Определение форм и частот собственных крутильных колебаний валопровода
Содержание
Введение
1. Схема валопровода
2. Исходные параметры
3. Приведение системы
3.1 Приведение длин
3.2 Приведение масс
валопровода
4. Определение форм и частот
собственных крутильных колебаний валопровода
5. Возможные резонансные
режимы работы силовой установки
6. Гармонический анализ
крутящих моментов
6.1 Работа сил давления газов
за один цикл колебаний
6.2 Амплитуда резонансных
колебаний
6.3 Работа за один цикл
колебаний
6.4 Работа сил сопротивления
6.5 Определение резонансных
амплитуд колебаний и дополнительных напряжений
Список используемой
литературы.
Введение
Анализ крутильных колебаний коленчатого вала двигателя является составной
частью динамического расчета двигателей внутреннего сгорания (ДВС), значимость
которого в настоящее время возрастает в соответствии с тем, что усиливаются
тенденции форсирования ДВС различными способами.
Коленчатый вал двигателя внутреннего сгорания воспринимает непрерывно
меняющиеся по величине и направлению периодические нагрузки. Под их
воздействием в коленчатом валу возникают переменные деформации кручения и
изгиба, возбуждающие в нем механические колебания. Колена вала и связанные с
ними массы совершают в плоскости вращения периодические угловые знакопеременные
отклонения, при которых промежуточные между массами участки вала скручиваются.
Относительные колебания масс, которые вызывают закручивание отдельных
участков вала, называют крутильными колебаниями. Кроме крутильных, в коленчатом
валу возникают и изгибные колебания, соответствующие деформациям изгиба. При определенных
условиях, на соответствующих скоростных режимах, знакопеременные напряжения,
вызываемые крутильными и изгибными колебаниями, могут вызвать усталостную
поломку вала.
Анализ экспериментальных исследований и расчетов показывает, что в
коленчатых валах изгибные колебания обычно менее опасны, поэтому в первом
приближении их не учитывают.
При расчете на прочность коленчатого вала пренебрегать крутильными
колебаниями нельзя. Поэтому при проектировании двигателя коленчатые валы
рассчитывают на крутильные колебания, а во время испытаний экспериментально
определяют величину угловых колебаний на рабочих режимах.
Обычно расчет на крутильные колебания сводится к определению напряжений в
коленчатом валу при резонансе, т.е. при совпадении частот вынужденных колебаний
с одной из частот собственных колебаний вала, а при необходимости подбирают
гасители крутильных колебаний. Коленчатый вал двигателя имеет сложную форму,
поэтому при расчете возникают соответствующие трудности. Кроме того,
определенное влияние на крутильные колебания коленчатого вала двигателя
оказывают потребители (трансмиссия, генератор, гребной винт и др.). В
соответствии с этим в работе освещены вопросы теоретического расчета и
экспериментального анализа крутильных колебаний валопровода, а также экспериментального
исследовании вибраций ДВС.
1. Схема
валопровода
Составляем упрощенную схему валопровода и эквивалентные схемы:
2. Исходные
параметры
|
Размеры коленчатого вала
|
|
Марка двигателя
|
Материал
|
Радиус кривошипа r, мм
|
Длина вала L, мм
|
Коренные шейки, мм
|
|
|
|
|
Диаметр d1
|
Длина
|
|
|
|
|
|
передней
|
средней
|
задней
|
промежуточных
|
|
Д-16
|
Сталь 45
|
40,0
|
416,5
|
60,185
|
40,17
|
42,0
|
42,0
|
-
|
|
Размеры кривошипа
коленчатого вала
|
|
Марка двигателя
|
Шатунные шейки, мм
|
Щеки короткие, мм
|
Противовесы
|
Галтели, мм
|
|
диаметр d2
|
длина l2
|
толщина h
|
ширина b
|
число
|
толщина, мм
|
радиус
|
ширина выступа
|
Диаметр шеек
|
|
|
|
|
|
|
|
|
|
шатунной
|
коренной
|
|
Д-16
|
60,17
|
42,0
|
27,86
|
120,0
|
-
|
-
|
4,0
|
4,0
|
80,0
|
80,0
|
|
Размеры концевых пролетов
коленчатого вала
|
|
Марка двигателя
|
Носок, мм
|
Хвостовик
|
Масляные каналы
|
|
длина lн
|
диаметр под шестерню dрш
|
lx, мм
|
Уплотнительный участок
|
Диаметры фланца, мм
|
Тип
|
Диаметр сверления, мм
|
|
|
|
|
диаметр, мм
|
резьба
|
наружный dф
|
окружности под болты
|
|
|
|
Д-16
|
70,0
|
36,008
|
39,0
|
-
|
-
|
82,0
|
65
|
Сверленый
|
7,6
|
|
Марка двигателя
|
Масса поршневой группы, г
|
Масса шатунной группы, г
|
Масса съемного противовеса,
г
|
|
поршня
|
общая
|
шатуна
|
втулки
|
крышки
|
вкладыша
|
шатунного болта
|
отнесенная к головкам
|
общая
|
|
|
|
|
|
|
|
|
|
верхней
|
нижней
|
|
|
|
Д-16
|
920
|
1338
|
920
|
70
|
380
|
62
|
52
|
447
|
1151
|
1598
|
-
|
|
Размеры и масса маховика
двигателя
|
|
Марка двигателя
|
Обод, мм
|
ступица, мм
|
Венец
|
Масса, г
|
|
Dн
|
Dв
|
D0
|
B
|
dв
|
dб
|
dш
|
толщина
|
диаметр, мм
|
зубья
|
|
|
|
|
|
|
|
|
|
|
|
длина, мм
|
m
|
z
|
|
|
Д-16
|
350
|
265
|
325,7
|
93
|
47
|
12
|
12
|
28
|
325
|
20
|
3
|
128
|
32600
|
|
|
|
|
|
|
|
|
|
|
|
|
|
|
|
|
3. Приведение
системы
.1 Приведение
длин
Рассматриваемая при расчете упрощенная колебательная система по значению
собственных частот и форм крутильных колебаний в динамическом отношении должна
быть эквивалентна действительной системе. Для этого, как было отмечено выше,
должно быть обеспечено равенство как потенциальных так и кинетических энергий
обеих систем.
Приведенную систему принято считать состоящей из отрезков цилиндрического
вала постоянного диаметра, не обладающего массой, но имеющего жесткость
участков действительного вала, и из сосредоточенных масс, при выборе которых
учтены массы всех подвижных элементов рассматриваемой системы (маховик, вал,
колена, шатуны, поршни и др.). Обычно такое допущение практически не влияет на
результаты расчет
При веление действительной колебательной системы к расчетной сводится к
определению приведенных длин и моментов инерции.
Определение длин участков при переходе от реального валопровода к
эквивалентному базируется на условии равенства потенциальных энергий
закрученных действительного и эквивалентного валов при тех же закручивающих
моментах.
Для этого крутильная жесткость отдельных участков эквивалентного вала
должна быть такой же, что и жесткость соответствующих участков действительного
вала. Под крутильной жесткостью вала понимают отношение величины приложенных к
концам этого участка крутящих моментов к величине угла закручивания этого
участка
Для расчета приведенных длин, необходимо найти длины коренных шеек
относительно самой короткой коренной шейки (промежуточные в данном случае):
-
где 
,
,
- длины
коренных шеек, м.
Определяем податливости всех колен по известным эмпирическим формулам:
) По формуле С.С. Зиманченко:
В формулах используем краткие обозначения:
) По формуле В.С. Картера:
3) По формуле С.П.Тимашенко:
) По формуле Коломенского завода (для судовых и стационарных
дизельных двигателей):
В формуле введем обозначение

) По формуле Зульцера:
В данной формуле введено обозначение:

=1,12;
Усредненное
значение податливости колен:
Податливость
хвостовой части коленчатого вала считается отдельно:
Приведенные длины колен вала:
3.2
Приведение масс валопровода
Приведение масс при переходе от действительного вала к эквивалентному, т.
е. расчетному, сводится к выбору таких моментов инерции сосредоточенных масс
эквивалентной системы, при которых кинетическая энергия колеблющейся
приведенной системы равнялась бы кинетической энергии действительной системы.
Для расчета эквивалентной системы необходимо знать моменты инерции элементов
действительного вала и потом заменить их равноценными по моментам инерции
дисками или сосредоточенными массами, закрепленными на определенном расстоянии
от вала.
Обычно моменты инерции относительно оси вращения отдельных участков вала
подсчитывают по чертежу, по в некоторых случаях их определяют опытным путем.
При расчетах последовательно определяют моменты инерции относительно оси
вращения отдельных элементов вала, имеющих форму простых геометрических тел, а
потом их суммированием находят общий момент инерции.
При определении полного момента инерции колена необходимо также учитывать
массы шатуна и поршня.
Для этого массу шатуна делят на две части - совершающие, соответственно,
возвратно-поступательные и вращательные движения.
Моменты инерции коренных шеек:
Моменты инерции шатунных шеек определяем по формуле Штейнера:
Рис. 3. Определение моментов инерции щеки коленчатого вала Д-16
Моменты инерции щеки определяем как сумму моментов инерции элементарных
слоев, на которые ее разбивают (Рис. 3)

-
максимальный полный диаметр элемента щеки;

- радиус
инерции первого элемента щеки;
Амплитуды
угловых колебаний:
|
|
3.5418
|
2.3423
|
2.0083
|
1.1607
|
1.47043
|
1.2915
|
1.099
|
0.8789
|
0.7346
|
0.6283
|
0.3478
|
Полный момент инерции щеки без противовеса:
Моменты инерции колен без учета массы деталей, совершающих
возвратно-поступательно движение:
Момент инерции колен с учетом массы деталей, совершающих
возвратно-поступательно движение:
Момент инерции маховика определяется по формуле:
Момент инерции привода (взял на свое усмотрение):
Приведенная длина участка между маховиком и потребителем (взял на свое
усмотрение):
Податливость данного участка:

4.
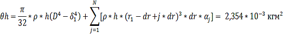
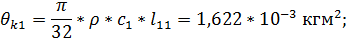
Определение форм и частот собственных крутильных колебаний валопровода
После того как определены жесткости и моменты инерции элементов действительного
вала, следует разместить эквивалентные массы по длине эквивалентного вала таким
образом, чтобы получилась равноценная в динамическом отношении колебательная
система. Для этого сосредоточенные массы следует размещать на эквивалентном
валу в точках, которые соответствуют местам с определенным сосредоточением масс
действительного вала. К таким сосредоточенным массам можно отнести колена вала,
маховик и шестерни передач.
Расчет многомассовой системы очень сложен, но практика показывает, что в
ряде случаев без существенного влияния на точность расчета такую колебательную
систему можно заменить более простой, объединив ряд приведенных масс.
Для расчета однорядных шестицилиндровых и двухрядных
двенадцатицилиндровых двигателей обычно принимают эквивалентную колебательную
систему, состоящую из шести масс (моторных масс), имеющих моменты инерции,
эквивалентные моментам инерции колен двигателя с приведенными к ним шатунами и
поршнями, а также из массы, эквивалентной маховику приведенными моментами
инерции от деталей трансмиссии, расположенными между двигателем и карданным
валом.
При использовании в системе валопровода электрической связи на постоянном
токе, что чаше всего бывает в установках со стационарными дизельными
двигателями, в расчетную схему включают коленчатый вал и часть валопровода за
двигателем вместе с ротором генератора. Остальную часть валопровода до
приемника энергии включительно во внимание не принимают, так как податливость
между ротором генератора и электрической связью равна бесконечности.
Для судовых установок как с прямой передачей на винт, так и с передачей
через редуктор и расчетную схему включают гребной вал вместе с гребным винтом.
Каждая такая схема содержит числовые размерные или безразмерные значения
приведенных длин и податливости участков реального валопровода, а также
приведенные моменты инерции связанных с ним сосредоточенных масс.
Приведенные массы, как отмечалось выше, располагают в перпендикулярных
оси вала плоскостях, проходящих через центры тяжести соответствующих реальных
масс. Следует отметить, что при составлении приведенной схемы валопровода
необходимо учитывать ешё и моменты инерции масс начальных и конечных участков
валопровода: их рекомендуется прибавлять к моментам инерции масс, расположенных
соответственно в конце и начале этих участков.
Если любую механическую систему, состоящую из масс и упругих связей,
вывести из положения равновесия, то она начинает колебаться. Такие колебания
называются собственными или свободными. В реальной системе под действием
внешних и внутренних сопротивлений они постепенно затухают.
Собственные колебания без затухания можно поддерживать искусственно, если
в колебательную систему подводить энергию, равную энергии затрачиваемой на
преодоление сопротивлений. Такие установившиеся колебания можно наблюдать и на
коленчатых, в на других валах поршневых двигателей внутреннего сгорания при
резонансе.
При условии, если законы изменения возбуждающего момента и момента
сопротивления одинаковы и они действуют синхронно, то эти моменты
взаимноуравновешиваются, а остаются собственные колебания без сопротивления.
При собственных колебаниях системы без сопротивления, кинетическая энергия
отдельных массивных элементов системы периодически переходит в потенциальную
энергию упругих связей и обратно; при этом колебания всех масс системы
происходят синхронно (с одинаковыми или противоположными фазами). Частота таких
переходов зависит от моментов инерции отдельных элементов и жесткостей их
связей.
Расчет собственных колебаний системы сводится к определению частот ее собственных
колебаний. Число частот собственных колебаний системы равно количеству степеней
свободы колебательной системы. В крутильной системе число частот собственных
колебаний на единицу меньше числа сосредоточенных масс эквивалентной системы.
Рассмотрим собственные колебания, совершающиеся без трения в различных
крутильных системах.
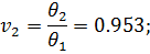
Расчет частот колебаний осуществляем методом цепных дробей (Терских).
Для подбора пробных значений квадрата угловой частоты колебаний заменяем
шестимассовую систему трехмассовой (Рис.2)
Параметры трехмассовой системы:
) Момент инерции объединенной массы:
) Расстояние от потребителя до объединенной массы:
) Податливость участка между маховиком и объединенной массой
) Жесткости участков трехмассовой системы:
Для нахождения пробных значений квадрата угловой частоты составляем
биквадратное уравнение:
Решаем
биквадратное уравнение путем замены переменной 
.
Находим
коэффициенты a,b и c биквадратного уравнения:
После
замены переменной и подстановки коэффициентов, биквадратное уравнение принимает
вид
Находим
корни биквадратного уравнения:

, 

С
учетом введённых обозначений имеем:
Определим
значение безразмерного квадрата угловой частоты колебаний по следующим
формулам:
Для
расчета частот собственных колебаний методом Терских используются следующие
относительные величины:
1) Относительный момент инерции i-й массы:
2) Относительная податливость i-го участка валопровода
Найденные относительные величины заносим в расчетную таблицу Терских
приведенную выше:
|
-0,00678
|
1
|
-0,0071
|
1,002
|
-0,0072
|
0,963
|
-0,00748
|
1,003
|
-0,798
|
3,447
|
-0,427
|
|
-129,790
|
-0,0074
|
-68,027
|
-0,015
|
-45,45
|
-0,0225
|
-33,44
|
-0,013
|
-1,186
|
0,442
|
-131,790
|
-0,0138
|
-67,024
|
-0,022
|
-44,487
|
-0,0299
|
-32,44
|
-0,876
|
2,261
|
0,015
|
|
1
|
|
0,987
|
|
0,978
|
|
0,957
|
|
0,928
|
|
-1,769
|
|
-0,00776
|
|
-0,0146
|
|
-0,0215
|
|
-0,0286
|
|
-0,684
|
|
Находим уточненное значение частоты собственных колебаний по формуле:
-
где 
.
валопровод амплитуда
колебание сопротивление
5. Возможные
резонансные режимы работы силовой установки
Рабочий диапазон частоты вращения коленчатого вала двигателя Д-16
составляет 700-1400 об/мин. Критические частоты вращения nm определяют по следующей формуле:
где km
- порядок гармоники.
km
|
0.5
|
1
|
1.5
|
2
|
2.5
|
3
|
3.5
|
4
|
4.5
|
5
|
5.5
|
6
|
6.5
|
7
|
7.5
|
8
|
8.5
|
9
|
|
1,201*104
|
6,015*103
|
4,009*103
|
3,006*103
|
2,405*103
|
2,003*103
|
1,718*103
|
1,498 *103
|
1,321*103
|
1,199*103
|
1,089*103
|
1,001*103
|
923,78
|
849,54
|
801,43
|
|
751,89
|
706,84
|
667,89
|
|
|
|
|
|
|
|
|
|
|
|
|
Принимаем n при m=9..17.
Из приведенных выше чисел оборотов в пределы работы установки входят
значения с гармониками k=4,5..8,5.
Наиболее опасными из них считают гармоники кратные 2, так как за каждый оборот
происходит две вспышки. Таким образом, для дальнейших расчетов принимаем числа
оборотов с гармониками кратным двум, т.е. k=6;8. Этим значениям k соответствуют следующие числа оборотов:
6.
Гармонический анализ крутящих моментов
Для гармонического анализа определяем следующие параметры:
) среднее эффективное давление при критических числах оборотов:
-
где 
-
среднее эффективное давление при 1400 об/мин
2) Среднее давление механических потерь при критических числах
оборотов:
-
где 
-
механический КПД при номинальной частоте вращения;
3) Безразмерную вспомогательную величину:
- где 
4) По значениям x и
величинам k=6;8 (m=12;16) по номограммам определяем коэффициенты y и начальные фазы гармоники момента
от сил давления газов:
5) Амплитуду k-й
гармоники моментов от сил давления газов:
-
где 
- для четырехтактных
двигателей; диаметр поршня, м 
6) Амплитуду k-й
гармоники моментов от сил инерции:
-
где 
-
отношение радиуса кривошипа к длине шатуна;
Учитывая,
что амплитуды гармоник моментов от сил инерции малы по сравнению с амплитудами
моментов от сил давления газов, пренебрегаем моментами от сил инерции.
6.1 Работа
сил давления газов за один цикл колебаний
Определим сначала сумму векторов, равных относительным амплитудам
свободных колебаний всех кривошипов коленчатого вала, направленных к вертикали
под углами kδ.
-
где 
- углы
между вспышками в 1-ом и i-м цилиндре; 
-
амплитуды углов закручивания m-той массы из таблицы Терских.
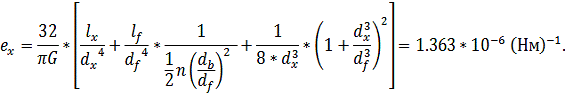
.2 Амплитуда
резонансных колебаний
Сначала определяем коэффициент демпфирования для двигательной части:
-
где 
-
относительный коэффициент демпфирования.
Коэффициент
демпфирования привода:
-
где 
.
Амплитуду
резонансных колебаний определяем по формуле:
.3 Работа за
один цикл колебаний
Работа за один цикл колебаний равна:
.4 Работа сил
сопротивления
Работа сил сопротивления, возникающая в двигательной части валопровода,
равна:
Работа сил сопротивления, возникающая в остальной части валопровода,
равна:
.5
Определение резонансных амплитуд колебаний и дополнительных напряжений
Резонансные амплитуды m-х
масс определяются из выражения:
|
3,78 *10-4
|
3,873 *10-4
|
3,703*10-4
|
3,674 *10-4
|
3,465 *10-4
|
-6,987*10-4
|
|
1,54*10-4
|
1,652 *10-4
|
1,542*10-4
|
1,452 *10-4
|
1,541 *10-4
|
-2,976 *10-4
|
Дополнительные резонансные напряжения равны:
|
0,068
|
0,125
|
0,201
|
0,265
|
7,479
|
|
0,034
|
0,043
|
0,97
|
0,113
|
3,652
|
Допускаемые напряжения определяются:
для коленчатого вала
для валопровода за коленчатым валом
Дополнительные напряжения, возникающие при резонансе в данном случае
значительно меньше допускаемых напряжений.
Список
используемой литературы
1. Попык
К.Г. Динамика автомобильных и тракторных двигателей. - М.: Высш. шк., 1968. -
304 с.
2. Дизели:
Справ./Под ред. В.А. Ваншейдта. - М.: Машиностроение 1977. - 479 с.
. Методические
указания к учебно-исследовательским работам «Анализ крутильных колебаний
валопровода энергетической установки с поршневым двигателем»/Сост. В.Ф.
Мыльнев.Новочерк. политехн, ин-т. - Новочеркасск, 1989. - 39 с.
. Маслов
Г.С. Расчеты колебаний валов: Справ. - М: Машиностроение, 1980.-151 с.
. Вихерт
М.М. Конструкция и расчет автотракторных двигателей. - М.: Машгиз, 1957. - 600
с.
. Терских
В.П. Расчеты крутильных колебаний силовых установок. - М.:Машгиз, 1954.
. Лышевский
А.С. Кутуков А.А. Проектирование двигателей внутреннего сгорания: Учеб. пособие/НИИ.
- Новочеркасск, 1971. - 191 с.
. Кутуков
А.А. Конспект лекций по курсу «Динамика и крутильные колебания поршневых
ДВС»/НПИ. - Новочеркасск, 1962. - 130 с.
. Гугин
А.М. Быстроходные поршневые двигатели: Справ. - Л.: Машиностроение.
Ленинградское отделение, 1967. - 259 с.