Анализ товарных запасов на предприятии на примере кафе 'Домовёнок'
Содержание
Введение
Глава 1.
Теоретические аспекты товарных запасов на предприятии общественного питания
.1 Понятие и
экономическая сущность товарных запасов
.2 Управление
товарными запасами на предприятиях общественного питания
Глава 2.
Анализ товарных запасов на предприятии "Домовёнок"
.1
Организационно-экономическая характеристика предприятия
.2 Анализ
товарных запасов, факторный анализ
Глава 3.
Совершенствование управления товарными запасами на предприятии
.1 Пути
повышения эффективности
.2
Экономико-математическая модель
.3
Мероприятия по повышению эффективности работы предприятия от изменения
ассортиментной политики
Заключение
Список
использованной литературы
запасы затраты товарный поддержание
Введение
Управление запасами важная и ответственная сфера деятельность работы
любого предприятия, особенно сферы общественного питания. Запасов должно быть и
не много, особенно учитывая рассматриваемое предприятие, у которого, по крайней
мере, с визуального осмотра, нет необходимых площадей для хранения значительного
товарного запаса. Тем не менее запасов не должно быть и слишком мало,
минимально допустимым считаю однодневный запас, т.к работников всего два и им
неудобно будет посреди дня более одного раза ходить в магазин или разгружать
машину. Исходя из этого запасов должно быть столько, чтобы хватало на текущую
деятельность, при этом не загромождало свободное пространство, которого там и
так мало. Возможно имеет смысл разбить поставки товаров на три составляющие:
скоропортящиеся, покупные и сырье. И доверить их поставку трем различным
поставщикам. Что является плюсом этого заведения, так это то, что повар в любой
момент может сходить в ближайший магазин и купить все необходимое. Это возможно
потому, что продукция предприятия не особо сложна в приготовлении, но, что
особо хочется отметить, так это их вкусовые качества. Продукция весьма вкусная
и, съев одну порцию, возникает желание съесть еще.
Основная задача этой курсовой работы состояла в рассмотрении вопросов
управления запасами. Управление запасами стало активно развиваться примерно с
начала 30-х годов прошлого столетия. Это стало необходимым ввиду перехода
промышленности на массовое производство, распределении производства на большей
территории, создании горизонтальных и вертикально интегрированных структур.
Примерно в середине прошлого столетия управление запасами вылилось в отдельное
направление экономики, появились теории, методологии и прочее. Управление
запасами вышло на новый уровень, где ключевую роль стало играть минимизация
издержек. Издержки стали ключевым фактором в конкурентной борьбе. Появились
многие ныне модные системы управления запасами, например, моя любимая система
"точно в срок". С оглядкой на нее было бы интересно применить ее к
данному предприятию, когда, скажем, молоко и яйца привозят каждое утро или
вечер напрямую с сельскохозяйственного предприятия. Идея интересная, но, пока
она нереализуемая по причине отсутствия системы доставки такого уровня. Тем не
менее, в будущем такого сценария нельзя не отрицать.
В первой главе "Теоретические основы управления товарными
запасами" рассмотрены существующие системы, модели и методы управления
запасами, их экономическая сущность, классификация и затраты связанные с их
поддержанием.
Вторая глава "Общая характеристика предприятия "Домовёнок"
посвящена ситуационному анализу положения предприятия.
В третьей главе приводятся мероприятия по улучшению управления товарными
запасами в кафе "Домовёнок", а также определение направлений
совершенствования управления запасами.
В заключении подведены общие результаты исследования и сделаны основные
выводы по проделанной работе.
Глава 1. Теоретические аспекты товарных запасов на предприятии
общественного питания
.1 Понятие и экономическая сущность товарных запасов
Товарные запасы - это часть товарного обеспечения, представляющая собой
совокупность товарной массы в процессе движения ее из сферы производства к
потребителю [2, c. 15].
Товарные запасы образуются на всех стадиях товародвижения:
- на складах производственных предприятий;
в пути;
на складах оптовых и розничных товарных предприятий.
Необходимость образования товарных запасов обусловлена следующими
факторами:
) время, необходимое для транспортировки товаров от места производства до
места продажи, включая время на погрузку-разгрузку;
) сезонные колебания в производстве и потреблении товаров;
) несоответствие между производственным и торговым ассортиментом товаров,
что вызывает необходимость подсортировки, упаковки и подработки;
) особенности в территориальном размещении производства;
) условия транспортировки товаров, расстояние между поставщиком и
торговым предприятием;
) звенность товародвижения;
) возможности хранения товара [8, c. 26 - 27].
Любой товар до момента продажи относится к категории товарного запаса.
С экономической точки зрения эта форма существования товара является
статичной (физически он может находиться в движении). Это обстоятельство
означает, что товарный запас является величиной моментной. Товарные запасы
меняют свой размер - они постепенно вовлекаются в товарооборот, продаются,
перестают быть запасами. Но поскольку товарные запасы замещаются другими
партиями товаров, то есть регулярно возобновляются, они являются постоянно
существующей величиной, размер которой варьирует в зависимости от конкретных
хозяйственных условий. Экономическое содержание процесса товарооборачиваемости
составляют процессы кругооборота товаров, смены статичной формы запаса
динамичной формой товарооборота.
Товарные запасы торговых предприятий классифицируются по:
) местонахождению (в предприятиях торговли, промышленности, в пути);
) срокам (запасы на начало и конец периода);
) единицам измерения: абсолютные (в стоимостном и натуральном выражении)
и относительные (в днях товарооборота);
) назначению;
) текущего хранения (для обеспечения повседневных нужд предприятий);
) сезонного назначения (для обеспечения бесперебойной торговли в периоды
сезонных изменений спроса или предложения);
) досрочного завоза (для обеспечения бесперебойной торговли в отдаленных
местностях в период между сроками завоза товаров);
) целевые товарные запасы (для осуществления определенных целевых
мероприятий) [6, c. 35-36].
Поддержание оптимальной пропорции между величиной товарооборота и
размерами товарных запасов - одна из важных задач торговых предприятий. В
противном случае из-за недостатка запасов возникают сложности с товарным
обеспечением товарооборота предприятия; излишние запасы вызывают дополнительные
потери, увеличение потребности в кредитах и рост расходов по выплате процентов
по ним, увеличение расходов по хранению запасов, что в совокупности ухудшает
общее финансовое состояние торговых предприятий.
Целью управления запасами является нахождение такой их величины, которая,
с одной стороны, минимизирует общие затраты по их поддержанию и, с другой
стороны, была бы достаточной для успешной работы предприятия. Первым этапом
процесса управления является идентификация всех затрат по завозу и хранению
запасов.
Затраты по хранению.
Эта широкая категория затрат включает расходы на складское оборудование и
помещения, обработку, страховку, а также расходы, связанные с мелкими кражами,
порчей, старением, обесцениванием, налогами, и издержки неиспользованных
возможностей капитала [16, c. 123]. Затраты этого типа в основном увеличиваются
прямо пропорционально среднему размеру запасов.
Затраты по размещению и выполнению заказов.
В отличие от затрат по хранению, которые находятся в прямой зависимости
от среднего размера запасов, затраты по размещению и выполнению заказов в
большинстве случаев являются постоянными [16, c. 155]. Например, такие затраты,
как почтовые расходы или расходы на междугородные телефонные переговоры,
наладку оборудования и приемку партии, как правило, не зависят от размера одной
партии.
Потери, связанные с нехваткой запаса (дефицитом).
Когда запас какого-либо изделия исчерпывается, заказ на это изделие либо
ожидает, пока его запас будет пополнен, либо должен быть отменен. Существует
определенный компромисс между расходами на поддержание уровня запаса и
потерями, являющимися следствием исчерпания запаса. В этом случае иногда не
удается добиться разумного баланса, поскольку часто невозможно оценить
упущенную прибыль, последствия утраты клиентов и величину штрафов за
несвоевременное исполнение условий контракта.
Максимальный желательный запас определяет уровень запаса, экономически
целесообразный в данной системе управления запасами.
1.2 Управление товарными запасами на предприятиях общественного питания
Управление - это творческая деятельность. Она должна активно создавать
необходимые для работы предприятия условия, а не пассивно реагировать на
изменения, происходящие на рынке [24, c. 18].
Цель создания запасов, образование определённого буфера между
последовательными поставками товаров, и исключение необходимости непрерывных
поставок.
Управление товарными запасами всегда имеет целью их оптимизацию, то есть
обеспечение торговой организации товарами в таком ассортименте и в таких
количествах, которые максимально соответствуют предвидимому спросу. Управлять
товарными запасами - это значит планировать определенный объем и структуру
запасов в соответствии с поставленными перед торговой организацией целями и
контролировать, чтобы товарные запасы постоянно отвечали установленным
критериям.
В практике торговли величину товарных запасов, которые необходимо иметь,
определяют несколькими способами.
) Как отношение товарного запаса на определенную дату к объему реализации
на ту же дату за некоторый предшествующий период. Обычно это отношение
рассчитывают на начало месяца, но некоторые организации предпочитают
оперировать этим показателем, рассчитанным на конец месяца [24, c. 68].
) Как число недель торговли, на которое хватит данного запаса. Исходными
данными служит известная (или намеченная) товарооборачиваемость [24, c. 103].
Например, на предстоящее полугодие (27 торговых недель) планируется трехкратная
оборачиваемость запасов. Отсюда запас рассчитывают путем деления 27 на 3;
следовательно, необходимо постоянно иметь запас, которого хватит на 9 недель
торговли. Теперь прогнозируется объем реализации на предстоящие 9 недель, и
отсюда получают потребные товарные запасы к началу периода.
) С учетом пропорциональности колебаний уровня запасов колебаниям объема
реализации. Это так называемый метод пропорционального отклонения. В основу
этого подхода положен принцип, по которому отклонения фактического запаса от
среднего всегда должны быть вдвое меньшими (составлять 50%), чем отклонения
объема реализации от среднемесячного [24, c. 142]. Например, если объем
реализации в феврале на 50% больше, нежели среднемесячный за год или за
какой-либо другой период, служащий базой для планирования, то товарные запасы,
имеющиеся на 1 февраля, должны быть на 25% большими, чем средние запасы на
начало месяца.
) По базовому (минимальному) товарному запасу. Этот способ применим для
предприятий, где оборачиваемость товарных запасов составляет 6 раз в год или
менее. Товарные запасы, которые необходимо иметь на начало месяца, определяют
путем сложения объема реализации, намечаемого на этот месяц и разницы между
средней величиной товарных запасов и среднемесячным объемом реализации.
Ни один из этих методов не является безупречным, все они разработаны на
основе длительного опыта и поэтому являются чисто эмпирическими. Торговой
организации следует оценить различные методы и выбрать тот, который больше
всего подходит именно для нее. Наилучшим, естественно, следует считать такой
метод, при котором:
- потребители будут удовлетворены работой предприятия;
не окажется случаев отсутствия товаров, спрашиваемых покупателями;
уровень товарных запасов оптимален;
Чтобы управлять товарными запасами, необходимо в любой момент времени
точно знать величину текущих товарных запасов в стоимостном выражении.
Следует подчеркнуть, что стоимостный учет чрезвычайно важен, и он ни в
коей мере не может быть заменен учетом в физическом выражении. Оба вида учета
дают возможность:
) выявить, какие именно наименования товара, товарные группы и целые
категории товара пользуются наибольшим спросом;
) оптимизировать вложения капитала в товарные запасы. Следствием слишком
больших запасов является уменьшение товарооборачиваемости, оборачиваемости
капитала и, стало быть, уменьшение прибыли;
) повысить обоснованность решений, принимаемых относительно закупки
товаров. Зная, какими товарами предприятие располагает в данное время, и,
обладая информацией о темпах реализации различных наименований и разновидностей
товаров, о спросе на них, можно основывать свои решения относительно
оптимизации ассортимента.
В принципе контроль над физическим товародвижением построен на тех же
основах, что и за товародвижением в стоимостном выражении. Он предусматривает
наличие списка или перечня всех товаров, входящих в ассортимент. С позициями
этого списка и сопоставляются данные о реализации тех или иных товаров. В
списке (а это, не что иное, как документационная модель ассортимента)
приводятся необходимые объемы запасов по каждой позиции и товарной группе,
пороговый уровень (при уменьшении запаса до этого уровня необходимо заказывать
товар для пополнения запаса), сроки поставки, темпы реализации и другие
сведения.
Делая заявку на товар, необходимо поддерживать баланс между спросом и
предложением, так как излишество или недостаток товара всегда сопровождается
издержками. В торговом предприятии запасы - это деньги, а деньги, как известно,
любят счёт. Поэтому управление запасами играет не маловажную роль для
нормального функционирования предприятия.
Планирование товарных запасов предполагает использование комплекса
методов, направленных на определение оптимальной, нормативной величины запасов.
Основу планирования товарных запасов текущего назначения составляет их
нормирование, в процессе которого устанавливается норматив запаса в днях и
сумме по товарным группам. Норма товарных запасов выступает одновременно и
нормой товарооборачиваемости. Планирование предполагает разработку подтоварных
и общего нормативов в сумме и днях оборота по кварталам планируемого года.
Процесс планирования начинается с разработки подтоварных нормативов. При
расчете подтоварных нормативов рекомендуется использовать методы:
технико-экономических расчетов;
экономико-статистические;
индексный;
экономико-математического моделирования.
Для нормирования запасов по товарным группам рекомендуется применять
технико-экономический метод с использованием коэффициента ускорения. В этом
случае норматив запасов в днях оборота определяется как произведение базовой
величины норматива данной товарной группы в днях на коэффициент ускорения
товарооборачиваемости:
Подтоварный норматив запасов методом технико-экономических расчетов
включает в себя следующие элементы в зависимости от их назначения:
представительный ассортиментный набор;
запас на время приемки и подготовки товара к продаже;
запас на среднедневную реализацию;
запас текущего пополнения;
страховой запас.
При нормировании запасов по товарным группам и при планировании запасов
по предприятию питания используется экономико-статистический метод с
применением скользящей средней. Этот метод основан на использовании
динамического ряда товарных запасов в днях, по которым рассчитывается темп
прироста запасов на планируемый период. В динамический ряд товарных запасов
включают показатели средних товарных запасов на квартал планируемого года за
3-5 лет, предшествующих планируемому периоду. Затем производят сглаживание
уровня запасов путем расчета средних арифметических.
Индексный метод предполагается использовать для определения нормативов
общего объема товарных запасов по предприятиям питания по каждому кварталу
отдельно.
Планирование товарных запасов с помощью коэффициента эластичности
позволяет рассчитать, на сколько процентов изменяются товарные запасы при
изменении фактора на 1%. Как известно, одним из главных факторов, влияющих на
изменение товарных запасов, является товарооборот.
Принципы управления запасами можно сформулировать в виде
простого алгоритма, состоящего из нескольких шагов:
- определения, чем может управлять компания;
выявления релевантных затрат и их зависимости от управляемых
параметров;
поиска оптимального решения, при котором релевантные затраты
для компании будут минимальными.
Многие руководители считают, что можно управлять остатком
запасов на складе. Менеджмент компании может влиять на остаток запасов,
управляя процессом закупок. Следовательно, можно определить основные параметры
управления запасами:
- размер заказа на закупку товаров (сырья и материалов);
время возобновления заказа (параметр, на основании которого
принимается решение о размещении новых заказов).
В некоторых случаях у компании есть возможность управлять
только одним параметром (например, временем возобновления заказа).
В других ситуациях компании доступно управление несколькими.
Выявление релевантных затрат.
Релевантными называют затраты, которые меняются в результате
принятия решения. В системе управления запасами обычно выделяют следующие
группы релевантных затрат:
- затраты, связанные с хранением запасов (стоимость капитала,
обездвиженного в запасах; затраты на содержание товара на складе);
затраты, связанные с выполнением заказов (расходы на ведение
учетной документации; транспортные расходы на доставку заказов; расходы,
связанные с размещением заказов, и т. д.);
убытки, возникшие из-за дефицита запасов (расходы в виде
потери части прибыли либо потери клиентов и части деловой репутации компании).
При этом важно определить не только затраты, которые будут
меняться, но и то, как они будут меняться. Это позволит смоделировать
последствия принимаемого решения. Наиболее распространены так называемые
конкурирующие затраты, то есть затраты, меняющиеся в противоположных
направлениях. К примеру, увеличение страхового запаса на складе ведет к росту
затрат на хранение и снижению риска убытков из-за простоя.
Поиск оптимального решения.
Оптимальным будет такое решение, при котором сумма всех
релевантных затрат минимальна. Если определены сами затраты и порядок их
изменения, то вычисление оптимального решения - уже техническая задача,
решаемая методами линейного программирования.
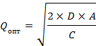
Оптимальный размер заказа.
Для вычисления оптимального размера заказа (
) (в единицах запаса) можно воспользоваться известной формулой
Вильсона:
где D - плановая потребность в данном наименовании запаса за
период (месяц, квартал, год); А - затраты на выполнение одного заказа, которые
возникают при размещении нового заказа; C - затраты на хранение единицы запасов
за период.
Алгоритм определения оптимального размера заказа на основе
этой формулы содержится во многих ERP-системах. При этом пользователи не всегда
понимают, как система рассчитывает оптимальное значение, поэтому не способны
сформулировать требования к входным данным, которые обеспечили бы корректный
расчет. Нужно учитывать, что данная формула составлена с учетом ряда допущений:
релевантные затраты на единицу заказа постоянны при любом размере заказа,
потребность в запасах определена и постоянна, время поставки известно. На
практике же предприятия не всегда могут найти достоверные исходные данные,
которые можно было бы использовать для вычислений. Поэтому, несмотря на
простоту этого метода, многие предприятия его не используют.
При размещении заказов следует учитывать и время выполнения
заказа поставщиком. Для этого необходимо рассчитать еще один параметр - точку
перезаказа (уровень возобновления заказа). В условиях определенности она
рассчитывается достаточно просто: объем остатка запасов на складе, при котором
нужно повторно заказывать запасы, определяется как произведение количества
дней, необходимых для выполнения заказа, и среднедневной потребности в данном
товаре.
Формирование оптимального заказа и определение точки
перезаказа позволяют сократить суммарные затраты по первым двум группам
релевантных затрат - на хранение и на размещение заказа.
На практике предприятия работают в условиях неопределенности,
поскольку не могут прогнозировать со стопроцентной уверенностью потребность в
сырье и материалах, а также сроки поставки.
Потребность в материалах и сроки поставки во многом зависят
от поведения покупателей (колебания спроса) и поставщиков (нарушение сроков
поставки). Неопределенность потребности и времени поставки приводит к тому, что
возникает вероятность дефицита запасов и, как следствие, вероятность убытков в
результате простоя, потери части платежеспособного спроса, а также вследствие
приобретения необходимых материалов (товаров) на менее выгодных условиях.
Глава 2. Анализ товарных запасов на предприятии "Домовёнок"
.1 Организационно-экономическая характеристика предприятия
Сеть семейных кафе "Домовёнок" предприятие
общественного питания, основанное в 1999 году. Продукция, которую кафе
выпускает, можно назвать одним словосочетанием - "бабушкины рецепты"
- возрождение старых традиций наших мам и бабушек, блюда из далекого детства,
такие же вкусные, сытные и полезные.
"Домовёнок" позиционирует себя на рынке как домашняя кухня. Это
значит, что вся еда готовится только из натуральных и свежих продуктов, без
добавления консервантов, красителей и улучшителей вкуса.
А чтобы шагать в ногу со временем и быть в числе первых, кафе в своей
работе использует новейшие технологии и современное оборудование:
пароконвектомата и несколько аэрогрилей, которые позволяют готовить
экологически чистую и полезную пищу. Также в кафе имеется и современная печь
для приготовления румяных и аппетитных пицц.
Кафе "Домовёнок" расположено по адресу: г. Уфа, ул. Бакалинская
68/1. Режим работы кафе с 9:00 до 20:00.
В меню сети кафе "Домовёнок" представлены блюда
домашней кухни: блины, выпечка, салаты, первые и вторые блюда. Полностью
исключены спиртные напитки.
Пенсионерам и многодетным семьям предоставляется скидка 50%
на заказ пирога с 16.00 до 17.00 ежедневно.
Меню кафе состоит из первых и вторых блюд, салатов, выпечки,
блинов и пиццы.
Побывав на предприятии в конце рабочего дня, за 2 часа до его закрытия я
обнаружила в нем двух сотрудниц. Одна занималась отпуском продуктов через
прилавок, другая, по моему мнению, повар, заканчивала изготовление блюд и
начала готовить оборудование к окончанию рабочего дня.
Управление запасами целесообразно разбить на пять составляющие, а именно:
изделия на заказ, обычная продукция, покупные продукты, сырье долго и
скоропортящиеся.
Предприятие готовит продукцию на заказ, а именно пироги. Учитывая размеры
зала, а именно рассчитанного примерно на 30 человек, проблематично продать всю
партию пирогов или хотя бы 1 без остатка.
Рисунок 2.1.1. Прайс-лист на заказную продукцию
Руководство предприятия приняло, по моему мнению, единственно верное
решение, а именно производить пироги, но под заказ, это решает сразу несколько
вопросов. Это дозагрузка производственных мощностей, расширение продуктовой
линейки. За счет решения этих вопросов повышается лояльность потребителей и
получается дополнительная прибыль.
Основной деятельностью предприятия является производство и продажа
продукции собственного производства и покупного.
Рисунок 2.1.2. Фотография витрины
Рисунок 2.1.3. фотография с прилавка
Под конец рабочего дня в наличии имеется продукция, как мы видим из
представленных двух фотографий наполненность полок не полная. По пирожкам
осталось меньше половины, по пиццам, сосискам в тесте осталось чуть больше
половины среднего количества. Учитывая, что за 2 часа до открытия повар
прекратила работу, но возобновила ее минимум за час до открытия заведения, все
это говорит о том, что предприятие старается продавать максимально свежие
продукты. Скорее всего утром допродаются остатки со вчерашнего дня, но в
минимальном количестве. Такой подход наиболее клиентоориентирован, но требует
больших организационных затрат времени, т.к. надо спланировать график работы
исходя из таких факторов как: день недели, погода, наличие каникул и
праздников. Все эти факторы влияют на спрос, и, для создания оптимального
продуктовой линейки требуется опыт и больше усилий чем при простом линейном
производстве.
Рисунок 2.1.4. Фотография стеллажей с покупными товарами.
Как мы видим из рисунка 2.4 запас покупных товаров минимален. По моим
расчетам этих запасов хватит дня на 3-4. На левой фотографии видно что часть
полок снизу, по всей видимости, предназначенные для сока пусты. На правой видны
2 холодильника, один пуст, другой заполнен на треть. Исходя из анализа
посетителей, можно сделать вывод что среди посетителей чай и кофе наиболее
популярные напитки, значит покупные товары имеют сравнительно небольшой оборот
и не являются крайне важной продуктовой линейкой. Так или иначе, считаю, что
необходимо меть более широкий выбор газированных напитков и соков, учитывая
приближение Нового года и соответственно каникул у детей, школьников и
студентов. По всей видимости, по покупным товаром предприятие имеет минимальную
точку после которого производится заказ. Считаю, что у них применяется система
с фиксированным размером заказом.
Учитывая размеры здания, можно сделать вывод о том что, складских
помещений, там нет. Имеются лишь небольшие площади для хранения минимального
объема сырья для текущего потребления. Считаю, что скоропортящиеся продукты,
такие как: молоко и яйца покупаются ежедневного в ближайшем магазине. Завоз
муки, сахара, фруктов скорее всего производится с большей периодичностью и,
скорее всего напрямую с оптовых баз. Покупка скоропортящихся продуктов в
магазине, по моему мнению, наиболее экономически эффективное решение, учитывая
логистические издержки.
2.2 Анализ товарных запасов, факторный анализ
Рассмотрим, что из себя представляет предприятие с точки
зрения бухгалтерского баланса.
Таблица 2.2.1. - Основные экономические показатели кафе
"Домовёнок"
|
Наименование показателя
|
2008 год
|
2009 год
|
2010 год
|
2011 год
|
Изменение в 2011г. к 2008г.
|
|
|
|
|
|
+;-
|
%
|
|
Выручка
|
1429000
|
8877000
|
21103000
|
20174000
|
18745000
|
1311,8
|
|
Себестоимость
|
1437000
|
4567000
|
6053000
|
9689000
|
8252000
|
574,3
|
|
Валовая прибыль
|
-8000
|
4310000
|
15050000
|
10485000
|
10493000
|
-131162,5
|
|
Коммерческие расходы
|
1099000
|
3889000
|
14851000
|
-6956000
|
-8055000
|
-732,9
|
|
Прибыль (убыток) от продаж
|
-1107000
|
421000
|
199000
|
3529000
|
4636000
|
-418,8
|
|
Прочие расходы
|
388000
|
241000
|
175000
|
-149000
|
-537000
|
-138,4
|
|
Прибыль (убыток) до
налогообложения
|
-1495000
|
366000
|
24000
|
3380000
|
4875000
|
-326,1
|
|
Чистая прибыль (убыток)
отчетного периода
|
-1495000
|
366000
|
24000
|
3380000
|
4875000
|
|
Основные средства
|
33000
|
434000
|
566000
|
237000
|
204000
|
618,2
|
|
Запасы
|
202000
|
1260000
|
3235000
|
2714000
|
2512000
|
1243,6
|
|
Дебиторская задолженность
|
297000
|
1994000
|
1979000
|
2764000
|
2467000
|
830,6
|
|
Денежные средства
|
115000
|
95000
|
100000
|
84000
|
-31000
|
-27,0
|
|
Кредиторская задолженность
|
1778000
|
4690000
|
7742000
|
7309000
|
5531000
|
311,1
|
|
Нераспределенная прибыль
|
-1282000
|
-916000
|
-892000
|
2480000
|
3762000
|
-293,4
|
По таблице 2.2.1. можно сделать вывод, что финансовый кризис
2008 года действительно оказал на кафе негативное влияние, однако уже в 2009
году доля валовой прибыли сети кафе "Домовёнок" нормализуется и все
последующие годы осуществления деятельности составляет не ниже 50%, что
благоприятно характеризует деятельность предприятия общественного питания.
На рисунке 2.2.1. видно, что предприятие получает прибыль.
Нераспределенная прибыль 2008 года отрицательна, здесь скорее всего сочетание
расходов на запуск проекта и вхождение в рынок.
Рисунок 2.2.1. Основные показатели работы предприятия
В доказательство этой мысли посмотрим на рисунок 2.2.2. где видно что
прочие расходы координальным образом снизились. При условии вхождения на рынок
требуются затраты на вхождение и укрепление на нем. Когда я была на этом
предприятии, оно было заполнено на 80%, т.е. был свободен только один стол, при
этом за столом сидело минимум по двое. Резерв вместительности оставался, но,
считаю подобный уровень заполненности очень хорошим показателем работы.
Рисунок 2.2.2. Показатели доходов и расходов
Подобная эффективность работы складывается из того, что
себестоимость продукции находится на относительно низком уровне, при этом,
прочие расходы и коммерческие расходы руководство старается снизить. Провал
прибыли в 2010 году связан с увеличением коммерческих расходов и прекращением
получения дополнительных доходов.
Проведем факторный анализ товарных запасов.
Таблица 2.2.1. - Анализ товарных запасов кафе "Домовёнок" за
2010 - 2011г.
|
Показатель
|
2010 год
|
2011год
|
Отклонение
|
|
|
|
+;-
|
%
|
|
Товарооборот, руб.
|
21103000
|
20174000
|
-929000
|
-4,402
|
|
Запасы, руб.
|
3235000
|
2714000
|
-521000
|
-16,105
|
|
Уровень товарных запасов в
днях товарооборота
|
55,186466
|
-6,7558131
|
-12,242
|
|
Товарооборачиваемость,
число оборотов
|
6,523338
|
7,433309
|
0,909970284
|
13,9495
|
Основным относительным показателем, применяемым при анализе, является
уровень товарных запасов, который характеризует обеспеченность торгового
предприятия запасами на определенную дату и показывает на какое число дней
торговли (при сложившемся товарообороте) хватит этого запаса.
Уровень товарных запасов измеряется в днях товарооборота по следующей
формуле:
где Утз - уровень товарных запасов в днях товарооборота;
ТЗ - товарный запас (тыс. руб.);
Т - объем товарооборота (тыс. руб.);
Д - количество дней.
Определим влияние на уровень товарных запасов двух факторов:
§ изменение товарных запасов;
§ изменение товарооборота.
Обозначим
уровень товарных запасов базисного и отчетного периода соответственно как 
и
.
Тогда получим следующие формулы, выражающие уровень товарных запасов:
Определим в обобщенном виде влияние первого фактора - изменения товарных
запасов - на показатель уровня товарных запасов.

= -8,887835853
Таким
образом, за счет снижения товарных запасов уровень товарных запасов уменьшается
на 8,89%.
Затем
рассчитаем влияние второго фактора - изменения товарооборота:

2,13202279
Таким
образом, за счет снижения товарооборота, уровень товарных запасов увеличивается
на 2,13%.
Общее
влияние двух факторов равняется изменению уровня товарных запасов по сравнению
с ее базисной величиной:
Итак,
повышение уровня товарных запасов достигается уменьшением товарных запасов, а
также увеличением товарооборота.
Скорость
товарного обращения, или товарооборачиваемость в числе оборотов, рассчитывается
по следующей формуле:

=7,43-7,77=-0,34
Таким
образом, за счет уменьшения товарооборота, скорость товарного обращения упала
на 0, 34%.

=7,77-6,52=1,25
За
счет уменьшения товарных запасов скорость товарного обращения повысилась на
1,25%.
Итак,
увеличение товарооборачиваемости достигается увеличением товарных запасов, а
также уменьшением товарооборота.
Глава 3. Совершенствование управления товарными запасами на предприятии
.1 Пути повышения эффективности
Исходя из особенностей деятельности предприятия, а именно:
продажа товаров на относительной небольшой территории, небольшое здание, малый
ассортимент предлагаемых продуктов. Из этого можно сделать вывод о том, что
основные усилия по оптимизации товарных запасов должны быть нацелены, с одной
стороны на минимизацию текущих запасов с одновременным недопущением отсутствия
каких либо товарных позиций. С другой стороны на уменьшение тягости труда и
повышение рентабельности сыграл бы такой фактор как улучшение логистики. Это
выражается в уменьшении затрачиваемого персоналом времени на обработку вопросов
связанных с запасами (например: походы по магазинам).
Предприятию определенно не хватает рекламы. Проходя мимо
него, сложно бросив взгляд, захотеть туда зайти. Если же ехать на машине, то по
вывески непонятно толи это магазин, толи предприятие общественного питания.
Кроме того, минимальные риски просрочки по готовой продукции будут в случае
приготовления на заказ - нужно активнее продвигать это направление. И через
рекламу в непосредственной близости от потребителей, например в домах, так и в
самом заведении.
Второй немаловажный момент - это оптимизация пространства.
Учитывая размеры заведения, считаю это важным вопросом. Оптимизируя графики
поставок покупных товаров, можно убрать один холодильник, тем самым увеличить
пространство для повара. Что несомненно улучшит условия его труда.
3.2 Экономико-математическая модель
Построим экономико-математическую модель оптимизационного
типа. Нас интересует, на чем сконцентрировать свое внимание: на пирожках, на
десертах или на напитках. Решение задач оптимизации позволит нам более
эффективно управлять предприятием, получая большую прибыль.
Мы выбрали ряд наборов, которые мы обычно продаем. Наборы
различаются по: возрастному, половому и прочим признакам. Чтобы посчитать
оптимизацию, нам необходимо вывести цифры. Объем товарных запасов, имеющийся в
наличии, расход продуктов на один набор, прибыль с одного набора.
В таблице оптимизационной модели мы вводим несколько формул:
строчка прибыли = сумма произведений прибыли с набора на
выпуск;
столбец "Потрачено" = затраты * выпуск, данные
этого столбца не могут превышать данные со столбца запасов;
общая прибыль = сумма прибылей, полученная в пункте 1
Рисунок 3.2.1. Окно поиска решений
Для решения задачи мы воспользуемся функцией "Поиск
решения". Выше показано окно этой функции, в котором мы вводим:
Целевая ячейка - это общий объем прибыли, ему задается
значение "максимум";
Изменяемые ячейки - это ячейки, показывающие объем выпуска и
мы будем изменять их;
Ограничения - столбец "потрачено" должен быть не
больше столбца "на складе".
Рисунок 3.2.2. Таблица результатов оптимизационной модели
Решив задачу оптимизационной модели, мы пришли к выводу, что
для нас более прибыльно продавать десерты. Именно они, по данным модели
приносят наибольшую прибыль.
.3 Мероприятия по повышению эффективности работы предприятия
от изменения ассортиментной политики
Рисунок 3.3.1. Динамика запасов.
Выручка росла и довольно высокими темпами, поэтому запасы
сырья в таком объеме еще можно оправдать. Запасы же готовой продукции
необходимо снижать, они не только отвлекают денежные средства из оборота, они
еще и снижают качество готовой продукции, т.к. лежалый товар хуже по многим
параметрам нежели свежий. В 2010 году, показано на рисунке 3.3.1. запасы
готовой продукции составили 12 млн. руб., а кредиторская задолженность равна
7,7 млн. руб. предлагаю снизить запасы готовой продукции, а именно:
с помощью уменьшения запасов покупных товаров, как отмечалось
ранее, необходимо убрать второй холодильник. Закуп производить по газированной
воде теперь только на один холодильник;
увеличить долю продукции по предзаказам в общей доле
производимой продукции.
Эти шаги позволят снизить в абсолютном выражении запасы
готовой продукции. По моим наблюдениям и предварительным расчетам, по покупным
товарам экономия составит одну треть, т.к доля товаров и убранного холодильника
в общей доле покупных товаров составляет 30%. Что дает возможность говорить о
сокращении запасов готовой продукции на половину.
Если учесть что эти деньги заемные, по средней ставке в 19%,
мы получаем экономию по процентным платежам, равную:
Т.к. предприятие не платит налог с прибыли, то новый размер
чистой прибыли составит:
В связи с этим изменятся основные коэффициенты-показатели
деятельности предприятия:
Исходя из того что мы сэкономили на процентных платежах,
следовало упомянуть что мы погасили этими средствами часть кредиторской
задолженности, новые значения которого равны:
Коэффициент автономии показывает, насколько предприятие
независимо от привлеченного капитала с других организаций. Чем больше значение
этого показателя, тем более стабильно предприятие.
В связи с изменениями, коэффициент автономии вырос с 0,25 до
0,4.
Оборачиваемость собственного капитала, мы стали вкладывать
меньше, но время, в течении которого деньги "лежали на полках", оно
уменьшилось, в связи с этим:
Показатель
уменьшился с 8,1 до 5,19.
Доля
собственных оборотных средств повысилась с 0,23 до 0,373.
Коэффициент текущей ликвидности вырос с 1,308 до 7,305.
Значит, благодаря оптимизации товарных запасов нам удалось сэкономить
1,14 млн. руб. также удалось повысить ряд показателей деятельности предприятия.
Заключение
В данной курсовой работе рассмотрен вопрос управления запасами. Запасы на
любом предприятии необходимы для обеспечения бесперебойной работы, но, вместе с
тем, запасы, особенно излишние, отвлекают денежные средства из оборота. Исходя
из сферы деятельности предприятия мы сделали вывод и о том, что излишние запасы
ухудшают качество готового продукта, тем более запасы готовой продукции. С этим
нужно бороться. Предприятие работает над этим направлением оптимизации. Так,
вечером останавливается приготовление пищи, а утром возобновляется до открытия.
Тем не менее, остаются резервы для оптимизации, мы рассмотрели такой ресурс в
области оптимизации запасов покупных товаров. Мы смогли не только сэкономить
денежные средства, вложенные в запасы, сэкономить на процентных платежах, но и
улучшить условия труда работников. Учитывая условия их труда, считаю это
достижение более чем важным. Также в работе был представлен факторный анализ,
который показал, что оборачиваемость запасов растет, но на величину запасов
оказало влияние и падение объема продаж. Это негативный момент, но благодаря
проведенной оптимизации расходов, падение продаж, не отразилось катастрофичными
последствиями. Более того предприятие улучшило показатели накопленной и чистой
прибыли. Транспортная модель показала как проще и дешевле производить закупки
товаров. Что нужно комбинировать закупки, лично ходя в магазин, с помощью
поездок на оптовую базу и с помощью поставщиков. Нужно использовать все три
метода ради минимизации издержек по доставке продуктов и сырья. То есть
оптимизация товарных запасов рассматривается в первую очередь, как снижение
затрат на их создание и обслуживание. Это, действительно, очень важный момент
мероприятий по оптимизации запасов на предприятии, но очевидно, что управление
товарно-материальными запасами, кроме логистического имеют - как минимум - ещё
финансовый и маркетинговый аспект. Для улучшения деятельности необходимо
вкладываться в рекламу. Оптимальное управление запасами подразумевает такую
политику управления запасами, которая гармонизирует все аспекты, связанные с
этой задачей, а не только оптимизацию запасов на складе.
Список использованной литературы
1. Брагин
Л.А., Стукалова И.Б., Шипилова С.С. и др. Организация коммерческой
деятельности: Учеб пособие для нач. проф. Образования; Под ред. Л.А. Брагина. -
Изд. Центр "Академия", 2008.
2. Гаджинский
А.М. Логистика. - М.: ИВЦ "Маркетинг", 2007.
. Гиссин
В.И. Проблемы формирования логистической транспортной системы. - Ростов-н/Д.:
МарТ, 2009.
. Голиков
Е.А. Маркетинг и логистика. - М.: Изд. "Дашков и Ко",
2006.
. Еленева
Ю.А., Зуева Т.С., Корниенко А.А. и др. Экономика и управление предприятием /
Под ред. Ю.М. Соломенцева. - М.: Высшая школа, 2007.
. Емельянова
Т.В., Кравченко В.П. Экономика общественного питания: учебное пособие. Минск,
2008.
. Ефимова
О.П. Экономика общественного питания / под ред. Н.И. Кабушкина. Минск: Новое
знание, 2008.
. Иванова
М.Б. Логистика. - М.: МарТ, 2009.
. Линдерс
М.Р., Фирон Х.Е. Логистика. Управление снабжением и запасами. - СПб.: Питер,
2009.
. Неруш
Ю.М. Коммерческая логистика. - М.: Альфа-пресс, 2008.
. Плужников
К.И. Транспортное экспедирование. - М.: Кнорус, 2007.
. Рынок
и логистика. / Под ред. М.П. Гордона. - М.: ЮНИТИ-ДАНА, 2008.
. Семененко
А.И. Предпринимательская логистика. - СПб.: "Политехника", 2006.
. Смехов
А.А. Введение в логистику транспорта. - М.: Транспорт, 2009.
. Федько
В.П., Григорьев А.И. Транспортно-экспедиционное обслуживание в логистических
системах товародвижения. - Ростов-н/Д.: Феникс, 2008.
. Дыбская
В.В. Склад как эксперимент логистической системы // Риск. 2007, №3, с.37.
. Стерлигова
А.Н. Оптимальный размер заказа, или Загадочная формула Вильсона // Логистик
&система. - №2. - С. 64-69. - №3. - С. 62-71. - 2005.
. Белоусов
А.Г. Логистика коммерческого посредничества. - Ростов-н/Д.: ВШУ, 2007.
. http://domovenok-ufa.ru/
. http://www.timiryanova.ru