Моделирование атмосферно-вакуумной трубчатки

  • Вид работы:
    Реферат
  • Предмет:
    Другое
  • Язык:
    Русский
    ,
    Формат файла:
    MS Word
    461,32 Кб
  • Опубликовано:
    2014-02-03
Вы можете узнать стоимость помощи в написании студенческой работы.
Помощь в написании работы, которую точно примут!

Моделирование атмосферно-вакуумной трубчатки

Содержание

Введение

Общая характеристика секции атмосферно-вакуумной трубчатки (АВТ)

Описание технологического процесса и технологической схемы секции

Синтез получения алгоритма вычисления стабилизирующих управлений для ректификационной колонны

Математическая модель процесса ректификации в насадочной колонне

Заключение

Список литературы

Введение

 

Математическое моделирование - процесс построения и изучения математических моделей. Все естественные и общественные науки, использующие математический аппарат, по сути занимаются математическим моделированием: заменяют реальный объект его моделью и затем изучают последнюю. Под математической моделью принято понимать совокупность соотношений (уравнений, неравенств, логических условий, операторов и т. п.), определяющих характеристики состояний объекта моделирования, а через них и выходные значения - реакции, в зависимости от параметров объекта-оригинала, входных воздействий, начальных и граничных условий, а также времени. Математическая модель, как правило, учитывает лишь те свойства объекта-оригинала, которые отражают, определяют и представляют интерес с точки зрения целей и задач конкретного исследования.

Моделирование можно осуществлять двумя основными методами: методом обобщенных переменных, или методом подобия (физическое моделирование), и методом численного эксперимента (математическое моделирование). Последнее позволяет резко сократить сроки научных и проектных разработок.

Принципиального различия между этими методами нет, поскольку оба они в большей или меньшей степени основаны на экспериментальных данных и различаются лишь подходом к их обработке и анализу. Однако следует оговориться: опыт, будучи основой всякого исследования, поставляет в то же время исходные данные и для математического моделирования, т. е. математическое моделирование по существу является одним из методов физического моделирования и составляет с ним единую систему исследования объектов познания.

1. Общая характеристика секции атмосферно-вакуумной трубчатки(АВТ)

 

АВТ - предназначена для атмосферной перегонки сырой нефти с содержанием серы до 1,95 %; блок отбензинивания нефти обеспечивает получение легкого прямогонного бензина (фр. НК -85оС) и сухого газа с параметрами, позволяющими провести его очистку и использовать в качестве технологического топлива.

В то же время низкая температура сырья колонны стабилизации позволяет использовать опыт нефтеперерабатывающих заводов по борьбе с коррозией оборудования и трубопроводов блока АВТ при переработке сернистых нефтей.

В результате технологического процесса на секции 100 получаются следующие продукты, являющиеся сырьем вторичных процессов комбинированной установки “Петрофак”:

углеводородный газ - топливо печей установки после очистки от H2S на секции 500;

-     компонент бензина (фр. НК-85оС) - сырье секции 300 (гидроочистка бензина); а также по мере необходимости, смешивается с товарным

-        бензином секции 200;

         отбензининная нефть - сырье блока АВТ (секция 100);

         бензин прямогонный - сырье секции 300 (гидроочистка бензина);

         дизельное топливо прямогонное - сырье секции 400 (гидроочистка дизельного топлива);

         гудрон (вакуумный остаток куба колонны Т-104) - сырье секции 700 (окисление битума);

готовый продукт - мазут марки М40 или М100.

 

Рис. 1

Принципиальная технологическая схема установки для атмосферно-вакуумной перегонки нефти. Аппараты: 1, 3 - атмосферные ректификационные колонны; 2 - печи для нагрева нефти и мазута; 4 - вакуумная ректификационная колонна; 5 - конденсаторы-холодильники; 6 - теплообменники. Линии: I - нефть; II - лёгкий бензин; III - отбензиненная нефть; IV - тяжёлый бензин; V - керосин и газойль; VI - водяной пар; VII - мазут; VIII - газы разложения и водяной пар; IX - масляные фракции; Х - гудрон.

2. Описание технологического процесса и технологической схемы секции

атмосферная вакуумная трубчатка модель

Нефть представляет собой сложную жидкую смесь близко кипящих углеводородов и высокомолекулярных углеводородных соединений. В ней растворены газообразные (до 4 %) и твердые углеводороды. Углеводороды с числом атомов углерода от 1 до 4, т.е. метан, этан, пропан, бутан и изобутан, - газообразные углеводороды. Углеводороды С5 - С15 при нормальных условиях находятся в жидком состоянии. Углеводороды С16 - С34 и выше являются твердыми углеводородами, они образуют парафины и церезины. Их содержание в нефти составляет до 5 %, иногда до 12 %. В нефти содержатся также в небольших концентрациях неуглеводородные соединения, органические кислоты и некоторые другие вещества.

По химическому составу углеводороды нефти относятся к следующим классам соединений: парафиновые, нафтеновые и ароматические. Ненасыщенных углеводородных соединений в нефти мало, но они в большом количестве образуются при термической обработке нефти.

Парафиновые углеводороды нефти представлены соединениями как с неразветвлённой цепью (нормального строения), так и с разветвленной цепью (изостроения), например, н-бутан и изобутан:

СН3 ¾ СН2 ¾ СН2 ¾ СН3                  СН3¾ СН ¾ СН3

 |

 СН3

Парафиновых углеводородов нормального строения в нефти значительно больше, чем углеводородов изостроения. Однако целью ряда процессов переработки нефти является получение именно изомеров, поскольку их наличие значительно улучшает эксплуатационные характеристики топлива. Так, с увеличением содержания углеводородов изостроения в автомобильных бензинах повышается их октановое число.

Из нафтеновых углеводородов в качестве примера можно назвать циклопентан С5Н10 и циклогексан С6Н12.Наличие нафтеновых углеводородов в реактивных и дизельных топливах положительно сказывается на их эксплуатационных свойствах. Нафтеновые углеводороды обладают большей термической стойкостью, чем парафиновые; они менее склонны к нагарообразованию в двигателях, чем ароматические углеводороды.

Ароматические углеводороды, содержание которых в нефти незначительно, образуются из нафтеновых углеводородов в процессе каталитического риформинга. Ароматические углеводороды, входящие в состав бензинов, также повышают их октановое число.

Кислород, сера, азот и хлор входят в состав нефти в виде отдельных соединений. Присутствие в нефти и топливах соединений серы нежелательно, так как они приводят к коррозии аппаратов, трубопроводов и двигателей, а также являются ядом для катализаторов ряда процессов нефтепереработки.

3. Синтез получения алгоритма вычисления стабилизирующих управлений для ректификационной колонны

Из множества математических методов моделирования объектов управления для реализации процесса формирования качества наибольший интерес представляют теоретические методы, базирующиеся на математических описаниях механизмов протекающих процессов. Таковые модели обладают хорошими прогностическими возможностями в широких диапазонах изменения свойств объектов переработки и режимных параметров технологических процессов. Недостатки же состоят в том, что, как правило, эти модели в процессе реализации представляют недостаточно точные результаты. Тем не менее, в ряде случаев, как показано в настоящей работе, удается достичь требуемой точности. При описании, например, процессов тепло- и массопереноса возможны определение и регулярная корректировка коэффициентов диффузии, тепло- и массоотдачи путем решения обратных задач переноса на базе контрольных значений промежуточных параметров качества и режима.

Эффективное управление качеством на стадии его формирования возможно только в результате сочетания определенных свойств технологического процесса, обеспечивающих его устойчивость в области оптимальных параметров и, в то же время, восприимчивость к управляющим воздействиям. Иными словами, эффективность управления качеством продукции химических производств в значительной степени определяется характером реактивности процесса на возможные управляющие воздействия. Отсюда следует вывод о необходимости первоочередной оптимизации технологических процессов с целью придания им свойства достаточной чувствительности к изменению регулирующих факторов. Кроме того, весьма важным является создание базовых технологических процессов с поддающимися математическому описанию на уровне феноменологических моделей механизма протекания.

С точки зрения управления технологическими процессами, последние представляют собой процессы формирования заданных количественных характеристик качества объектов переработки. Подобные же представления лежат в основе формализованных методов проектирования технологических процессов. Такого рода абстракция позволяет при разработке инструментария для проектирования цифровых процессорных систем управления технологическими процессами обеспечить общность и универсальность методов и средств проектирования, управления.

Локализация системы управления в этом случае обеспечивается инклюзией (включением в систему) математической модели конкретного процесса. Кроме того, использование такого рода моделей позволяет на стадии разработки технологического процесса оценить качество последнего с точки зрения основных принципов теории оптимального управления: управляемости, наблюдаемости и устойчивости.

Периодический процесс управления качеством продукта ректификации предполагает непрерывное или дискретное генерирование управляющих воздействий с целью корректировки параметров процесса для обеспечения постоянства состава верхнего продукта и требуемой степени разделения. При разработке функциональной схемы автоматизации процесса периодической ректификации необходимо решить следующее:

получение первичной информации о состоянии технологического процесса и оборудования;

непосредственное воздействие на технологический процесс для управления им;

стабилизация технологических параметров процесса;

контроль и регистрация технологических параметров процесса ректификации и состояния технологического оборудования.

Компликация указанных задач решается на основании анализа условий работы технологического оборудования, выявленных законов и критериев управления объектом, стабилизации, контроля и регистрации технологических параметров к качеству регулирования и надежности. В нашем случае задают состав дистиллята, объем загружаемой смеси, концентрацию смеси, давление в системе, начальные температуры воды и масла. Вышеперечисленные входы системы будут влиять на ее выходы . концентрацию и уровень дистиллята.

Для формирования управляющих воздействий универсальным способом задания точности системы контроля является ограничение максимальной ошибки системы управления во всех

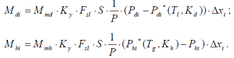
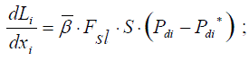
4. Математическая модель процесса ректификации в насадочной колонне периодического действия

Механизм консеквентного исследования данного технологического процесса основывается на описании математической модели на базе уравнений тепло- и массопереноса. Рассматривая систему этанол - вода, допускается полная однородность концентрации в любом сечении, процесс протекает во времени, так как каждая из фаз движется в режиме идеального вытеснения; коэффициенты массо- и теплопередачи постоянны в пределах слоя; физико-тепловые свойства фаз постоянны в пределах слоя; сопротивление тепломассопереносу сосредоточено на границе раздела фаз в газовой фазе. Таковое допущение оправдано интенсивным перемешиванием фаз. Отсутствуют потери тепла в окружающую среду.

Принятая для разработки математического описания базовая схема взаимодействия фаз на элементарном слое насадки представлена на рис.1.

Рисунок 1- Схема взаимодействия фаз: G,L - потоки пара и жидкости, Md - масса перешедшего низкокипящего компонента, Mh - масса перешедшего высококипящего компонента, Qgl - количество перешедшего тепла, Δxi- высота i-той ступени (1-на входе, 2-на выходе).

Тогда из уравнения баланса массы по жидкой фазе найдем:

        (1)

где масса перешедшего высококипящего компонента (vk), кг/с:


масса перешедшего низкокипящего компонента (nk), кг/с:


Из полного уравнения баланса массы по паровой фазе находим:

 (2)

По уравнению баланса массы для паровой фазы по низкокипящему компоненту:

 (3)

 (4)

где - Khi концентрация высококипящего компонента в газовой фазе на i-той ступени, кг/кг смеси.





(5)

(6)    

где - Kdi концентрация низкокипящего компонента в жидкой фазе на i-той ступени, кг/кг смеси.

Составим уравнение баланса тепла для паровой фазы:



(7)


где α - коэффициент теплоотдачи, Вт/(м2 . К); Fls- удельная поверхность насадки, м2/м3; S - площадь сечения аппарата, м2.

Из уравнения баланса тепла для жидкой фазы находим:

 (8)

Потоки массопередачи низкокипящего и высококипящего компонентов, кг/с:

(9)

(10)

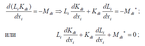
После преобразований уравнений (1), (2), (9), (10) получим:

 (11)

где β - коэффициент массоотдачи, м/с.

 (12)

Теплофизические свойства веществ, участвующих в процессе разделения, являются функцией давления и температуры. Экспериментальные данные по равновесию фаз аппроксимируются в виде полиномной зависимости от температуры в пределах от 0 до +100 oС.

Заключение

Эффективность процесса стабилизации нефти во многом обусловлена процессом ректификации происходящем в колонном аппарате, тогда как процесс ректификации во многом зависит от эффективности контактных устройств, на которых он происходит.

Для модернизации колонных аппаратов разделения смесей используются различные подходы - от минимальных изменений в конструкциях массообменных тарелок до полной замены устаревших контактных устройств на новые высокоэффективные регулярные и нерегулярные насадки. Это обеспечивает кроме повышения качества разделения и значительное увеличение производительности колонн.

Эффективность работы насадочных колонн существенно зависит от гидродинамических условий движения газа (пара) и жидкости. Гидродинамика потоков определяется сложной геометрией каналов, формируемых размещением и размером насадки в слое и материалом насадочных элементов. Важными факторами также являются скорости потоков и физико-химические свойства фаз.

Математическое описание насадочной колонны состоит из системы дифференциальных уравнений, определяющей распределение концентраций в потоках пара и жидкости. При этом в рассматриваемых соотношениях принимается, что межфазный перенос определяется эквимолярным массообменном, что приводит постоянству потоков пара и жидкости по высотке колонны.

Список литературы

1. А.С. Клюев, Б.В. Глазков, А.Х. Дубровский, А.А. Клюев. Проектирование систем автоматизации технологических процессов: Справочное пособие. 2-е изд., пер. и доп. . М.: Энергоатомиздат, 1990.-464с.

. Полянин А.Д. Линейные задачи тепло- и массопереноса: общие формулы и результаты//Теоретические основы химической технологии.- 2000.- Т.34.-№6.-С.563-574.

. Амелькин С.А., Бурцлер И.М., Хоффман К.Н., Цирлин А.М. Оценка предельных возможностей процессов разделения//Теоретические основы химической технологии.- 2001.-Т.35.- №3.- С.232-238.

. Систер В.Г., Мартынов О.Ю. Гидродинамика и массообмен пленки жидкости при полидисперсном капельном орошении.//Теоретические основы химической технологии.-2001.- Т. 35. - №2.- С. 164-171.

. http://zhurnal.ape.relarn.ru/articles/2003/

Похожие работы на - Моделирование атмосферно-вакуумной трубчатки

 

Не нашли материал для своей работы?
Поможем написать уникальную работу
Без плагиата!
Без нейросетей!