Статистико-экономический анализ эффективности производства молока в сельскохозяйственных организациях по группе районов Самарской области
Министерство
сельского хозяйства Российской Федерации
Федеральное
государственное бюджетное образовательное учреждения высшего профессионального
образования
«Самарская
государственная сельскохозяйственная академия»
Экономический
(заочный) факультет
Кафедра
«Статистика и экономический анализ»
КУРСОВАЯ
РАБОТА
по
дисциплине «Статистика»
на
тему:
«Статистико-экономический
анализ эффективности производства молока в сельскохозяйственных организациях по
группе районов Самарской области»
Выполнил:
студент 2 курса 5 группы
экономического факультета
шифр 711004
Юлдашев Андрей Сергеевич
Руководитель: Шумилина Т.
Кинель
2013 г.
Реферат
Курсовая работа состоит из оглавления, введения,
четырех глав, выводов и предложений, списка использованной литературы, состоящего
из 20 источников, и изложена на 41 станицах машинописного текста. Цифровой и
расчетный материал представлен в 17 таблицах, 4 рисунках.
В курсовой работе проведен комплексный
статистико-экономический анализ продуктивности коров в сельскохозяйственных
организациях по группе районов Самарской области:
1. Выполнена группировка районов по
продуктивности коров
2. Выполнен анализ вариации надоя молока
на одну среднегодовую корову
. Выполнен корреляционно-регрессионный
анализ связи продуктивности коров и расхода кормов
. проведен анализ динамики производства
молока на примере Богатовского района Самарской области за 2005-2010 гг.
. Выполнен прогноз на 2011-2013 гг.
Информационной базой послужили статистические
сборники «Сельское хозяйство Самарской области», нормативные документы,
периодическая и учебно-методическая литература, Интернет-ресурсы.
Содержание
Введение
1. Современное состояние отрасли
по производству молока в России и Самарской области
. Анализ вариации основных
статистических показателей продуктивности коров в сельскохозяйственных
организациях по группе районов Самарской области
. Корреляционно-регрессионный
анализ связи расхода кормов и надоя молока на одну среднегодовую корову
4. Анализ динамики
производства молока
4.1. Понятие динамики
.2. Показатели ряда динамики
.3.Методы выравнивания ряда динамики
производства молока на примере Богатовского района Самарской области. Оценка
прогноза
Выводы и предложения
Список литературы
Приложения
Введение
Животноводство представляет собой совокупность
отраслей, взимающихся разведением сельскохозяйственных животных с целью
производства продуктов (молоко, мясо, яйца, мед и др.) и сырья для
перерабатывающей промышленности (шерсть, пух, натуральный шелк и др.).
Животноводство является источником получения органических удобрений.
Производственный процесс в животноводстве тесно связан с естественными
процессами развития и жизнедеятельности живых организмов.
В настоящее время одной из актуальных проблем,
которые необходимо решать, является увеличение валового производства молока на
основе роста продуктивности скота и повышение эффективности его производства
Цель курсовой работы - провести
экономико-статистический анализ производства молока по группе районов Самарской
области.
Задачи курсовой работы:
осветить современное состояние отрасли
производства молока в России и Самарской области;
провести анализ вариации валового надоя молока и
типологическую группировку по производству молока и валовому надою;
рассчитать индексы валового надоя, индексы
реализации молока;
отразить динамику производства молока и
составить прогноз;
провести корреляционно-регрессионный анализ
между общим надоем и стоимостью 1 ц молока.
Объектом исследования является производство
молока в хозяйствах Самарской области.
Период исследования 2005-2013 гг.
В работе использовались методы исследования:
монографический, балансовый, статистический, приемы сравнения, индексного
анализа, корреляционно-регрессионный анализ, метод экстраполяции и др.
1.
Современное состояние отрасли по
производству молока в России и Самарской области
Молочное скотоводство одна из наиболее важных
отраслей животноводства. Оно служит источником таких ценных продуктов питания
как молоко, мясо, а так же источником сырья для промышленности. Молоко является
практически незаменимой основой питания в детском возрасте, как людей, так и
животных. В нем содержатся все необходимые питательные вещества. По
многообразному составу с ним не может конкурировать ни один из известных
человеку пищевых продуктов. В молоке имеются почти все известные в настоящее
время витамины.
Молочное животноводство оказывает большое
влияние на экономику всего сельского хозяйства, поэтому производство молока
имеет большое народнохозяйственное значение.
Молочное производство является одним из самых
сложных направлений сельского хозяйства из- за долгой окупаемости. Средний срок
выхода на окупаемость проект составляет не менее 10 - 15 лет. Ежегодный
финансовый оборот в данной сфере сельского хозяйства нашей страны составляет
примерно 640 млрд. рублей.
В феврале 2012 года компания Intesco Research
Group завершила комплексное исследование состояния российского и мирового рынка
говядины. Исследование «Российский и мировой рынок говядины. Текущая ситуация и
прогноз показали, что с 2007 по 2010 годы в России наблюдалось постоянное
сокращение поголовья крупного рогатого скота. Пик сокращения поголовья пришелся
на 2010 год. Засуха привела к гибели большей части урожая, недостатку корма и,
как следствие, к вынужденному забою части молочной скотины. В результате
поголовье крупного рогатого скота в России сократилось на 3,4% до 19,97 млн.
голов.
Однако в результате действия Государственной
программы поддержки и развития мясной отрасли создались условия для роста
поголовья крупного рогатого скота. В 2011 году, впервые за последние 20 лет,
поголовье крупного рогатого скота восстановилось на 0,5% и превысило 20 млн.
голов. Крупнейшими по численности поголовья крупного рогатого скота являются
федеральные округа с мягким климатом и большим количеством пастбищных равнин:
Приволжский, Сибирский и Центральный федеральные округа. Почти треть (31%)
всего крупного рогатого скота сосредоточена в Приволжском ФО, в Сибирском ФО -
21%, в Центральном ФО - 14% численности поголовья КРС России.
Поголовье коров России в 2011 году
восстановилось на 1,2% до 8,94 млн. голов. Крупнейшими по численности поголовья
коров являются Приволжский, Сибирский и Центральный федеральные округа.
Наибольшим количеством коров (2,5 млн. голов) обладали скотоводы Приволжского
ФО. В Сибирском ФО выращивалось 1,8 млн. голов, в Центральном ФО их количество
составило более 1,2 млн. голов. Среди регионов лидерами по численности
поголовья коров являются республики Башкортостан, Дагестан, Татарстан и
Алтайский край. Доля Республики Башкортостан составила 5,6%, Республики Дагестан
-4,7%. В Республике Татарстан и Алтайском крае - соответственно 4,6% и 4,3%
поголовья коров России.
По состоянию на 1 октября 2012 года в самарской
области увеличилось поголовье сельскохозяйственных животных в хозяйствах всех
категорий: крупного рогатого скота ‒ на 9,8 тыс. голов (+4,4% к уровню 1
октября 2011 года), в том числе поголовье коров ‒ на 1,9 тыс. голов
(+1,8%). Как сообщает министерство сельского хозяйства и продовольствия
Самарской области, регион по итогам 7 месяцев 2012 года занимает 1 место в ПФО
по темпам роста поголовья крупного рогатого скота, коров, овец и коз.
сельскохозяйственных организаций (78% от их
общего числа) завершили 1 полугодие 2012 года с прибылью.
В следствии увеличении поголовья скота в России
в целом увеличился удой молока.
С января по ноябрь 2012 года в России было
произведено 13 млн. 607 тыс. т коровьего молока, что на 3,2 процента больше,
чем за аналогичный период прошлого года. В ноябре производственный показатель
составил 1 млн. 20 тыс. т, что ниже ноябрьского показателя прошлого года на 2,1
процента. производство
молоко продуктивность корова
Среди федеральных округов только в Сибирском ФО
наблюдается отрицательная динамика по сравнению с показателем прошлого года
(здесь произведено на 1 процент меньше продукции). По производственным
показателям среди сельхозорганизаций на I месте Приволжский округ, где по
итогам 2012 года произведено 10062,2 тыс. т молока.
В Центральном ФО, который занимает II место по
объему производства, по сравнению с прошлым годом показатель увеличился до
5796,2 тыс. т. Наиболее заметный темп роста производственного показателя
приходится на Северо-Кавказский округ - 17 процентов (до 2638,9 тыс. т).В
Северо-Западном и Дальневосточном округах показатели текущего года на 4
процента превышают прошлогодний уровень - 1777,1 тыс. т и 582,7 тыс. т за 11
месяцев текущего года соответственно. В Южном и Уральском округах показатель
вырос на 3 процента - до 3381,3 тыс. т и 2088,1 тыс. т..
Рисунок 1 Производство молока в
Российской Федерации в 2012 году в хозяйствах всех категорий , тыс. тонн.
Среди регионов лидирующие позиции по
производству молока в сельхозорганизациях занимает Республика Татарстан: за 11
месяцев было произведено 1888,1 тыс. т молока. Однако в текущем году показатель
в регионе сократился на 2,3 %.
Следом по объему производства идут Республика
Башкортостан - 1710,1 тыс. т (на 3,4 процента выше), Краснодарский край -
1385,9 тыс. т (на 0,7 процента выше показателя прошлого года), Московская
область - 583 тыс. т (на 3,4 процента выше), Алтайский край - 572 тыс. т (на
1,8 процента ниже),
Всего в 56 регионах России по сравнению с
прошлым годом показатель текущего года продемонстрировал положительную
динамику, в 26 - отрицательную.
Самарская область с января по декабрь 2012 года
произвело молока 418,7 тыс. т. , что превышает показатели 2011 года на 2,8%.
В Кошкинском районе валовое производство молока
13 911 тонн, что на 780 тонн больше уровня прошлого года. В Безенчукском районе
производство молока в хозяйствах всех категорий увеличилось на 12% и составило
20,6 тыс. тонн. В Волжском районе благодаря росту продуктивности коров было
произведено 3333 т. молока(рост по сравнению с прошлым годом - 105,3%).
Губернатор Самарской области Николай Меркушкин
высказал необходимость увеличения производства молока в регионе как минимум в
2,5 раза в ближайшие 5-6 лет. Для этого необходимо за 5-7 лет построить 15-20
крупных комплексов. Кроме того, губернатор поставил задачу за два года
увеличить поголовье крупного рогатого скота как минимум на 10 тыс.
Первыми будут построены молокозавод в Отрадном и
10 молочных ферм в муниципальных районах Самарской области. Строительством
молокозавода займется ООО «Радна», входящая в ГК «Росби» бизнесмена Николая
Сомова.
На предприятии, которое расположится в г.
Отрадном, планируется выпускать социально значимые сорта молочной продукции и
сыров, которые сейчас поставляются в Самарскую область из других регионов и
из-за рубежа. По словам Николая Сомова, стоимость строительства такого завода,
скорее всего, превысит 1,5 млрд. рублей.
Сейчас, по словам главы Минсельхоза, завершается
процесс выбора площадок под строительство 10 молочных комплексов на 2,4 тыс.
голов каждый. Молочные фермы появятся в Богатовском, Борском, Алексеевском
районах, в ряде северных районов: Исаклинском, Шенталинском, Челно-Вершинском.
Снижение ввозных пошлин на молочную продукцию
приведет к сокращению собственного производства молока на 1-2% в год. Такой
прогноз, опубликованный экспертами молочного рынка, противоречит правительственным
планам, которые, напротив, предполагают увеличение на рынке доли российского
молока.
Российские производители обнародовали вчера
тревожные прогнозы. Так, по данным специалистов компании «Экомилк», в 2013-2014
годах объем производства молока сократится на 1-2%. Основные причины сокращения
- рост цен на сырье и конкуренция с зарубежными производителями: «Российский
молочный рынок находится под сильным влиянием иностранных инвесторов.
После вступления России во Всемирную торговую
организацию отмечается увеличение импорта молока за счет существенного снижения
ввозных пошлин. Объем импорта в 2014 году может увеличиться на 17% по сравнению
с 2010 годом и достигнуть почти 10 млн. т. Это касается прежде всего сухого
молока, пошлина на которое будет снижена с 25 до 15%.
Таким образом, на российском молочном рынке
складывается идеальная ситуация для закрепления позиций зарубежных компаний.
При этом они отмечают, что среднестатистический россиянин потребляет в год
около 230 л молока, в то время как норма потребления равна 350 л. Теоретически
спрос на молоко в будущем может вырасти. И удовлетворить этот прирост за счет
отечественного производства будет почти невозможно.
Однако эта тревога российских молочников
правительственным чиновникам, судя по всему, не ведома. Наоборот, в
правительстве ожидают если и не расцвета, то по крайней мере более уверенного,
чем думают производители, роста молочной отрасли страны к 2030 году. В конце
января Минэкономразвития обнародовало прогноз социально-экономического развития
РФ до 2030 года, в котором говорится, что несмотря на членство в ВТО Россия к
2030 году увеличит производство молока чуть ли не на 34-44% по сравнению с 2012
годом - до 43-46 млн. т в год против 32 млн. т в прошлом году.
Одновременно с этим в Минэкономразвития
прогнозируют к 2030 году 30-процентный рост потребления молочной продукции
населением.
В правительстве не отрицают, что в условиях ВТО
производителям будет непросто: «Вступление России в ВТО, а также создание
единого таможенного пространства окажет особое влияние на отрасль. Предприятиям
- производителям молочных продуктов придется действовать в условиях жесткой
конкуренции с импортными поставщиками», - говорится в прогнозе. Но в
Минэкономразвития при этом надеются, что «меры государственной поддержки, которые
позволят увеличить поголовье и продуктивность дойного стада, будут
способствовать равномерному развитию производства молока и молочной продукции».
Правда, в документе ведомства не сказано, о каких именно мерах идет речь.
Особенно привлекателен российский рынок сбыта
для производителей из Европы, которые столкнулись на фоне кризиса со стагнацией
местных рынков. Добавим, что среди ключевых факторов привлекательности России
многие эксперты часто называют не только растущий спрос, но и стоимость молока.
По этому показателю Россия занимает одно из ведущих мест в Европе, уступая лишь
скандинавским странам. Но не все эксперты разделяют нынешние опасения
отечественных молочников. Производители молока вполне способны избежать угрозы
демпинга со стороны зарубежных конкурентов, если всерьез озаботятся работой с
имиджем российской молочной отрасли. Молоко относится к числу тех продуктов,
где помимо цены потребитель обращает внимание на качество и безопасность.
Особенно, если речь идет о детских молочных продуктах
Для конкуренции с иностранными игроками
российские производители должны повышать рентабельность производства. И здесь в
первую очередь речь идет о принципах организации хозяйства. В России молочные
производители развиваются преимущественно «вширь», то есть за счет увеличения
поголовья. В Европе же молочное производство развивается «вглубь»:
увеличиваются надои с уже имеющегося поголовья. В итоге на сегодняшний день в
России на тысячу человек приходится около 80-85 голов крупного рогатого скота.
В Европе этот показатель вдвое ниже». По оценкам эксперта, вполне ожидаем
вынужденный уход с рынка многих мелких хозяйств, а также их слияние и
поглощение более крупными игроками.
И самое главное - розничные цены на молочную
продукцию, судя по всему, не порадуют наших граждан. ВТО вряд ли поможет
потребителям сэкономить на молоке - будь то импортном или отечественном.
Теоретически молоко должно подешеветь, поскольку
себестоимость производства за рубежом ниже, чем в России. Однако ожидать
резкого снижения цен все же не стоит. Ведь иностранные игроки постараются
снижать цены лишь для закрепления на новом рынке. Как только рынок будет
поделен, цены на молоко вновь могут пойти вверх.
2.
Анализ
вариации основных статистических показателей продуктивности коров в
сельскохозяйственных организациях по группе районов Самарской области
Статистическая сводка - это операция по
обобщению данных. Статистическая группировка является важнейшим методом
обобщения статистических данных. Представляет собой разделение единиц
совокупности по каким-либо признакам. Причем призрак, положенный в основу
группировки называется группировочным.
Группировочный призрак является факторным, по
данным в приложения проведём группировку. При группировке по количественному
признаку число групп определяется по формуле Стерджесса:
Ig N , (1)
где n - число групп, N - объем
совокупности.
Проведем статистико-экономический анализ
продуктивности скота 15 районов Самарской области (с Алексеевского по
Красноармейский районы).
Следовательно, n=(1+3,322)*Ig15=4,9
5.
Величина равного интервала определяется по
формуле:
, (2)
где
, т.е. размах вариации;
- максимальное и минимальное
значение признака совокупности.
Проведем группировку районов
Самарской области по продуктивности скота в сельскохозяйственных организация:
(тыс. т.)
Проведем группировку районов по
продуктивности коров (табл. 1)
Таблица 1
Распределение районов Самарской
области по продуктивности коров в 2010г.
|
Группы
хозяйств по надою молока, тыс. т.
|
Число
районов
|
Структура,
% (частности)
|
|
5,7
- 10,22
|
4
|
20
|
|
10,22
- 14,74
|
3
|
13,3
|
|
14,74
- 19,26
|
5
|
33,3
|
|
19,26
- 23,78
|
2
|
26,7
|
|
23,78
- 28,3
|
1
|
6,7
|
|
Итого
|
15
|
100
|
Максимальную долю занимают организации у которых
производство молока находятся в интервале 14,74 - 19,26 тыс. т., а минимальную
- в интервале 23,78 - 28,3 тыс. т. молока.
Проведем расчет структурных характеристик
вариационного ряда. Для расчетов воспользуемся таблицей 2.
Таблица 2
Распределение районов по производству молока
|
Группы
хозяйств по надою молока, тыс. т.
|
Дискретный
ряд
|
Число
районов
|
Накопленные
частности
|
|
5,7
- 10,22
|
7,96
|
4
|
4
|
|
10,22
- 14,74
|
12,48
|
3
|
7
|
|
14,74
- 19,26
|
17
|
5
|
12
|
|
19,26
- 23,78
|
21,52
|
2
|
14
|
|
23,78
- 28,3
|
26,04
|
1
|
15
|
|
Итого
|
-
|
15
|
-
|
Средняя арифметическая взвешенная является
наиболее распространенным видом средних. Для расчета используется следующая
формула:
(3)
- средняя величина
- значение усредняемого признака
fi - частота.
Следовательно,
(тыс. т.)
Среднее производство молока по 15 районам в 2010
г. составило 14,89 тыс. т..
Модой называется чаще всего встречающийся
вариант или значение признака, которое соответствует максимальной точке
теоретической кривой распределения. В интервальном вариационном ряду модой
приближенно считают центральный вариант модального интервала, то есть того
интервала, который имеет наибольшую частоту и частность. В пределах данного
интервала находят значения признака, который является модой по следующей
формуле:
(4)
xo - нижняя
граница модального интервала
h - величина
модального интервала
f1 - частота
интервала предшествующего модального интервала
f2 - частота
модального интервала
f3 - частота
интервала последующего модальному интервалу.
Тогда,
Медиана - это величина, которая делит
численность упорядоченного вариационного ряда на две равные части: одна часть
имеет значение вариационного признака меньше чем медианное значение, а другая -
больше. Для нахождения медианы в интервальном ряду рассчитываются накопленные
частоты (частости). Медиана находится в интервале, где накопленная частота
составляет половину или больше половины всей суммы частот:
(5)

- нижняя граница медианного
интервала;

- величина медианного интервала;

- сумма всех частот;

- частота медианного интервала;

- кумулятивная (накопленная) частота
интервала, предшествующего медианному .
В половине районов среднее
производство молока меньше чем 15,2 тыс. т., а в другой половине больше.
Кроме аналитического подхода
используется ещё и графический, для нахождения значений структурных величин.
Так мода находится на основе гистограммы. Гистограмма используется для
графического изображения интервального вариационного ряда. Построим гистограмму
распределения районов по производству молока (рис. 2).
Рисунок 2 Гистограмма распределения районов по
производству молока
Построим кумуляту распределения районов и
отметим медиану.
Рисунок 3 Кумулята по распределению районов по
производству молока
Далее проведем расчет абсолютных и относительных
показателей вариации. Воспользуемся вспомогательной таблицей 3.
Расчет абсолютных и относительных показателей
вариации производства молока.
Таблица 3
Группы xоз-в по
надою молока, тыс. т. Дискретный ряд, xi Число
районов,
fi
|
|
|
|
|
|
|
|
5,7
- 10,22
|
7,96
|
4
|
31,84
|
-6,93
|
27,72
|
48,02
|
192,10
|
|
10,22
- 14,74
|
12,48
|
3
|
37,44
|
-2,41
|
7,23
|
5,81
|
17,42
|
|
14,74
- 19,26
|
17
|
5
|
85
|
2,11
|
10,55
|
4,45
|
22,26
|
|
19,26
- 23,78
|
21,52
|
2
|
43,04
|
6,63
|
13,26
|
43,96
|
87,91
|
|
23,78
- 28,3
|
26,04
|
1
|
26,04
|
11,15
|
11,15
|
124,32
|
124,32
|
|
Итого
|
-
|
15
|
223,36
|
10,55
|
69,9
|
226,56
|
444,02
|
Для характеристики размера вариации применяются
абсолютные показатели вариации: размах вариации, среднее линейное отклонение,
среднее квадратическое отклонение и дисперсия. Размах вариации
(6)
R=28,3 - 5,7
= 22,6 тыс. т.
х - значение признака
Разность между максимальным и
минимальным значениями производства молока равна 22,6 тыс. т.
Среднее линейное отклонение:
(7)
тыс. т.
Продуктивность коров в каждом районе
отклоняется от средней производительности молока по всем районам в среднем на
4, 66 тыс. т..
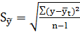
Среднее квадратическое отклонение:
(8)
тыс. т.
Среднеквадратическое отклонение
показывает абсолютное отклонение производства молока от среднеарифметического
равно 5,44 тыс. т..
Дисперсия:
(9)
Дисперсия - представляет собой
средний квадрат отклонений производства молока от средней величины и равна.
Для характеристики интенсивности
вариации производства молока исчисляются показатели: коэффициент осцилляции, относительное
линейное отклонение, коэффициент вариации.
Коэффициент осцилляции:
(10)
Коэффициент осцилляции показывает, что
относительная колеблемость крайних значений производства молока вокруг средней
величины равна 151,7%.
Относительное линейное отклонение:
(11)
Доля усредненного значения
абсолютных отклонений от средней величины составляет 31,3%.
Коэффициент вариации:
(12)
Коэффициент вариации равен 36,5%,
это означает, что вариация надоя молока на одну среднегодовую корову в группе
районов Самарской области слабая, а совокупность районов однородная.
Для оценки степени асимметрии
используют моментный и структурный коэффициент асимметрии.
Моментный коэффициент асимметрии:
(13)
- центральный момент распределения
третьего порядка.
σ3 - среднее
квадратическое отклонение в третьей степени
Если Аs<
0 то это означает, что асимметрия левосторонняя.
Если Аs
> 0 то это означает, что асимметрия правосторонняя.
(14)
Средняя квадратическая ошибка:
(15)
где n
- число наблюдений.
Тогда,
.
Следовательно
Если отношение
>3, то
асимметрия является существенной и распределение признака в генеральной
совокупности несимметрично.
Если отношение
< 3, то
асимметрия не существенна, ее наличие может быть вызвано случайными
обстоятельствами.
Так как,
< 3,
асимметрия не существенна.
3.
Корреляционно-регрессионный
анализ связи расхода кормов и надоя молока на одну среднегодовую корову
Корреляционный анализ проводится для того, чтобы
количественно определить тесноту связей между признаками. Связь двух признаков
(х и у) называется парной корреляцией. Влияние нескольких факторов на
результативный признак называется множественной корреляцией.
Наряду с корреляцией, т.е. статистической
зависимостью между величинами, для которых не характерна функциональная связь,
в статистике используется и регрессия. Регрессионный анализ используется для
аналитического выражения форм связи.
Корреляционно-регрессионный анализ учитывает
межфакторные связи и дает более полное измерение роли каждого фактора: прямое,
непосредственное его влияние на результативный признак; косвенное влияние
фактора через его влияние на другие факторы, влияние всех факторов на
результативный признак.
Конечной же целью корреляционно-регрессионный
анализ ставит получение модели зависимости для её практического использования.
Корреляционно-регрессионный анализ включает в
себя выполнение следующих основных этапов:
1. Логический анализ сущности изучаемого
явления и причинно-следственных связей.
2. Сбор первичной информации и проверка её
на однородность и нормальность распределения. Для оценки однородности
совокупности используется коэффициент вариации по факторным признакам.
3. Исключение из массива
первичной информации всех резко выделяющихся единиц по уровню
признаков-факторов. Исключаются все единицы, уровень признака которых не
попадает в интервал:
.
. Установление факта наличия
связи и её формы измеряется степень тесноты связи и проводится оценка ее
существенности.
Для определения степени тесноты парной линейной
зависимости служит линейный коэффициент корреляции (r):
(16)
, (17)
где
- отклонение вариантов значений
признака фактора от средней величины;
- отклонение вариантов значений
результативного признака, вызванная влиянием признака-фактора.
n - число
единиц в совокупности.
Для определения степени тесноты при
любой форме зависимости (линейной или нелинейной) служит эмпирическое
корреляционное отношение (η):
(18)
где σ2межгр -
межгрупповая дисперсия результативного признака, вызванная влиянием факторного
признака.
Линейный коэффициент корреляции
может принимать значения в пределах от -1до 1. Чем ближе он по абсолютной
величине к 1, тем теснее связь. Знак «минус» говорит о том, что между
признаками связь обратная, «плюс» - прямая. η меняется от 1 до 0, причем,
чем ближе его значение к 1, тем сильнее связь.
Качественная оценка тесноты связи
величин может быть выявлена на основе шкалы Чеддока.
Таблица 4
Качественная оценка связи величин
|
Теснота
связи
|
Значение
коэффициента корреляции при наличии
|
|
Прямой
связи
|
Обратной
связи
|
|
Слабая
|
0,1
- 0,3
|
(-0,1)
- (-0,3)
|
|
Умеренная
|
0,3
- 0,5
|
(-0,3)
- (-0,5)
|
|
Заметная
|
0,5
- 0,7
|
(-0,5)
- (-0,7)
|
|
Высокая
|
0,7
- 0,9
|
(-0,7)
- (-0,9)
|
|
Весьма
высокая
|
0,9
- 0,99
|
(-0,9)
- (0,99)
|
После установления достаточной тесноты связи
выполняется построение модели связи - уравнения регрессии. Тип модели
выбирается на основе сочетания теоретического анализа и исследования фактических
данных посредством построения эмпирической линии регрессии. На практике
используются следующие типы функций: линейная, гиперболическая, параболическая
и показательная. Основное значение имеет линейная модель в силу простоты и
логичности её экономической интерпретации. Уравнение парной регрессии имеет
вид:
(19)
где
- среднее значение результативного
признака у при определенном значении факторного признака х;
а0 - свободный член
уравнения;
а1 - коэффициент
регрессии, измеряющий среднее отношение отклонения результативного признака от
его средней величины к отклонению факторного признака от его средней величины
на одну единицу изменения - вариация у, приходящаяся на единицу вариации
х.
Параметры уравнения регрессии можно
вычислить следующим образом:
(20)
(21)
Параметр а1 показывает,
на сколько изменится значение результативного признака, если факторный признак
изменится на единицу своего измерения. По значению параметра а0
( свободный член уравнения) судят об усредненном влиянии на результативный
признак неучтенных факторов.
На практике чаще всего используется
множественный корреляционный анализ. Он включает в себя выполнение следующих
этапов:
1. Изучение множественной корреляционной
зависимости начинается с анализа матрицы парных коэффициентов корреляции, что
позволяет произвести отбор факторов, включаемых в модель множественной
зависимости. По этой матрице можно судить о тесноте связи факторов с
результативным признаком и между собой. Не рекомендуется включать в уравнение,
факторы слабо связанные с результативными признаками, но тесно связанные с
другими факторами.
2. Отобранные факторы включаются в модель
множественной зависимости. При этом следует учитывать, что число факторов,
включаемых в модель, должно быть в 5-6 раз меньше, чем число единиц, входящих в
совокупность.
Линейное уравнение множественной зависимости
имеет вид:
(22)
3. Для измерения степени тесноты связи
между изменениями величины результативного признака и изменениями значений
факторных признаков определяется коэффициент множественной корреляции ( R
).
Для случая зависимости результативного признака
от двух факторных признаков формула множественного коэффициента корреляции
имеет вид:
(23)
Величинa R измеряется
в пределах от 0 до 1 и численно не может быть меньше, чем любой из образующих
его парных коэффициентов корреляции. Чем ближе он к единице, тем меньше роль
неучтенных в модели факторов и тем более оснований считать, что параметры
регрессионной модели отражают степень эффективности включенных в нее факторов.
После нахождения коэффициента
корреляции необходимо проверить его значимость на основе t-критерия
Стьюдента. Для этого необходимо значение расчетного критерия Стьюдента сравнить
с табличным значением.
где n
- число наблюдений;
n - 2 - число
степеней свободы.
Если
, то можно утверждать, что
коэффициент корреляции значим.
Результаты регрессивного анализа
следует интерпретировать и проверять последовательно тремя этапами или шагами:
этап. Проверяется объясненная
вариация результативного признака, т.е. исчисляется множественный коэффициент
детерминации
. Значение
должно быть
не менее 0,5. В этом случае уравнение достоверно.
этап. Проверяется адекватность
уравнения регрессии (критерий Фишера). Если расчетное значение F-критерия
Фишера больше F-табличного,
то можно утверждать, что построенная модель регрессии адекватна.
этап. Проверяется значимость
уравнения регрессии. Для этого сравниваются коэффициенты регрессии и их стандартные
ошибки. Параметры уравнения признаются значимыми, если коэффициенты уравнения
больше их стандартных ошибок.
Для сравнения роли различных
факторов в формировании моделируемого показателя определяются коэффициент
эластичности (Эi) или β -
коэффициент (βi).
Частный коэффициент эластичности
показывает, на сколько процентов в среднем измеряется результативный признак с
изменением признака-фактора на 1%. Он определяется по формуле:
(25)
где b - коэффициент
регрессии при j-том
факторе.
β - коэффициент показывает, на
какую часть среднего квадратического отклонения изменится результативный
показатель при изменении соответствующего фактора на величину его среднего
квадратического отклонения. Его формула имеет вид:
(26)
Для расчета корреляционно -
регрессионного анализа связи между расходом кормов и продуктивности коров
воспользуемся табличным процессором Excel инструмент
«анализ данных».
Были получены следующие результаты
(табл. 5).
Таблица 5
Результаты
корреляционно-регрессионного анализа
|
Показатели
|
Значения
|
|
Коэффициент
парной корреляции r
|
0,2747
|
|
Коэффициент
детерминации r2
|
0,07546
|
|
Нормированный
R-квадрат
|
0,004341
|
|
t-критерий
Стьюдента
|
4,3
|
|
Наблюдения
|
15
|
Коэффициент парной линейной корреляции (0,2747)
показал, что связь между расходом кормов и продуктивностью коров прямая и
слабая, что говорит о том, что с увеличением расходов кормов продуктивность
коров будет иметь тенденцию к увеличению. 7,5% вариации надоя молока
обусловлено влиянием вариации расходом кормов на одну среднегодовую корову,
остальные 92,5% обусловлены влиянием других факторов. Коэффициент корреляции
статистически значим, так как рассчитанный критерий Стьюдента больше табличного
(tтабл.(0,02;
14) = 2,6245).
Результаты проведения дисперсионного анализа
представлены в таблице 6.
Таблица 6
Дисперсионный анализ
|
Степень
свободы
|
Сумма
квадратов отклонения
|
Дисперсия
|
Критерий
Фишера
|
Значимость
критерия Фишера
|
|
Факторная
|
1
|
18,08953191
|
18,08953191
|
1,061043965
|
0,321761672
|
|
Остаточная
|
14
|
221,6344681
|
17,04880524
|
-
|
-
|
|
Общая
|
15
|
239,724
|
-
|
-
|
-
|
Проведем оценку параметров регрессии (табл. 7).
Таблица 7
Оценка параметров регрессии
|
Коэффициенты
|
Стандартная
ошибка
|
t-статистика
|
P-Значение
|
|
Свободный
член (а)
|
12,02
|
2,791149375
|
4,307513372
|
0,00085134
|
|
Коэфф-т
регрессии (b)
|
0,18
|
0,172658691
|
1,030069884
|
0,321761672
|
При увеличении расходов кормов на одну
среднегодовую корову среднеквадратического отклонения, надой молока на одну
среднегодовую корову увеличится в среднем на 5,44 части своего среднего
квадратического отклонения.
4.
Анализ динамики производства
молока
4.1 Понятие
динамики
Ряд динамики - это числовые значения
статистического показателя, представленные во временной последовательности. Он
состоит из двух граф: в первой указываются периоды (или даты), во второй
показатели, характеризующие изучаемый объект за эти периоды (или на эти даты).
Показатели второй графы носят названия уровней
ряда: первый показатель называется начальным уровнем, последний - конечным.
Уровни ряда могут быть выражены абсолютными, средними или относительными
величинами. Ряды динамики относительных и средних величин строятся на основе
рядов абсолютных величин.
Ряды динамики могут быть двух видов:
интервальные и моментные.
Интервальный ряд - статистический ряд,
характеризующий размеры изучаемого явления за определенные промежутки (периоды
или интервалы времени). Особенностью интервальных рядов из абсолютных величин
является то, что их уровни можно суммировать, получая при этом новые численные
значения объема явления, относящееся к более длительным периодам.
Моментный ряд - статистический ряд,
характеризующий размеры изучаемого явления на определенную дату или момент
времени. Уровни моментных динамических рядов суммировать нельзя; сумма не имеет
смысла, так как каждый последующий уровень полностью или частично включает в
себя предыдущий уровень. Важнейшим условием правильного формирования рядов
динамики является сопоставимость уровней, образующих ряд. Специальным условием
сопоставимости абсолютных величин интервального динамического ряда является
равенство периодов, за которые проводятся данные. При изучении рядов динамики
перед статистикой стоят следующие задачи:
) охарактеризовать интенсивность развития
явления от периода к периоду (от даты к дате);
2) охарактеризовать среднюю интенсивность
развития за исследуемый период;
) выявить основную тенденцию в развитии
явления;
) изучить сезонные колебания.
4.2 Показатели
ряда динамики
Для изучения интенсивности измерения уровней
ряда во времени исчисляются следующие показатели динамики: абсолютные приросты,
коэффициенты роста, темпы роста, темпы прироста, абсолютные значения одного
процента прироста.
Перечисленные показатели динамики можно
исчислять с переменной (цепные) или постоянной базой (базисные показатели
динамики).
Методы расчета показателей динамики в таблице 8.
При расчете показателей приняты следующие
условные обозначения:
Уi
- уровень текущего периода;
Уi-1
- уровень периода, предшествующего текущему периоду;
Уk
- уровень принятый за постоянную базу уравнения (часто начальный уровень).
Таблица 8
Показатели динамики
|
Наименование
показателя
|
Метод
расчета
|
|
Цепной
|
Базисный
|
|
1.
Абсолютный прирост
|
(27) (28)
|
|
|
2.
Коэффициент роста
|
(29) (30)
|
|
|
3.
Темп роста
|
(31) (32)
|
|
4. Темп прироста
(33)
(35)
(37)
(34)
(36)
|
(38)
|
|
|
|
5.
Абсолютное значение 1% прироста
|
(39) (40)
|
|
Между цепными и базисными показателями
существует следующее соотношение:
) сумма цепных абсолютных изменений равна
базисному абсолютному значению:
(41)
2) произведение цепных темпов изменений
равно базисному темпу изменению:
(42)
Для характеристики динамики развития
явлений за длительный период времени рассчитываются средние показатели
динамики. Метод расчета данных показателей для интервальных рядов представлен в
таблице 9.
Таблица 9
Средние показатели динамики
|
Наименование показателя
|
Метод расчета
|
1.Средний уровень ряда:
а) для интервального ряда; б) для моментного ряда с равными интервалами; в) для
моментного ряда с неравными интервалами а)
(43)
б)
(44)
|
в)
(45)
|
|
|
2. Средний абсолютный прирост
|
(46)
|
|
3. Средний коэффициент роста
|
(47)
|
|
4. Средний темп роста
|
(48)
|
|
5. Средний темп прироста
|
(49)
|
|
6. Средняя величина абсолютного значения 1% прироста
|
(50)
|
Кроме средних показателей динамики
рассчитываются показатели ускорения динамики. Метод из расчета представлен в
таблице 10.
Таблица 10
Показатели ускорения динамики
|
Наименование
показателя
|
Метод
расчета
|
|
1.
Абсолютное ускорение, (Δʹ)
|
(51)
|
|
2.Относительное
ускорение, (Тʹр) %
|
(52)
|
|
3.
Коэффициент опережения,  (53)
|
|
Проведем расчет показателей динамики на примере
производства молока в сельскохозяйственных организациях Богатовского района
Самарской области в 2005-2010 гг. (табл. 11).
Таблица 11
Производство молока в сельскохозяйственных
организациях Богатовского района Самарской области в 2005-2010 гг. (тыс.т)
|
2005
г.
|
2006
г.
|
2007
г.
|
2008
г.
|
2009
г.
|
2010
г.
|
|
Богатовского
района
|
7,8
|
8,3
|
8
|
7,4
|
7
|
7,1
|
Рассчитанные показатели динамики представлены в
следующей таблице.
Таблица 12
Статистические показатели динамики
|
Показатели
|
|
2005
г.
|
2006
г.
|
2007
г.
|
2008
г.
|
2009
г.
|
2010
г.
|
|
Абсолютный
прирост, тыс.тонн
|
Апц
|
-
|
0,5
|
-0,3
|
-0,6
|
-0,4
|
0,1
|
|
Апб
|
-
|
0,5
|
0,2
|
-0,4
|
-0,8
|
-0,7
|
|
Коэффициент
роста
|
Крц
|
-
|
1,06
|
0,96
|
0,925
|
0,945
|
1,01
|
|
Крб
|
-
|
1,06
|
1,02
|
0,85
|
0,89
|
0,98
|
|
Темп
роста, %
|
ТРц
|
-
|
106
|
96
|
92,5
|
94,5
|
101
|
|
ТРб
|
-
|
106
|
102
|
85
|
89
|
98
|
|
Темп
прироста, %
|
ТПц
|
-
|
6
|
-4
|
-7,5
|
-5,5
|
1
|
|
ТПб
|
-
|
6
|
2
|
-15
|
-11
|
-2
|
|
Абсолютное
значение 1% прироста, тыс.т
|
А1%ц
|
-
|
0,08
|
0,075
|
0,08
|
0,07
|
0,1
|
|
А1%б
|
-
|
0,08
|
0,1
|
0,026
|
0,07
|
0,35
|
Проанализировав данные в таблице 11 о динамике
производства молока в Богатовском районе Самарской области можно сказать
следующее:
Характерной особенностью 2005-2010 гг. стало
сокращение производства молока в Богатовском районе. Производство молока в сельскохозяйственных
организациях за этот период сократилось на 9 % (или 700 т). Наибольшее
производство молока было отмечено в 2007 г. и составило 4,3 тыс. т., а
наименьшее производство молока было отмечено в 2010 г. - 2,6 тыс. т.
При расчете абсолютного прироста наибольшее
изменение производства молока в сельскохозяйственных организациях по базисному
методу в 2009 г. произошло сокращение и составило 800 т, по цепному методу в
2008 г. по отношению к 2005 г. произошло уменьшение производства молока на 600
т. Наименьшие изменения были отмечены по базисному методу в 2006 г. и 2007 г.:
сокращение производства молока составило 300 т., по цепному методу в 2009 г. по
отношению к 2008 г.
Темп прироста показал, что наибольшее увеличение
производства молока в сельскохозяйственных организациях было в 2006 г.
(увеличилось на 6%) , а 2008 г. произошло наибольшее сокращение молока
(сократилось на 15%). По цепному методу производство молока в
сельскохозяйственных организациях в 2006 г. по отношению к 2005 г. увеличилось
на 6%, а наибольшее сокращение производства молока было в 2007 г. по отношению
к 2006 г. (на 10%). Наибольшее значение 1% прироста составило 100 т в 2007 г.
по сравнению с 2006 г., а наименьшее - 26 т в 2008 г. по сравнению с 2007 г.
Средние показатели рядов динамики:
1. Средний уровень ряда:

(тыс.т) (54)
. Средний абсолютный прирост:


(55)
. Средний коэффициент роста:

= 
=
(56)
. Средний темп роста:

=Кр*100%=0,97*100%=97%
(57)
. Средний темп прироста:

= 
- 100%=97%-100%=-3% (58)
. Средняя величина абсолютного значения 1%
прироста:
А1% = 
=
=-0,046 тыс.тонн (59)
Средний абсолютный прирост составил
-0,14 тыс.тонн, а это означает, что в течение 2005-2010 гг. производство молока
в среднем с каждым годом снижалось на 140 тонн.
Средний темп роста составил 97%, что
означает, что производство молока за каждый год в среднем составило 97% к
уровню предыдущего года. А так как средний темп прироста составил -3% прироста,
то можно сказать, что производство молока в среднем с каждым годом за период с
2005 по 2010 г. снижалось на 3%.
Среднее значение 1% прироста
составило 46 тонн, а значит на 1% ежегодного уменьшения производства молока за
период с 2005 по 2010 г приходилось 46 тонн.
4.3
Методы выравнивания ряда динамики производства молока на примере Богатовского
района Самарской области. Оценка прогноза
Выявление основной тенденции развития в рядах
динамики:
Метод укрупнения интервалов - при нем уровни
более продолжительных периодов времени и тенденцию изменения описывают по
полученным средним показателям.
Метод скользящих средних - при использовании
метода необходимо задать число звеньев для расчета скользящих средних, оно
может быть четным и нечетным.
При нечетном числе звеньев - скользящая средняя
относится к середине интервала, при четном числе звеньев используется метод
центрирования то есть, из найденных скользящих средних находят среднюю
арифметическую величину, которую относят к серединному уровню.
Сглаживание динамики производства молока в
Богатовском районе представлено в таблице 13.
Таблица 13
Метод сглаживания ряда динамики
|
Годы
|
Производство
молока в хозяйствах всех категорий (тыс.т)
|
Сглаживание
рядов динамики
|
Метод
укрупнение интервалов
|
|
|
скользящая
средняя
|
|
|
|
Трехчленная
|
Четырехчленная
(центрирование)
|
|
|
2005
|
7,8
|
-
|
-
|
7,8
|
|
2006
|
8,3
|
7,8
|
-
|
|
|
2007
|
8
|
8
|
7,8
|
|
|
2008
|
7,4
|
7,4
|
7,4
|
7,1
|
|
2009
|
7
|
7,1
|
-
|
|
|
2010
|
7,1
|
-
|
-
|
|
Метод выявления основной тенденции на основе
аналитического выравнивания ряда динамики - при этом изучаемый показатель
рассматривают как функцию времени.
Кроме того, в статистике проводится
аналитическое выравнивание рядов динамики, которое дает математическое
выражение развитию явления во времени и является наиболее эффективным способом
выявления тренда (основной тенденции развития явления). Условно уровни рядов
динамики можно выразить в зависимости от показателя времени.
(60)
Простейшим выражением этой функции является
выражение прямолинейного тренда.

,
(61)
где 
- уровни, выровненные по прямой;
а0 - свободный член
уравнения, соответствует значению теоретического уровня ряда динамики при t=0;
а1 - скорость
изменения показывает, как изменился теоретический уровень при изменении
показателя времени на 1.
В статистики по уравнению тренда
можно построить прогноз. Различают два вида прогноза: точечный и интервальный.
Прогноз считается статистически объективным,
если период прогноза не превышает 1/3 изучаемого периода.
Данные для расчета параметров уравнения тренда
представлены во вспомогательной таблице 14.
Таблица 14
Расчет параметров уравнения тренда
|
Годы
|
Производство
молока в сельскохозяйственных организациях (тыс.тонн)
|
   
|
|
|
|
|
|
2005
|
7,8
|
-3
|
-23,4
|
9
|
8,2
|
-0,4
|
|
2006
|
8,3
|
-2
|
-16,6
|
4
|
7,98
|
0,32
|
|
2007
|
8
|
-1
|
-8
|
1
|
7,79
|
0,21
|
|
2008
|
7,4
|
1
|
7,4
|
1
|
-0,01
|
|
2009
|
7
|
2
|
14
|
4
|
7,22
|
-0,22
|
|
2010
|
7,1
|
3
|
21,3
|
9
|
7,03
|
0,07
|
|
Итого
|
45,6
|
0
|
-5,3
|
28
|
45,63
|
-0,03
|
Параметры уравнения рассчитываются по формулам:
а0=
= 
(62)
a1=
(63)
Следовательно, для полученных расчетов уравнение
тренда будет иметь следующий вид:
По полученному уравнению тренда
строим точечную оценку прогноза по производству молока на 3 последующих года:
2011, 2012 и 2013 гг.:
Таким образом, если производство молока в
сельскохозяйственных организациях Богатовского района самарской области будет
сокращаться до 2012 года с той же скоростью, с какой он сокращался в период с
2005 г. по 2010 г., то тренд производства молока в среднем пройдет в 2013 году
через точку 6,52 тыс. т. Такой прогноз называется точечный.
Интервальная оценка прогноза:

(64)

(65)

(66)
Таким образом, согласно прогнозу, производство
молока на 2013 г. будет колебаться от 6,29 тыс. тонн до 6,65 тыс. тонн, это
можно утверждать с вероятностью 0,95.
Исследование динамики производства молока в
сельскохозяйственных организациях Богатовского района Самарской области методом
аналитического выравнивания представлено на рисунке 4.
Рисунок 4 Динамика производства молока в
сельскохозяйственных организациях Богатовского района Самарской области за
2005-2010 гг.
Таким образом, динамика производства молока в
сельскохозяйственных организациях Богатовского района Самарской области начиная
с 2007 г. имеет тенденцию к снижению.
Выводы
и предложения
В курсовой работе был проведен
статистико-экономический анализ эффективности производства молока в
сельскохозяйственных организациях Самарской области. В заключение данной работы
можно сделать следующие выводы:
После засухи 2010 г. и вынужденного убоя части
молочной скотины, 1 октября 2012 года в самарской области увеличилось поголовье
коров ‒ на 1,9 тыс. голов (+1,8%) и с января по декабрь 2012 года
произвело молока 418,7 тыс. т. , что превышает показатели 2011 года на 2,8%.
Среднее производство молока по 15 районам
Самарской области в 2010 г. составило 14,89 тыс. т..
Корреляционный анализ показал, что происходит
увеличение продуктивности коров на 5,54 ц при увеличении расхода кормов на 1
ц.к.ед./гол. Коэффициент корреляции показывает, что теснота связи между
анализируемыми признаками прямая и слабая. Коэффициент детерминации показывает,
что 7,5% вариации надоя молока обусловлено влиянием вариации расходом кормов на
одну среднегодовую корову, остальные 92,5% обусловлены влиянием других
факторов.
Темп прироста показал, что наибольшее увеличение
производства молока в сельскохозяйственных организациях было в 2006 г.
(увеличилось на 6%) , а 2008 г. произошло наибольшее сокращение молока
(сократилось на 15%).
Динамика производства молока в
сельскохозяйственных организациях Самарской области начиная с 2007 г. имеет
тенденцию к снижению.
Основываясь на данных проведенного анализа,
используя метод экстраполяции, также выяснили, что при прочих равных условиях,
уровень продуктивности в плановом периоде будет убывать, также как и валовой
надой.
Список
использованной литературы
1. Афанасьев В.Н., Маркова А.И.
Статистика сельского хозяйства: Учебник для вузов. - М.: Финансы и статистика,
2003. - 272 с.: ил.
. Балабайкин В.Ф. Определение
условий устойчивого равновесия на рынках молочной продукции/В.Ф. Балабайкин,
Е.Ю. Трофименко // Хранение и переработка сельхозсырья.-2006. - № 1. - С.10-12.
. Башкатов Б.И. Статистика
сельского хозяйства. С основами общей теории статистики. Курс лекций. - М.:
Ассоциация авторов и издателей «ТАНДЕМ». Издательство «ЭКМОС». - 2001. - 352 с.
. Глазунов В. Повышение
конкурентоспособности молока и молочной продукции/ В. Глазунов, Д. Сердобинцев
//АПК: экономика, управление.-2006.-№12. - С.33-35.
. Горощенко Л. Г. Российский
рынок молочных продуктов/Л.Г. Горощенко //Молочная промышленность.-2007.-№3. -
С.10-12.
. Елисеева И.И. Статистика:
Учебник.- М.: ТК «Велби», 2003 - 448 c.
. Колобова А. И. , Косинцева
О.А. Рынок молока и молочных продуктов в регионе/ А. И. Колобова, О.А.
Косинцева //Вестник Алтайского государственного аграрного универ.-2005. - № 1
(17). - С. 142-146.
. Лабинов В.В. Состояние и
перспективы молочной отрасли России В.В. Лабинов, Т.И. Крикун //Переработка
молока.-2006.-№12. - С.4-6.
. Лабинов В. Чтобы молочные
реки не иссякли/В. Лабинов // Агрорынок.-2007.-№3.- С.6-8.
. Общая теория статистики:
Статистическая методология в изучении коммерческой деятельности: Учебник / А.И.
Харламов, О.Э. Баши-на, В.Т. Бабурин и др.; Под ред. А.А. Спирина, О.Э.
Башиной.-4-е изд.- М.: Финансы и статистика, 1997.- 296 с.: ил.
. Сергеев В.Н. Молочная
промышленность России: первая пятиле¬тка ХХI века/В.Н.Сергеев //Молочная
промышленность.-2006. - №4. - С.4-10.
. Статистика : методические указания
для выполнения курсовой работы / сост. Куздавлетова А.Б. - Кинель : РИЦ СГСХА,
2010. - 89 с.
. Стрекозов И.И. Чинаров И.И.
Экономические основы развития жи-вотноводства России до 2010 года // Экономика
сельскохозяйствен-ных и перерабатывающих предприятий. - 2003. № 7. с. 7 - 10
. Чернова Т.В. Экономическая
статистика: Учебное пособие. Таган-рог: Изд-во ТРТУ, 1999. - 140 с.
. Щетинин М. П. Состояние и
развитие рынка молока и молочной продукции Алтайского края/М.П.Щетинин
//Молочная промышленность. - 2006. - №2. - С.4-8.
18.
Экономическая эффективность. Статистика молоко ОАО. Курсовая [Электронный
ресурс] - URL:
<http://www.agronews.ru/news/detail/124668/> , (дата обращения
06.04.2013).
.
Информационное агентство. Публикация [Электронный ресурс] - URL:
<http://www.tatar-inform.ru/news/2012/12/26/343370/>, (дата обращения
11.04.2013).
.
Современное состояние и перспективы переработки молочной сыворотки. Публикация
[Электронный ресурс] - URL: <http://www.milkbranch.ru/publ/view/21.html>,
(дата обращения 15.04.2013).
Приложения
Таблица 15
Производство молока в хозяйствах всех категорий
|
2005
|
2006
|
2007
|
2008
|
2009
|
2010
|
|
По
области
|
448,6
|
450,5
|
437,9
|
439,3
|
426,7
|
398,7
|
|
Алексеевский
район
|
12,3
|
13,6
|
13,1
|
11,3
|
12,6
|
11,9
|
|
Безенчукский
район
|
15,7
|
16,2
|
15,7
|
16,7
|
18,5
|
18,6
|
|
Богатовский
район
|
7,8
|
8,3
|
8
|
7,4
|
7
|
7,1
|
|
Большеглушицкий
район
|
19,8
|
19,8
|
21,9
|
22,6
|
18,9
|
15,7
|
|
Большечерниговский
район
|
23,4
|
24,3
|
22,7
|
23,3
|
21,8
|
22,3
|
|
Борский
район
|
15,9
|
15,4
|
14,8
|
15
|
13,7
|
12,2
|
|
Волжский
район
|
24,2
|
25
|
21,7
|
20,1
|
15,9
|
15,7
|
|
Елховский
район
|
8,9
|
8,9
|
9
|
9,3
|
8,1
|
5,7
|
|
Исаклинский
район
|
26,3
|
26,3
|
23,2
|
23,5
|
22,5
|
22,1
|
|
Камышлинский
район
|
7,3
|
6,9
|
7
|
7
|
8
|
6,8
|
|
Кинельский
район
|
18,2
|
16,8
|
17,8
|
17,7
|
15,3
|
13,9
|
|
Кинель-Черкасский
район
|
16,1
|
15,4
|
15
|
16,2
|
17,8
|
17,3
|
|
Клявлинский
район
|
11,3
|
12,1
|
11,1
|
10,1
|
10,4
|
9,7
|
|
Кошкинский
район
|
24,4
|
25,4
|
27,5
|
30
|
29,8
|
28,3
|
|
Красноармейский
район
|
18,2
|
18,6
|
18,3
|
20,5
|
18,4
|
17,2
|
Таблица 16 Наличие всех кормов в
расчете на 1 условную корову, ц корм. ед.
|
По
области
|
10,6
|
|
Алексеевский
район
|
16,4
|
|
Безенчукский
район
|
21,1
|
|
Богатовский
район
|
6
|
|
Большеглушицкий
район
|
18
|
|
Большечерниговский
район
|
12,7
|
|
Борский
район
|
15,4
|
|
Волжский
район
|
17,6
|
|
Елховский
район
|
15,9
|
|
Исаклинский
район
|
14
|
|
Камышлинский
район
|
15
|
|
Кинельский
район
|
8,2
|
|
Кинель-Черкасский
район
|
15,9
|
|
Клявлинский
район
|
16
|
|
Кошкинский
район
|
18,9
|
|
Красноармейский
район
|
9,1
|
Таблица 17 Поголовье
коров
|
По
области
|
101,5
|
|
Алексеевский
район
|
2,9
|
|
Безенчукский
район
|
4,3
|
|
Богатовский
район
|
2,1
|
|
Большеглушицкий
район
|
4,4
|
|
Большечерниговский
район
|
7,4
|
|
Борский
район
|
2,7
|
|
Волжский
район
|
4,7
|
|
Елховский
район
|
1,4
|
|
Исаклинский
район
|
5,3
|
|
Камышлинский
район
|
1,7
|
|
Кинельский
район
|
3,8
|
|
Кинель-Черкасский
район
|
4,2
|
|
Клявлинский
район
|
2,4
|
|
Кошкинский
район
|
6,5
|
|
Красноармейский
район
|
4,4
|