя со, а регулирующим фактором - расход топлива Gt- Возмущающим воздействием является момент сопротивления на коленчатом валу Mz, а управляющим воздействием - перемещение рычага управления двигателя &с(аруд).

Чувствительным элементом служит центробежный элемент измеритель частоты вращения коленчатого вала (ЦИЧ), а исполнительным элементом - ТНВД, подающий топливо под высоким давлением в камеру сгорания двигателя. Связующими (промежуточными) элементами являются механический редуктор для привода ТНВД, ЦИЧ и шарнирный механизм (ШМ) кинематической связи муфты ЦИЧ и рейки ТНВД.

.2 Регулятор частоты вращения дизеля КамАЗ-740

Современные регуляторы частоты вращения ДВС содержат большое число взаимодействующих функциональных элементов. Для их вычленения используют принципиальную кинематическую схему регулятора. На основе такой схемы изучают принцип действия регулятора, разделяют его на отдельные функциональные элементы. Затем составляют функциональную схему системы, в которой отображается работа и взаимодействие между собой каждого функционального элемента с указанием для него входного и выходного сигналов.

На рисунке 1 приведена кинематическая схема всережимного регулятора частоты вращения дизеля КамАЗ-740. Регулятор выполнен по схеме с переменной затяжкой главной пружины. Вместе с натяжением пружины изменяется ее наклон к главному рычагу. При этом плечо действия пружины увеличивается, что приводит к меньшей интенсивности роста общей степени неравномерности с уменьшением частоты вращения, чем у регуляторов с постоянным положением пружины.

Рис 1 - Кинематическая схема регулятора частоты вращения дизеля КамАЗ-740

На схеме обозначены:

1. Рычаг обратного корректора;      7. Рычаг реек насоса;

2. Обратный корректор;                   8. Рычаг регулятора;

3. Рычаг муфты грузов;                    9. Прямой корректор;

4. Муфты грузов;                              10. Рычаг управления;

5. Державка грузов;                          11. Стартовая пружина;

6. Рычаг выключения подачи           12. Главная пружина;

13. Рейки ТНВД.

При работе регулятора по внешней скоростной характеристике первой начинает деформироваться пружина обратного корректора 2, при этом рычаг 3 муфты грузов поворачивается против часовой стрелки, смещая рейку в сторону увеличения подачи топлива (рычаг 1 при этом неподвижен). Дальнейшее увеличение частоты вращения дизеля приводит к тому, что грузы преодолевают усилие затяжки пружины корректора 9, и рычаги 1 и 3 поворачиваются по часовой стрелке как одно целое, смещая рейки 13 в сторону уменьшения подачи топлива. Применение в регуляторе обратного корректора, как показывает опыт, снизило дымность отработавших газов до допустимых пределов.

Функциональную схему системы регулирования частоты вращения дизеля КамАЗ-740 можно представить схемой на рисунке 2.

Основными функциональными элементами регулятора являются:

-          ДВС;

w    - Центробежный измеритель частоты вращения - исполнительный элемент регулятора;

·   Редукторы приводов измерителей частоты вращения и кулачкового распределительного валика ТНВД;

·   Шарнирный механизм регулятора;

·   ТНВД.

Рис 2 - Функциональная схема САР

2. Уравнения звеньев САР двигателя

.1 Уравнение ДВС как объекта регулирования

При выводе уравнения ДВС как объекта регулирования принимаются следующие основные допущения: потери мощности на привод агрегатов малы по сравнению с мощностью ДВС; на входе в двигателе воздух - идеальный газ; преобразование энергии в процессе горения происходит мгновенно; изменение параметров установившегося режима - малое.

В соответствии с принятыми допущениями уравнение движения коленчатого вала (К.В.) двигателя имеет вид:


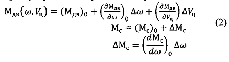
где - момент инерции К.В. двигателя совместно с нагрузкой;  - момент, развиваемый ДВС; -         момент сопротивления, действующий на КВ.

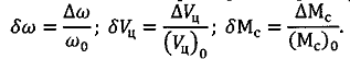
Уравнение (1) является нелинейным. При малых отклонениях параметров возможна линеаризация нелинейных зависимостей разложением их в ряд Тейлора и удержанием первых членов ряда


где - отклонения частоты вращения KB и цикловой подачи топлива относительно установившихся их значений;

 - приращение момента сопротивления (нагрузки).

Частные производные, входящие в уравнения, определяются по углам наклона касательных к соответствующим моментным характеристикам в точках:


Индекс «О» параметров указывает на их принадлежность к установившемся (номинальным) значениям.

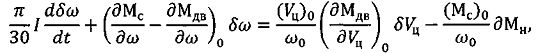
Имея в виду, что на установившемся режиме справедливо равенство  можно записать уравнение (1) с учетом равенств(2) в виде:


Для общности анализа вводятся безразмерные параметры:


С учетом введенных безразмерных параметров уравнение (3) перепишется следующим образом:

или в стандартной форме:

где- постоянная времени двигателя;

 - коэффициент передачи по моменту сопротивления (ВВ).

Выражение (4) является уравнением ДВС, как объекта регулирования. Приведем его к операторной форме:


.2 Уравнения элементов регулятора

.2.1 Центробежный чувствительный элемент

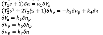
Для центробежного чувствительного элемента принимаются следующие допущения: трение в подвижных элементах отсутствует; отклонение центра тяжести грузиков от оси вращения при изменении частоты вращения пренебрежимо мало. Тогда из уравнения баланса сил запишем уравнение:


где Т2 - постоянная времени регулятора, характеризующая его инерционность и определяемая приведением к оси муфты масс всех подвижных элементов;

 -   коэффициент демпфирования (потерь), характеризующий степень затухания колебательных процессов в регуляторе;

К3- коэффициенты передач по частоте вращения 8а>р привода регулятора;

К4- коэффициент передачи регулятора по управляющему воздействию ( по положению рычага управления двигателем);

 - относительный ход муфты ЦИЧ;

 - относительное положение РУД (настройки регулятора)

 -относительное значение частоты вращения привода ЧЭР.

.2.2 Топливный насос как исполнительный элемент регулятора

При выводе уравнения топливного насоса принимается допущение о малости инерционных сил и сил сопротивления по сравнению с активными силами со стороны привода.


где- ход рейки;- относительный ход рейки;

 - коэффициент передачи ТНВД по ходу рейки управления подачей топлива.

дизель топливный насос регулятор

3. Исследование устойчивости САР двигателя

.1 Структурная схема САР и передаточная функция

Структурная схема всей системы изображена на рисунке 3.

Рис3 - Структурная схема САР

Для построения структурной схемы необходимо представить уравнения элементов в операторной форме:


Т.к. в нашем случае управляющее воздействие осуществляется по  то структурная схема имеет вид, изображенный на рисунке 4.

Передаточная функция для разомкнутой схемы будет иметь вид:


.2 Б- разбиение САР в плоскости одного параметра

Для построения D-разбиения в плоскости параметра к3 выделим его в явном виде из собственного оператора D(S), подставив в него исходные данные и приравняв его к нулю:

откуда искомый параметр равен:


Заменимвыделив действительную и мнимую части, тогда:


Далее на рисунке 4 строим кривую D-разбиения.

Рис 5 - Кривая D-разбиения по к3

Предположительно областьявляется областью устойчивости. Докажем это с помощью критериев Рауса-Гурвица и Найквиста предварительно выбрав действительное коэффициентаиз этой области.

.3 Исследование устойчивости САР по критерию Рауса-Гурвица

Для оценки выбираем такое значение к5, которое лежит в области максимальной устойчивости D- разбиения. Принимаем кз^б, тогда собственный оператор системы:


Коэффициенты полинома: а0=22,5-10"6; ai=2,175-10'3; а2=0,12; а3=7,4 При а0 = 22,5 •10~6 > 0 анализируем знаки диагональных миноров:


Таким образом мы доказали, что САР устойчива и область I D-разбиения является областью устойчивости системы по критерию Рауса-Гурвица.

.4 Исследование устойчивости САР по критерию Найквиста

Необходимо проанализировать устойчивость замкнутой САР по расположению ее АФЧХ в разомкнутом состоянииотносительно точки на действительной оси с координатамиАФЧХ разомкнутой САР строится по передаточной функции


где заменим и представим ее в виде


Для данного варианта имеем:


Для устойчивости замкнутой САР, устойчивой в разомкнутом состоянии, необходимо и достаточно, чтобы при изменении частоты колебаний доАФЧХ системы в разомкнутом состоянии не охватывала точку с координатами1;j;0).

Рис 5 - АФЧХ разомкнутой САР

4. Исследование переходных характеристик САР

.1 Переходные характеристики при трех значениях неизвестного коэффициента

Качество регулирования САР определяется по показателям качества переходного процесса при ступенчатом управляющем воздействии.

i

Задаемся тремя значениями коэффициента к3 из области D- разбиения (см. рис. 5), такими как k3=0,l; k3=0,5; k3=0,7;. Далее определяем переходные характеристики при ступенчатом управляющем воздействии  которые представлены на рисунке 7.

Переходные характеристики CAP при с!Мсступенчатом возмущающем воздействии

Рис 6 - Переходные характеристики САР.

4.2 Оценка качества регулирования

Показатели качества регулирования при к3= 0,6

 - максимальное перерегулирование; 0,8с - время регулирования (при допуске ±5% от Sxycm). N=0- число колебаний за время переходного процесса.


При заданных параметрах системы автоматического регулирования частоты вращения дизеля КамАЗ-740 получены уравнения звеньев, схемы САР в общем виде и для управляющего воздействияС помощью критериев Рауса-Гурвица и Найквиста подтвердили устойчивость разомкнутой системы в / области D-разбиения. Наиболее качественные параметры регулирования САР получены при значении коэффициента к3-ОД.

Список использованных источников

1. Гимадиев А. Г. Динамические характеристики систем автоматического регулирования: Учебное пособие. - Куйбышев: КуАИ, 1986. -60с.

2. Попов Е. П. Теория линейных систем автоматического регулирования и управления. - М.: Наука, 1978. - 256 с.

3. Курс лекций по Автоматике и регулированию ДВС.

Похожие работы на - Автономное регулирование

 

Не нашли материал для своей работы?
Поможем написать уникальную работу
Без плагиата!
Без нейросетей!