Обоснованный выбор основных и вспомогательных материалов в пакет изделия мужского жилета спортивного типа
Обоснованный
выбор основных и вспомогательных материалов в пакет изделия мужского жилета
спортивного типа
1. Анализ исходной
ситуации
1.1 Маркетинг и создание
новой продукции
Маркетинг - вид человеческой
деятельности, направленной на удовлетворение нужд и потребностей посредством
обмена.
Для пояснения этого определения
рассмотрим следующие понятия: нужды, потребности, запросы, товар, обмен, сделка
и рынок.
Исходной идеей, лежащей в основе
маркетинга, является идея человеческих нужд. Мы определяем нужды следующим
образом:
Нужда - чувство ощущаемой человеком
нехватки чего-либо. Нужды людей многообразны и сложны. Тут и основные
физиологические нужды в пище, одежде, тепле и безопасности; и социальные нужды
в духовной близости, влиянии и привязанности; и личные нужды в знаниях и
самовыражении.
Если нужда не удовлетворена, человек
чувствует себя обездоленным и несчастным. И чем больше значит для него та или
иная нужда, тем глубже он переживает. Неудовлетворённый человек сделает одно из
двух: либо займется поисками объекта, способного удовлетворить нужду, либо
попытается заглушить её.
Второй исходной идеей маркетинга
является идея человеческих потребностей. Потребностей - нужда, принявшая
специфическую форму в соответствии с культурным уровнем и личностью индивида.
Потребности выражаются в объектах,
способных удовлетворить нужду тем способом, который присущ культурному укладу
данного общества.
По мере прогрессивного развития
общества растут и потребности его членов. Люди сталкиваются со всё большим количеством
объектов, побуждающих их любопытство, интерес и желание. Производители со своей
стороны предпринимают целенаправленные действия для стимулирования желания
обладать товаром. Они пытаются сформировать связь между тем, что они выпускают,
и нуждами людей. Товар пропагандируют как средство удовлетворения одной или
ряда специфических нужд. Деятель маркетинга не создаёт нужду, она уже
существует.
Потребности людей практически
безграничны, а вот ресурсы для их удовлетворения ограничены. Так что человек будет
выбирать те товары, которые доставят ему наибольшее удовлетворение в рамках его
финансовых возможностей.
Запрос - это потребность,
подкреплённая покупательной способностью.
Общество могло бы планировать объемы
производства на следующий год, исходя из совокупности запросов предыдущего.
Именно так и планируют производство в странах с централизованно - планируемой
экономикой. Однако запросы - показатель недостаточно надёжный. Людям надоедают
вещи, которые ныне в ходу, и они ищут разнообразия ради разнообразия. Смена
выбора может оказаться и результатом изменения цен или уровня доходов. Человек
выбирает товар, совокупность свойств которого обеспечивает ему наибольшее
удовлетворение за данную цену, с учётом своих специфических потребностей и
ресурсов.
Человеческие нужды, потребности и
запросы наводят на мысль о существовании товаров для их удовлетворения.
Товар - всё, что может удовлетворить
потребность или нужду и предлагается рынку с целью привлечения внимания,
приобретения, использования или потребления.
Предположим, женщина испытывает
нужду выглядеть красивой. Все товары, способные удовлетворить эту нужду, мы
называем товарным ассортиментом выбора. Этот ассортимент включает в себя
косметику, новую одежду, курортный загар, услуги косметолога и т.д. Не все эти
товары желательны в одинаковой степени. Вероятнее всего, в первую очередь будут
приобретаться товары и услуги, более доступные и дешевые, такие, как
косметические средства, одежда или новая стрижка.
Производители должны отыскивать
потребителей, которым они хотят продавать, выяснять их потребности, а затем
создавать товар, как можно полнее удовлетворяющий эти потребности.
Понятие «товар» не ограничивается
физическими объектами. Товаром можно назвать всё, что способно оказать услугу,
т.е. удовлетворить нужду. Помимо изделий и услуг, это могут быть личности,
места, организации, виды деятельности и идеи. Потребитель решает, какую именно
развлекательную передачу посмотреть по телевидению, куда отправиться на отдых,
каким организациям оказать помощь, какие идеи поддержать. И если использование
термина «товар» временами кажется неестественным, его можно заменить другими -
«удовлетворитель потребности», «средство возмещения» или «предложение». Все эти
слова имеют определённое ценностное значение для разных лиц.
Маркетинг имеет место в тех случаях,
когда люди решают удовлетворить свои нужды и запросы с помощью обмена. Обмен -
акт получения от кого-либо желаемого объекта с предложением чего-либо взамен.
Обмен - один из 4-х способов,
посредством которых отдельные лица могут получить желаемый объект. К примеру,
проголодавшийся человек может раздобыть пищу следующим способами: обеспечить
себя едой сам с помощью охоты, рыбной ловли или сбора плодов (само
обеспечение), у кого-то украсть еду (отъем), выпросить её (попрошайничество) и,
наконец, предложить за предоставления ему еды какое-либо средство возмещения,
скажем деньги, другой товар или какую-то услугу (обмен).
Из этих 4-х способов удовлетворения
нужд наибольшими преимуществами обладает обмен. При нём людям не приходится
посягать на права других, не приходится зависеть от чьей-то
благотворительности. Не приходится им и производить самостоятельно любой
предмет первой необходимости не зависимо от того, умеют они это делать или нет.
Можно сосредоточиться на создании вещей, производство которых они хорошо
освоили, а потом поменять их на нужные предметы, сделанные другими, В
результате совокупное производство товаров в обществе возрастает.
Обмен - основное понятие маркетинга.
Если обмен - основное понятие
маркетинга, то основной единицей измерения в сфере маркетинга является сделка.
Сделка - коммерческий обмен ценностями между двумя сторонами. Сделка
предполагает наличие нескольких условий: по меньшей мере 2-х ценностно значимых
объектов, согласованных условий её осуществления, согласованного времени
совершения, и согласованного места проведения. Как правило, условия сделки
поддерживается, и охраняются законодательством [5].
Маркетинг (англ. market - рынок) - это рыночная
концепция системного управления научно-технической и производительно-сбытовой
деятельностью предприятия, ориентированная на максимальное удовлетворение
требований существующих и потенциальных потребителей.
Маркетинг как система управления:
предполагает подчинение всей
деятельности предприятия требованиям потребителей;
основывается на политике изучения
рынка, активного приспособления к нему и одновременном целенаправленном
воздействии на рынок;
стремится к активизации
человеческого фактора в маркетинговой деятельности, что предполагает воспитание
и обеспечение активности, следование наступательной тактики и предприимчивости
работников и должностных лиц всех рангов.
Общие принципы маркетинга находят
воплощение в конкретных направлениях маркетинговой деятельности. К основным
направлениям маркетинга относятся:
комплексное изучение и
прогнозирование рынка;
формирование и осуществление
товарной политики;
формирование и осуществление ценовой
политики;
проведение коммуникационной
политики;
разработка и осуществление политики
продаж;
управление маркетинговой
деятельностью и контроль за её осуществлением.
Маркетинговая деятельность
предприятия по изучению рынка включает в себя следующие этапы:
) изучение рыночного потенциала
(ёмкости рынка), т.е. максимально возможного количества конкретного товара,
которое может быть реализовано на рынке в определённый период времени;
) анализ рыночной сегментации, т.е.
выделение на рынке в соответствии с выбранными критериями отдельных сегментов
рынка;
) исследование фирменной структуры
рынка и позиций конкурентов;
) изучение информации о покупателях.
Фирмы тщательно исследуют факторы, оказывающие влияние на потребности
покупателей. Фирма - продавец считает необходимым стать на точку зрения
покупателя с целью выявления основных критериев, определяющих выбор
покупателями того или иного товара. На этой основе фирма определяет
потенциальных покупателей своей продукции.
Существенное место в маркетинговой
деятельности отводится проведению сбытовой политики, основным назначением
которой является организация сбытовой сети для эффективных продаж производимой
продукции. В рамках сбытовой политики находят решение вопросы создания сети
оптовых и розничных магазинов, складов промежуточного хранения, пунктов
сервисного обслуживания, выбора каналов товародвижения, организации
транспортировки продукции, формирования условий продажи товаров и т.п. [6].
В современную эпоху запросы
потребителей быстро растут и становятся чрезвычайно индивидуализированными, а
рынки - разнообразными по структуре.
Главная цель маркетинга - ориентация
на потребителя. Компании достигают успеха в хозяйственной и коммерческой
деятельности только тогда, когда их целью становится удовлетворение нужд
потребителя. Вместе с тем задача маркетинга - не только увеличить спрос, но и
пытаться воздействовать на него так, чтобы он соответствовал предложению.
Предвидеть, прогнозировать спрос
можно лишь при постоянном изучении запросов потребителей.
Управление спросом включает
стимулирование, содействие и регулирование. Стимулировать - значит вызывать у
потребителей стремление к тому, что предлагает фирма, привлекательно оформляя
продукт, интенсивно его рекламируя. Содействие предполагает, что фирма делает
свой продукт легкодоступным физически по условиям кредита, хорошей
информированности продавцов и т.д. Регулирование необходимо, когда существуют скачки
в спросе на протяжении года или если спрос превышает предложение. В этом случае
цель - сделать спрос более равномерным в течение года или осуществить
демаркетинг товара или услуги. Удовлетворение спроса подразумевает не только
нормальное функционирование товара или услуги, но и их безопасность,
доступность различных вариантов, послепродажное обслуживание [7].
Далее рассмотрим работу
маркетинговой службы на примере конкретных предприятий (зарубежного и
отечественного).
Основное достоинство изделий Дома «Кристиан
Диор» - высочайшее качество. Будучи эталоном, в мире Высокой моды эта фирма
определяет направления развития многих других продуктов индустрии моды -
косметики, парфюмерии, аксессуаров, белья. Его модели отличаются роскошью,
элегантностью, высокой ценой, использованием дорогих материалов и сырья для
изготовления. Учитывая опыт «Кристиан Диор» (Франция), для успешного внедрения
инновационных дизайнерских решений в производство необходимо:
организовать серьезные
подготовительный этап, включающий комплексную совместную работу художника -
модельера и конструкторов, технологов по производству одежды. В совокупности
разрабатываемые коллекции должно учитывать различные инновационные предложения
в сфере конструирования, материалов (сырья), фурнитуры с тем, чтобы годовая
ассортиментная программа была гибкой и одновременно соответствовала
технологическим возможностям предприятия;
активнее использовать резервы
экспериментальных цехов;
сотрудничать с фирмами -
представителями (и частными лицами), занимающимися народными промыслами и
производством элементов для костюма ручной работы - пряжек, пуговиц и другой
фурнитуры из нетрадиционных материалов;
творчески эксплуатировать ресурсы
рекламы для продвижения новой продукции на рынке товаров народного потребления.
В результате анализа опыта
зарубежной фирмы - производителя одежды «Кристиан Диор» (Франция), установлено,
что создаваемые на современном этапе коллекции одежды функционально должны
соответствовать эталонам массовой культуры - они должны быть развлекательны; бесспорно,
ориентированы на получении прибыли; формировать установки на потребительство,
обеспечивать компенсаторную и нормативно - регулятивную функции. Сопричастности
изделий швейной промышленности с миром Высокой Моды можно добиться активным
использованием демонстрационной функции, разработкой и рекламированием
собственных символов и кодировок для конкретных коллекций «переводя» сложные
образцы Высокой Моды на доступный массовому потребителю язык [8].
Швейная фабрика «Айвенго» (г.
Иваново) - динамично развивающееся предприятие, один из ведущих производителей
мужских костюмов в России.
Это предприятие продолжает
наращивать выпуск за счёт технического перевооружения и улучшения использования
производственных мощностей. Принципами деятельности компании становится:
глобализации деятельности, гибкость, адаптивность компании, самообучаемость,
активность использования информационных технологий, ориентация на предвидение,
безграничность и домовременность деятельности, опережение конкурентов по
времени, инновационность, ориентация на добавленную стоимость и качество.
Модели фирмы выпускаются под торговой маркой «Биг Бенд оф Лондон». Они
ориентированы на потребителей стильной мужской одежды, соответствующей имиджу
современного мужчины [9].
1.2 Организация системы
сбыта
Сбытовой политикой предприятия
называют совокупность мер, направленных на организацию сбыта товара.
Сбытовая сеть включает:
· сети оптовых и
розничных магазинов.
· систему складов, на
которых осуществляется промежуточное хранение товаров.
· пункты техобслуживания.
· транспортировка.
С точки зрения маркетинга наиболее
важными является, следующие различия между видами сбыта: простой и сложный
сбыт.
Простой сбыт - это сбыт, который
включает всего 2 звена: производителя и посредника.
Сложный сбыт предполагает более
длинную схему движения товара. В этом случае имеет место сотрудничество со
сбытовыми организациями, предприятие может создавать собственную систему
оптовых и розничных филиалов, которые занимаются сбытом, и т.д.
В зависимости от того, используются
ли фирмы-посредники, можно выделить 3 основных метода сбыта: прямой, косвенный
и комбинированный.
Прямой сбыт предполагает, что
производитель предполагает свою продукцию потребителям непосредственно, не
обращаясь к помощи независимых посредников. Главная положительная черта этого
типа сбыта заключается в том, что производитель не утрачивает полного контроля
над товародвижением и в случае необходимости обладает возможностью
корректировать процесс. Кроме того, этот способ сбыта является наименее
затратным, т. к. производителю нет нужды держать особое подразделение или
самостоятельную фирму, которая будет заниматься сбытом.
Косвенный сбыт - это сбыт, который
осуществляется при помощи независимых посредников. Преимущество данного типа
сбыта заключается главным образом в его эффективности. Очевидно, что
профессионал, который к тому же имеет возможность постоянно заниматься
каким-либо делом, любое дело выполнит лучше. А, следовательно, с определённой
точки зрения обращение в посредническую организацию более выгодно и
целесообразно. В частности, специальные фирмы - посредники имеют наработанную
базу розничных точек, с которыми они работают, а это очень важно для прямого
выхода на конечного потребителя. Вследствие того, что связи с розничной
торговлей у посредников наработаны, повышается и скорость окупаемости проекта.
Комбинированный сбыт, как это
следует из его названия, совмещает в себя 2 предыдущих типа сбыта. В этом
случае производитель либо использует в качестве посредников торговые
предприятия со смешанным капиталом, который включает как средства
производителя, так и средства торговой фирмы, либо в разной степени опирается
на прямой и косвенный сбыт.
Продвижение товаров - это
совокупность средств, которые направлены на его успешную реализацию. Для
продвижения товара необходимо формирование предприятий в области стимулирования
сбыта.
К ценовому стимулированию относят:
· Прямое снижение
цен.
· Снижение цен с
отсрочкой получения скидки.
· Распространение
купонов, дающих право на покупку со скидкой (купонаж).
Цена - это все объективные затраты
потребителя, которые связанны с приобретением товара (услуги), носителя
необходимых потребительских свойств. Реальная цена, которую платит потребитель,
включает в себя взаимозависимые критерии и в результате, включает в себя
денежную ценность. Эта цена впоследствии обеспечивает потребителя возможностью
сравнения товаров различных организаций, основываясь на разных критериях, в
результате чего производит выбор, отталкиваясь от своих нужд и предприятий.
Цена является надежным показателем качества товара, особенно при отсутствии
информации о нем.
С прямым снижением цен всё более или
менее понятно: предприятие или торговая сеть в этом случае просто снижают цену,
и покупатель, пришедший в магазин, сразу же платит эту новую цену, не ожидая,
когда истечёт какой-то срок. Покупатель в такой ситуации не должен также ничего
делать, ему необходимо просто прийти в магазин и совершить покупку. Снижение в
этом случае может быть связано с сезоном или с каким-то важным событием в жизни
предприятия или торговой сети (юбилей деятельности).
В случае снижения цен с отсрочкой
получения скидки возмещение денег может быть как непосредственным, так и
отсроченным. При непосредственном возмещении покупатель получает скидку вместе
с покупкой товара или с получением услуги. В случае с отсроченным возмещением
покупатель получает возмещение только после того, как он предъявил доказательства
покупки.
В случае купонажа получает скидку
только тот покупатель, который имеет специальный купон. Как правило, такие
купоны либо распространяются непосредственно между людьми, либо публикуются в
прессе, либо помещаются на упаковках товара. Потребители нередко оказываются
крайне восприимчивыми к продаже со скидкой, и их часто привлекают товары, цена
которых временно снижена. Очень большое количество потребителей (хотя и далеко
не все из них) в такой ситуации из 2-х аналогичных товаров разных марок
предпочтут более дешёвый.
При проведении снижения цен
необходимо следовать некоторым рекомендациям. Снижение цен должно быть
достаточно ощутимым - насколько ощутимым, чтобы на них можно было строить
рекламное обращение. Кроме того, используя этот способ, необходимо быть хотя бы
отчасти уверенным в том, что снижение цен будет достаточно стимулирующим, а
повышение уровня продаж сможет скомпенсировать падение прибыли, связанное со
снижением цен.
Снижение цен должно учитывать и
положение на рынке. Цену следует снижать настолько, чтобы оказывалась фактором,
способным оказать решающее воздействие на выбор данной марки товара. Обычное
снижение цены может, например, не сделать товар более дешёвым, чем его аналоги,
если изначально на него была поставлена очень высокая цена (случай престижного
товара). В другом случае снижение цены может привести к тому, что товар будет
стоить дешевле, но будет настолько дешёвым, чтобы провоцировать покупателя на
однозначный выбор в его пользу.
Не менее распространённым, чем
ценовое стимулирование, является и стимулирование натурой, которое заключается
в предоставлении потребителю возможности бесплатно опробовать товар. Он
заключается в том, что небольшое количество товара (пробник духов, упаковку
майонеза или кетчупа для приготовления одного - двух блюд и т.д.) дают
потребителю «просто так», рассчитывая на то, что товар ему понравится, и он
будет приобретать его в будущем.
Активное распространение заключается
в проведении разнообразных лотерей и викторин, победа в которых награждается
либо самим товаром, либо каким-то другим существенным призом.
Понятно, что данный способ
стимулирования применяется только среди реальных потребителей товара:
участником конкурса может стать (но не обязательно становится) любой покупатель
данного товара. Естественно, здесь могут быть и дополнительные условия
(например, в лотерее участвуют только те потребители, которые купили 3 упаковки
товара).
Существует несколько форм активного
распространения: лотерея, которая требует от покупателя совершение одного действия
(например, он обязан заполнить анкету и отправить её по почте вместе с
купонами, вырезанными в журнале или упаковки товара); конкурс, при котором
помимо указанных выше действий, покупатель вынужден прилагать дополнительные
усилия, (например, отвечать на вопросы, писать небольшой рассказ и т.д.).
Каналы товародвижения играют очень
важную роль в деятельности любого предприятия, поскольку выполняют целый ряд
первостепенных функций:
· они обеспечивают
сбыт и распространение продукции;
· через них осуществляется
закупка всего, что необходимо для производства: сырья, оборудования и т.д.;
· они дают информацию
об особенностях рынка и желаниях потребителей, т.е. могут быть источником очень
важной маркетинговой информации, необходимой для создания новых и модификации
старых продуктов;
· они могут служить
основой для продвижения товара, а точнее, для проведения акций, воздействующих
на рынок;
· они помогают
улучшить условия транспортировки и хранения товаров;
· они облегчают
обслуживание уже проданных товаров.
Необходимо отметить, что этот список
является неполным, хотя и включает в свой состав наиболее важные функции
[10,11].
Далее рассмотрим организацию системы
сбыта на примере конкретных предприятий (отечественного и зарубежного).
По распоряжению Правительства РФ,
под патроном Торгово-промышленной палаты и Правительства Москвы проходят
федеральные оптовые ярмарки товаров и оборудования текстильной и лёгкой
промышленности - самые крупные и самые специализированные ярмарки России. За
прошедшие годы ярмарки не только стимулировали возрождение отраслей лёгкой и
текстильной промышленности, но и способствовали формированию отечественного
рынка товаров, оказывали существенную помощь предприятия и фирмам, продукция
которых способна в реальном будущем заместить импорт на российских прилавках.
Лидер нашей лёгкой промышленности,
дипломат и лауреат многих премий, в том числе «100 лучших товаров России»,
фабрика «Россиянка» (г. Белгород) каждый раз создаёт обширный ассортимент в
соответствии с последними модными тенденциями. Причём модели этой фирмы всегда
выделяются отличным дизайном, практичностью и верным стилистическим решением
[9].
Молодая и коммерчески успешная
фирма-производитель одежды «Браччиалини» (Италия) для достижения популярности
активно использует средства масс - медиа и радикально-авансардные приёмы подачи
новых коллекций. Костюмы, предлагаемые этой маркой, выдержаны в строгом
классическом стиле (доминируют тёмные цвета), лишены авангардных элементов,
функциональны и выполнены из качественных тканей. Универсальность костюмов
дополняется богатым ассортиментом аксессуаров с предлагаемой покупателю
возможностью не только подобрать комплект дополняющих костюм элементов, но и
консультативную помощь в осуществлении выбора [8].
Для реализации мужского спортивного
жилета будем использовать, как прямой сбыт (от производителя непосредственно
потребителю), так и непрямой (через торговые представительства, розничные и
оптовые фирмы). Для лучшей реализации товара используем рекламу (в газетах и на
телевидении) и основные виды стимулирования сбыта (покупка со скидкой).
1.3 Анализ
потребительского спроса на данную модель
Мода глобализируется, поглощая без
разбора многочисленные культуры, и предлагает большое количество высоко
индивидуализированных микро-направлений, растворяющих спортивность в
традиционной классике, а классику превращая в творческий авангард. Но во всех
предложениях ощущается старомодный консерватизм, выражающийся в приверженности
к традиционным этическим и экологическим ценностям.
Установившееся в современном
обществе равенство мужчин и женщин снижает поляризацию между полами. В такой
ситуации зреет необходимость поиска форм новых социокультурных отношений,
которые позволили бы мужчинам и женщинам перейти от взаимной исчерпаемости к
обновлению. В связи с этим воскрешается интерес к стилю игры гендерных ролей,
оформления их пространства и габитарного имиджа.
Мода улавливает потребности общества
и также стремится возродить ценности традиционных гендерных ролей. Подобные
идеи заметны и в её предложениях на 2009 год. В мужской моде главенствует сила
и независимость.
Мода говорит о любви. Она
сентиментальна и чувственна, проявляет эмоциональность через цвета и материалы
и играет с контрастами фактур, предлагая с одной стороны, исключительно мягкие
и пушистые ткани и трикотажные полотна (кашемир, фланель, джерси, кружева
шантильи), а с другой, - жесткие, ломкие и хрустящие (армированную тафту,
органзу, молескин, деним, рустикальную шерсть с сухим грубоватым грифом).
Контрасты и структуры материалов.
Актуальны ткани с увеличенными, явно выраженными переплетениями; объемные,
вспененные, как взбитые сливки; рельефные жаккардовые с укрупненными мотивами
и, наоборот, материалы плоские, ровные, с едва заметными рисунками
переплетений.
Важная особенность материалов - это
блеск, полученный благодаря переплетениям, включениям блестящих нитей или
металлическим покрытиям. Он присутствует на всех типах тканей
(хлопчатобумажных, шелковых, шерстяных, синтетических) и служит для всех
случаев жизни, как в повседневной одежде, так и в вечерней. Блеск может быть
кислотно-глянцевым, цветным металлическим, тусклым патинированным серебряным,
смоленным, сверкающим искрами люрекса и т.д.
Альтернатива блестящим тканям -
материалы, вносящие «мягкую» ноту - бархат, вельвет, плюш, фулерованные вигуре,
искусственный мех. Хотя иногда и матовые материалы фрагментарно или целиком
покрываются металлической пылью, лаком, полимерными пленками.
Мода откликается на возникшее
стремление людей вновь одеваться по ситуациям, специально в каждом конкретном
случае. Она предоставляет возможность насладиться игрой переодевания для
разнообразных видов деятельности и отдыха, при этом без необходимости
придерживаться каких-либо правил и закономерностей, характерных для прошлого.
В осенне-зимнем сезоне мода избегает
слишком очевидных ретроспекций. Однако в ее предложениях можно заметить влияние
викторианской эпохи, стиля арт-деко, 60-х, 70-х и 80-х годов ХХ века. Новый
дизайн одежды выглядит мягким анатомическим. Он делает текучим архитектуру
предметов.
Интерес арт-деко возвращает на
авансцену моды образы «холодных небожителей». Для одежды этого снобистского
стиля «люкс» используются дорогие качественные материалы, как традиционные, так
и очень новые.
Чтобы определить экономическую
целесообразность выпуска мужского жилета спортивного типа, необходимо посчитать
число потенциальных потребителей данной продукции. Жилет разработан для мужчин
младшей возрастной группы. При разработке систем сбыта данного изделия
учитывался тот факт, что разрабатываемое изделие будет реализовываться не
только на региональном, но и на межрегиональном рынке. Поэтому необходимо
рассмотреть численность мужчин младшей возрастной группы в Р.Ф. Она составляет
15,35 млн. чел., однако это не является окончательным числом потенциальных
потребителей данной модели изделия. Для расчета необходимо учитывать финансовые
возможности, вкусовые предпочтения индивидуальных потребителей и особенности
фигур населения в разных регионах. Следовательно потенциальными потребителями
мужского жилета спортивного типа будут составлять 60 - 70% от перечисленного
выше числа, т.е. около 10,8 млн. чел.
2. Требования,
предъявляемые к изделию
Требования, предъявляемые к
изделиям, должны определяться исходя из анализа взаимосвязей изделия с
человеком и окружающей средой. При формулировании требований к одежде следует
учитывать, что не во всех случаях предъявляются полностью все требования и не
для всех видов одежды они равнозначны. Подход к выбору требований к одежде
должен быть дифференциальным, в зависимости от вида изделия, его назначения и
условий эксплуатации. Одни требования будут первостепенными, другие -
второстепенными, а третьи могут вообще не учитываться.
Поэтому в данном пункте курсовой
работы дается характеристика требования, предъявляемым к мужскому жилету
спортивного типа; условия, в которых он будет эксплуатироваться; назначение;
кратность использования и т.д.
Требования к изделию составляют, с
использованием иерархической структурой показателей качества продукции. Все
требования к одежде подразделяются на потребительские и технико-экономические.
Потребительские требования
определяются назначением изделия и условиями его эксплуатации. К ним относятся:
социальные, функциональные, эстетические, эргономические и эксплуатационные.
К технико-экономическим требованиям
относятся показатели унификации, технологичности и экономичности конструкции
[12].
2.1 Потребительские
требования
Изделие должно отвечать социальным
требованиям, которые характеризуют соответствие изделий общественным
потребностям, обусловливающим целесообразность, их производства и сбыта.
Поэтому требования социально-экономического порядка необходимо учитывать ещё на
стадии разработки технического задания при определении целесообразного
ассортимента изделий, прежде чем приступать к их проектированию и изготовлению.
Роль социальных факторов в обеспечении качества промышленной продукции
возрастает по мере роста научно-технического прогресса, насыщения рынка
товарами и повышения материального благосостояния. Созданные на многих
предприятиях социальные службы должны систематически проводить опросы
покупателей, анализировать динамику спроса, прогнозировать и формировать спрос
и ассортимент на вновь проектируемую продукцию.
Важным социальным показателем
качества одежды является степень соответствия её размерно-ростовочного
ассортимента, объёму действительных потребностей. Использование социальных
показателей позволит обосновано подойти к формированию рационального
ассортимента одежды [13].
Изделие разработано с учетом ростов
и размеров типовых мужских фигур населения страны, а также с учетом последних
тенденций моды и безусловно будет удовлетворять спрос потребителей, так как
спортивный стиль имеет спрос во все времена.
Изделие должно отвечать
функциональным требованиям. Функциональные показатели определяют степень соответствия
одежды основной целевой функции (назначению), внешнему облику и психологическим
особенностям потребителей. Все свойства изделий должны выступать в органичном
единстве и преломляться через их сущность, назначение. Только в этом случае они
становятся свойствами данного предмета, обслуживающего человека.
Назначение определяет требования к
модели, конструкции и материалам. Многообразие условий потребления определило
широкий ассортимент одежды. В связи со значительными различиями во внешнем
облике и психологическом складе людей разного возраста, размерной и
полнотно-возрастной групп одежду даже одного и того же назначения необходимо
проектировать с учётом всех присущих этим группам особенностей [13,14].
Изделие рассматриваемое в курсовой
работе, мужской спортивный жилет, отвечает данной группе требований, так как
спортивная одежда актуальна в разное время и в разных условиях.
Эстетические показатели занимают
особое место при оценке качества одежды как предмета личного потребления.
Отсутствие эстетических показателей превращает одежду, по существу, в
бесполезную вещь, так как она перестаёт выполнять одну из основных своих
целевых функций: удовлетворение специфически человеческих (эстетических)
потребностей.
Эстетическое восприятие одежды
зависит также от точности и тщательности технологической обработки и отделки
всех доступных для внешнего восприятия конструктивных элементов;
оригинальности, выразительности и информативности фирменных торговых знаков,
ярлыков, маркировки и упаковки, т.е. от всех элементов, определяющих в
совокупности товарный вид одежды массового производства [13,14].
Изделие должно отвечать эстетическим
требованиям. Эстетическая потребность в самом общем виде определяется как нужда
человека в красоте и в творчестве по законам красоты. Спортивный жилет должен
быть разработан с эстетической целесообразности формы изделия и её органичной
взаимосвязи с функциональным содержанием изделия, а также требования
художественной выразительности, гармонии, стилевого единства со средой. Являясь
одним из средств воплощения общественных эстетических идеалов своей эпохи,
одежда проектируется с учётом ведущего художественного стиля данной эпохи и его
частного проявления - моды [13,14].
Изделие, предложенное курсовой
работой, отвечает данной группе требований. Сочетание классического и
спортивного стиля соответствует современной моде и делает изделие способное
удовлетворить специфические потребности человека.
Изделие должно отвечать
эргономическим требованиям. Эргономические показатели характеризуют степень
приспособленности изделия к человеку и основаны на эргономических свойствах
системы человек - изделие - среда.
Контакты человека и промышленных
изделий рассматривают в эргономике на биологическом и психологическом уровнях.
Человек вступает в контакт с одеждой в основном на биологическом уровне,
поскольку одежда покрывает более 80% поверхности тела человека и практически
находится с ним в постоянном контакте и взаимодействии. В результате
биологического взаимодействия с одеждой у человека возникают психологические
(точнее, психофизиологические) ощущения тепла, холода, комфорта, удобства,
давления, мышечного напряжения, влияющие на его психологическое состояние
(утомляемость, работоспособность, настроение).
При оценке качества конструкции
промышленных изделий наиболее употребительными являются понятия «удобства» и
«комфорт».
Эргономические показатели делятся
на:
· Антропометрического.
К нему относятся степень соответствия конструкции одежды размерам
(соразмерность) и форме тела человека (баланс); уровень деформации в материалах
деталей одежды в процессе эксплуатации; размах движений рук одетого человека и
перемещение изделия при подъеме рук.
· Гигиенического.
Включает показатели, определяющие теплозащитные функции одежды: тепловой
баланс, степень вентилируемости, защита от внутренней (под одежной), внешней
(атмосферной) влаги, суммарным тепловым сопротивлением пакета одежды.
· Психофизиологического.
Конкретизируется тремя единичными показателями: удобством надевания и снятия
одежды; удобством пользования отдельными элементами одежды и массой одежды
[13,14].
Изделие, предложенное курсовой
работой, отвечает данной группе требований. Антропометрические показатели
характеризуют конструкцию изделия - необходимые прибавки на свободу прилегания;
вертикальное место расположение кармана (более удобно при эксплуатации).
Гигиенические показатели необходимо учитывать при составлении пакета изделия.
Использование джинсовой ткани с натуральными волокнами (например, с х/б
волокнами), сохранит теплозащитные и гигиенические свойства изделия, создавая
тем самым приемлемый внутренний микроклимат. При составлении пакета изделия
необходимо обращать внимание на поверхностную плотность: для спортивного жилета
рекомендуется выбирать ткани из натуральных хлопчатобумажных волокон с высокой
поверхностной плотностью.
Эксплуатационные показатели
(надежность). Надёжность - важнейшая эксплуатационная характеристика
большинства промышленных изделий, в том числе и одежды. Показатели надежности
определяют степень стабильности сохранения качества одежды в процессе
эксплуатации. Надежность - это качество, развернутое во времени. Изделие должно
отвечать требованиям надежности. Надежность определяет безотказность,
долговечность, ремонтопригодность изделия. Основное понятие в теории надежности
- понятие отказа, т.е. утраты работоспособности, наступающей внезапно или
постепенно.
К числу показателей надежности
одежды к эксплуатации относят 3 группы: устойчивость материалов и
соединительных швов к разрывным нагрузкам; формоустойчивость деталей и краев
одежды; износостойкость материалов и элементов конструкции одежды [13,14].
При составлении пакета мужского
спортивного жилета были учтены такие показатели как устойчивость к истиранию, к
многократному растяжению, к действию светопогоды (чтобы изделие сохраняло свой
товарный вид) и химчистке (чтобы облегчить уход за изделиями и сэкономить
время). Формоустойчивость деталей кроя изделия обеспечивается дублированием
деталей нитепрошивным прокладочным материалом с клеевым покрытием. Для
устойчивости соединительных швов к разрывным нагрузкам и их прочности подобраны
нитки с использованием синтетических волокон. Применение клеевой паутинки
повышает качество изделия. Изделие должно выдерживать срок эксплуатации не
менее 2,5 лет без ухудшения внешнего вида и основных свойств.
2.2
Технико-экономические требования
Изделие должно отвечать
технико-экономическим требованиям. Технико-экономические показатели качества
одежды определяют степень технического совершенства конструкции, методы
проектирования и технологии одежды с учетом затрат на её производство и
эксплуатацию. Показатели стандартизации и унификации конструкции одежды
определяют степень конструктивной и технологической преемственности моделей.
Технический прогресс и быстрая смена
моды диктует необходимость резкого сокращения сроков разработки и снижения
затрат труда, средств и материалов на создание и освоение производства новых
моделей одежды. Выполнение большинства этих требований затруднительно, если
рассматривать каждую модель одежды как индивидуальную конструкцию, проектируемую
и создаваемую заново. Поэтому в швейной промышленности широкое распространение
получают прогрессивные методы одновременного проектирования не одной, а целой
серии новых моделей одежды [13,14].
Изделие должно отвечать показателям
технологичности. Они определяют степень прогрессивности конструкции и
технологии, степень механизации и автоматизации, трудоемкости и
материалоемкости изделия. Иными словами, технологичность характеризует
эффективность конструкторских решений для обеспечения высокой
производительности труда и экономного расходования материалов.
Необходимость отработки конструкции
промышленных изделий всех видов на технологичность установлена стандартами
Единой системы технологической подготовки производства (ЕСТПП).
Производственная технологичность конструкции изделия проявляется в сокращении
затрат на конструкторскую (КПП) и технологическую (ТПП) подготовку производства
и процессы изготовления; эксплуатационные - в сокращении затрат на обслуживание
и ремонт изделия. Применительно к одежде большее значение имеет
производственная технологичность конструкции [13,14].
Изделие, предложенное курсовой работой,
отвечает данной группе требований. Технологичность изделия достигается за счет
использования высокоскоростного оборудования; машин автоматов и полуавтоматов
(что снижает затраты времени на обработку); использование средств малой
механизации (что снижает ручные работы и повышает качество изделия);
привлечение в производство работников высокой категории; использование
современных материалов, которые сокращают время на обработку изделия.
Изделие должно отвечать показателям
экономичности. Показатели экономичности характеризуют затраты на
конструкторскую и технологическую подготовку производства и промышленное
изготовление одежды, а также потребительские расходы на ее эксплуатацию. Для
определения уровня экономичности в системе качества одежды, являющейся одновременно
продуктом массового производства и предметом личного потребления, следует
учитывать показатели как производственной, так и эксплуатационной экономичности
[13].
Изделие, рассматриваемое в курсовой
работе, мужской спортивный жилет, отвечает данной группе требований, так как
оно характеризуется минимальными затратами на конструкторскую и технологическую
подготовку и другие производственные нужды. Изделие не требует больших затрат
при эксплуатации. Экономичность изделия обеспечивает эффективность производства
и возможность сбыта.
2.3 Выбор и описание
модели
Жилет спортивного типа для мужчин
младшей возрастной группы из джинсовой ткани.
Жилет прямого силуэта с центральной
бортовой застежкой на 6 пуговиц и 6 прорезных петель.
Полочки с отрезной кокеткой. На
верхней части полочек обработаны накладные карманы с горизонтальной линией
входа, застегивающиеся на 1 пуговицу и 1 прорезную петлю.
Спинка с отрезной кокеткой.
Срез проймы обработан обтачками.
Воротник отложной с отрезной стойкой
с острыми концами.
Жилет без подкладки.
По борту, воротнику, изгибу
притачивания кокетки, по плечевым швам, низу изделия проложена отделочная
строчка шириной 0,5 см. нитками контрастного цвета.
Рекомендуемые размеры: 84 - 92
Роста: 170 - 180
Полнотная группа: I I
3. Разработка требований
к свойствам основного материала
Разработку требований к показателям
качества материалов осуществляют с учетом модельных, конструкторско -
технологических особенностей разрабатываемого изделия, его назначения и условий
эксплуатации, половозрастных признаков потребителя и требований, предъявляемых
к изделию. При разработке требований к материалам руководствуются стандартами:
«Номенклатура показателей качества»; «Технические условия» на материалы; «Нормы
показателей свойств на материалы». Кроме того, можно разработать нормативы,
основываясь на рекомендациях отраслевых институтов, научно - технических
разработках, данных специальной литературы. Разрешается использовать показатели
материалов - аналогов лучших отечественных и зарубежных образцов[15].
При установлении требований к
свойствам материалов прежде всего следует определить единичные и групповые
показатели их качества.
Единичные показатели качества
текстильного материала характеризует одно из конкретных свойств материала.
Показатель получают при измерении и сравнении этого свойства и выражении
результата сравнения в числовой форме с указанием единицы измерения. Если
числовое значение показателя увеличивается с улучшением качества материала, его
называют позитивным, а если уменьшается - негативным. Единичные показатели
качества могут быть размерными и безразмерными.
Групповой комплексный показатель
качества материала состоит из некоторого числа (группы) единичных показателей и
характеризует одно из потребительских или технико-экономических свойств.
Номенклатура групповых, комплексных и единичных показателей качества
материалов, представленная в нормативно - технических документах не имеют
четкой градации и определения [14].
3.1 Разработка
требований к показателям качества основного материала для изготовления,
проектируемого изделия
Современная одежда, представляет
собой сложный пакет, состоящий из нескольких слоёв: белья, лёгкой одежды
(платья, блузок, юбок и т.д.).
Материал, представленный для
изготовления мужского жилета спортивного типа, соответствует данной группе
требований, так как соответствует тенденциям моды, стилю; соответствует облику
современного человека, а так же хорошо вписывается в гардероб современного
мужчины.
Все требования к материалам изделия
делятся на потребительские и технико-экономические.
Основной материал должен отвечать
функциональным требованиям. Такие изделия, как жилет, предназначены для защиты
человека от пониженных температур, атмосферных осадков. В эту группу входят
требования обеспечивающие защиту: от атмосферных условий (водопроницаемость,
паропроницаемость и т.д.), от низких температур (воздухопроницаемость), от
производственных условий (устойчивость к действию химических реактивов) [13]. В
эту группу входят требования обеспечивающие функцию движения: поверхностная
плотность, жесткость, полная деформация и ее компоненты, растяжимость.
Материал, представленный
для изготовления мужского жилета спортивного типа, соответствует данной группе
требований. Он обладает хорошей поверхностной плотностью 200 - 320 г./м2
[16]. А так - же воздухопроницаемостью не менее 135 дм3/(м2
с), паропроницаемостью,
равной 3,5 - 4,0 мг/(см2
ч).
Материал верха должен
отвечать эксплуатационным требованиям. Показатели надежности характеризуют
долговечность текстильных материалов, а так же способность материалов сохранять
внешний вид, размеры и форму в изделии на различных стадиях изнашивания, их
целостность в течение всего периода эксплуатации, а также долговечность. Для
текстильных материалов надежность в потреблении характеризуется такими
свойствами, как формоустойчивость (сохраняемость размеров и формы при мокрых
обработках и действия стирки и светопогоды, несминаемость и др.) и
износостойкость, а также выносливость и долговечность (стойкость к истиранию на
сгибах, прочностные характеристики и пр.) [17-19].
Показатели надежности
для данного материала определяют безотказность и долговечность изделий из
текстильных и не текстильных материалов. Нагрузка при разрыве в моем материале
должна быть не менее 30/20 даН. Устойчивость к действию светопогоды не должна
превышать 6 баллов, а устойчивость к действию стирки не должна превышать 4
баллов. Несминаемость джинсовой ткани не должна превышать 55%. [16].
Материал должен отвечать
эргономическим требованиям. Наиболее значимыми являются группы эргономических
показателей, особенно гигиенических. Эргономические показатели текстильных
материалов характеризуют удобство и комфорт эксплуатации изделия в системе
«человек - изделие - окружающая среда» и учитывают соответствие материалов
различным эргономическим требованиям человеческого организма. В эту группу
входят две подгруппы показателей, характеризующих влияние выбранных материалов
на самочувствие и работоспособность человека, на удобство при эксплуатации
изделия:
гигиенические показатели
(влажность, гигроскопичность, паропроницаемоеть, воздухопроницаемость,
теплозащитные характеристики и т.д.), определяющие соответствие материалов
гигиеническим условиям жизнедеятельности человека;
показатели комфортности
(поверхностная плотность, толщина, жесткость и т.д.), определяющие степень
соответствия материалов физиологическим и психологическим особенностям
человека.
Материал должен отвечать
конструкторско-технологическим показателям, которые характеризуют свойства
материалов, влияющие на технологию изготовления одежды (например, толщина,
жесткость, прорубаемость и осыпаемость нитей, сминаемость и др.) [17-19].
Технологические
требования к материалам - связаны с конструкцией изделия и определяют
технологию его изготовления. Они связаны с такими показателями как: ширина
полотен, раздвигаемость и осыпаемость нитей, прорубаемость, жесткость,
драпируемость, тангенциальное сопротивление и поверхностная плотность.
Раздвигаемость нитей в
швах - смещение нитей одной системы по нитям другой. Осыпаемость - смещение
нитей около срезанного края ткани до спадания нитей одной системы с нитей
другой [20,21].
Материал представленный
в курсовой работе имеет раздвигаемость не менее 4 даН; осыпаемость: усилие не
менее 3 даН, бахрома не более 2 даН. Рассматриваемый материал отвечает
требованиям стандартизации и унификации, обеспечивает легкую подгонку деталей
по рисунку с минимальным количеством межлекальных выпадов. Хорошо настилается
при раскладке, режется и не смещается.
3.2 Определение степени
значимости требований к основному материалу, их весомости
При определении степени
значимости требований к материалам и их весомости используем общую
иерархическую структуру показателей качества материалов.
Для вычисления
комплексных оценок качества материалов единичные показатели качества, имеющие
различную размерность, переводят в безразмерные одинаковые показатели.
Безразмерные показатели в виде ранговых оценок, баллов, индексов качества,
показателей желательности представляются в матричной форме, а подсчет
комплексных оценок производиться методом средней арифметической, средней геометрической
или средней гармонической.
Для этого были выбраны
25 наиболее важных единичных показателей качества материалов и располагаем в
таблице 3.1 в порядке убывания их значимости, при этом повторов показателей
свойств не встречалось.
Сущность метода
экспертной оценки (ГОСТ 2355401-79) заключается в следующем: составляется
перечень n = 25 свойств материала, выбранных согласно требованиям,
предъявляемым к данному материалу (табл. 3.1).
Ранговую оценку проводит
группа экспертов из 10 человек (m
= 10) путем расстановки присвоенного места значимости показателя (табл. 3.1),
от наиболее значимого - ранг R
= 1 (первое место), к наименее значимому - R
= 25 (25 место).
Результаты опроса в виде
таблицы 3.1 используются для определения значимости факторов, степени
согласованности ранговых оценок и коэффициента согласия.
Данные опроса были
закодированы и занесены в таблицу 3.2 и затем использованы для априорного
ранжирования показателей в целях выделения наиболее существенных.
Далее обрабатываем
результаты опроса мнения экспертов:
1. Определяем сумму рангов по
каждому эксперту (по горизонтали), которая для всех экспертов должна быть
одинаковой:
где n - количество свойств
. Вычисляем сумму рангов для каждого
свойства (по вертикали):
где m - число экспертов.
3. Рассчитываем среднюю
сумму рангов. Для этого складываем все суммы рангов каждого свойства 
и полученный результат делим
на количество свойств n:
. Находим разность между
суммой рангов каждого фактора свойства 
и средней суммой 
по каждому свойству:
.
определяем сумму квадратов отклонений:
. если у эксперта
имеются свойства с одинаковыми рангами, вычисляют сумму связанных рангов в j-м ранжировании (по горизонтали):
где u - число с одинаковыми оценками j-го
эксперта; t - число (одинаковых) рангов j-го
эксперта.
. Рассчитывают сумму
связанных рангов всех экспертов:
сбыт жилет джинсовый
материал
8. находят
согласованность экспертных оценок (коэффициент согласованности мнений
экспертов) - коэффициент конкордации:
где 
- сумма квадратов
отклонений.
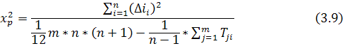
. рассчитаем критерий
Пирсона:

где n - количество свойств, n
= 25
M
- количество экспертов, m
= 10
Сравнив расчетное
значение X2p с табличными данными, взятыми при достоверности 0,05, для (n - 1) = 25 - 1 = 24, получим X2p =
36,415. В связи с тем, что табличные значения критерия меньше расчетных, можно
сделать вывод, что коэффициент конкордации является значимым, т.е. оценки
экспертов согласованы.
Список литературы
1. Бесшапошникова В.И., Никитина Т.Г. Материаловедение в
производстве изделий легкой промышленности: Методические указания к курсовой
работе, 2007. - 2 с.
2. Котлер Ф. Основы маркетинга: Пер. с англ. - М.:
Ростинтэр, 1996. - 704 с.
. Экономика предприятия: Учебник / Под ред. А.Е. Карлика,
М.Л. Шухгальтер. - М.: ИНФРА - М, 2004. - 432 с. - (Серия «Высшее образование»)
. Маркетинг: учебник /А.Н. Романов, Ю.Ю. Корлюгов, С.А.
Красильников и др. - М.: Банки и биржи, ЮНИТИ, 1996. - 560 с.
. Затулий А.И. Проблемы швейной промышленности и опыт их
решения торговыми марками «Кристиан Диор», «Браччиалини», «Аркадиус» / Затулий
А.П. // Технология текстильной промышленности. - 2006. - №6. - С. 95-97
. Сахарова Е.В. Успех на подиуме залог успеха в торговле /
Сахарова Т.В. // Швейная промышленность. - 2006. - №6. - С. 22 - 26
. Маркетинг: учебник для вузов / Г.Л. Багиев, В.М.
Тарасевич, Х. Анн; Под ред. Г.Л. Багиева. - М.: ОАО «Изд-во «Экономика», 1999.
- 703 с.
. Чикатуева Л.А., Третьякова Н.В. Маркетинг. Под редакцией
д.э.н., профессора В.П. Федько. Серия «Среднее профессиональное образование». Ростов-на-Дону: Феникс, 2004. -
352 с.
. Бесшапошникова В.И., Никитина Т.Г. Материаловедение в
производстве изделий легкой промышленности: Методические указания к курсовой
работе, 2007. - 6 с.
. Коблякова Л.Б. Конструирование одежды с элементами САПР:
учеб. для вузов /Л.Б. Коблякова; Г.С. Ивлева; В.Е. Романов и др.; под ред. Л.Б.
Кобляковой. - М.: Легпромбытиздат, 2004. - 464 с.
. Орленко Л.В., Гаврилова Н.И. Конфекционирование
материалов для одежды: Учебное пособие. - М.: ФОРУМ: ИНФРА - М, 2006. - 288 с.
- (Высшее образование)
. Бесшапошникова В.И., Никитина Т.Г. Материаловедение в
производстве изделий легкой промышленности: Методические указания к курсовой
работе, 2007. - 9 с.
. Бесшапошникова В.И., Никитина Т.Г. Материаловедение в
производстве изделий легкой промышленности: Методические указания к курсовой
работе, 2007. - 13 с.
. Стельмашенко В.И. Материалы для изготовления и ремонта
одежды: учеб. Пособие / В.И. Стельмашенко; Т.В. Розаренова. - М.: Высш. Школа,
1997. - 282 с.
. Савостицкий Н.А., Амирова Э.К. Материаловедение швейного
производства: Учеб. Пособие для студ. учреждений сред. проф. образования. - М.:
Изд. Центр «Академия»: Мастерство: Высшая школа, 2001. - 240 с
. Бесшапошникова В.И. Ассортимент и свойства текстильных
материалов: учеб пособие / В.И. Бесшапошникова. - Саратов: СГТУ, 2001. - 136 с.
. Мальцева Е.П. Материаловедение швейного производства -
М.: Легкая и пищевая промышленность, 1983. - 232 с.
. Кокеткин П.П., Кочегура Т.Н., Барышникова В.И. и др.
Промышленная технология одежды: Справочник/ Кокеткин П.П., Кочегура Т.Н.,
Барышникова В.И. и др. - М.: Легпромбытиздат, 1988. - 640 с.
. http://ru.wikipedia.org/wiki/%D0% 94% D0% B6% D0% B8% D0%
BD % D1% 81% D1%
8B#.D0.9A.D0.BB.D0.B0.D1.81.D1.81.D0.B8.D1.84.D0.B8.D0.BA.D0.B0.D1.86.D0.B8.D1.8F
. http://murana.ru/articles/beauty/clothes/denim.html
. В.И. Бесшапошникова. АССОРТИМЕНТ И СВОЙСТВА ТЕКСТИЛЬНЫХ
МАТЕРИАЛОВ. Учебное пособие для студентов специальностей 280800, 280900,
Саратов 2001. - 14 с.
. Бесшапошникова В.И. Ассортимент и свойства текстильных
материалов: учеб пособие / В.И. Бесшапошникова. - Саратов: СГТУ, 2001. - 136 с.