Проект бетоносмесительной установки башенного типа для работы на строительных объектах
ЗАДАНИЕ
Проект бетоносмесительной установки башенного
типа для работы на строительных объектах. Производительность - 60м3/ч.
Тип смесителей - лотковый двухвальный с
горизонтально расположенными валами и объемом готового замеса ЮООл. Тип
дозаторов - весовые
Состав бетонной смеси: цемент марки - 500; песок
- фракции до 1,2мм; щебень фракции 80- 120мм.
ВВЕДЕНИЕ
Приготовление бетонной смеси обычно осуществляют
на бетонных заводах либо в передвижных бетоносмесительных установках. Применяют
также инвентарные (сборно-разборные) заводы, оборудование которых может
размещаться в укрупнённых блоках, транспортируемых на ж.д. платформах или
автоприцепах. Производительность бетонных заводов и установок, выпускаемых в
России, от 5 до 240 м3/ч. В состав бетонных заводов входят устройства для
приёма компонентов бетона из транспортных средств, склады цемента и
заполнителей, устройства для подачи материалов со складов в расходные бункеры,
расходные бункеры, дозировочное и смесительное отделения. По характеру
технологического процесса различают бетонные заводы цикличного действия, на
которых приготовление и выдача бетонной смеси ведутся последовательно
отдельными порциями, соответствующими ёмкостям бетоносмесителей, и заводы
непрерывного действия, когда основные технологические операции производятся
одновременно и готовая смесь поступает непрерывным потоком. Основные
технологические процессы на бетонных заводах - дозирование, смешение
компонентов бетонной смеси и транспортно- складские операции -
автоматизированы. Материалы с автоматизированных складов цемента и заполнителей
подаются по сигналам датчиков уровня материала в соответствующем расходном
бункере. Автоматические дозаторы по заданной рецептуре отвешивают необходимые
порции каждого компонента (на заводах цикличного действия) или выдают поток
материалов заданной производительности (на заводах непрерывного действия).
Компоненты перемешиваются в бетоносмесителях. Управление всеми технологическими
процессами осуществляется оператором дистанционно с центрального пульта. Существуют
также заводы- автоматы, приготовляющие бетонную смесь после опускания (шофёром
бетоновоза) в программно-считывающее устройство перфокарты или жетона,
содержащих код требуемого состава и количества смеси. Доставка бетонной смеси к
строительному объекту производится, как правило, автотранспортом. Помимо
автомобилей-самосвалов, применяют специально оборудованные для перевозки
бетонной смеси бетоновозы; для дальних расстояний - автобетоносмесители,
загружаемые на бетонном заводе сухими составляющими смеси и перемешивающие их с
водой в пути либо по прибытии на стройку. В автобетоносмесителях можно
транспортировать и готовую бетонную смесь. Если разгрузка бетонной смеси из
кузова автомобиля непосредственно в опалубку невозможна, то смесь разгружают в
бадьи, которые затем перемещаются к месту бетонирования кранами
(автомобильными, гусеничными, башенными и др).
Подача бетонной смеси осуществляется ленточными
транспортёрами, бетононасосами, бетоноподьёмниками, пневмонагнетателями,
виброжелобами.
ОПРЕДЕЛЕНИЕ ФОНДА РАБОЧЕГО ВРЕМЕНИ
Число рабочих дней в
году
- 365-(104+8)=253
Число смен в сутки - 2.
Число часов работы в смену при пятидневной
неделе - 8. Коэффициент использования оборудования ки = 0,92. Фонд времени
технологического оборудования при двухсменной работе
Тф.0. =253 х 2 х 8 х 0,92 = 3725ч. (1.1)
ОПРЕДЕЛЕНИЕ ЁМКОСТИ СМЕСИТЕЛЬНОГО БАРАБАНА
Ёмкость смесительного барабана л:
(2.1)
Где Р - производительность м3/ч;
п - число замесов за 1 ч работы; в - коэффициент
выхода смеси; в = 0,66 - 7 - для бетонных смесей.
Число замесов за 1 час работы
(2.2)
где t1 - время загрузки; t1 ~ 10-15 сек -
загрузка из дозаторов, бункеров;- время перемешивания; t2 ~ 90 -150 сек;- время
выгрузки; t3 ~ 15-30 сек - разгрузка опрокидного или наклоняющегося барабана.
ОПРЕДЕЛЕНИЕ ЧАСОВОЙ, СМЕННОЙ И ГОДОВОЙ
ПРОИЗВОДИТЕЛЬНОСТИ
Qчас = Qm, м3/ч, (3.1)
где Q - производительность смесителя в m3/ч;
m - число смесителей в установке.час= 50
м3/чассм = 8 Qчackи = 8x50x0,92 = 368 м3/смгол= 3697 Qчac kи = 3697x50x0,92 =
17062 м3/год
ки и ки - коэффициенты использования
оборудования в течение суток и года.
ОПРЕДЕЛЕНИЕ РАСХОДА МАТЕРИАЛОВ НА ВЫПОЛНЕНИЕ
ПРОГРАММЫ УСТАНОВКИ
Для приготовления 1м3 бетонной смеси марки 500 с
осадкой конуса 4 - 5 ,см требуется: цемента 350 кг, щебня 0,9 м; песка 0,9 м и
воды 200 л. Зная производительность установки, составляют таблицу расхода
материалов на выполнение часовой, сменной и годовой программы.
Таблица 1 Расход материалов
|
Материал
|
[Единица
|
Расход
матеоиала
|
|
|
в
час
|
в
сутки
|
в
гол
|
|
Щебень
|
М3
|
54
|
864
|
218592
|
|
Песок
|
М3
|
54
|
864
|
218592
|
|
Цемент
|
т
|
21
|
336
|
85008
|
|
Вода
|
т
|
12
|
192
|
48576
|
Емкость расходных бункеров принимается из
условия бесперебойной работы установки и обычно составит для щебня, гравия,
песка 3 - 4 ч; для цемента 2 - 3 ч. Промежуточные бункера для отдозированных
материалов имеют емкость, соответствующую одному замесу, а емкость раздаточных
бункеров - двум замесам. Нормами проектирования при доставке материалов
автомобильным транспортом устанавливается запас складов песка, щебня и гравия -
семь суток, а цемента - десять суток. При доставке материалов железнодорожным
транспортом для всех материалов запас составляет десять суток. При хранении
заполнителей в открытых штабельных складах на 1 м2 площадки при высоте штабеля
5 - 6 м размещаются 3,5 м3 материалов. Максимальная высота штабеля обычно не
превышает 12м. Наиболее распространенным складом цемента является силосный
склад, состоящий из четырех или шести складов диаметром 3; 6 м. Типовые склады
имеют емкость 240; 360; 720; 1100; 1700; 2500 и 4000 т.
ВЫБОР ПРИНЦИПИАЛЬНОЙ СХЕМЫ УСТАНОВКИ И
СОСТАВЛЕНИЕ СХЕМЫ ГРУЗОПОТОКОВ
По данным часового расхода материалов, приняв
способы транспортировки цемента и заполнителей, вычерчивают принципиальную
схему смесительной установки (рис. 5.1). Заполнители могут подаваться
ленточными конвейерами или ковшовыми элеваторами, а цемент - установками
пневматического транспорта или шнеками и элеваторами.
Рисунок 5.1 -Принципиальная схема
бетоносмесительной установки.
ОПРЕДЕЛЕНИЕ ОСНОВНЫХ РАЗМЕРОВ ЭЛЕМЕНТОВ
ТРАНСПОРТИРУЮЩИХ
УСТРОЙСТВ
Ширина транспортной ленты ленточного конвейера
определяется из условия производительности и крупности перемещаемого материала.
Ширина ленты:
(6.1)
Из условия крупности перемещаемого материала;
В ≥ 3,3аmax + 0,2м - для сортированного
материала;
В ≥ 2аmax + 0,2м- для рядового материала;-
максимальная крупность перемещаемого материала в м.
Определение потребной мощности двигателя. Длина
горизонтальной проекции конвейера (рис. 6.1)
(6.2)
Мощность на валу приводного барабанаб =
(0,0002QLr +0,004QH + 0,04LrBv) =
= (0,0002 х 100 х 45 + 0,004 х 100 х 16 + 0,04 х
45 х 0,5 х l)= 8,2кВт (6.3)
Рисунок 6.1 - Схема ленточного конвейера- длина
горизонтальной проекции конвейера в м;
Н - высота подъема материала конвейером в м;
В - ширина ленты в м;- скорость движения ленты в
м/сек.
Более точно значение потребной для привода
транспортера мощности находится расчетом, предусматриваем определение потерь
энергии на всех участках конвейера.
Размеры барабанов конвейеров с прорезиненной
лентой принимают по соотношениям:
диаметр приводного барабана D6= (120 - 150)i;
длина барабана
L6 = В +100 мм; В - ширина ленты.
Диаметр натяжного барабана D6 = 100i.
Диаметр отклоняющего барабана при натяжении
устройства на
холостой ветви D6 = (40 - 50)i.
Диаметр винта шнека, подающего цемент к
ковшовому элеватору, определяется по производительности шнека
Q = 3600Fv
kH = 3600 х 0,021 х 0,5 х1,1 х 0,3 = 13,5т/ ч.
Где F- площадь поперечного сечения потока
материала;
(6.5)
D - диаметр винта в м. D = 300мм;
кн - коэффициент наполнения желоба материалом;
кн =0,25 - 0,4;
меньшие значения принимаются для более
абразивных материалов; - скорость движения материала вдоль желоба в м/сек;
(6.6)
S - шаг винта в м; S= (0.8 - 1)D - число оборотов
винта в 1 мин; n = 40 -120 об/мин;
- объемный вес
транспортируемого материала в т/м3.
Производительность наклонного шнека снижается с
увеличением угла наклона
Q - 3,6vqk т/ч, (6.7)
где К - коэффициент снижения производительности
наклонного шнека:
к=1,при β=
0;
Диаметр винт проверяется по крупности
транспортируемого материала: ≥(4-6)амакс - дня рядового материал;
D ≥ (8-10)амакс - для сортированного
материала.
Мощность, потребная для привода винта шнека:
(6.8)
где Q - производительность в т/ч;- длина
горизонтальной проекции винта в м;
- коэффициент
сопротивления;
Н - высота транспортирования материала в м.
Зная потребную для привода мощность, можно
определить крутящий
момент на валу:
(6.9)
и окружное усилие
(6.10)
По величине крутящего момента можно определить
осевую силу, действующую вдоль винта шнека:
(6-11)
где Dср - средний диаметр винта;
- угол подъема
винтовой линии;
Ёмкость ковшей элеватора принимается исходя из
его производительности.
(6.12)
V - скорость движения ковшей в м/сек;
v = 1,25 - 2 м/сек - быстроходные элеваторы; -
шаг ковшей в м
кн - коэффициент наполнения ковшей:
кн = 0,75 - пылевидные (цемент, мел, гипс) и
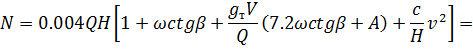
сухие мелкозернистые материалы (песок).
Скорость рабочего органа (ленты или цепи с
ковшами) принимается: v=0,5 - 2,5 м/сек. Мощность на приводном валу ковшового
элеватора
-
производительность элеватора в т/ч;- высота подъема материала в м;
- коэффициент
сопротивления:
- 0,07 -для
леншчных элеваторов;
= 0,11 - для цепных
элеваторов;
β - угол наклона
элеватора к горизонту; вec 1 пог. м тягового органа с ковшами в кг.
Предварительно значение g можно принимать в
зависимости от
величины производительности Q в т/ч:
gT = kQ=0,6x13,5=79,4 Н/м, (6 13)
k=0,6 - для одноцепных элеваторов- коэффициент,
зависящий от типа элеватора
А ≈ 1.1 - цепные элеваторы с закругленными
ковшами;
с - коэффициент, характеризующий потери на
зачерпывании:
с ≈ 0,25 - пылевидные и мелкозернистые материалы;
ОПРЕДЕЛЕНИЕ ОСНОВНЫХ РАЗМЕРОВ БУНКЕРОВ
Наиболее часто в смесительных установках
принимают комбинированные пирамидальные бункера, а на складах цемента -
цилиндро-конические. бетоносмесительная
установка производительность материал
Геометрический объем комбинированного пирами
дельного бункера (рис. 7.1) определяется формулой
v = Vпризм+
Vпирамид
= h2 bb' + h1/6[(2b + a)b' + (2a + b)a'] (7.1)
где h - высота призматической части бункера в
м;и Ь' - размеры призматической части бункера в плане в м; - высота
пирамидальной части бункера в м;
а и а' - размеры узкой части бункера в плане в
м.
При квадратных верхнем и нижнем отверстиях объём
комбинированного бункера равен:

При одинаковом объеме пирамидальные бункера
имеют меньшую боковую
поверхность, чем комбинированные бункера.
Размеры выпускных отверстий бункеров зависят в
Значительной степени от физических свойств материала. Размер наименьшего квадратного
или круглого выпускного отверстия определяется формулой
(7.3)
ац= 225 мм
ап = 150 мм
ащ = 650 мм
где k = 2,6 для сортированного материала;
k = 2,4 для рядового материала;
аmax - размер максимальных кусков в мм; ° - угол
естественного откоса материала в покое.
Пропускная способность бункера проверяется
формулой '=3600 Fv м3/ч,
где F - площадь выпускного отверстия в мг;-
скорость истечения материала в м/сек; v ~ 0,5 - 2 м/сек,
меньшие значения - для рядовых влажных
материалов; большие - для сухих сортированных. '=182,25 м3/ч,
Углы наклона стенок (граней) бункера к
горизонту= p1° +(5 +10°)= 28+ 7 = 35° (7.4)
где Pi° - угол естественного откоса материала в
покое.
Углы наклона ребер бункера к горизонту
a1 =
+
(5 / 10°)= 30 + 7 = 37° (7.5)
где
- угол трения материала о стенки бункера.
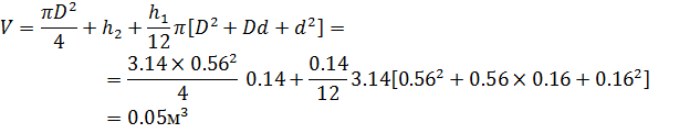
Геометрический объем цилиндро-конического
бункера определяется формулой
где h1 - высота конической части бункера в м;-
высота цилиндрической части бункера в м;и d - диаметры верхнего и нижнего
оснований конуса в м.
Между высотой конической части бункера и его
диаметрами имеется зависимость
(7.7)
где а- угол наклона образующей к горизонту;
а = р1 + (5/10°)= 28 + 7 = 35° (7.8)
р1 - угол естественного откоса материала в покое
Боковая поверхность конической части бункера
(7.9)
Боковая поверхность цилиндрической части бункера
S2 =
=3,14
x 0,56 х 0,14 = 0,24м2 (7.10)
КОМПОНОВКА ОБОРУДОВАНИЯ