Двухколесное транспортное средство с гибридным приводом
Оглавление
Введение
. Обзор и анализ типов аккумуляторов энергии
.1 Аналоги и разработки в данной области
.2 Обзор аккумуляторов энергии
.2.1 Гравитационные механические накопители энергии
.2.2 Кинетические механические накопители
.2.3 Механические накопители энергии с использованием сил
упругости
. Тягово-динамический расчет велосипеда
.1 Исходные данные
.2 Расчет полной массы велосипеда
.3 Расчет радиуса качения колеса
.4 Расчет работы затраченной на разгон
.5 Потери при движении велосипедиста
.5.1 Сопротивление воздуха
.5.2 Сопротивление качению колес
.5.3 Внутренние потери механизмов
.6 Расчет необходимого количества энергии
. Конструирование и расчет аккумулятора
.1 Расчет плоской спиральной пружины
.2 Крепление пружины
.3 Расчет энергоемкости пружины
.4 Компоновка конструкции
.5 Принцип работы
Заключение
Библиографический список
Введение
век был ознаменован огромный скачком
прогресса для транспортных средств, использующих в качестве источника энергии
различные нефтепродукты. В результате этого, в настоящее время все актуальней
становится проблема исчерпания природных ресурсов нефти. Как следствие,
тенденции современного рынка транспортных средств, все больше складываются в
пользу наиболее экологичных средств передвижения. Таковыми являются транспортные
средства с альтернативными источниками питания, гибридным приводом, а также
приводимые в движение мускульной силой человека.
В данной работе рассмотрено
двухколесное транспортное средство - велосипед. На текущий момент в странах
Азии и дальнего востока весьма распространены гибридные транспортные средства
на основе велосипеда и мопеда. Однако, в качестве источника энергии на данных
средствах передвижения используются электроаккумуляторы, что делает их
достаточно тяжелыми и дорогими. Альтернативой электроаккумуляторам могут быть
механические аккумуляторы энергии.
Целью данной работы является
разработка недорогого, компактного и легкого аккумулятора энергии, для
осуществления гибридного привода велосипеда. Для этого должен быть осуществлен
подбор возможного вида аккумулятора, расчет необходимого количества энергии для
разгона велосипеда до заданной скорости, а также конструирование
непосредственно механизма, осуществляющего эту задачу. Данная конструкция,
должна позволить человеку экономить собственные силы, затрачиваемые на разгон
транспортного средства.
1. Обзор и анализ типов
аккумуляторов энергии
.1 Аналоги и разработки в данной
области
Среди гибридных транспортных
средств, все большее распространение получают транспортные средства
использующие электроэнергию. Ведущие автомобильные компании мира, такие как
BMW, Toyota, Honda, Peugeot, Ford делают большие вложения в данную область
научных исследований. Основная проблема этим исследований заключается в
электроаккумуляторах для этих автомобилей: для запасания необходимого
количества энергии требуются аккумуляторы либо большие по габаритам и массе,
либо имеющие высокую стоимость.
Среди двухколесных транспортных
средств ситуация складывается примерно аналогичным образом. Скутеры с
электроприводом, электровелосипеды и подобные им конструкции получили широкое
распространение в странах Азии и Дальнего Востока, начинают набирать
популярность в странах Европы, однако проблема большой массы и высокой
стоимости остается актуальной.
Путей решения этой проблемы может
быть несколько. Один из них, это использование других типов аккумуляторов
энергии. Один из наиболее подробно занимавшихся этой проблемой людей -
российский ученый, доктор технических наук, автор книги «Удивительная механика»
Гулиа Нурбей [1]. Несмотря на то, что книга написана для детей старшего
школьного возраста, в ней подробно и достаточно научно описываются попытки
автора найти, так называемую «энергетическую капсулу» - устройство, способное
аккумулировать энергию, в количестве, достаточном для преодоления автомобилем
расстояния в 100 километров. В своих изысканиях, Гулиа Владимирович пришел к
устройству, называемому супермаховик. Удельная энергия этого устройства может
достигать 1 Мвт·ч/кг. Но, рабочие обороты такого маховика достигают 20 000 об/мин
и выше, что создает сложности в передаче крутящего момента. Следовательно, для
такого супермаховика требуется супервариатор. Гулиа Нурбей успешно решил и эту
задачу. Однако, становится явно, что в конструировании велосипеда такие сложные
и емкие механизмы не могут найти применения. Поэтому обратимся к другим
способам аккумулирования энергии.
.2 Обзор аккумуляторов энергии
.2.1 Гравитационные механические
накопители энергии
Определяются запасом кинетической
энергии какого-либо предмета, поднятого на определенную высоту. Энергия
запасается при подъеме предмета, и высвобождается при опускании. Расчет
производится по следующей формуле:
=mgh, (1)
где: Е = потенциальная энергия;=
масса тела;= ускорение свободного падения;= высота, на которую поднято тело.
Гравитационные механические
накопители энергии могут быть жидкостные и твердотельные. Жидкостные
гравитационные накопители энергии имеют ряд недостатков, такие как: испарение
жидкости, необходимость нахождения рабочего тела именно в жидком агрегатном
состоянии (а не в газообразном или твердом) и, самое главное, достаточно
маленькую плотность рабочего тела, что, как одна из причин, ведет к увеличению
размеров конструкции [2]. Именно из-за неудобства и больших размеров
конструкции в данной работе этот вид накопителей энергии рассматриваться не
будет.
Твердотельные гравитационные
накопители энергии также имеют ряд преимуществ и недостатков. Среди преимуществ
можно назвать простоту конструкции и низкую себестоимость агрегатов.
Недостатками можно считать, достаточно большой вес аккумулятора, большие
размеры. В принципе, данная конструкция может быть применима.
Рис. 2 Примером твердотельного
гравитационного накопителя энергии может служить любой груз, находящийся выше
уровня рассматриваемой поверхности
.2.2 Кинетические механические
накопители
В колебательных накопителях кинетическая
энергия накапливается в возвратно-поступательном (линейном или вращательном)
движении груза за счёт резонанса. При этом энергия должна как подаваться, так и
расходоваться порциями, попадая «в такт» с движением груза [2]. Это сразу
усложняет механизм и делает его достаточно капризным в настройке. Используется
во всех механических часах с пружинным или гравитационным маятником. По причине
порционности и «капризности» более подробно данный механизм в дальнейшем нами
рассматриваться не будет.
Рис. 3 Пружинный маятник в часах
Гироскопические накопители энергии
В гироскопических накопителях
энергия запасается в виде кинетической энергии быстро вращающегося маховика.
Последние разработки в этой области, позволяют запасать энергию до 2-3 ГДж/кг
[7]. Однако, такие маховики очень дороги и сложны в изготовлении, кроме того,
скорость вращения маховика достигает десятков тысяч оборотов в минуту, что
подразумевает весьма сложную систему преобразования крутящего момента. По этой
причине данный накопитель энергии исключается.
Рис. 4 Супермаховик Нурбея Гулиа
.2.3 Механические накопители энергии
с использованием сил упругости
Пружины сжатия и растяжения
С точки зрения классической физики,
пружины сжатия и растяжения накапливают потенциальную энергию путем изменения
расстояния между атомами эластичного материала. Витые металлические пружины
преобразуют деформацию сжатия/растяжения пружины в деформацию кручения
материала, из которого она изготовлена, и наоборот, деформацию кручения пружины
в деформацию растяжения и изгиба металла, многократно усиливая коэффициент
упругости за счёт увеличения длины проволоки противостоящей внешнему
воздействию.
.
Рис. 5 Пружина сжатия
велосипед аккумулятор накопитель
пружина
Энергия, запасаемая в пружине
сжатия/растяжения будет равна:

(2)
где: x - рабочий ход
пружины (на рисунке x=
);- коэффициент
жесткости.
Для запасания
необходимого количества энергии, требуется пружина, сравнимая размерами, с
пружинами, используемыми в автомобильной подвеске. Вкупе со сложностями
перевода поступательного перемещения пружины во вращательное движение
колеса, это является достаточным поводом отказаться от использования данной
пружины как аккумулятора энергии.
Плоские спиральные
пружины
Плоские спиральные
пружины, также называемые ракушечными, достаточно компактны, энергоемки, и
кроме того, запасают именно крутящий момент, что и требуется в нашем случае. По
этим причин остановим свой выбор на них.
2. Тягово-динамический
расчет велосипеда
.1 Исходные данные
Велосипед - Stels Pilot
510;
Модель - 2009 года;
Тип - подростковый;
Область применения -
дорожный, городской;
Масса велосипедиста - 
=80 кг;
Масса аккумулятора - 
=5 кг;
Диаметр колес - 20
дюймов;
Количество скоростей -
1;
Высота профиля шины - H=
0,035м.
.2 Расчет полной массы
велосипеда
Масса велосипеда с
велосипедистом и аккумулятором:

. (3)
.3 Расчет радиуса
качения колеса
Рассчитываем радиус
качения колеса с выбранной шиной:

(4)
Где: rc - статический
радиус, определяемый по формуле:

(5)
где: d - диаметр обода
колеса;
λш
- коэффициент, учитывающий вертикальную деформацию шины. Для стандартных шин λш=
0,88…0,9;
Рассчитываем:
(6)
=20·2,54=0,508 (м), λш=
0,9. Тогда:

. (7)
.4 Расчет работы затраченной на разгон
Работу, затраченную на разгон, можно представить как изменение
кинетической энергии системы велосипед-велосипедист [3]. Тогда:

(8)
Кинетическую энергию можно представить в виде суммы поступательной
и вращательной энергии:

(9)
Следовательно:

(10)
Поступательная составляющая кинетической энергии будет иметь вид:

(11)
где: V - скорость велосипедиста в текущий момент времени.
В свою очередь, вращательная энергия будет выглядеть следующим
образом[4]:

(12)
где: 
- момент инерции
переднего колеса;

- момент инерции
заднего колеса;

- угловая скорость
колес; 
при условии отсутствия
пробуксовки, поэтому заменим их 
=
.
Рассмотрим составляющие моментов инерции колес [5]. Момент инерции
переднего колеса:

(13)
где: 
- момент инерции шины:

, (14)
где: 
- масса шины. 
= 0,705 кг;

- радиус шины. 
= 0,279 м.

- момент инерции
камеры:

, (15)
где: 
- масса камеры, 
=0,150 кг;

- радиус камеры, 
=0,279 м.

- момент инерции обода:

(16)
где: 
- масса обода, 
=0,355 кг;

- масса ниппелей (36
штук), 
=0,035 кг;

- масса спиц (36 штук),

=0,171 кг;

- радиус обода, 
=0,254 м.

- момент инерции втулки
переднего колеса:

(17)
где: 
- масса втулки
переднего колеса, 
= 0,150 кг;

- радиус втулки
переднего колеса, 
= 0,015 м.
Момент инерции заднего колеса:

, (18)
где: 
- момент инерции втулки
заднего колеса:

, (19)
где: 
- масса втулки заднего
колеса, 
= 0,258 кг;

- радиус втулки заднего
колеса, 
= 0,028 м.
Тогда, формула расчета энергии, необходимой для разгона велосипеда
до скорости V, будет иметь вид:

(20)
Подставив значения формул (13) - (19) в формулу (20), получим
итоговый вид уравнения:
Е
(21)
.5 Потери при движении велосипедиста
.5.1 Сопротивление воздуха
Общее выражение сопротивления, оказываемого воздухом движущемуся
телу, может быть представлено в следующем виде:

, (22)
где: F - лобовая площадь тела; F=0,5 
;- скорость движения;-
коэффициент обтекаемости, зависящий в основном от формы тела и характера его
поверхности. k=0,06.
2.5.2 Сопротивление качению колес

, (23)
.5.3 Внутренние потери механизмов
При езде на велосипеде, внутренние потери происходят в следующих
механизмах (в % от общего количества затрачиваемой энергии):
передняя втулка - 0,17%;
задняя втулка - 0,3%;
цепная передача - 4,5%;
Суммарные внутренние потери составляют 4,97% от общего количества
затрачиваемой энергии.
.6 Расчет необходимого количества энергии
С учетом вышеописанных пунктов, выполним расчет. В таблице, 
- количество энергии,
необходимое для разгона системы велосипед-велосипедист до скорости V, с учетом
имеющихся погрешностей и сопротивлений.
Таблица 2. Расчет необходимого количества энергии
|
V, км/ч
|
V, м/с
|
E, Дж
|
N𝝎
|
Nf
|
|
|
0
|
0
|
0
|
0
|
0
|
0
|
|
3
|
0,83
|
35,75
|
0,00
|
2,30
|
39,95
|
|
6
|
1,67
|
143,01
|
0,03
|
4,60
|
154,98
|
|
9
|
2,50
|
321,78
|
0,10
|
6,90
|
445,13
|
|
12
|
3,33
|
572,06
|
0,24
|
9,21
|
610,40
|
|
15
|
4,17
|
893,84
|
0,46
|
11,51
|
950,83
|
|
18
|
5,00
|
1287,13
|
0,80
|
13,81
|
1366,43
|
|
21
|
5,83
|
1751,92
|
1,27
|
16,11
|
1857,23
|
|
24
|
6,67
|
2288,22
|
1,89
|
18,41
|
2423,26
|
7,50
|
2896,03
|
2,70
|
20,71
|
3064,54
|
|
30
|
8,33
|
3575,35
|
3,70
|
23,02
|
3781,08
|
|
33
|
9,17
|
4326,17
|
4,92
|
25,32
|
4572,92
|
|
36
|
10,00
|
5148,50
|
6,39
|
27,62
|
5440,08
|
На основании данных таблицы построим
график зависимости необходимого количества энергии от выбранной скорости.
Рис. 6 График зависимости
необходимого количества энергии от выбранной скорости.
Для дальнейших расчетов примем
необходимую скорость V=10 км/ч=2,78 м/с, энергию необходимую для разгона
велосипеда Eсумм =500 Дж.
3. Конструирование и расчет
аккумулятора
.1 Расчет плоской спиральной пружины
Начальные данные:
необходимый запас энергии - 500 Дж;
КПД плоской спиральной пружины при
смазке касторовым маслом с графитом = 70,4% [4];
число рабочих оборотов n=20;
материал пружины - сталь У8А;
- модуль упругости Е=2*
кгс·
.
С учетом КПД пружины, а
также КПД механизма, передающего момент от колеса на пружину возьмем количество
энергии необходимое для запасения в пружине равным Е=1000 Дж. Работа,
совершаемая пружиной[6]:
А=М·φ, (24)
где: А - работа,
совершаемая пружиной, А=Е=1000 Дж;
М - средний момент
пружины;
φ - число
рабочих оборотов пружины.
Тогда:
А=1000 Дж = 8,33 Н·м·120
рад. (25)
Момент будем считать в
кгс/мм:
М=8,33Н·м=849,41кгс·мм.
(26)
Минимальный момент
спуска 
=М=849, 41 кгс·мм. 
кгс·мм. Отношение
моментов спуска 
= 1,648. Число рабочих
оборотов 
=20. Найдем разность
между числом витков в тугозаведенном и в свободном состояниях:

-
. (27)
Задаваясь отношением
m=15 найдем по графику (рис 3.1.1) 
=58, 
, 
.
Рис. 7 Номограмма для
проектирования нормальной заводской пружины
Найдем толщину ленты h:

(28)
где: К - коэффициент
качества, в соответствии с пунктом 3.2, при креплении с промежуточной пластиной
К=0,9 (Табл. 3.1);- ширина ленты, b=80мм.
Табл. 3 Коэффициент К
качества пружины, в зависимости от типа крепления внутреннего края пружины.
Тогда:

(29)
Затем найдем: 
- радиус внутреннего
рабочего витка пружины, 
=m·h=15·0,76=11,4 мм;-
радиус барабана, R=102·h=102·0,76=77,52 мм;- рабочая длина пружины,
l=12600·h=12600·0,76=9576мм;
Длину отожженных
концевых участков находим по следующим соотношениям:

(30)

(31)
Рис. 8 Нормальная
заводная пружина: а - в спущенном; б - в заведенном состояниях
Следовательно, длина
заготовки для пружины:

(32)
Найдем радиус валика:

(33)
Число оборотов при
заводе определим по формуле:

(34)
Число холостых оборотов:
.2 Крепление пружины
В месте соединения
наружного края пружины и корпуса, мною было выбрано крепление с промежуточной
пластиной (рис. 9).
Рис. 9 Схема крепления
наружного края пружины
Такое крепление наиболее
близко к «идеальному» и обуславливает практически концентричное распускание
витков.
Крепление внутреннего
конца пружины не оказывает такого сильного влияния на работу пружины, как
крепление наружного конца. Конструкция крепления внутреннего конца пружины
должна лишь обеспечивать надежную передачу момента от пружины к заводному
валику. При неправильной конструкции крепления увеличивается вероятность поломки
внутреннего конца пружины, так как в этом месте пружина наиболее сильно
деформируется при изготовлении. Внутренний конец пружины отжигается, и ему
примерно на длине одного витка придается форма, плотно облегающая заводской
валик. Во избежание поломки пружины вследствие концентрации напряжений переход
от отожженного участка к закаленному должен быть постепенным. Мной выбрано
наиболее качественное крепление - с подкладками (рис 10).
Рис. 10 Крепление
внутреннего конца заводской пружины
.3 Расчет энергоемкости
пружины
Масса пружины будет
равна:

=ρ·V,
(36)
где: 
- масса пружины;
ρ - плотность
материала пружины, ρ=0,0078 гр/м
;- объем пружины.
Получим:

=
9737·0,76·80·0,0078=4617,67гр= 4,6 кг. (37)
Энергоемкость пружины
будет равна:

= 1000/4,6=217,4
Дж/кг. (38)
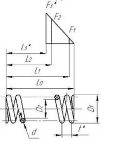
.4 Компоновка
конструкции
На рисунке 11 изображена
общая схема компоновки и расположения механического аккумулятора энергии на
основе плоской спиральной пружины.
Подставка-упор 1
устанавливается над передним колесом, крепится одним болтом к передней вилке, а
также опорами устанавливается во втулку переднего колеса, где крепится двумя
гайками. На подставку-упор устанавливается корпус плоской спиральной пружины 2.
Корпус 2 крепится к подставке 1 четырьмя болтами по углам основания. На нижний
ярус подставки 1 устанавливается корпус троса включения привода 4.
Рекомендуемый метод крепежа - сварка. В корпус троса включения привода 4
устанавливается привод аккумулятора 3. Метод крепления - шпоночный. От корпуса
троса включения привода 4, отходит трос включения привода, одним краем
закрепленный в приводе аккумулятора, другим краем - на рукояти управления.
Рис. 11 Общая схема
компоновки аккумулятора.
3.5 Принцип работы
Во время движения,
велосипедист нажимает правую рукоять управления приводом. Благодаря этому, трос
управления приводом прижимает привод к шестерне аккумулятора и колесу. В
результате этого, крутящий момент через привод передается с колеса на шестерню
аккумулятора, а оттуда на пружину. Пружина закручивается. В момент полной
остановки велосипеда, велосипедист зажимает левую рукоять управления приводом
(на рис. 11 она не прорисована, с целью незагромождения схемы), не отпуская при
этом правую. Это делается с целью полной блокировки колеса и пружины. При
необходимости начала движения, велосипедист отпускает правую рукоять управления
приводом, и пружина, раскручиваясь, передает запасенную энергию на колесо.
Заключение
В результате проделанной
работы был разработан гибридный привод велосипеда с использованием
механического аккумулятора энергии на основе плоской спиральной пружины.
Плоская спиральная пружина была выбрана в результате анализа различных
аккумуляторов энергии, ввиду малых габаритных размеров, невысоких
эксплуатационных требований, а также достаточно высокой энергоемкости (более
200 Дж\кг).
Разработанный
аккумулятор способен запасать энергию до 1000 Дж, и выдавать крутящий момент до
1400 кгс·мм. Эти выходные параметры позволяют разгонять транспортное средство
снаряженной массой до 100 кг от 0 до 10 км/ч, что существенно снижает
прикладываемые человеком усилия для движения велосипеда.
Полученные результаты
рекомендуются к использованию в дальнейших исследованиях, с целью разработки
двухколесного транспортного средства с использованием механических аккумулятор
энергии, которое смогло бы преодолевать значительные расстояния, использую лишь
энергию аккумулятора.
Библиографический список
1. Гулиа, Н.В. Удивительная механика / Н.В. Гулиа. - Москва:
издательство НЦ ЭНАС, 2006. - 107 с.
. Обзор типов накопителей энергии. Публикация от 8.10.2008.
://khd2.narod.ru/gratis/accumul.htm#GRAVITY_SOLID.
. Author Commandos. Найнеры и физика: динамика разгона. Публикация
от 1.09.2011. http://authorcommandos.blogspot.ru/2011/10/blog-post_6775.html
. Энергия вращательного движения. ru.wikipedia.org. Публикация от
13.12.2010. http://ru.wikipedia.org/wiki/энергия_вращательного_движения.
. Алешкевич В.А., Деденко Л.Г., Караваев В.А. Механика твердого
тела. Лекции. Издательство Физического факультета МГУ, 1997.
. Андреева Л.Е. Упругие элементы приборов. Под редакцией В.И.
Феодосьева. Издательство МАШГИЗ. Москва, 1962 г. - 462 с.
. Николай Корзинов. Супертехника от супермена: супермаховик и
супервариатор для супермена. Популярная механика. Март 2006г.