Параметры соединений разных типов и подбор для них посадки в системе стандартов Совета Экономической Взаимопомощи

  • Вид работы:
    Курсовая работа (т)
  • Предмет:
    Другое
  • Язык:
    Русский
    ,
    Формат файла:
    MS Word
    345,48 Кб
  • Опубликовано:
    2014-03-07
Вы можете узнать стоимость помощи в написании студенческой работы.
Помощь в написании работы, которую точно примут!

Параметры соединений разных типов и подбор для них посадки в системе стандартов Совета Экономической Взаимопомощи

Содержание

Введение

. Расчет и выбор посадок с зазором в подшипниках скольжения

. Расчет и выбор посадок с натягом

. Расчет переходных посадок

. Расчет и выбор посадок деталей под подшипники качения

. Расчет гладких предельных калибров для размеров дО 500 мм

. Расчет и выбор параметров точности цилиндрических эвольвентных зубчатых передач

. Расчет размерных цепей

Заключение

Список использованной литературы

Введение

В современной рыночной экономике конкурентоспособность выпускаемой предприятием продукции определяет жизнеспособность данного предприятия. Одним из главных факторов, влияющих на конкурентоспособность продукции, работы и услуг, является их качество.

Стандартизация, взаимозаменяемость, метрология, технические измерения и сертификация продукции, работ и услуг являются инструментами обеспечения качества. На основе стандартизации сформированы принципы и нормативные акты взаимозаменяемости, метрологии, технических измерений, систем управления качеством и сертификации.

Взаимозаменяемость выражается в том, что при сборке нет необходимости в подгонке соединяемых деталей и подгонке комплектующих изделий, а конечная продукция имеет заданные технические характеристики. Например, станки обеспечивают установленную точность обработки, автомобили имеют заданную скорость и т.д.

В машино- и приборостроении широко используют стандартные нормативно-технические документы, стандартные детали, а также комплектующие изделия, изготовленные на специализированных предприятиях поэтому взаимозаменяемость базируется на стандартизации и способствует её развитию, а также развитию специализаций и кооперированию промышленности. Одним из основных условий осуществления взаимозаменяемости является точность деталей, узлов и комплектующих изделий по геометрическим параметрам, к которым относятся: точность размеров или нормируемые допуски; характер соединения деталей при сборке (посадка); точность формы и расположения поверхностей; шероховатость и волнистость поверхностей.

Точность размеров, формы и расположения поверхностей, а также шероховатость поверхностей в настоящее время оцениваются долями микрометров. Поэтому способы определения действительных значений этих параметров или методы технических измерений весьма трудоёмки и требуют соответствующих измерительных средств.

Взаимозаменяемость деталей и элементов конструкций, имеющая огромное значение в промышленном производстве, возможна только при условии широкого применения СИ и обеспечения единства измерений при необходимой их точности.

. РАСЧЕТ И ВЫБОР ПОСАДОК С ЗАЗОРОМ В ПОДШИПНИКАХ СКОЛЬЖЕНИЯ

Рассчитать и выбрать по стандарту посадку с зазором для гидродинамического подшипника скольжения исходя из следующих данных: угол охвата подшипника - 180°, длина -  = 1801 мм, диаметр  мм, число оборотов , нагрузка радиальная  kH, вкладыш из цинкового сплава ЦАМ 10-5, шероховатость поверхности вала  мкм, шероховатость вкладыша  мкм.

1. по формуле (4.4) определяется наименьший функциональный зазор . Предварительно находятся числовые значения всех составляющих, входящих в эту формулу. Значения  и  находим по табл. 4.1 () Па с. Величину угловой скорости находим по формуле 4.6


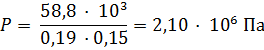
Среднее давление определяем по формуле (4.7)


Находим величину . Для этого определим все промежуточные данные:

А) окружная скорость цапфы (см. формулу 4.10)


Б) относительный зазор в подшипнике (см. формулу 4.11)


В) оптимальный зазор посадки (см. формулу 4.12)


Г) коэффициент загруженности подшипника (см. формулу 4.13)


Д) по найденной величине  = 2,93 и заданной величине  используя интерполяцию по табл. 4.4, находим величину . Согласно формуле (4.1) определяем величину


Для обеспечения жидкостного трения необходимо обеспечить условие 4.8. приняв  и , получим


Сопоставляя величины  приходим к выводу, что условие  выполняется. Получив все необходимые данные и использовав формулу (4.4) определяем величину



. исходя из полученного значения  по стандарту выбираем стандартную посадку. Ближайшей посадкой является посадка Ф15ОН7 с наименьшим зазором =43 мкм. Однако такая посадка не обеспечивает устойчивый режим подшипника . Чтобы избежать вибраций вала, выбираем другую ближайшую посадку Ф150 .

. Производим проверку наличия жидкостного трения при выбранном значении . Определяем по формуле(4.13) величину . Предварительно находим величину


Тогда  определим из следующего выражения


По табл. 4.4 при , с учетом интерполяции находим .

Определяем наименьшую толщину масляного слоя по формуле 4.1


Коэффициент запаса надежности по толщине масляного слоя  определяем по формуле 4.9


Величина , следовательно, запас надежности по толщине масляного слоя обеспечивается.

Расчет показывает, что посадка по наименьшему зазору выбрана правильно, т.е. жидкостное трение обеспечивается.

. определим наибольший функциональный зазор (см. формулу 4.14). определяя эту величину принимаем  и

Подставив в формулу все необходимые данные, найдем мкм

. Проверяем, обеспечивается ли при таком зазоре жидкостное трение. Относительный зазор Ψ будет равен:


Коэффициент нагруженности подшипника (см. формулу 4.13)


По таблице 4,4, при , с учетом интерполяции, находим относительный эксцентриситет

Наименьшая толщина масляного слоя (см. формулу 4.1)


Коэффициент запаса надежности по толщине масляного слоя определяем по формуле 4.9


Величина , следовательно, при  жидкостное трение обеспечивается.

Для дальнейшей посадки Ф150  определяем ее основные характеристики.

 Вал

Отверстие

Соединение


Величина запаса на износ посадки (см. формулу 4.15)


Коэффициент запаса точности (см. формулу 4.16)


Следовательно, условие  выполняется.

.        По полученным расчетным данным строим схему полей допусков с указанием основных характеристик (приложение 1)

. РАСЧЕТ И ВЫБОР ПОСАДОК С НАТЯГОМ

Соединение (см. рис. 5.1) с размерами D = 210 мм., =170 мм, = 50 мм,  = 230 мм, Н.м. Материал деталей - сталь 40. Рабочая температура соединения 20. Запрессовка механическая со смазкой.

рис. 5.1


Где:

 - продольная осевая сила, стремящаяся сдвинуть одну деталь относительно другой, H;

 - крутящий момент, стремящийся повернуть одну деталь относительно другой, H;

 - длина контакта сопрягаемых поверхностей, м;

- коэффициент трения при установившемся процессе распрессовки или проворачивания;

- номинальный диаметр соединения, м;

.          Определяем [] по формуле (5.1)

[]=

где f = 0.08 (см. табл. 5.1).

.          Определяем  по формуле (5.4). Предварительно определяем коэффициенты   по формулам (5.5)


2         По полученному значению  определяется необходимая величина наименьшего расчетного натяга  (М)


Где:

 - модули упругости материалов соответственно охватываемой (вала) и охватывающей (отверстия) деталей в ;

 -коэффициенты Ляме, определяемые по формулам:


Где:

 - (см. рис. 5.1);

 коэффициенты Пуассона соответственно для охватываемой и охватывающей деталей.

Для сплошного вала ();  для массивного корпуса () .

Значения  для различных материалов приведены в табл. 5.2.

.          С учетом поправок к определяется величина минимального допустимого натяга

 

Где  - поправка, учитывающая смятие неровностей при образовании соединения


Числовое значение величин  выбираются по таблице 5.3.

1,2 (10 + 6,3) = 19,6 мкм;

поправка  = 0, т.к. температура  =  =  = 20℃;

поправка  = 0 т.к детали соединения не вращаются. Принимаем с учетом возможных разборок  = 10 мкм. Тогда, с учетом формулы (5.6)

 = 113 + 36 + 10 = 159мкм

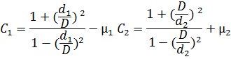
.          Определяем величину [], для чего рассчитываем  и  по формулам (5.10) и (5.11)

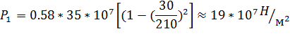
 = 0,58 [1- (]; (5.10)

 = 0,58 [1- (], (5.11)

 

где  и  - предел текучести материалов вала и втулки.

Для дальнейших расчетов используем наименьшее из двух полученных величин:


Определяем  по формуле (5.12)

 = [] D ( + ).

Определяем максимальный допустимый натяг по формуле (5.13)

 =  ∙  +  - ,

 

=245.59

где выбираем по графику (см. рис. 5.2),  = 0, т.к. рабочая температура, при которой происходит сборка 20℃.

7. По полученным значениям  и  выбирается стандартная посадка с натягом [1, табл.1.49].

Выбирая посадку необходимо, чтобы величины рассчитанных значений натягов ,  и величины найденных по таблице натягов ( удовлетворяли следующим условиям:

  (5.14)

 >  (5.15)

 =  -  (5.16)

и запас прочности соединения при сборке

 =  -  (5.17)

В найденной посадке должно выполняться следующее условие

> (5.18)

Для выбранного соединения Ø210  строим схему расположения полей допусков с указанием всех основных параметров.

. РАСЧЁТ ПЕРЕХОДНЫХ ПОСАДОК

Дана посадка Ø4)

Определить вероятность получения зазоров и натягов при условии, что рассеяние размеров отверстия и вала подчиняется нормальному закону распределения.

Центр рассеяния суммарной совокупности (зазоров или натягов) находим из схемы посадки (рис.6.1) по значениям средних отклонений деталей.

Размер отверстия H7 Размер вала m6

 = 4,000 мм; = 4,004 мм;

= 4,018 мм; = 4,012 мм

= 0,018 мм; = 0,011 мм.

Координата середины поля допуска вала

 = es - ,

 

где es - верхнее отклонение вала.

Среднее квадратичное отклонение суммарной совокупности (посадки)

 = , (6.2)

где  - среднее квадратичное отклонение отверстия;

 - среднее квадратичное отклонение вала.

Исходя из ранее принятого допущения, согласно которому для размеров отверстия и для размеров вала Т = 6 имеем:

 =  =  = 2 мкм;

 =  =  = 13 мкм.

Тогда  =  ≈ 2.4 мкм.

Рассчитываем значение зазоров, натягов и допуска посадки Ø4


Вычислим вероятность значений зазора в пределах от 0 до  = 2 мкм, т.е. найдем площадь, ограниченную линией симметрии кривой Гаусса, построенной для отверстия и соответствующей линией кривой Гаусса, построенной для вала (см. рис. 6.2). Площадь Ф легко найти из таблицы значений функции Лапласа [1, с.12]

Z =  =  = 0.833

где  - координата границы искомого участка от центра рассеяния.


Табличное значение Ф(0,714) = 0,2995;

вероятность получения натягов составит (0,5 - 0,2995) = 0,2005 ≈ 24%;

вероятность получения зазоров составит (0,5 + 0,2005) = 0,7995 ≈ 80%.

Построим кривую нормального распределения зазоров и натягов посадки (рис.6.3)


Отложив по оси абсцисс от центра рассеяния кривой значение ω = ± 7,2мкм и одновременно отметив на расстоянии 2мкм нулевую точку, получаем вероятные значения зазора и натяга.

 = 10,5 + 2 = 12,5 мкм;

 = 10,5 - 2= 8,5 мкм.

При этом предельные параметры, подсчитанные по предельным отклонениям размеров деталей, составляют  = 8 мкм,  = 12 мкм (см. рис. 6.3).

Вероятность получения натягов численно равна незаштрихованной площади на кривой (см. рис. 6.3).

Сравнивая значения предельных и вероятных параметров, можно сделать существенное заключение: предельные зазоры и натяги, подсчитанные по предельным отклонениям, маловероятны, т.е. реально параметры в соединениях получаются с более жестким допуском посадки, уменьшенным против предельного примерно на 2.

По результатам расчетов переходной посадки на листе графики вычерчивается схема расположения полей допусков посадки и кривая, характеризующая вероятность получения соединений с зазором и натягом.

. РАСЧЕТ И ВЫБОР ПОСАДОК ДЕТАЛЕЙ ПОД ПОДШИПНИКИ КАЧЕНИЯ

Исходные данные: чертёж узла , включающий в себя два радиально-упорных конических однородных подшипника 311; радиальные реакции в опорах  =  кН; нагрузка с ударами и вибрацией, вал сплошной; корпус стальной, разъёмный.

Устанавливаем характер нагружения колец подшипника. Согласно конструкции (см. приложение 2) вал вращается, следовательно, внутреннее кольцо нагружено циркуляционное. Наружное кольцо неподвижно, значит оно имеет местное нагружение [1, с.235-236].

По справочной литературе [4,5] определяем основные характеристики подшипника 311:

d=55; D= 120; B=29; =0,8;

Для циркуляционно нагруженного кольца по формуле (7.2) определяем интенсивность радиальной нагрузки

 = () , ,  (7.2)

= ·1·1·1= 1171,1711

По полученному значению, используя таблицу 7.2, выбираем основное отклонение для вала, куда монтируется внутреннее кольцо. Это будет отклонение η. По таблице 7.1 выбираем основное отклонение для отверстия в корпусе, куда монтируется наружное кольцо. Это будет отклонение Н. С учётом рекомендаций, приведённых в примечании к табл. 7.2 принимаем следующие значения полей допусков для вала и корпуса: k6, N7.

По ГОСТ 520-89 найдём предельные отклонения размеров внутреннего и наружного колец подшипника ( можно использовать данные из таблиц 4.82-4.85 [3] ). Числовые значения найденных предельных отклонений размеров вала, отверстия в корпусе, наружного и внутреннего колец сводим в табл. 7.10.

Внутреннее кольцо

Вал

Наружное кольцо

Отверстие корпуса

 6)


Посадку, назначенную для циркуляционного нагруженного кольца, проверяем на наличие посадочного радиального зазора. Для этой цели находим действительный натяг, исходя из наибольшего предельного натяга, возникающего при посадке по внутреннему кольцу.

 ≈ 0,85  = 0,85 ∙ 64 = 54.4 мкм

Определяем приведённый наружный диаметр внутреннего кольца

 = D + (D - d) /4 = 120 + (120-55) /4 = 136.25 мкм



По формуле (7.4) находим диаметральную деформацию внутреннего кольца

Δ = ; Δ= , (7.4)

= 54.4 ∙ 55/71.25 = 42 мкм

= 54.4 ∙ 120/136.25 = 47.8 мкм

По формуле ( 7.3) определяем величину радиального зазора

 =  - Δ), (7.3)

g =  - ∆ =0.023-0.042*0.0479 = 0.021 мкм,

где  = 0.5( + ) = 0,5(3.3-1.3) =23мм (5, табл.17)

После выполнения всех расчетов на листе вычерчиваем все необходимые данные, т.е. подшипниковый узел, детали этого узла и схемы полей допусков.

5.        РАСЧЁТ ГЛАДКИХ ПРЕДЕЛЬНЫХ КАЛИБРОВ ДЛЯ РАЗМЕРОВ ДО 500 ММ

Определить размеры рабочих калибров для контроля отверстия и вала соединения Ø75. Построить схемы расположения полей допусков для калибра-скобы и калибра-пробки. Выполнить чертежи калибров и нанести на них требуемые величины размеров, отклонения формы и шероховатости. Произвести маркировку калибров.

По таблицам стандарта находим предельные отклонения размера отверстия Ø210Н8 (ES = 0,072, EI = 0) предельные отклонения размера вала Ø210 u8 (ES = 0,33 , EI = 0,258).

По полученным данным находим наибольшие и наименьшие значения предельных размеров отверстия и вала:

 72

 

 =210.33

 +0.258=210.258

Определяем размеры калибра пробки:

мм,

мм,

мм,

мм,

мм.

Отклонение середины поля допуска z: z=12= 0,012мкм

Допустимый износ у: у = 7= 0,007мкм

Допуск на изготовление калибра Н: Н=10=0,01

мм

 

мм,

 

мм


мм.

Определяем исполнительный размер калибра-пробки: исполнительный размер, ПР= исполнительный размер Р-НЕ=мм.

Определяем размеры калибра-скобы

мм,

мм,

мм,

мм,

мм.

Отклонение середины поля допуска :=12= 0,012мкм

Допустимый износ: 7= 0,007мкм

Допуск на изготовление калибра: =14=0,014

мм,


мм,


мм,


мм,

 

мм.

Определяем исполнительный размер калибра-пробки: исполнительный размер, ПР= исполнительный размер Р-НЕ=мм.

6.       РАСЧЁТ И ВЫБОР ПАРАМЕТРОВ ТОЧНОСТИ ЦИЛИНДРИЧЕСКИХ ЭВОЛЬВЕНТНЫХ ЗУБЧАТЫХ ПЕРЕДАЧ

Исходные данные: передача 8-8-7В ГОСТ 1643-81,  , m=5,=13,  изготовлены из стали 45. Нагрев зубчатых колес от = 45°C, корпуса до  = 30°C.

Подобрать и дать краткое описание средства измерения профиля зубьев колес.

Обозначение передачи 8-8-7В ГОСТ 1643-81 расшифровывается следующим образом: степень точности передачи по всем 3-м нормам (кинематической, циклической, пятну контакта) - 8. Вид сопряжения - В, вид допуска на боковой зазор - с. По табл. 9.1 определяем, что данная передача относится к передачам средней точности. Область применения: зубчатые колёса общего машиностроения, не требующие особой точности; колеса станков, не входящие в делительные цепи; несоответственные шестерни авиа-авто-тракторостроения, колеса грузоподъёмных механизмов, ответственные шестерни сельскохозяйственных машин. Допустимая окружная скорость колес до 6 м/с.

По ГОСТ 1643-81 получаем комплекс показателей для контроля по всем нормам точности зубчатого колеса. Наиболее полную оценку точности колеса можно получить, используя комплексные показатели (, ,  и т.д.). Однако для проверки по комплексным показателям необходимы соответствующие измерительные устройства, которые не всегда имеются на предприятиях. Поэтому назначим другие показатели точности для контроля, используя рекомендации табл. 5.4, 5.5, 5.6, 5.16

Для кинематической точности выбираем параметр  (допуск на накопленную погрешность шага) и параметр k ( допуск на накопленную погрешность k шагов), для оценки плавности работы - ± t ±  ( допуск на отклонение осевых шагов по нормали) и  (допуск на погрешность формы и расположения контактной линии), для оценки бокового зазора - параметр  (допуск на среднюю длину общей нормали).

Числовые значения выбранных параметров находим по таблицам ГОСТ 1643-81 ( в рассматриваемом примере они не приводятся).

Определяем расчетный минимальный боковой зазор . по формуле

 = 0.684a [ (- 20°) - (- 20°)] (8)

 (8.1)

Подставляем а в исходную формулу (8):

 = 0,684*80* [13*(45-20) - 12* (30-20)]=-0,0015мкм

В связи с «-»значением меняем температуру = 30°C,на  = 45°C и подставляем в формулу:

 = 0,684*80* [13*(45-20) - 12* (45-20)]=0,0013мкм

Величину бокового зазора (мкм), необходимую для размещения слоя смазки, ориентировочно можно определить по следующей зависимости:

= (10 ÷ 30)  (8.2)

где  - нормальный модуль. Рекомендуется принимать 10  для тихоходных передач и до 30  - для особо высокоскоростных передач. Для тихоходных кинематических передач при отсутствии принудительной смазки гарантированный боковой зазор можно принимать 5-10 мкм. Исходя из выше изложенного, гарантированный боковой зазор:


 +  (8.3)

Максимальный боковой зазор  при угле зацепления α = 20° определяется по формуле:

 =  +  +  + ) 0,684 (8,4)

Величины  и  выбираются по табл.5.19 [3, с.339], величина  - по табл. 5.17 [3, с.336].

, ,

Рассчитываем диаметр вершин зубьев

 (8.5)

Подставляем в формулу (8.4)

Допуск на боковой зазор определяется по формуле:

 -  (8.6)

Чертеж колеса выполняем в соответствии с требованиями ЕСКД по ГОСТ 2403-75.

Рассчитываем диаметр вершин зубьев

=d + 2m (ha +x) , (8.7)

где d = m∙z - коэффициент высоты головки ha=1,

x - коэффициент смещения исходного контура колеса, x=0

 = 2*20+2*5*1=50

Чертеж колеса выполняется в соответствии с ГОСТ 2403-75.

Для измерения профиля зубьев колес можно использовать приборы, имеющие два наконечника с параллельными плоскостями и в зависимости от требуемой от требуемой точности отсчетное нониусное, микрометрическое или индикаторное устройство.

.        РАСЧЁТ РАЗМЕРНЫХ ЦЕПЕЙ

Произвести размерный анализ передаточного механизма и вычертить схему размерной цепи (Приложение 7). Определить методом «максимума-минимума»

допуски составляющих звеньев передаточного механизма, если, а номинальные значения составляющих звеньев имеют следующие величины: A1=232 мм, А2=20, А3=50 мм, А4=100 мм, А5=20 мм, А6=40 мм.

Звенья цепи А1 - увеличивающие, а звенья А2-А5 - уменьшающие. Проверяем уравнение номиналов размерной цепи по формуле (9.1)

= (9.1)

Данная задача является прямой, поэтому допуски составляющих звеньев можно назначить двумя способами: способом равных допусков или способом одного квалитета точности.

Расчёт размерной цепи способом равных допусков

Находим допуск замыкающего звена по формуле (9.2)

 (9.2)

При решении размерной цепи первым способом определяем средний
допуск составляющих звеньев  по формуле (7.3)

 (9.3)

Размеры Аь А2, А5 являются охватываемыми, поэтому допуски на них назначаем как для основных валов по h(es = 0, ei = -Td), а на размеры А3, А4, А6 назначим допуски по Js(es = +Td/2, ei = -Td/2), т.к. они являются и не охватываемыми, и не охватывающими.

Ориентировочно выбираем допуски для всех размеров цепи по 9 квалитету точности по таблицам стандарта СЭВ 144-75. Результаты сводим в таблицу 7.1

Таблица 7.1 - Допуски для всех размеров

Номинальные значения звеньев , мм

Поле допуска

Допуск звена TAJt MM

Координата середины поля допуска EcAj, мм

А1=232

h9 (hl3)

0,115(0,72)

0,0575(0,36)

А2=20

h9

0,052

-0,026

А3=50

Js9

0,062

0

А4=100

Js9

0,086

0

А5=20

h9

-0,026

А6=40

Js9

0,062

0

примечание - В скобках указаны величины после корректировки размеров звена А1


Проверяем уравнение допусков размерной цепи по выбранному квалитету по условию (7.4)

 (9.4)

Условие выполняется, однако слишком большая разность между допуском замыкающего звена и суммой составляющих звеньев говорит о том, что допуски на составляющие звенья заданы слишком жёсткими. В нашем случае имеется возможность расширить допуски составляющих звеньев, а значит и снизить себестоимость сборочной единицы, размерный анализ которой проводится. Поэтому проводим корректировку допусков. В качестве корректируемого выбираем звено А1. Увеличивая его допуск, принимаем поле допуска по h13, тогда TA1 = 0,72 мм.

Такое соотношение вполне допустимо.

Проверяем условие равенства по координатам середин полей
допусков, предварительно определив координаты середин полей допусков
замыкающего и составляющих звеньев (таблица 7.1) по формуле (7.5)

 (9.5)


Так как условие не выполняется, то производим корректировку середины поля допуска у одного из звеньев цепи. Для этого у звена А1 изменяем координату середины поля допуска на величину 0,121, тогда условие выполняется.

Так как условия решения размерной цепи выполнены, то назначаем предельные отклонения составляющих звеньев

Для звена А1


Для звена А2 и А5

 

Для звена А3


Для звена А4

 

Для звена А6


Чтобы сложность получения заданной точности всех звеньев была примерно одинаковой, назначаем допуски одного квалитета, т.е. допуск замыкающего звена делится пропорционально единице допуска каждого составляющего звена. Для этого используем метод допусков одного квалитета. При этом методе определяем число единиц допуска по формуле (7.6)

 (9.6)

Определяем требуемый квалитет: 9 для звеньев А2-А6 и 10 для звена А1. Остальные этапы расчётов выполняем аналогично решённому ранее способу.

Расчёт размерной цепи теоретико-вероятностным методом

Определяем коэффициент точности по формуле (9.7)

, (9.7)

Назначаем допуски составляющих звеньев по 13 квалитету. Результаты сводим в таблицу 7.2.

Таблица 7.2 - Допуски для всех размеров цепи

Номинальные значения звеньев Aj,мм

Поле допуска

Допуск звена TAj мм

Координата середины поля допуска EcAj, мм

1

2

3

4

А1=232

h13

0,72

-0,36

А2=20

h13

0,33

-0,165

Js13

0,39

0

А4=100

Js13

0,54

0

А5=20

h13

0,33

-0,165

А6=40

Js13

0,39

0


При вероятностном методе расчёта связь между допуском исходного звена и допусками составляющих звеньев выражается условием (7.8)

 (9.8)

Условие выполняется.

Так как условия решение размерной цепи выполнены, назначаем предельные отклонения составляющих звеньев

Для звена А1

 

Исполнительный размер А1 равен


Для звена А2 и А5


Исполнительные размеры А2 и А5 равны


Для звена А3


Исполнительный размер А3 равен


Для звена А4


Исполнительный размер А4 равен


Для звена А6



Исполнительный размер А6 равен


Сравнивая таблицы 7.1 и 7.2 можно убедиться, что решение теоретико-вероятностным методом позволяет назначить менее жёсткие допуски на обработку заготовок при том же допуске замыкающего звена.

посадка подшипник деталь зубчатый

ЗАКЛЮЧЕНИЕ

С помощью задач «Расчёт и выбор посадок в подшипниках скольжения», «Расчёт и выбор посадок с натягом», «Расчёт переходных посадок», «Расчёт и выбор посадок для подшипников качения», «Расчёт гладких предельных калибром для размеров до 500мм», «Расчёт и выбор параметров точности цилиндрических эвольвентных зубчатых передач», «Расчёт размерных цепей» решенных в данной курсовой работе, стало возможным рассчитывать параметры соединений разных типов, подбирать для них посадки в системе СТ СЭВ, проверять отклонения калибрами таким образом, чтобы соединение деталей было долговечно, взаимозаменяемо, надёжно, безопасно для людей, использующих рассчитанный механизм или соединение вала или отверстия.

СПИСОК ИСПОЛЬЗОВАННОЙ ЛИТЕРАТУРЫ

1.   Годына Н.Н. «Методические указания к курсовой работе по дисциплине «Основы взаимозаменяемости» для студентов, обучающихся по специальности машиностроение», г. Павлодар, 2010 г.

2.       Мягков В.Д. Допуски и посадки: Л.: Машиностроение. Ленингр. отд-ние, 1982. - Ч. 1. 543 с., ил.

.        Мягков В.Д. Допуски и посадки: Л.: Машиностроение. Ленингр. отд-ние, 1983. - Ч. 2. 448 с., ил.

.        Козловский Д.Ф., Сборник примеров и задач по курсу «Основы стандартизации, допуски, посадки и технические измерения»: М.: «Машиностроение», 1983. - 304 с., ил.

.        Перель Л.Я., Подшипники качения. Расчёт, проектирование и обслуживание опор. Справочник. - М.: «Машиностроение», 1983. - 543 с.

.        Бейзельман Р.Д., Подшипники качения. Справочник. - М.: «Машиностроение», 1975. - 543 с.

Похожие работы на - Параметры соединений разных типов и подбор для них посадки в системе стандартов Совета Экономической Взаимопомощи

 

Не нашли материал для своей работы?
Поможем написать уникальную работу
Без плагиата!
Без нейросетей!