Комплексная оценка качества транспортного обслуживания методом экспертных оценок
Федеральное агентство
железнодорожного транспорта
Федеральное государственное бюджетное
учреждение высшего профессионального образования
Уральский государственный университет
путей сообщения
ФГБУ ВПО УрГУПС
Факультет Экономики и управления
Кафедра мировой экономики и логистики
КУРСОВАЯ РАБОТА
по дисциплине: «Маркетинг и сервис на
транспорте»
На тему:
Комплексная оценка качества
транспортного обслуживания методом экспертных оценок
Выполнил: Студент гр.ЭК-529
Пономарева М.В.
Проверил: Левченко М.А.
Екатеринбург - 2013
СОДЕРЖАНИЕ
ВВЕДЕНИЕ
. ХАРАКТЕРИСТИКА ТРАНСПОРТНЫХ
КОМПАНИЙ
.1 Транспортная компания
«КИТ»
.2 Транспортная компания
«Дилижанс»
.3 Транспортная компания
«Хорс»
.4 Транспортная компания
«ТрансЛогистик» (Екатеринбург)
. КОМПЛЕКСНАЯ ОЦЕНКА КАЧЕСТВА
ТРАНСПОРТНОГО ОБСЛУЖИВАНИЯ МЕТОДОМ ЭКСПЕРТНЫХ ОЦЕНОК
ЗАКЛЮЧЕНИЕ
ВВЕДЕНИЕ
Транспортно-экспедиционная
компания (ТЭК) - компания занимающаяся организацией перевозок грузов от
грузоотправителя (клиента) к грузополучателю. В большинстве случаев ТЭК
является компанией посредником между клиентом и перевозчиком, предоставляя
услуги по поиску исполнителя и транспорта
<#"728817.files/image001.jpg">
Рисунок 2 - Алгоритм выбора транспортной операторской компании
Рисунок 3 - Критерии системы качества доставки грузов
. Группировка критериев предполагает разделение выбранных критериев в
целях удобства их дальнейшей обработки. Выделяют три группы критериев:
.1 Количественные критерии - определяются по фактическим значениям
критерия. К этой группе относят:
своевременность доставки - вероятность поставки в оговоренный интервал
времени по системе «Точно вовремя», рассчитывается как коэффициент или в
процентах;
стоимость перевозки;
.2. Качественные критерии оцениваются присвоением определенного балла от
«Отлично» до «Удовлетворительно». К этой группе относятся:
имидж компании;
конкурентоспособность;
оперативность реагирования на запрос клиента;
финансовая стабильность;
сохранность грузи качество перевозок;
квалификация персонала.
.3 Рейлерные показатели имеют только две оценки: «Да» и «Нет». К этой
группе относятся:
наличие собственного автотранспорта;
наличие собственного склада;
договор страхования.
. Первичный выбор претендентов среди транспортных операторских компаний
осуществляется исходя из всех возможных (если их в данном регионе не много) или
самых популярных и только что появившихся на рынке транспортных услуг.
. Формирование общей таблицы показателей, в которой отображены критерии
качества, их ранги и оценки конкретных транспортных логистических посредников.
Информация об оцениваемых компаниях систематизирована в таблице 2.
Таблица 2
Показатели оценки транспортных компаний
|
Критерии
|
Транспортные компании
|
|
ТК1
|
ТК2
|
ТК3
|
ТК4
|
|
Своевременность доставки
груза
|
0,9
|
0,8
|
0,8
|
0,9
|
|
Стоимость доставки
|
0,85
|
0,7
|
0,65
|
0,7
|
|
Наличие собственного
транспорта
|
Да
|
Нет
|
Нет
|
Нет
|
|
Договори страхования
|
Да
|
Да
|
Нет
|
Да
|
|
Наличие собственного склада
|
Нет
|
Нет
|
Да
|
Нет
|
|
Конкурентоспособность
|
Отл
|
Хор
|
Оч хор
|
Удовл
|
|
Имидж компании
|
Оч хор
|
Хор
|
Оч хор
|
удовл
|
|
Оперативность реагирования
на запрос клиента
|
Хор
|
Оч хор
|
Отл
|
Хор
|
|
Финансовая стабильность
|
Оч хор
|
Оч хор
|
Хор
|
Отл
|
|
Квалификация персонала
|
Оч хор
|
Отл
|
Хор
|
Отл
|
|
Сохранность груза и
качество перевозки
|
Оч хор
|
Оч хор
|
отл
|
Оч хор
|
. Проверка соответствия показателей работы транспортно-экспедиционных
компаний основным ограничениям осуществляется следующим образом.
.1 По количественным показателям проверка осуществляется исходя из
нормативных значений критерия от 0-1.
Таким образом, по количественным показателям все транспортные компании
удовлетворяют основным ограничениям.
.2 По качественным показателям проверка осуществляется исходя из
удовлетворительных и неудовлетворительных оценок транспортных операторских
компаний.
.3 По рейлерным показателям проверка осуществляется исходя из
отрицательных значений основополагающих критериев.
. Все транспортные компании в дальнейшем оцениваются.
. Ранжирование критериев оценки качества сервиса осуществляется методом
экспертных оценок и производится в несколько этапов.
.1 Формирование группы экспертов должно осуществляться с учетом
количественного и качественного аспекта. Качественный аспект заключается в
личностных свойствах каждого из экспертов: эксперты должны обладать
определенными знаниями и навыками, достаточной квалификацией и опытом.
Количественный аспект заключается в определении минимального и максимального
количества экспертов. Минимальное количество опрашиваемых экспертов равно
четырем.
.2 Статистический анализ результатов опроса экспертов предусматривает
анализ рангов отданных тому или иному критерию и расчет среднего ранга по
группе экспертов. Методика статистической обработки данных предполагает
выполнение следующих действий:
определение среднего ранга в первом приближении по каждому критерию:
; (1)
где i =1,
п - критерии;= 1,
т - эксперты;- ранг, присвоенный j-м экспертом i- му критерию.
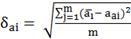
определение среднего квадратического отклонения реальных значений рангов
от их средней величины:
; (2)
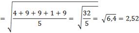
Рассчитаем среднее квадратическое отклонение реальных значений рангов от
средней величины для первого критерия:
определение доверительного интервала рангов:
; (3)
Значения рангов, присвоенные экспертами, должны входить в интервал (3).
Если значения в этот интервал не входят, то они исключаются из исходной
совокупности и средняя арифметическая и средняя квадратическая величины
рассчитываются заново;
определение коэффициента вариации по критерию:
; (4)
В таблице 3 определены средние значения рангов критериев в первом и
втором приближениях.
Таблица 3
Ранжирование критериев оценки транспортных компаний
|
Критерии
|
|
Эксперты
|
Расчетные графы
|
|
|
1
|
2
|
3
|
4
|
5
|
å
|
СрI
|
Vi
|
СрII
|
Ранг
|
|
Своевременность доставки
груза
|
а
|
4
|
9
|
3
|
5
|
9
|
30
|
6
|
14,28
|
3,5
|
4
|
|
d
|
4
|
9
|
9
|
1
|
9
|
32
|
2,52
|
|
|
|
|
а
|
4
|
9
|
3
|
5
|
|
21
|
5,25
|
|
|
|
|
d
|
1,56
|
14,06
|
5,06
|
0,0625
|
|
20,74
|
5,18
|
|
|
|
|
а
|
4
|
|
3
|
5
|
|
12
|
4
|
|
|
|
|
d
|
0
|
|
1
|
1
|
|
2
|
0,81
|
|
|
|
|
а
|
4
|
|
3
|
|
|
7
|
3,5
|
|
|
|
|
d
|
0,25
|
|
0,25
|
|
|
0,5
|
0,5
|
|
|
|
|
Стоимость доставки
|
а
|
8
|
8
|
1
|
4
|
6
|
27
|
5,4
|
25,5
|
6,5
|
5
|
|
d
|
6,76
|
6,76
|
19,36
|
1,96
|
0,36
|
35,2
|
2,65
|
|
|
|
|
a
|
8
|
8
|
|
4
|
6
|
26
|
6.5
|
|
|
|
|
d
|
2,25
|
2,25
|
|
6,25
|
0,25
|
11
|
1,66
|
|
|
|
|
Наличие собственного
транспорта
|
А
|
9
|
6
|
11
|
9
|
2
|
37
|
7,4
|
17,5
|
8
|
9
|
|
d
|
2,56
|
1,96
|
12,96
|
2,56
|
29,16
|
49,2
|
3,1
|
|
|
|
|
А
|
9
|
6
|
11
|
9
|
|
35
|
8,75
|
|
|
|
|
d
|
0,063
|
7,56
|
5,06
|
0,063
|
|
12,74
|
1,78
|
|
|
|
|
а
|
9
|
6
|
|
9
|
|
24
|
8
|
|
|
|
|
d
|
1
|
4
|
|
1
|
|
6
|
1,4
|
|
|
|
|
Договор страхования
|
А
|
10
|
7
|
7
|
8
|
3
|
35
|
7
|
32,6
|
7
|
6
|
|
d
|
9
|
0
|
0
|
1
|
16
|
26
|
2,28
|
|
|
|
|
Наличие собственного склада
|
А
|
7
|
5
|
9
|
6
|
8
|
35
|
7
|
14,9
|
7,5
|
7
|
|
d
|
0
|
25
|
4
|
1
|
1
|
31
|
2,49
|
|
|
|
|
а
|
7
|
|
9
|
6
|
8
|
30
|
7,5
|
|
|
|
|
d
|
0,25
|
|
2,25
|
2,25
|
0,25
|
5
|
1,12
|
|
|
|
|
Конкурентоспособ-ность
|
А
|
11
|
4
|
6
|
1
|
11
|
33
|
0
|
11
|
10
|
|
d
|
19,36
|
6,76
|
0,36
|
31,36
|
19,36
|
77,2
|
3,93
|
|
|
|
|
а
|
11
|
4
|
6
|
|
11
|
32
|
8
|
|
|
|
|
d
|
9
|
16
|
4
|
|
9
|
38
|
3,08
|
|
|
|
|
А
|
11
|
|
6
|
|
11
|
28
|
9,3
|
|
|
|
|
d
|
2,89
|
|
10,89
|
|
2,89
|
16,67
|
2,35
|
|
|
|
|
а
|
11
|
|
|
|
11
|
22
|
11
|
|
|
|
|
d
|
0
|
|
|
|
0
|
0
|
0
|
|
|
|
|
Имидж компании
|
а
|
5
|
10
|
10
|
2
|
5
|
32
|
6,4
|
33,3
|
7,5
|
8
|
|
d
|
1,96
|
12,96
|
12,96
|
19,36
|
1,96
|
49,2
|
3,14
|
|
|
|
|
а
|
5
|
10
|
10
|
|
5
|
30
|
7,5
|
|
|
|
|
d
|
6,25
|
6,25
|
6,25
|
|
6,25
|
25
|
2,5
|
|
|
|
|
Оперативность реагирования
на запрос клиента
|
а
|
2
|
3
|
2
|
10
|
7
|
24
|
4,8
|
23,5
|
2,3
|
2
|
|
d
|
7,84
|
3,24
|
7,84
|
27,04
|
4,84
|
50,8
|
3,18
|
|
|
|
|
а
|
2
|
3
|
2
|
|
7
|
14
|
3,5
|
|
|
|
|
d
|
2,25
|
0,25
|
2,25
|
|
12,25
|
17
|
2,06
|
|
|
|
|
а
|
2
|
3
|
2
|
|
|
7
|
2,3
|
|
|
|
|
d
|
0,0036
|
0,88
|
0,0036
|
|
|
0,89
|
0,54
|
|
|
|
|
Финансовая стабильность
|
А
|
3
|
2
|
4
|
3
|
4
|
16
|
3,2
|
23,4
|
3,2
|
3
|
|
d
|
0,04
|
1,44
|
0,64
|
0,04
|
0,64
|
2,8
|
0,75
|
|
|
|
|
Квалификация персонала
|
а
|
6
|
11
|
5
|
11
|
10
|
43
|
8,6
|
0
|
11
|
11
|
|
d
|
6,76
|
5,76
|
12,96
|
5,76
|
1,96
|
33,2
|
2,57
|
|
|
|
|
а
|
6
|
11
|
|
11
|
10
|
38
|
9,5
|
|
|
|
|
d
|
12,25
|
2,25
|
|
2,25
|
0,25
|
7
|
1,32
|
|
|
|
|
а
|
|
11
|
|
11
|
10
|
32
|
10,6
|
|
|
|
|
d
|
|
0,16
|
|
0,16
|
0,36
|
0,68
|
0,47
|
|
|
|
|
а
|
|
11
|
|
11
|
|
22
|
11
|
|
|
|
|
d
|
|
0
|
|
0
|
|
0
|
0
|
|
|
|
|
Сохранность груза и
качество перевозки
|
а
|
1
|
1
|
8
|
7
|
1
|
18
|
3,6
|
0
|
1
|
1
|
|
d
|
6,76
|
6,76
|
19,36
|
11,56
|
6,76
|
51,2
|
3,2
|
|
|
|
|
а
|
1
|
1
|
|
7
|
1
|
10
|
2,5
|
|
|
|
|
d
|
2,25
|
2,25
|
|
20,25
|
2,25
|
27
|
2,6
|
|
|
|
|
а
|
1
|
1
|
|
|
1
|
3
|
1
|
|
|
|
|
d
|
0
|
0
|
|
|
0
|
0
|
0
|
|
|
|
. Определение весовых коэффициентов (Wi) осуществляется для критериев
качества с учетом их ранга по формуле (5):
; (5)
где
- величина интервала деления шкалы удовлетворительных
оценок, рассчитываемых с учетом размаха вариации качественных оценок (R) и количества критериев (n) по формуле:
; (6)
xi - середина интервала на шкале удовлетворительных оценок,
соответствующего рангу критерия.
В данном примере наблюдаются четыре удовлетворительные оценки (от
«Отлично» до «Удовлетворительно»), возьмем величину размаха вариации R=4,4. Значит величина интервала
составит:
Отсчет рангов на шкале начинается от 0.
Тогда удельные веса критериев в общей системе оценок составит (в скобках
отмечено значение ранга критерия):
1. своевременность доставки груза
W1(2) =
=0,099;
2. стоимость доставки
W2(10) =
= 0,066;
3. Наличие собственного транспорта
W3(3) =
= 0,013;
4. Договор страхования
W4(6) =
= 0,044;
5. Наличие собственного склада
W5(7) =
= 0,030;
6. Конкурентоспособность
W6(8) =
= 0,009;
7. Имидж компании
W7(1) =
= 0,020;
8. Оперативность реагирования на запрос клиента
W8(11) =
= 0,220;
. Финансовая стабильность
W9(4) =
= 0,147;
10. Квалификация персонала
W10(5) =
= 0,006;
11. Сохранность груза
W11(9) =
= 0,327.
. Расчет количественных рейтинговых оценок (сij) осуществляется с учетом эталонных
значений критерия:
- если эталонным является наибольшее значение критерия, то используется
формула:
; (7)
где Сij -
реальное значение качественного критерия;
Сi max - наибольшее наблюдаемое значение
критерия.
- если эталонным является наименьшее значение критерия, то используется
формула:
(8)
где Сi min - наименьшее
значение критерия.
Расчет количественных оценок представлен в таблице 4.
Таблица 4
Расчет количественных оценок
|
Количественные критерии
|
Удельный вес, Wi
|
Эталонное значение
|
Оценки транспортных
компаний
|
|
|
|
ТК1
|
ТК2
|
ТК3
|
ТК4
|
|
Своевременность
|
0,099
|
С1 min= 0,8
|
0,088
|
0,099
|
0,099
|
0,088
|
|
Стоимость
|
0,066
|
С2 min = 0,65
|
0,050
|
0,061
|
0,066
|
0,061
|
|
Итого:
|
|
|
0,138
|
0,160
|
0,165
|
0,149
|
. Расчет качественных рейтинговых оценок производится посредством
использования шкалы желательности, приведенной в таблице 5. Эта шкала позволяет
присвоить качественным оценкам соответствующие количественные значения.
Таблица 5
Шкала желательности
|
Качественная оценка
|
Среднее количественное
значение
|
Качественная оценка
|
Среднее количественное
значение
|
|
Отлично
|
0,975
|
Не удовлетворит.
|
0,258
|
|
Оч. хорошо
|
0,913
|
Плохо
|
0,090
|
|
Хорошо
|
0,782
|
Оч. Плохо
|
0,033
|
|
Удовлетворит.
|
0,530
|
Скверно
|
-
|
Исходя из средних количественных значений качественных оценок по формуле
(9) определяется рейтинговая оценка транспортной компании:
; (9)
Рассчитанные значения качественных оценок приведены в таблице 6.
Таблица 6
Расчет качественных оценок
Удельный вес, Wi
|
Оценки транспортных
компаний
|
|
|
ТК1
|
ТК2
|
ТК3
|
ТК4
|
|
Конкурентоспособность
|
0,009
|
0,009
|
0,007
|
0,008
|
0,005
|
|
Имидж компании
|
0,020
|
0,018
|
0,016
|
0,018
|
0,010
|
|
Оперативность реагирования
на запрос клиента
|
0,220
|
0,172
|
0,200
|
0,214
|
0,172
|
|
Финансовая стабильность
|
0,147
|
0,134
|
0,134
|
0,115
|
0,143
|
|
Итого:
|
|
0,333
|
0,357
|
0,355
|
0,33
|
Расчет рейлерных оценок также осуществляется по формуле (9) и
предполагает выбор положительных и отрицательных влияний признака на оценку
транспортной компании: положительным показателям присваивается значение «1»,
отрицательным - «0». В таблице 7 систематизированы рейлерные рейтинговые
оценки:
Таблица 7
Расчет рейлерных оценок
|
Рейлерные значения
|
Удельный вес, Wi
|
Оценки транспортных
компаний
|
|
|
ТК1
|
ТК2
|
ТК3
|
ТК4
|
|
Наличие собственного
транспорта
|
0,013
|
0,013
|
0
|
0
|
0
|
|
Договор страхования
|
0,044
|
0,044
|
0,044
|
0
|
0,044
|
|
Наличие собственного склада
|
0,030
|
0
|
|
0,030
|
0
|
|
Итого:
|
|
0,057
|
0,044
|
0,03
|
0,044
|
Определение интегральных рейтинговых оценок систематизировано в таблице
8.
Таблица 8
Расчет интегральных рейтинговых оценок
|
Критерии
|
Оценки транспортных
компаний
|
|
ТК1
|
ТК2
|
ТК3
|
ТК4
|
|
Количественные
|
0,138
|
0,160
|
0,165
|
0,149
|
|
Качественные
|
0,333
|
0,357
|
0,355
|
0,33
|
|
Рейлерные
|
0,057
|
0,044
|
0,03
|
0,044
|
|
Интегральные оценки
|
0,528
|
0,561
|
0,55
|
0,523
|
Таким образом, наивысшим рейтингом обладает вторая транспортная компания,
а значит использовать ее услуги предпочтительнее, чем других.
ЗАКЛЮЧЕНИЕ
В данной курсовой работе было определено, что Транспортно экспедиционная
компания (ТЭК) - компания занимающаяся организацией перевозок грузов от
грузоотправителя (клиента) к грузополучателю.
Была проведена комплексная оценка качества транспортного обслуживания
методом экспертных оценок. Транспортные компании оценивались по 11 критериям,
таким как: транспортный тариф, своевременность, время доставки, частота
отправок, сохранность, гибкость, финансовая стабильность, информативность,
квалификация персонала, договор страхования, наличие сертификата.
Проведенные расчеты показали, что наивысшим рейтингом обладает
Транспортная компания «Дилижанс», а значит использовать ее услуги
предпочтительнее, чем других