Выборочный метод получения данных

  • Вид работы:
    Курсовая работа (т)
  • Предмет:
    Социология
  • Язык:
    Русский
    ,
    Формат файла:
    MS Word
    34,15 Кб
  • Опубликовано:
    2014-04-27
Вы можете узнать стоимость помощи в написании студенческой работы.
Помощь в написании работы, которую точно примут!

Выборочный метод получения данных

Харьковская государственная академия культуры

Кафедра менеджмента социально-культурной деятельности

Направление подготовки «Культура»

Специальность «Менеджмент социокультурной деятельности»






КУРСОВА РОБОТА

По предмету «Методы социальных исследований»

на тему:

Выборочный метод получения данных



Студентки 5 курса группы 6-Т

Алексеевой Н.А.

Руководитель: пр. Васильева О.В.





м. Харьков - 2014 г.

СОДЕРЖАНИЕ

ВВЕДЕНИЕ

РАЗДЕЛ 1. ТЕОРЕТИЧЕСКИЕ ОСНОВЫ ВЫБОРОЧНОГО МЕТОДА СБОРА ДАННЫХ И ЕГО РОЛЬ В МАРКЕТИНГОВЫХ ИССЛЕДОВАНИЯХ

.1   Понятие и сущность выборочного метода исследования

1.2     Основные ошибки выборочного исследования

Выводы к разделу 1

РАЗДЕЛ 2. ПРАКТИЧЕСКОЕ ПРИМЕНЕНИЕ ВЫБОРОЧНОГО МЕТОДА ИССЛЕДОВАНИЯ

.1 Определение необходимого объема выборки

.2 Применение метода выборочного сбора данных в исследовании клиентов службы занятости

Выводы к разделу 2

ЗАКЛЮЧЕНИЕ

СПИСОК ИСПОЛЬЗОВАННОЙ ЛИТЕРАТУРЫ

ВВЕДЕНИЕ

Актуальность темы курсовой работы. Задача построения выборки возникает всякий раз, когда необходимо собрать информацию о некоторой группе или большой совокупности людей. Практически ни одно исследование, даже при самых идеальных условиях (неограниченный финансовый бюджет, продолжительный запас времени, относительная простота цели и задач), не опирается на стопроцентное изучение генеральной совокупности. Большинство маркетинговых исследований представляют собой аналитические выводы о едином целом, основанные на изучении только лишь части этого целого. В таких случаях используется выборочный метод сбора данных, который позволяет сократить объем работы (за счет уменьшения числа наблюдения), сэкономить силы и средства, получать информацию о таких совокупностях, полное обследование которых практически невозможно или нецелесообразно. Перечисленные преимущества выборочного метода обуславливают актуальность изучения его применения в маркетинговых исследованиях в данной курсовой работе.

Цель курсовой работы - определить возможности практического применения выборочного метода в работе предприятий социокультурной деятельности.

Достижение цели предусматривает постановку и выполнение следующих задач:

.   определить понятие и сущность выборочного метода маркетинговых исследований;

2.       рассмотреть основные ошибки, которые допускаются при проведении выборочного исследования;

.        выяснить, каким образом определяется необходимый объем выборки;

.        проанализировать эффективность применения выборочного метода на практике.

Объект курсовой работы - методология маркетинговых исследований.

Предмет - выборочный метод получения данных.

Структура курсовой работы обусловлена поставленными целью и задачами. Работа состоит из введения, двух разделов, выводов к разделам, общих выводов, списка использованной литературы.

РАЗДЕЛ 1. ТЕОРЕТИЧЕСКИЕ ОСНОВЫ ВЫБОРОЧНОГО МЕТОДА СБОРА ДАННЫХ И ЕГО РОЛЬ В МАРКЕТИНГОВЫХ ИССЛЕДОВАНИЯХ

.1 Понятие и сущность выборочного метода исследования

Одной из задач, которая стоит перед маркетологом при проведении исследования, является сбор необходимых эмпирических данных об объекте исследования. Опрос и другие виды наблюдений, используемые в маркетинговых исследованиях, могут быть сплошными или выборочными. Сплошное наблюдение преимущественно ограничивается рамками фирмы и используется сравнительно нечасто. Основным способом получения данных, особенно о потребителях, является выборочный метод. Суть выборочного метода заключается в том, что исследованию подвергается только часть генеральной совокупности (до 5-10, изредка до 15-25%) [4, с. 38], которая называется выборочной совокупностью. Примером использования выборочного метода исследования является оценка возможности проникновения на рынок при помощи выборки среди фирм-производителей.

Преимущества выборочного метода заключаются в том, что его использование дает возможность лучше организовать наблюдение, обеспечивает проведение исследования в сжатые сроки, с минимальными трудовыми и материальными затратами. Кроме того, выборочный метод позволяет повысить достоверность результатов исследования, что обуславливается возможностью привлечения персонала более высокого уровня и применения различных процедур контроля качества получаемой информации. Еще одним преимуществом использования выборочного метода является широкая область его применения. Широта области применения выборочного метода объясняется тем, что небольшой (по сравнению с генеральной совокупностью) объем выборки позволяет использовать более сложные методы обследования, включая использование различных технических средств (например, видео- и аудиоаппаратуры).

При более детальном рассмотрении выборочного метода, следует различать такие понятия, как единицы отбора и единицы наблюдения.

Единицами отбора являются единицы или группы единиц генеральной совокупности, отбираемые на каждом этапе формирования выборочной совокупности.

Единицы наблюдения - это отобранные единицы генеральной совокупности, характеристики которых непосредственно измеряются. Если выборка проходит в несколько этапов (многоступенчатая выборка), то единицы отбора и единицы наблюдения могут не совпадать [6, с. 47]. В курсовой работе мы будем рассматривать только одноступенчатую выборку, т. е. выборку, проходящую в один этап.

Развитие теории вероятностей позволило теоретически обосновать возможность применения выборочного метода. В основе теоретического обоснования выборочного метода лежит так называемый закон больших чисел. Физический смысл этого закона можно выразить следующим образом: «при очень большом числе случайных явлений средний их результат практически перестает быть случайным и может быть предсказан с большой степенью определенности» [6, с. 52].

Также это дало возможность определять ошибку репрезентативности. Репрезентативностью выборочной совокупности называется ее способность адекватно представлять (репрезентировать) характеристики генеральной совокупности. Ошибкой репрезентативности, как правило, называют отклонение выборочного среднего значения признака от генерального. Важно учитывать, что при помощи выборочного метода никогда нельзя получить абсолютно точную оценку наблюдаемого признака, всегда существует вероятность ошибки, но, если вероятность ошибки мала, то она скорее всего не произойдет [6, с. 56].

Разделяют два типа ошибок. Случайная (статистическая) ошибка - это ошибка, которая возникает вследствие случайной вариации значений, вызванной тем, что наблюдается только часть единиц, а не вся генеральная совокупность [11, с. 10]. Случайные ошибки уменьшаются с увеличением объема выборочной совокупности. Случайную ошибку можно измерить методами математической статистики, если при формировании выборочной совокупности соблюдался принцип случайности.

Принцип случайности заключается в следующем: каждый элемент генеральной совокупности имеет равную и отличную от нуля вероятность попасть в выборочную совокупность [11, с. 12]. Иными словами, термин «случайный» употребляется здесь и далее как синоним слова «равновероятный». Для соблюдения принципа случайности формирование выборочной совокупности должно проходить по строго определенным правилам, которые составляют метод формирования выборочной совокупности.

На практике принцип случайности соблюсти очень сложно, а иногда просто невозможно, что приводит к появлению систематической ошибки. Систематическая ошибка - это неконтролируемые перекосы в распределении выборочных наблюдений [11, с. 13]. Число опрошенных не влияет на величину систематической ошибки.

Выборочное наблюдение является наиболее распространенным видом несплошного наблюдения, применяемым при изучении различных закономерностей общественной жизни. Отличие его от других видов несплошного наблюдения состоит в том, что его проведение и распространение результатов на всю массу исследуемых явлений опирается на знание математики. Применение его дает возможность значительно быстрее с меньшими затратами времени и материальных средств получить результаты. Выборочный метод позволяет обследовать семейные бюджеты населения, изучить общественное мнение [11, с. 13]. При исследовании некоторых явлений вообще можно применить только его. Например, изучение качества электрических лампочек, качества вина, прочности обуви или сходства зерен.

Кроме того, в последнее время выборочные наблюдения все шире применяются при исследованиях различных правовых явлений. Это обусловлено, в первую очередь, тем, что сплошное наблюдение, которое существует в форме отчетности, при всех своих преимуществах имеет некоторые недостатки. Она содержит только те показатели, которые необходимы для повседневной оперативной работы. Но, если необходимо углубленное изучение отдельных видов преступлений, гражданских и административных правонарушений и особенности лиц, их совершивших, то целесообразно прибегать к выборочному наблюдению [23, с. 75].

Как мы уже упоминали в начале параграфа, сущность выборочного наблюдения состоит в том, что из всей совокупности по определенным правилам отбирается заранее обусловленная часть совокупности (каждая четвертая, или пятая, или десятая единица), которая тщательно изучается. Результаты этого частичного наблюдения распространяются на всю генеральную совокупность с учетом погрешности репрезентативности. При отборе единиц в выборочную совокупность должна быть обеспечена равная возможность попасть в выборку каждой из единиц совокупности [4, с. 173].

Выборочное наблюдение может использовать различные источники. Например, в исследовании правовых нарушений источниками могут быть: архивные уголовные и гражданские дела; карточки на подсудимых, карточки на гражданские и административные дела, рассмотренные в судебных органах и т.п. [23, с. 78]. Единственное ограничение при отборе источников информации - отборная часть для выборочного наблюдения должна отражать всю совокупность. Это ограничение необходимо для любого выборочного наблюдения, в какой бы из отраслей хозяйства оно не проводилось.

Необходимо заметить, что существуют различные способы отбора. В зависимости от способа отбора различают выборки следующих типов:

·  собственно случайный отбор - состоит в отборе случайно попавших единиц совокупности;

·        механический отбор - когда все единицы наблюдаемой совокупности располагают в определенной последовательности (по номерам, по алфавиту и т. д.), единицы выбирают через определенный промежуток;

·        типический отбор - состоит в том, что все единицы совокупности предварительно распределяют на группы по какому-либо типичному признаку, после чего из каждой типической группы отбирают единицы для обследования;

·        серийная выборка - применяют сразу два вида отбора.

Рассмотрим образование случайных выборок с возвратом и без возврата. Если выборка производится из массы изделий (например, из ящика), то после тщательного перемешивания следует брать объекты случайно, т.е. так, чтобы они все имели одинаковую вероятность попасть в выборку. Часто для образования случайной выборки элементы генеральной совокупности предварительно нумеруются, а каждый номер записывается на отдельной карточке. В результате получается пачка карточек, число которых совпадает с объемом генеральной совокупности. После тщательного перемешивания из этой пачки берут по одной карточке. Объект, имеющий одинаковый номер с карточкой считается попавшим в выборку. При этом возможны два принципиально различных способа образования выборочной совокупности [10, с. 82].

Первый способ - вынутая карточка после фиксации ее номера возвращается в пачку, после чего карточки снова тщательно перемешиваются. Повторяя такие выборки по одной карточке, можно образовать выборочную совокупность любого объема. Выборочная совокупность, образованная по такой схеме, получила название случайной выборки с возвратом.

Второй способ - каждая вынутая карточка после ее записи обратно не возвращается. Повторяя по такой схеме выборки по одной карточке, можно получить выборочную совокупность любого заданного объема. Выборочную совокупность, образованную по данной схеме называют случайной выборкой без возврата. Случайная выборка без возврата образуется в том случае, если из тщательно перемешанной пачки сразу берут нужное число карточек [10, с. 85].

Однако при большом объеме генеральной совокупности описанный выше способ образования случайной выборки с возвратом и без возврата оказывается очень трудоемким. В этом случае пользуются таблицами случайных чисел, в которых числа расположены в случайном порядке. Для того, чтобы отобрать, например, 50 объектов из пронумерованной генеральной совокупности, открывают любую страницу таблицы случайных чисел и выписывают подряд 50 случайных чисел. В выборку попадают те объекты, номера которых совпадают с выписанными случайными числами, если случайное число таблицы окажется больше объема генеральной совокупности, то такое число пропускают.

Заметим, что различие между случайными выборками с возвратом и без возврата стирается, если они составляют незначительную часть большой генеральной совокупности [10, с. 92].

При механическом способе образования выборочной совокупности, подлежащие обследованию элементы генеральной совокупности отбираются через определенный интервал. Так, например, если выборка должна составлять 50% генеральной совокупности, то отбирается каждый второй элемент генеральной совокупности. Если выборка десяти процентная, то отбирается каждый десятый ее элемент и т.д.

Следует отметить, что иногда механический отбор может не обеспечить репрезентативной выборки. Например, если отбирается каждый двенадцатый обтачиваемый валик, причем сразу же после отбора производят замену резца, то отобранными окажутся все валики, обточенные затупленными резцами. В таком случае необходимо устранить совпадение ритма отбора с ритмом замены резца, для чего следует отбирать хотя бы каждый десятый валик из двенадцати обточенных [10, с. 96].

При большом количестве выпускаемой однородной продукции, когда в ее изготовлении принимают участие различные станки, и даже цеха, для образования репрезентативной выборки пользуются типическим способом отбора. В этом случае, генеральную совокупность предварительно разбивают на непересекающиеся группы. Затем из каждой группы, по схеме случайной выборки с возвратом или без возврата отбирают определенной число элементов. Они и образуют выборочную совокупность, которая называется типической.

Пусть, например, выборочным путем исследуется продукция цеха, в котором имеются 10 станков, производящих одну и ту же продукцию. Пользуясь схемой случайной выборки с возвратом или без возврата, отбирают изделия, сначала из продукции, сделанной на первом, затем на втором и т.д. станках. Такой способ отбора позволяет образовать типическую выборку.

Иногда на практике бывает целесообразно пользоваться серийным способом отбора, идея которого заключается в том, что генеральную совокупность разбивают на некоторое количество непересекающихся серий и по схеме случайной выборки с возвратом или без возврата контролируют все элементы лишь отобранных серий. Например, если изделия изготовляются большой группой станков-автоматов, то сплошному обследованию подвергают продукцию только нескольких станков. Серийным отбором пользуются в случае, если обследуемый признак колеблется в различных сериях незначительно [1, с. 234].

О том, какому способу отбора следует отдать предпочтение в той или иной ситуации, следует судить, исходя из требований поставленной задачи и условий. Заметим, что на практике при составлении выборки часто используют одновременно несколько способов отбора в комплексе.

.2 Основные ошибки выборочного исследования

В первом параграфе мы уже говорили о том, что выборочный метод имеет очевидные преимущества перед сплошным изучением генеральной совокупности, т.к. сокращает объем работы (за счет уменьшения числа наблюдения), позволяет экономить силы и средства, получать информацию о таких совокупностях, полное обследование которых практически невозможно или нецелесообразно.

Опыт показывает, что правильно произведенная выборка довольно хорошо представляет или репрезентирует структуру и состояние генеральной совокупности. Однако полного совпадения выборочных данных с данными обработки генеральной совокупности, как правило, не бывает. В этом и заключается слабая сторона использования выборочного метода [26, с. 29].

При выборочном наблюдении возможны ошибки регистрации и ошибки выборки (репрезентативности).

Ошибки регистрации, как и при сплошном наблюдении, представляют собой расхождение между зафиксированными данными в процессе наблюдения и действительными данными. Они могут быть случайными и систематическими. Как правило, ошибки регистрации при выборочном наблюдении встречаются редко, т.к. значительно меньший объем работы приходится на одного регистратора, а сами регистраторы всегда более квалифицированные, чем при проведении сплошного наблюдения [6, с. 92].

Как отмечалось ранее, погрешности репрезентативности присущи любому избирательному наблюдению. Задача организации правильного проведения выборочного наблюдения - это выбор такой погрешности репрезентативности, которая бы удовлетворяла исследователя при данном наблюдении.

Прежде чем перейти к более детальному рассмотрению возможных ошибок при использовании выборочного метода наблюдения, следует ознакомиться с обозначениями показателей генеральной и выборочной совокупности (таблица 1).

Таблица 1.1

Обозначение показателей генеральной и выборочной совокупности

Показатели

Обозначение


в генеральной совокупности

в выборочной совокупности

Количество единиц

N

n

Среднее значение признака

Часть единиц, имеющих данный признак

p

w

Часть единиц, не имеющих данный признак

q = 1 - p

q = 1 - w


При проведении выборочного исследования, необходимо соблюдать определенные правила его организации и проведения. Прежде всего, это должен быть беспристрастный, случайный отбор единиц для наблюдения. Выборочная совокупность должна полностью воспроизводить состав генеральной совокупности [6, с. 95]. Кроме того, при проведении выборочного исследования следует опираться на знания закона больших чисел и теории вероятности.

Как бы ни производился отбор единиц совокупности, всегда будут расхождения между характеристиками генеральной и выборочной совокупностей. Часть всегда отличается от целого. Выше мы уже упоминали, что расхождения между показателями генеральной и выборочной совокупностей называется погрешностью репрезентативности (формула 1.1). Средняя в генеральной совокупности отличается от средней в выборочной совокупности на величину погрешности репрезентативности:

= , (1,1)

где:  - ошибка репрезентативности.

Например, после проведения выборочного наблюдения выяснилось, что средний возраст рецидивистов равен 32 годам. Погрешность репрезентативности составляет  5%, иначе говоря - 1,6 года. Средний возраст рецидивистов во всей совокупности, если изучить их всех, равен 32  1,6, т.е. он будет колебаться в пределах от 30,4 года до 33,6 лет [23, с. 81].

Согласно теореме Чебышева с уточнениями Ляпунова, математикой было доказано, что при достаточно большом количестве обследованных единиц совокупности средняя величина исследуемого признака в выборочной совокупности будет отличаться от средней величины в генеральной совокупности на величину (формула 1.2):

, 1.2

где  - предельная ошибка выборки, т.е. погрешность репрезентативности;  - средняя ошибка выборки; t - коэффициент, зависящий от вероятности, с которой можно гарантировать определенный размер погрешности репрезентативности.

Если t = 0, то вероятность также равна 0; если t = 0,5, то вероятность равна 0,383, или 38,3%; если t = 1, то вероятность равна 0,683, или 68,3%; если t = 2, то вероятность равна 0,954, или 95,4%; если t = 3, то вероятность равна 0,997 или 99,7%; если t = 4, то вероятность составляет 0,999936 и т. п.

При этом стоит учесть, что данный коэффициент может принимать не только целые числа, но и дробные значения.

Из приведенной формулы видно, что погрешность репрезентативности зависит от многих факторов: вероятности, с которой мы желаем получить результат; численности единиц выборочной совокупности (чем меньше единиц составляет выборочную совокупность, тем больше будет погрешность репрезентативности, и наоборот); однородности изучаемой совокупности (чем более разнородная совокупность, тем погрешность репрезентативности будет больше) и от способа отбора единиц в выборочную совокупность [10, с. 102].

Как правило, при проведении выборочного наблюдения перед исследователем для успешного его проведения необходимо определить количество единиц выборочной совокупности и расчет погрешности репрезентативности с установленным уровнем вероятности.

Многолетняя практика свидетельствует, что доверительная вероятность 95,4% (для t = 2) является оптимальной для большинства расчетов в различных отраслях хозяйствования. Поэтому для облегчения довольно громоздких расчетов погрешности выборочного наблюдения существуют специальные таблицы: пределы погрешности при определенном числе наблюдений с доверительной вероятностью 95,4% (таблица 1.2), определение численности выборочного наблюдения при заданной величине погрешности репрезентативности с доверительной вероятностью 95,4% (таблица 1.3).

Таблица 1.2

Величина погрешности выборки при данном числе наблюдений

Искомая величина наблюдений, %

Число наблюдений


100

200

300

400

500

600

700

800

900

1000

5 (95)

4,4

3,1

2,8

2,5

1,9

1,8

1,6

1,5

1,4

1,4

10 (90)

6,0

4,3

3,5

3,0

2,7

2,5

2,3

2,1

2,0

1,9

15 (85)

7,2

5,1

4,1

3,6

3,2

2,9

2,7

2,5

2,4

2,3

20 (80)

8,0

5,7

4,6

4,0

3,6

3,3

3,0

2,8

2,7

2,5

25 (75)

8,7

6,2

5,0

4,3

3,9

3,5

3,3

3,1

2,9

2,7

30 (70)

9,2

6,5

5,3

4,6

4,1

3,7

3,5

3,2

3,1

2,9

35 (65)

9,6

6,8

5,5

4,8

4,3

3,9

3,6

3,4

3,2

3,0

40 (60)

9,9

7,0

5,6

4,9

4,4

4,0

3,7

3,5

3,3

3,1

45 (55)

10,0

7,1

5,7

5,0

4,5

4,1

3,8

3,5

3,3

3,1

50

10,0

7,1

5,8

5,0

4,5

4,1

3,8

3,5

3,3

3,2


На основании данных, приведенных в таблице 1.2, видно, что чем больше единиц попадает в выборочную совокупность, тем меньше будет возможная погрешность выборки.

В маркетинговых исследованиях, как правило, задается процент погрешности среднего значения самим исследователем на основе программы наблюдения и в соответствии с данными ранее проведенных исследований. Как правило, считается допустимой предельная ошибка выборки в пределах 3-5%.

Если допустить погрешность в два раза большую, то объем выборки можно уменьшить в четыре раза и наоборот, если необходимо уменьшить погрешность выборки в два раза, то объем выборки нужно увеличить в четыре раза. Следует обратить внимание, что таблица 1.2 построена для собственно случайного способа отбора единиц в выборочную совокупность, поэтому ее с большей степенью достоверности можно использовать при механическом и типичном способах отбора единиц в выборочную совокупность. При серийном способе отбора единиц в выборку использовать данные, приведенные в таблицах 1.2 и 1.3, нельзя.

Таблица 1.2 дает возможность ответить на вопрос, какое минимальное число единиц совокупности необходимо включить в выборочную совокупность, чтобы ожидаемый результат погрешности репрезентативности колебался в установленных пределах.

Важнейшая задача при проведении выборочного исследования социокультурных явлений - это определение репрезентативного объема, т. е. сколько необходимо проанализировать единиц из генеральной совокупности, чтобы полученная случайная погрешность среднего значения исследуемого признака не превосходила определенной величины погрешности репрезентативности с достаточной вероятностью [19, с. 147].

Опираясь на математические теоремы закона больших чисел, можно установить, что при уменьшении объема выборки в несколько квадратов раз, ошибка среднего значения увеличивается во столько же раз, и наоборот, при уменьшении погрешности среднего значения выборки в несколько раз, объем выборки увеличивается во столько же квадратов раз. Следовательно, определение величины погрешности среднего значения признака для установления объема выборки имеет большое значение [11, с. 93].

Важно знать, что главное при организации выборочного наблюдения - это доведение объема его до допустимого минимума. При этом не следует стремиться к чрезмерному уменьшению пределов погрешности выборки, т. к. это может привести к неоправданному увеличению объема выборки и, следовательно, к повышению затрат на проведение выборочного наблюдения. В то же время нельзя и чрезмерно увеличивать размер погрешности репрезентативности, т.к. в этом случае хоть и произойдет уменьшение объема выборочной совокупности, но это приведет к ухудшению достоверности полученных результатов [11, с. 95].

Таблица 1.3

Объем выборочной совокупности при заданной погрешности репрезентативности

Искомая величина, %

Величина погрешности репрезентативности, %


1

2

3

4

5

10

10

3600

900

400

230

150

37

20

6400

1600

710

400

260

65

40

9600

2400

1070

600

390

97

45

9900

2500

1100

620

400

100

55

9900

2500

1100

620

400

100

65

9100

2300

1010

570

370

92

70

8400

2100

930

530

340

85

80

6400

1600

710

400

260

65


Приведем пример определения численности выборки на основе таблицы 1.3. Предположим, что величина исследуемого показателя равна 40%, а погрешность репрезентативности, которую считаем допустимым при данном исследовании, не должна быть более 4%.

По таблице 1.3 определяем, что минимальный объем выборочной совокупности должен составить 600. Итак, чтобы наше выборочное исследование было репрезентативным с доверительной вероятностью в 95,4% при наших исходных данных, нам необходимо обследовать минимум 600 единиц.

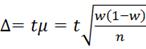
Если таблицы 1.2 и 1.3 отсутствуют, то в этом случае объем выборочной совокупности вычисляется при помощи формулы 1.3

, 1.3

где: n - объем выборочной совокупности; w - часть единиц, имеющих данный признак; t - коэффициент; - погрешность репрезентативности.

Например, в выборочную совокупность необходимо взять 470-500 единиц, чтобы с вероятностью 95,4% можно было утверждать, что погрешность репрезентативности при исчислении доли совокупности не будет отклоняться более чем на 4%, если известно, что значение доли в совокупности достигает 25%, т.е. По вышеприведенной формуле:

.

В большинстве случаев при выборочных исследованиях данные анализируют и собирают не по одному, а по нескольким признакам одновременно. В этом случае необходимый объем выборочной совокупности определяется по каждому из этих признаков, а затем принимается для исследования максимальная величина по одному из наиболее существенных признаков.

Выводы к разделу 1

Для получения исчерпывающей информации о состоянии той или иной статистической совокупности, нужно учесть весь ее состав без исключения. Так иногда и поступают, например, при государственных переписях населения, при поголовном учете животных той или иной породы (вида) в стране, при полной регистрации больных в данной местности и в других случаях, когда возникает необходимость иметь точные данные о состоянии изучаемого явления. Однако, в силу разных обстоятельств, не всегда целесообразно использовать сплошной метод исследования изучаемой совокупности. Во-первых, потому что эта работа сопряжена с большими затратами труда, времени и денег, а во-вторых, ввиду практической невозможности или ненужности полного учета всех членов совокупности. Поэтому вместо сплошного учета всех членов изучаемой совокупности, анализу подвергается обычно какая-то ее часть, по которой и судят о состоянии всей совокупности в целом.

Сущность выборочного метода заключается в том, чтобы по свойствам части (выборки) судить о численных характеристиках целого (генеральной совокупности). Основу выборочного метода составляет та внутренняя связь, которая существует в популяциях между единичным и общим, частью и целым.

Выборочный метод имеет очевидные преимущества перед сплошным изучением генеральной совокупности, т.к. сокращает объем работы (за счет уменьшения числа наблюдений), позволяет экономить силы и средства, получать информацию о таких совокупностях, полное исследование которых практически невозможно или нецелесообразно.

Многочисленная практика показывает, что правильно произведенная выборка довольно хорошо представляет структуру и состояние генеральной совокупности. Однако полного совпадения выборочных данных с данными обработки генеральной совокупности, как правило, не бывает. В этом и заключается недостаток выборочного метода, на фоне которого видны преимущества сплошного описания генеральной совокупности.

выборочный маркетинговый социокультурный

РАЗДЕЛ 2. ПРАКТИЧЕСКОЕ ПРИМЕНЕНИЕ ВЫБОРОЧНОГО МЕТОДА ИССЛЕДОВАНИЯ

.1 Определение необходимого объема выборки

Существует множество методов определения необходимого объема выборки для проведения исследований. Определение метода выборки всегда является компромиссным решением между необходимостью обеспечить максимальную репрезентативность выборки и минимизировать затраты на проведении исследований.

Важно отметить тот факт, что прямой зависимости между объемом выборки и ее репрезентативности нет. Тем не менее, даже правильно составленная выборка может дать ложные результаты, если ее объем будет слишком мал. С другой стороны, слишком большой объем выборки грозит предприятию, проводящему исследование, огромными затратами [8, с. 152].

Чтобы установить необходимый объем выборки следует учесть несколько факторов. Один из наиболее важных - гомогенность (однородность) - степень близости друг к другу членов данной совокупности с точки зрения изучаемых характеристик. Если каждая единица в совокупности в точности такая же, как все остальные, то выбрав всего лишь одну из них, можно получить действительно репрезентативную выборку. Напротив, если каждая единица в совокупности абсолютно не похожа ни на одну из других, то, прежде чем мы сможем утверждать, что у нас имеется репрезентативная выборка, нам потребуется провести перепись всей совокупности. В первом случае совокупность называют полностью гомогенной, во втором - полностью гетерогенной. Разумеется, в действительности большинство совокупностей располагается между этими двумя полюсами [16, с. 173].

Чем гомогеннее данная совокупность, т. е. чем меньше различий между ее членами, тем меньше по объему выборка необходима для ее представления. Напротив, чем гетерогеннее совокупность, тем больше выборка необходима для ее представления. Это особенно важно учитывать при стратифицированном формировании выборки, поскольку самим актом стратификации мы создаем подгруппы, более гомогенные, чем совокупность в целом [16, с. 175]. Таким образом, внутри уровней можно использовать, не теряя при этом репрезентативности, выборки меньшего объема, чем следовало бы для всей совокупности.

Сходным образом, чем больше категорий мы хотим исследовать, тем больше должна быть выборка. Это вполне естественно, поскольку, увеличивая разнообразие и тонкость наших измерений, мы подчеркиваем гетерогенность исследуемой совокупности. Иными словами, чем больше вопросов мы задаем и чем больше типов ответов допускаем, тем больше вероятность того, что мы обнаружим различия между исследуемыми объектами. Чем больше различий между объектами мы принимаем во внимание, тем больше объектов мы должны изучить, чтобы выборка получилась репрезентативной [16, с. 176].

Еще одно важное соображение касается степени точности, которая нам требуется. Мы используем выборку для оценки характеристик больших совокупностей, однако любая оценка может содержать ошибку. То, какую ошибку выборки мы готовы допустить, часто зависит от предполагаемого использования результатов. Если мы получаем деньги за то, что проводим опрос общественного мнения для предсказания результатов выборов, в которых участвуют кандидаты с близкими шансами, мы, скорее всего, захотим иметь минимальную величину ошибки. Если же мы политологи и пытаемся раскрыть основные тенденции в области отношений и поступков людей, мы, видимо, согласимся допустить существенно большую величину ошибки. Вообще, чем большая точность нам требуется, тем больше должна быть наша выборка.

С этой же проблемой связана и вторая проблема: насколько можно быть уверенными в правильности оценки величины ошибки выборки. Здесь существенны следующие моменты. Каждая выборка дает некоторую оценку характеристик совокупности, однако вследствие того, что никакие две выборки не будут в точности одинаковы, эти оценки будут несколько отличаться одна от другой и от оценки совокупности в целом. Это последнее отличие и есть ошибка выборки. Большинство выборок данного объема, взятых из одних и тех же совокупностей, будут очень похожи друг на друга и на саму совокупность, однако может случиться и так, что сформированная выборка будет отличаться от прочих. Может оказаться, что входящие в ее состав женщины, пожилые люди, республиканцы, выпускники колледжей и т. п. включены в таком количестве, которое не отражает реальной доли этих групп в соответствующих совокупностях. Такая выборка, естественно, не будет репрезентативной: она выйдет за рамки допустимой величины ошибки [16, с. 180].

Проблема заключается в том, что в реальной действительности не всегда известны внутренние параметры совокупности, для оценки которых предназначена выборка (зачастую установление таких параметров и является целью исследования). Не смотря на имеющуюся возможность проконтролировать очевидную валидность выборки, проведя сравнение с другими исследованиями той же самой совокупности или совокупности, похожей на данную, до конца нельзя быть уверенным, что выборка не случайное исключение, что она нерепрезентативна (это мало вероятно, но возможно). Однако из практики известно, что вероятность вытащить из горы яблок гнилое, можно снизить, если увеличить объем выборки. Чем больше объектов мы включим, тем выше вероятность того, что будет получена истинно репрезентативная выборка, которая действительно не выйдет за рамки заданной величины ошибки.

Для примера рассмотрим краткие характеристики выборок разного объема, представленные в таблице 2.1. В ней перечислены минимальные объемы выборок, соответствующие нескольким уровням ошибки выборки, и степени уверенности для случая простой случайной выборки при относительно гетерогенной совокупности объемом более 100000 объектов.

Таблица 2.1

Характеристики выборок разного объема

Допустимый процент ошибки выборки

Степень уверенности

+


0,95

0,99*

1

10000

22500

2

2500

5625

3

1111

2500

4

625

1406

5

400

900

10

-


*Для большей наглядности имеющееся в исходной таблице значение 0,997 округлено до 0,99.

Эту таблицу возможно использовать двумя методами.

Мы можем задать определенный уровень ошибки выборки, который согласны допустить, и степень уверенности, с которой будем действовать. Предположим, что взяты, соответственно, числа ±4% и 0,99. Первое число означает, что любое измерение, которое мы могли бы произвести в нашей выборке, отклоняется не более чем на четыре процента вверх или вниз от истинного значения того же признака в более обширной совокупности. Если, например, установить, что в проводимом исследовании 43% респондентов сообщают о своей солидарности с демократической партией, мы будем считать, что в случае полной переписи населения реальное количество приверженцев демократической партии будет составлять 43% ± 4% или находиться в пределах приблизительно от 39 до 47%. В соответствии с таблицей (если посмотреть на пересечение строки ± 4% и столбца 0,99) для достижения данной степени точности с уверенностью 99% мы должны иметь выборку, состоящую по крайней мере из 1406 объектов. Если мы хотим уменьшить величину ошибки (повысить точность) до, скажем, ± 2% (т.е. оценить количество демократов более точно, в пределах от 41 до 45%), мы должны увеличить объем выборки, по крайней мере, до 5625 объектов. Из таблицы отчетливо видно, что при любой степени уверенности повышение точности требует увеличения выборки [16, с. 185].

Второе число обозначает вероятность того, что выборка действительно репрезентативна для более обширной совокупности в рамках заданной степени точности. В данном контексте 0,95 (95% уверенности) означает, что из 100 выборок данного объема, полученных из одной и той же совокупности, 95 выдержат тест на точность, а 0,99 (99% уверенности) означает, что 99 из 100 выборок данного объема, полученных из одной и той же совокупности, будут точны настолько, насколько это было предсказано. Таким образом, вероятность того, что любая конкретная выборка будет давать желаемую точность, равна, соответственно, 95:5 (т.е. 19:1) и 99:1.

Для каждого уровня ошибки выборки необходимый объем выборки значительно больше в том случае, когда мы хотим достичь 99, а не 95% уверенности. Так, в нашем примере с демократами видно, что при величине ошибки 4% выборка объемом 625 объектов позволяет с 95%-ой уверенностью утверждать, что доля демократов среди населения находится где-то между 39 и 47%, тогда как то же самое утверждение с 99%-ой уверенностью требует выборки объемом по меньшей мере 1406 объектов. Вообще говоря, чем ниже ошибка выборки и чем выше степень уверенности, тем лучше будет то исследование, которое мы проводим [16, с. 186].

Таблицу такого вида можно использовать иначе. Если, к примеру, мы анализируем исследование, в котором используется выборка, состоящая из 2500 объектов, то тогда можно обратиться к таблице и установить ошибку выборки и степень уверенности. Из таблицы 2.1, видно, что интерпретация может быть неоднозначной. Можно считать, что 2500 объектов дают ошибку выборки ± 3% с уверенностью 0,99 или ошибка выборки ± 2% с уверенностью 0,95. Каждая из этих интерпретаций в равной степени приемлема, а вместе они помогают прояснить взаимоотношения между точностью и уверенностью. При одном и том же количестве объектов мы будем в состоянии располагать высокой степенью уверенности относительно менее точного результата или несколько меньшей степенью уверенности относительно более высокой точности.

Конечно, в идеале мы всегда предпочитаем действовать с минимальными ошибками и с максимальной уверенностью. К сожалению, в дело часто вмешиваются практические соображения. Например, стоимость одного личного интервью в исследовательском проекте может равняться 500 грн., включая собственно расходы на интервью, расходы на транспорт и пр. Это означает, что при 99%-й уверенности стоимость снижения величины ошибки с ± 3 до ± 2% может составлять 1300000 грн. Во многих случаях различие в качестве результатов не стоит производимых дополнительных затрат, а в гораздо большем числе случаев средств нет. Таким образом, важную роль в ограничении объема выборки играют ограничения на ресурсы. В большинстве наиболее значительных опросов общественного мнения, а также в большинстве наиболее значительных исследовательских проектов используются выборки объемом приблизительно 1400-1600 респондентов. Такие исследования дают результаты с точностью 3-4% и со степенью уверенности 0,99 и считаются одновременно и возможными, и достаточно точными. Проекты, использующие контент-анализ или другие относительно менее дорогостоящие методы сбора данных, часто тяготеют к верхнему правому углу таблицы [4, с. 153].

Внимательное изучение таблицы 5.1 показывает, что, достигнув определенного предела, размер совокупности не влияет на объем выборки, которая должна ее представлять.

Итак, подводя итоги, следует подчеркнуть, что, формируя выборку, необходимо очень внимательно следить за тем, чтобы не только отобрать из данной совокупности достаточное количество объектов, но и взять такую группу, которая, как представляется, будет действительно репрезентативной с точки зрения распределения характеристик внутри данной совокупности.

.2 Применение метода выборочного сбора данных в исследовании клиентов службы занятости

Применение метода выборочного наблюдения рассмотрим на примере исследования клиентов службы занятости.

Структурные изменения в экономике оказали существенное влияние на занятость населения (увеличился уровень безработицы). После продолжительных самостоятельных поисков работы, безработные в итоге обращаются в органы службы занятости, основной задачей которых является трудоустройство обратившихся в них граждан по специальности с достаточной для каждого оплатой труда, удобное по месту расположения.

Для того, чтобы предлагать подходящую работы, необходимо иметь информацию о каждом нуждающемся в трудоустройстве.

Состав и численность обратившихся в службу занятости меняется от месяца к месяцу, от сезона к сезону. Для оценки ситуации и выявления пожеланий безработных можно проводить выборочные обследования. Бесспорным преимуществом выборочного метода являются минимальные затраты времени на получение репрезентативных данных.

Для формирования выборочной совокупности из общего числа обратившихся в службу занятости можно применить типическую выборку, которая предполагает предварительное разделение генеральной совокупности на однородные группы, которые образуются посредством специально проведенной типической, группировки единиц генеральной совокупности или использования имеющихся, естественно сложившихся явлений. В данном случае численность обратившихся за помощью в трудоустройстве можно разделить на мужчин и женщин, выделяя их по уровню образования, специальности, должности и другим признакам и в каждой полученной группе провести отбор, пропорциональный численности групп [10, с. 75].

На стадии проектирования рассчитывается объем выборочной совокупности. При отборе единиц пропорционально численности типических групп число наблюдений по каждой группе определяется по формуле 2.1:

=n*Ni/N, 2.1

где ni- объем выборки для i-й типической группы;объем i-й типической группы;- общий объем выборки;- общий объем генеральной выборки.

После проведения выборочного наблюдения следует рассчитать ошибки выборочных показателей. Для определения предельной ошибки выборки средней величины количественного признака при бесповторном отборе использовании формула 2.2:

=tx2/n*(1-n/N) 2.2

При этом коэффициент доверия t зависит от вероятности, с которой гарантируется величина предельной ошибки выборки. Рекомендуется принимать доверительную вероятность, равную 0,997 (t=3). доверительный уровень вероятности 0,997 означает, что только в 3-х случаях из 1000 ошибка может выйти за установленные границы.

Для получения дополнительных сведений о безработных в выборочной совокупности можно провести анкетирование. Определяя необходимый круг вопросов надо исходить из цели анкетирования - получения дополнительной информации для трудоустройства с учетом имеющейся профессии и желаний обратившегося в службу занятости. Таким образом, в анкету следует включить вопросы об образовании, профессии, стаже и последнем месте работы. Следует выяснить по результатам анкетирования численность желающих обучаться на курсах с целью повышения квалификации и приобретения новой профессии. Распространив результаты выборочного наблюдения на генеральную совокупность, можно определить численность людей, которые будут обучаться - это необходимо для принятия решения о целесообразности организации обучения на курсах и дальнейшем их трудоустройстве. Таким образом, принятие решения об организации учебы возможно на данных анкетирования минимального числа обратившихся в службу занятости.

Если включить в анкету вопрос о требованиях безработного к новой работе, то можно определить сферу, географию, режим работы и другие характеристики желаемой работы. Используя полученные данные, можно сопоставить численность безработных с имеющимися вакантными местами и определить возможность трудоустройства обратившихся в службу занятости [5, с. 74].

Наиболее сложным и ответственным этапом составления анкеты является формулировка вопросов. Поэтому вопрос должен соответствовать теме и задачам исследования.

Рассмотрим ряд вопросов, которые следует включить в анкету. Для определения уровня квалификации ставится вопрос об уровне специальной и общей подготовки, квалификационных разрядах и категориях, стаже работы. Для более подробной характеристики можно включить вопросы о владении иностранными языками, о навыках работы с компьютером.

Анализ социальной структуры безработицы предлагает выявление структуры безработных по основным социальным слоям и группам, по уровню доходов.

Выбор нового места работы, помимо отмеченных факторов, зависит и от состояний здоровья. В этой связи ставится вопрос и о том, имеются ли ограничения к работе по состоянию здоровья.

В конце анкеты респонденту предлагается в открытой форме высказать общее мнение по теме опроса, предложения и пожелания.

Опираясь на выработанные в практике некоторые нормы, можно определить размер проектируемой анкеты. Считается, что 20-30 минут - это достаточное время, которое позволяет, не утомляясь ответить на все вопросы.

После составления анкеты рекомендуется проведение пробного анкетирования для выяснения целесообразности применения данной анкеты.

Проведенный анкетный опрос обратившихся в службу занятости граждан позволил получить информацию о состоянии рынка рабочей силы в Харькове. В таблице 2.2 отражен состав рынка рабочей силы по восьми параметрам.

Таблица 2.2

Состав рынка рабочей силы

1

2

3

4

5

6

7

8

Наименование группы

Высвобожденные работники

Уволенные по собственному желанию

Выпускники общеобразовательных школ, вузов, средних специальных заведений, профтехучилищ

Механический прирост населения

Уволенные из рядов вооруженных сил

Незанятое население

Освобожденные из мест лишения свободы

Женщины, вышедшие из трехлетнего отпуска по уходу за ребенком

%

24,4

39,3

12,4

10,8

4,6

3,8

1,9

2,8

Итого

100


Основная доля приходится на уволенных по собственному желанию и попавших под сокращение. Чаще всего причиной увольнения является очень низкая заработная плата, а также сокращение заработной платы.

Безусловно, информация о причинах безработицы необходима для эффективной работы органов службы занятости и в определенной мере может способствовать подбору работы в соответствии с индивидуальными возможностями каждого.

По результатам анкетирования выяснились некоторые различия по уровню образования среди мужчин и женщин (таблица 2.3).

Таблица 2.3

Распределение респондентов по образованию и полу

Пол

Мужчины, %

Женщины, %

Высшее образование

10,34

16,2

Среднее специальное

15,52

33,1

Среднее общее

58,62

47,89

Неполное среднее

15,52

2,81

Итого

100

100


Основную часть безработных составляют лица с общим средним образованием, следовательно, возможности трудоустройства данной категории будут определяться требованиями к образованию.

По данным опроса почти половина обратившихся в службу занятости (40,5%) владеют двумя, а некоторые и большим количеством профессий. Вместе с тем на вопрос: «Хотите ли Вы иметь другую (дополнительную) специальность?» положительно ответили 61,5% респондентов. В основном это молодые люди, средний возраст которых 29 лет, изъявившие желание обучаться новым профессиям на курсах по направлению службы занятости. При определении своего будущего места работы каждый человек сопоставляет свои физические возможности с фактической нагрузкой на предлагаемой работе. В связи с этим в нашей анкете ставился вопрос о состоянии здоровья, ответы на который представлены в таблице 2.4.

Таблица 2.4

Распределение респондентов по состоянию здоровья

Оценки здоровья

Все респонденты, %

Мужчины, %

Женщины, %

Здоров

71

79,3

67,6

Практически здоров

10,5

3,5

13,4

Имеют ограничения к некоторым видам работы

18,5

17,2

19

Итого

100

100

100


Данные о состоянии здоровья - это еще один из многочисленных факторов, который определяет выбор места работы.

Таким образом, выборочный метод, и в частности анкетирования безработных, позволяет получать самую разнообразную информацию в короткие сроки и с наименьшими затратами.

Выводы к разделу 2

Существует множество методов определения необходимого объема выборки для проведения исследований. Определение метода выборки всегда является компромиссным решением между необходимостью обеспечить максимальную репрезентативность выборки и минимизировать затраты на проведение исследования.

Чтобы установить необходимый объем выборки следует учесть несколько факторов. Один из наиболее важных - гомогенность - степень близости друг к другу членов совокупности с точки зрения изучаемых характеристик. Если каждая единица совокупности в точности такая же, как все остальные, то выбрав всего лишь одну из них, можно получить действительно репрезентативную выборку. И наоборот, если каждая единица совокупности не похожа ни на какую другую, то, прежде чем утверждать, что данная выборка репрезентативна, потребуется провести перепись всей совокупности. В первом случае совокупность называют полностью гомогенной, во втором - гетерогенной.

В рассмотренном нами практическом примере использования выборочного метода в исследовании клиентов службы занятости, для формирования выборочной совокупности из общего числа обратившихся в службу занятости была применена типическая выборка. Данный тип выборки предполагает предварительное разделение генеральной совокупности на однородные группы, которые образуются посредством специально проведенной типической группировки единиц генеральной совокупности. Разделение генеральной совокупности на однородные группы производилось при помощи анкетирования клиентов.

ЗАКЛЮЧЕНИЕ

В процессе написания курсовой работы достигнута поставленная цель, связанная с определением преимуществ и возможностей практического применения выборочного метода, разрешены все поставленные задачи, что позволило сделать следующие обобщения.

Выборочный метод сбора данных является одним из наиболее распространенных методов маркетинговых исследований. Во время проведения выборочного наблюдения изучаются не все единицы исследуемого объекта, а только некоторая отобранная часть этих единиц. При этом наблюдение организовано таким образом, что эта часть отобранных единиц отображает генеральную совокупность в целом.

Выборочный метод сбора данных имеет ряд преимуществ, а именно: практичность, высокая точность результатов за счет снижения ошибок регистрации, минимальные затраты, быстрота исследования, более детальное исследование каждой единицы наблюдения.

Не смотря на то, что правильно произведенная выборка довольно хорошо репрезентирует структуру и состояние генеральной совокупности, полного совпадения выборочных данных с данными обработки генеральной совокупности, как правило, не бывает. В этом заключается недостаток выборочного метода, на фоне которого видны преимущества сплошного описания генеральной совокупности.

В виду неполного отображения выборкой статистических характеристик генеральной совокупности перед исследователем ставятся две важные задачи: 1. учитывать и соблюдать те условия, при которых выборка наилучшим образом репрезентирует генеральную совокупность; 2. в каждом конкретном случае устанавливать, с какой уверенностью можно перенести результаты выборочного наблюдения на всю генеральную совокупность, из которой взята выборка.

При выборочном наблюдении могут происходить типичные ошибки: регистрации и репрезентативности. Ошибки регистрации могут возникнуть из-за сообщения ошибочных сведений объектом, неточной фиксации сообщаемых сведений субъектом наблюдения, неточного подсчета или измерения фиксируемых признаков при непосредственном наблюдении. Ошибки репрезентативности возникают в связи с тем, что отобранная для обследования часть совокупности имеет по изучаемому признаку иную структуру, чем совокупность в целом.

На практике выборочное наблюдение широко используется для: статистического оценивания и проверки гипотез; решения производственных и управленческих задач; отраслевых социально-экономических исследований; разрешения задач в сфере предпринимательской деятельности; социальных исследований; социально-культурных исследований.

Первая группа задач чаще всего связана с решением общетеоретических проблем, проведением исследований и экспериментов для получения информации о генеральной совокупности на основе выборочного наблюдения.

Вторая группа задач (производственные и управленческие) связана с практическими интересами и приобретает все большее значение в области управления технологическими процессами, качеством продукции и работ.

Третья группа задач (социальные) представляет собой наблюдения в социальной статистике, в частности изучение доходов населения, потребления материальных благ и услуг, жилищных условий и других характеристик уровня жизни населения.

СПИСОК ИСПОЛЬЗОВАННОЙ ЛИТЕРАТУРЫ

1. Башкатова Б.И. Социально-экономическая статистика: учеб. пос. / Б.И. Башкатова. - М.: ЮНИТИ-ДАНА, 2002. - 703 с.

2.       Беляевский И.К. Маркетинговое исследование: информация, анализ, прогноз / И.К. Беляевский. - М.: Фин. и статистика, 2001. - 320 с.

.        Богатая И.Н. Маркетинг организации: учеб. пос. / И.Н. Богатая, Н.Н. Хахонова. - Ростов-на-Дону: Феникс, 2004. - 356 с.

.        Божук С.Г. Маркетинговые исследования. Основные концепции и методы / С.Г. Божук, Л.Н. Ковалик. - СПб.: Питер, 2004. - 304 с.

.        Бутенко И.А. Анкетный опрос как общение социолога с респондентами / И.А. Бутенко. - М.: Высшая школа, 1989 - 176 с.

.        Венецкий И.Г. Теоретические и практические основы выборочного метода / И.Г. Венецкий. - М., 1971. - 187 с.

.        Власова М.Л. Социологические методы в маркетинговых исследованиях: учеб. пос. / М.Л. Власова. - М.: Изд. дом ГУ ВШЭ, 2006. - 710 с.

.        Галицкий Е.Б. Методы маркетинговых исследований / Е.Б. Галицкий. - М.: Институт фонда «Общественное мнение», 2004. - 398 с.

.        Голубков Е.П. Маркетинговые исследования: теория, методология и практика / Е.П. Голубков. - М.: Финпресс, 2003. - 496 с.

10. Городяненко В.Г. Социологический практикум / В.Г. Городяненко. - К.: Академия, 1999 - 160 с.

11.     Ермолаев А. Выборочный метод в социологии: метод. пос. / А. Ермолаев. - М., 2000. - 26 с.

.        Запесоцкий А.С. Стратегический маркетинг в туризме: теория и практика / А.С. Запесоцкий; С.-петерб. гуманит. ун-т профсоюзов. - СПб.: СПбГУП, 2003. - 351 с.

.        Здравомыслов А.Г. Методология и процедура социологических исследований / А.Г. Здравомыслов - М.: Мысль, 1969. - 205с.

.        Иванова Р.Х. Поведение потребителей: учеб. пос. / Р.Х. Иванова; Харьк. гос. экон. ун-т. - Х.: ИД «ИНЖЭК», 2003. - 118 с.

.        Котлер Ф. Маркетинг. Гостеприимство. Туризм: учеб. / Ф. Котлер, Дж. Боуэн, Дж. Мейкенз. - 2-е изд., перераб. и доп. - М.: ЮНИТИ, 2002. - 1063 с.

.        Мангейм Дж.Б. Политология: методы исследования / Дж.Б. Мангейм, Р.К. Рич. - М.: Изд-во «Весь мир», 1997. - 544 с.

.        Паниотто В.И. Качество социологической информации / В.И. Паниотто. - К.: Наукова думка, 1990. - 138 с.

.        Подкуйко Н.Д. Маркетинг в соцiально-культурнiй сферi: навч. посiб. / Н.Д. Подкуйко, Н.О. Кiзнер; Держ. акад. кер. кадрiв культури i мистецтв. - К.: ДАКККiМ, 2002. - 95 с.

.        Полторак В.А. Маркетингові дослідження / В.А. Полторак: навч. посіб. - К.: Центр навчальної літератури, 2003. - 387с.

.        Саак А.Э. Маркетинг в социально-культурном сервисе и туризме: учеб. пос. / А.Э. Саак, Ю.А. Пшеничных. - СПб.: Питер, 2007. - 480 с.

.        Старостина А.А. Маркетинговые исследования / А.А. Старостина. - М.: Вільямс, 2001. - 320 с.

.        Статистика: підручн. / за ред. С.С. Герасименка. - К.: КНЕУ, 2007. - 467 с.

.        Статистичний облік і звітність у правоохоронних органах України: наук.-практ. посіб. / Кальман О.Г., Христич І.О. - Х.: ІВПЗ АПрН України, вид-во «Гімназія», 2008. - 140 с.

.        Удотова Л.Ф. Соціальна статистика: підручн. / Л.Ф. Удотова. - К.: КНЕУ, 2002. - 376 с.

.        Черчилль Г.А. Маркетинговые исследования / Г.А. Черчилль. - СПб.: Питер, 2002. - 752 с.

.        Чурилов Н.Н. Особенности формирования выборки в маркетинговых исследованиях / Н.Н. Чурилов // Маркетинг в Украине. - 2003. - №3. - С. 28-34.

Похожие работы на - Выборочный метод получения данных

 

Не нашли материал для своей работы?
Поможем написать уникальную работу
Без плагиата!
Без нейросетей!