Расчет и проектирование сварной балки с подвижной системой нагрузки
Министерство
образования и науки Российской Федерации
Федеральное
государственное бюджетное образовательное учреждение
Высшего
профессионального образования
«СИБИРСКИЙ
ГОСУДАРСТВЕННЫЙ ИНДУСТРИАЛЬНЫЙ УНИВЕРСИСЕТ»
Кафедра
металлургии и технологии сварочного производства
ПОЯСНИТЕЛЬНАЯ
ЗАПИСКА
к
курсовой работе по курсу
«Проектирование
и производство сварных и паяных конструкций»
Расчет
и проектирование сварной балки с подвижной системой нагрузки
Зав. кафедрой Н. А.
Козырев
Руководитель работы
Г. Н. Вострецов
Выполнил студент
группы МСП - 08
А. В. Роор
Новокузнецк
Задание на проектирование
Расчетная схема балки представлена на рисунке 1.
Балка лежит на двух опорах, расстояние между которыми равно L, и нагружена
собственным весом q и двумя сосредоточенными силами от веса тележки Р,
расстояние между которыми равно d. Тележка двигается по рельсу квадратного
сечения t x t, приваренного к верхнему поясу.
Рисунок 1 - Расчетная схема балки
Задание на проектирование заключается в
следующем:
Построить линии влияния реакций опор изгибающих
моментов и поперечных сил в выбранных сечениях. Определить максимальные
координаты линий влияния моментов и поперечных сил.
Определить максимальные значения изгибающих
моментов и поперечных сил в заданных сечениях.
Определить требуемую высоту сечения балки из
условий жесткости и наименьшего веса.
Подобрать сечение балки в виде сварного
двутавра, проверить напряжения в опасных точках.
Проверить общую и местную устойчивость,
расставить горизонтальные связи и ребра жесткости.
Спроектировать и рассчитать сварные соединения
балки ( поясные швы, стыки ). опора балка
нагрузка двутавр
Выполнить эскиз спроектированной балки в трех
проекциях. Указать все размеры. Изобразить и обозначить сварные соединения.
Исходные данные приведены в таблице1. Материал
балки - сталь Ст. 3 (
Норма жесткости
балки задана через максимальный прогиб
в
центре пролета от сосредоточенных нагрузок и составляет
Таблица 1 - Исходные данные для расчета
|
Вариант
№
|
L,
м
|
Р,
кН
|
q,
кН/м
|
t,
мм
|
|
7
|
22
|
55
|
20
|
45
|
Реферат
Пояснительная записка содержит 34с., иллюстраций
18, таблиц 1, приложений 1, источников 3.
В данной работе производится проектирование
подкрановой двутавровой балки с учетом действия на нее сосредоточенной и
распределенной нагрузки. Так же особое внимание уделяется ее местной и общей
устойчивости и расчету поясных швов, конфигурация которых будет удовлетворять
требованиям по прочности.
Содержание
Введение
.
Построение линий влияния реакций опор, изгибающих моментов и поперечных сил в
заданных сечениях
.1
Построение линий влияния реакций опор
.2
Построение линий влияния изгибающих моментов и поперечных сил
.3
Определение максимальных значений изгибающих моментов и поперечных сил
.
Определение требуемой высоты сечения балки из условий жесткости и наименьшего
веса
.1
Расчет из условия жесткости
.2
Расчет из условия наименьшего веса
Подбор
сечения балки и проверка напряжений в опасных точках
.1
Подбор сечений элементов балки
.2
Проверка напряжений в опасных точках
Проектирование
балки с учетом ее устойчивости
.1
Общая устойчивость
.2
Местная устойчивость
Проектирование
и расчет сварных соединений балки
.1
Поясные швы
.2
Стыковые швы
.3
Швы, приваривающие ребра жесткости
Заключение
Список
использованной литературы
Приложение
А
Введение
Подкрановые балки обычно выполняют в виде
сварного двутавра с ребрами жесткости. Условия их работы определяют требования к
конструктивному оформлению и технологии выполнения сварных соединений. При
нагружении сварного двутавра только продольным изгибающим моментом такие
концентраторы как подрез стенки или непровар корня поясного шва, не
представляют особой опасности, так как располагаются параллельно нормальным и
касательным напряжениям.
Однако сечения подкрановой балки дополнительно
испытывают периодическое нагружение сосредоточенной силой Р от колеса крана,
передаваемое с рельса на верхний пояс и через поясные швы на стенку балки.
Кроме того, при нарушениях симметрии рельса относительно оси симметрии балки
возникает дополнительный момент в поперечном направлении, воспринимаемый
поясными швами и стенкой. В этом случае непровар корня поясного шва или подрез
стенки оказываются расположенными поперек силового потока и поэтому могут
служить причиной возникновения усталостных трещин. В связи с этим необходимо не
только следить за технологическим процессом изготовления, но и конструировать
саму балку исходя из условий работы и перегрузки.
1. Построение линий влияния реакций опор,
изгибающих моментов и поперечных сил в заданных сечениях
.1 Построение линий влияния реакций опор
Линия влияния опорной реакции балки выражает
зависимость величины реакции от положения груза, равного единице, на балке.
Обозначим расстояние груза до левой опоры через х, пролет балки через l
(рисунок 1)[1, с. 256, рисунок 8.5].
Рисунок 1 - Опорные реакции в однопролетной
балке с шарнирными опорами
Реакция А определяется уравнением наклонной
прямой (рисунок 2) и будет равна:
А =
.
Рисунок 2 - Линия влияния реакции А
Подобным образом строится линия влияния реакции
В (рисунок 3).
Рисунок 3 - Линия влияния реакции В
.2 Построение линий влияния изгибающих моментов
и поперечных сил
Линии влияния М имеют форму треугольника с
вершиной в сечении а (рисунок 4) [1, с. 256, рисунок 8.5].
Рисунок 4 - Вид линии влияния М
Если линии влияния строятся для сечения l/2, то
вертикальные отрезки, откладываемые на опорах, равны между собой и равны 1l/2.
Высота треугольника в этом случае равна l/4 (рисунок 5).
Рисунок 5 - Линия влияния М в сечении 0,5l
Подобным образом линии влияния М строятся для
различных сечений балки, например 0,4l, 0,3l, 0,2l, 0,1l (рисунок 6).
а)
б)
Рисунок 6, лист 1
в)
г)
а) - линия влияния М в сечении 0,4l;
б) - линия влияния М в сечении 0,3l;
в) - линия влияния М в сечении 0,2l;
г) - линия влияния М в сечении 0,1l;
Рисунок 6, лист 2 - Линии влияния изгибающих
моментов в различных сечениях балки
После построения соответствующих линий влияния М
необходимо определить их максимальные ординаты
,
м, для каждого рассмотренного сечения по формуле:
=
,
где L - расстояние между опорами, м;
а - сечение балки, м.
=
;
=
;
=
;
=
;
=
;
Линии влияния поперечное силы Q на рисунке 7
выражают зависимость величины поперечной силы в заданном сечении а от положения
груза, равного единице на балке.
а)
Рисунок 7, лист 1
б)
в)
г)
Рисунок 7, лист 2
д)
е)
а) - линия влияния Q для сечения балки 0l;
б) - линия влияния Q для сечения балки 0,1l;
в) - линия влияния Q для сечения балки 0,2l;
г) - линия влияния Q для сечения балки 0,3l;
д) - линия влияния Q для сечения балки 0,4l;
е) - линия влияния Q для сечения балки 0,5l;
Рисунок 7, лист 3 - Линии влияния Q в различных
сечениях балки
Максимальные ординаты
для
каждого рассмотренного сечения определяются по формуле:
.
.3 Определение максимальных значений изгибающих
моментов и поперечных сил
Определим моменты от веса тележки в каждом из
сечений с учетом того, что один из сосредоточенных грузов располагается над
вершиной линии влияния, а второй занимает положение, показанное на рисунке 8.
Рисунок 8 - Момент от сосредоточенных сил
Момент Мр,кН∙м, от сосредоточенных сил
вычисляется по формуле:
где
-
ордината линии влиния, т. е.
где Р - сосредоточенная сила от веса тележки,
кН;
d - расстояние между сосредоточенными силами, м.
= 193,6кН∙м;
= 435,6кН∙м;
= 484кН∙м;
= 484кН∙м.
Эпюра момента М от подвижной нагрузки показана
на рисунке 9.
Рисунок 9 - Эпюра М от Р
Момент Мq, кН∙м, в сечении a от равномерно
распределенной нагрузки определяется по формуле:
,
где q - распределенная нагрузка, кН/м.
= 435,6кН∙м;
= 774,4кН∙м;
= 1016,4кН∙м;
= 1161,6кН∙м;
= 1210кН∙м.
Эпюра момента М от распределенной нагрузки
показана на рисунке 10.
Рисунок 10 - Эпюра М от q
Суммарные моменты в сечениях от сосредоточенных
сил и равномерной нагрузки определяются по формуле:
.
Суммарные моменты в сечениях от сосредоточенных
сил и равномерной нагрузки показаны на рисунке 11.
Рисунок 11 - Наибольший расчетный момент М от
сил Р и q в разных сечениях.
Производим построение линии влияния поперечной
силы (рисунок 12).
Рисунок 12 - Линии влияния поперечной силы Q
Определим расчетные усилия
от сосредоточенных сил в каждом из указанных сечений с учетом того, что одна из
них располагается над вершиной линии влияния:
т. е.
.
=99кН;
=97,8кН;
=96,3кН;
=94,3кН;
=91,7кН;
=88кН.
Эпюра поперечной силы от подвижной нагрузки
изображена на рисунке 13.
Рисунок 13 - Эпюра Q от Р
Поперечные силы Q, кН, от силы тяжести
рассчитываются по формуле:
.
220кН;
176кН;
132кН;
88кН;
44кН;
0кН.
Эпюра поперечной силы от распределенной нагрузки
изображена на рисунке 14.
Рисунок 14 - Эпюра Q от q
Суммарные значения поперечных сил от
сосредоточенных и равномерно распределенных нагрузок определяются по формуле:
Эпюра суммарных значений поперечных сил от
сосредоточенных и равномерно распределенных нагрузок показаны на рисунке 15.
Рисунок 15 - Эпюра Q от Р и q
Результаты расчетов приведены в таблице 1.
Таблица 1 - Сводная таблица результатов расчета
|
Сечение
балки
|
Изгибающий
момент
|
Поперечная
сила
|
Мр,
кНм
|
Мq,
кНм
|
МΣ,
кНм
|
|
Qp,
кН
|
Qq,
кН
|
QΣ,
кН
|
|
0
|
0
|
0
|
0
|
0
|
1
|
99
|
220
|
319
|
|
0,1
|
1,98
|
193,6
|
435,6
|
629,2
|
0,9
|
97,8
|
176
|
273,8
|
|
0,2
|
3,52
|
388,2
|
774,4
|
1163,2
|
0,8
|
96,3
|
132
|
228,3
|
|
0,3
|
4,62
|
435,6
|
1016,4
|
1452
|
0,7
|
94,3
|
88
|
182,3
|
|
0,4
|
5,28
|
484
|
1161,6
|
1645,6
|
0,6
|
91,7
|
44
|
135,7
|
|
0,5
|
5,5
|
484
|
1210
|
1694
|
0,5
|
88
|
0
|
88
|
2. Определение требуемой высоты сечения балки из
условий жесткости и наименьшего веса
.1 Расчет из условий жесткости
Определив расчетные усилия, переходим к
нахождению наименьшей высоты балки из условия нормы жесткости fmax/l = 1/500
при сосредоточенных нагрузках Р.
Требуемая высота балки h, м, из условия
жесткости определяется по формуле:
,
где Е - модуль упругости первого рода, равный
для сталей 21
- допускаемое
напряжения для стали Ст 3, МПа.
.
.2 Расчет из условия наименьшего веса
Рисунок 16 - Поперечное сечение балки
Для разных строительных конструкций Sв обычно
изменяется в сравнительно узких пределах. Можно принимать Sв
= 5 ÷ 10мм [1, стр.276]. Принимаем Sв =
10мм.
Требуемая высота балки из условия наименьшей
массы определяется по формуле:
,
где
=
в
МН∙м.
= 1,3м.
За расчетную высоту сечения балки принимается
наибольшее из двух значений высоты, определенных по условию жесткости и условию
наименьшего веса. В данном случае высота балки h = 1,3м.
3. Подбор сечений балки и проверка напряжений в
опасных точках
.1 Подбор сечений элементов балки
Требуемый момент сопротивления балки
,
для
определяется
по формуле:
=
=
0,010588 м3 = 10588 см3.
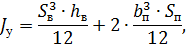
Требуемый момент инерции Jmp, см4, поперечного
сечения сварной балки двутаврового профиля определяется по формуле:
= 10588
= 688220 cм4.
В то же время
складывается
из момента инерции стенки
и момента инерции
полок Jг:
Вычислим момент инерции
,
см4, вертикального листа высотой hв и толщиной Sв. Принимаем hв =0,98h = 1,27м
по формуле:
=
Требуемый момент инерции горизонтальных листов
,
см4, балки определяется по формуле:
=
,
где
-
площадь горизонтального листа, м2;
h1 - расстояние между центрами тяжести
горизонтальных листов, которое можно принять равным (0,96 ÷0,98)h,
см.
Найдем площадь горизонтального листа по формуле:
=
=59,8см2.
Принимаем сечение горизонтального листа
400х15мм.
=
=
482280см4.
Определим уточненное значение момента инерции
подобранного поперечного сечения балки:
482280 = 652979см4.
.2 Проверка напряжений в опасных точках
Эпюры нормальных и касательных напряжений в
поперечном сечении балки показаны на рисунке 17.
В сечении, соответствующем середине пролета
проверке подлежат максимальные нормальные напряжения в крайних волокнах балки (
точка А). Наибольшее нормальное напряжение
в
крайнем волокне балки определяется по формуле:
Эквивалентные напряжения вычисляются на уровне
верхней кромки вертикального листа ( точка В) в зоне резкого изменения ширины
сечения (рисунок 17).
Рисунок 17 - Эпюры нормальных и касательных
напряжений
Вычислим в этом волокне балки напряжение от
момента М по формуле:
,
В этом же волокне напряжение от поперечной силы
Q рассчитывается по формуле:
где S - статический момент полки относительно
оси х - х, см3, рассчитывается по формуле:
= 1,5
.
Эквивалентное напряжение
определяется
по формуле:
;
= 165МПа,
что меньше наибольшего нормального напряжения в
крайнем волокне.
Для опорного сечения максимальное напряжение
на
уровне центра тяжести балки (точка С) определяется по формуле:
,
где
-
максимальный статический момент инерции половины сечения балки относительно оси
х - х, см3, рассчитывается по формуле:
;
= 3950 см3;
= 19,3 МПа,
Это напряжение не превышает величины
допускаемого напряжения на срез
.
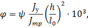
4. Проектирование балки с учетом ее устойчивости
.1 Общая устойчивость
Проверка общей устойчивости производится по
формуле:
где
-
коэффициент понижения допускаемых напряжений в балке с учетом обеспечения ее
общей устойчивости. В балках двутаврового профиля нередко принимают:
где
-
момент инерции относительно оси у;
h - полная высота балки;
- пролет балки или
расстояние между закреплениями;
- коэффициент.
Задаемся расстоянием между закреплениями
=
(10 - 20 )b = 6м.
Коэффициент
рассматривают
как функцию
[ 1, таблица 9.3]
по формуле:
,
= 0,24.
Определяем коэффициент
:
при
коэффициент
=
0,74.
Определяем момент инерции балки относительно
вертикальной оси по формуле:

0,851.
Коэффициент
=
0,851. Это значит, что при расчете можно принять
=
0,85.
Устойчивость балки при наличии закреплений на
расстоянии
= 6м обеспечена.
.2 Местная устойчивость
Чтобы обеспечить устойчивость вертикального
листа, следует приварить к нему ребра жесткости. Задаемся расстоянием между
ними а = 1,5hв = 1,90м. В этом случае следует знать следующие величины:
Нормальное напряжение в верхнем волокне
вертикального листа. Оно было определено раньше и равно
.
Среднее касательное напряжение τ
от
поперечной силы. В середине пролета Q = 88кН, среднее напряжение определяется
по формуле:
;
= 6,93МПа.
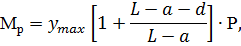
Местное напряжение σм
под сосредоточенной силой находим по формуле:
,
где m = 1 - при легком режиме работы,
z - условная длина, на которой сосредоточенный
груз распределяется в вертикальном листе:
,
Здесь
-
общий момент инерции пояса и рельса, находящегося в нем.
Для определения
необходимо
найти ординату совместного центра тяжести (точка О) полки и рельса (рисунок
18).
Рисунок 18 - Верхняя полка с приваренным рельсом
Найдем ординату точки О относительно верхней
кромки пояса у:
,
где
-
площади поперечных сечений рельса и полки соответственно;
- расстояния их
центров тяжести от верхней кромки пояса.
= 1,1см
Теперь можно найти величину
по
формуле:
,
где
-
соответственно моменты инерции рельса и полки относительно своих центров
тяжести.
= 80см4.
Вычислим условную длину:
,
= 14см.
Находим
от
Р = 55кН:
= 39,3МПа.
5. Проектирование и расчет сварных соединений
балки
.1 Поясные швы
Горизонтальные листы соединяются с вертикальными
поясными швами. Роль касательных напряжений существенна, несмотря на то, что
они часто невелики по значению. При сварке конструкций, у которых толщина
листов Sв ≥4мм, принимают К ≥4мм. В двухсторонних швах с катетом К
касательные напряжения τ определяются
по формуле:
,
где
-
коэффициент, равный для ручной сварки 0,7. При расчете целесообразно принять
=
0,7, несмотря на автоматический метод сварки;
К - катет верхних и нижних поясных швов.
= 22,4 МПа
В верхних поясных швах, при определении
напряжений с учетом приваренного рельса, следует вычислить статический момент:
Момент инерции будем считать неизменившимся, как
и положение центра тяжести балки. При этом:
= 38,3МПа
Если груз перемещается по рельсу, прикрепленному
к поясу балки, то напряжение
в поясных швах
определяется по формуле:
,
где n - коэффициент, зависящий от характера
обработки кромок вертикального листа (обычно n = 0,4).
18,7МПа
После вычисления
определяем
условное результирующее напряжение по формуле:
.
= 42,6МПа
Допускаемое напряжение в поясных швах определим
из соотношения
= 0,65
= 104МПа. Выполняется условие
.
Стыковые швы
Прочность стыков рассчитывается по формуле:
,
где
-
допускаемое напряжение сварного соединения на растяжение.
.
В данном случае стыковые швы равнопрочные
основному металлу и располагаются в любом сечении балки.
.3 Швы, приваривающие ребра жесткости
Швы, приваривающие ребра жесткости, как правило,
на прочность расчетом не проверяются. Величина их катета должна составлять 0,3 ÷0,6
толщины
вертикальной стенки. Эти швы в опорных сечениях, а также в местах приложения
сосредоточенной нагрузки обязательно выполняют непрерывными.
Заключение
В результате проектирования была сконструирована
подкрановая балка грузоподъемностью до 50 т из углеродистой конструкционной
стали обыкновенного качества. Обеспечена устойчивость балки путем введения
горизонтальных связей и установки ребер жесткости. Высота балки была выбрана с
учетом требований достаточной жесткости и прочности, а также при условии
наименьшей массы. На рисунке А.1 приложения А представлен эскиз
спроектированная балка со всеми геометрическими размерами конструктивных
элементов.
Список использованной литературы
Николаев
Г. А., Винокуров В. А. Сварные конструкции. Расчет и проектирование [ текст]:
учебник для вузов / Г. А. Николаев. - М.: Высшая школа, 1990. - 446 с.
Методические
указания к выполнению курсовой работы по курсу «Проектирование и производство
сварных и паяных конструкций».
Муханов
К. К. Металлические конструкции [текст]: учебник для вузов /К. К. Муханов. -
М.: Стройиздат, 1978. - 572 с.