Автоматизация центрального теплового пункта

  • Вид работы:
    Курсовая работа (т)
  • Предмет:
    Другое
  • Язык:
    Русский
    ,
    Формат файла:
    MS Word
    140,05 Кб
  • Опубликовано:
    2014-04-16
Вы можете узнать стоимость помощи в написании студенческой работы.
Помощь в написании работы, которую точно примут!

Автоматизация центрального теплового пункта

Федеральное агентство железнодорожного транспорта

Федеральное государственное бюджетное образовательное учреждение высшего профессионального образования

Омский государственный университет путей сообщения (ОмГУПС)

Кафедра «Теплоэнергетика»








РАСЧЕТНО-ПОЯСНИТЕЛЬНАЯ ЗАПИСКА

к курсовой работе

по дисциплине «Автоматизация тепловых процессов»

Выполнил: Скоробогатов А.Д.







Омск 2013

Реферат


ЦТП, годограф, преобразователь, регулятор температуры, теплосчетчик, термометр, дифференциальный манометр.

Первая часть состоит из расчёта параметров регулирования: построение переходной характеристики, построение годографа объекта регулирования, АЧХ и ФЧХ, определение настроечных параметров π-регулятора по КЧХ.

Объектом исследования в данной работе является центральный тепловой пункт.

Цель работы: выбор необходимого оборудования для автоматизации центрального теплового пункта и составление схемы автоматики.

Полученные результаты: составлена принципиальная схема автоматизации ЦТП с указанием технических характеристик. Пояснительная записка выполнена в текстовом редакторе Microsoft Office Word 2010.

Содержание

Введение

. Расчет параметров регулирования

.1 Построение переходной характеристики

.2 Построение годографа объекта регулирования, АЧХ и ФЧХ

.3 Определение настроечных параметров, π-регулирования по КЧХ

. Схема автоматизации ЦТП

.1 Центральный тепловой пункт

.2 Составление и анализ структуры системы автоматизации

Заключение

Библиографический список

Введение

Автоматизация играет решающую роль при организации промышленного производства по принципу: выпуск заданного количества продукции при минимуме материальных затрат и затрат ручного труда. Автоматизацией называют управление машинами, механизмами и установками, а также контроль за их работой с помощью специальных устройств при ограниченном участии человека или без него. Теплоэнергетика, отличающаяся широкой механизацией технологических процессов, высокими параметрами рабочей среды, требованиями к точности их регулирования, а также наличием собственного источника энергии, является той областью науки и техники, где постоянно находят применение методы теории и новые технические средства автоматического управления.

Автоматизация теплоэнергетических объектов предусматривает:

1. Дистанционное управление, или управление машинами и механизмами на расстоянии;

2. Теплотехнический контроль (измерение) текущих значений параметров технологического процесса;

3. Технологическую сигнализацию о состоянии основного и вспомогательного оборудования;

4. Автоматическую защиту основного и вспомогательного оборудования от возможных повреждений в процессе эксплуатации;

5. Автоматическое непрерывное регулирование, обеспечивающее автоматическое поддержание технологических параметров вблизи заданного значения;

6. Логическое управление, обеспечивающее автоматическое включение или отключение регуляторов, машин, механизмов и установок в заданной последовательности.

1. Расчет параметров регулирования

.1 Построение переходной характеристики

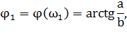
Единичная функция h(t) определяется по формуле:


где ymax - максимальное значение параметра, равное 220; ymin - максимальное значение параметра, равное 110.


Таблица 1 - Зависимость регулируемого параметра от времени

t

110

112

115

120

127

138

150

165

180

195

207

216

223

y

30

40

50

60

70

80

90

100

110

120

130

140

150

h

0

0,042

0,083

0,142

0,233

0,333

0,458

0,583

0,708

0,808

0,883

0,942


Рисунок 1-График зависимости регулируемого параметра от времени

Рисунок 2-График зависимости единичной функции от времени

автоматика тепловой годограф регулятор

1.2 Построение годографа объекта регулирования, АЧХ и ФЧХ

Воспользуемся методом «Шести координат».

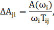
Время действия сигнала составляет t1=150 c, по нему вычисляем интервал разбиения, пользуясь нижеприведенными формулами, и частоту, а полученные значения заносим в таблицу.



По выбранному интервалу разбиения Δ t1 определяем значения функции h(t) в моменты разбиения и заполняем матрицу для первой точки метода «Шести координат»(таблица 2).

Таблица 2 - Матрица данных первой точки исследуемого сигнала

0

80

130

180

230

280

330

380

430

480

530

580

0

0,46

1,62

2

2

2

2

2

2

2

2

2

0

0

0

0

0,46

1,62

2

1,54

0,38

0

0,46

1,62

0

0,46

1,62

2

1,54

0,38

0

0,46

1,62

2

0,38

0

0,23

0,81

1

1

1

1

1

1

1

1

1

0

0,23

0,81

1

0,54

-0,62

-1

-0,54

0,62

1

0,54

-0,62







x0

x1

x2

x3

x4

X5


Матрица продолжается до тех пор, пока не будет выполнятся условие:

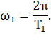
По полученным значениям вычисляем переменные a и b, с помощью которых можно вычислить амплитуду и фазу сигнала в точке 1:



где λ=20%.

Результаты вычислений заносим в таблицу. Аналогичные операции производим для следующих пяти точек, сужая Δt.

   

Таблица 3-Сводная таблица результатов вычислений для шести точек

Величина

Точка 1

Точка 2

Точка 3

Точка 4

Точка 5

Точка 6

T

300

250

200

150

100

50

Δt

50

41,66

33,33

25

16,66

8,33

ω

0,0209

0,0251

0,0314

0,041

0,125

x0

-1

-0,92

-0,62

-0,04

0,16

0

x1

-0,54

-0,7

-0,76

-0,5

0,08

-0,02

x2

0,62

0,24

-0,18

-0,46

-0,08

0

a

-1,053

-0,926

-0,606

-0,04

0,16

-0,006

b

0,0461

-0,265

-0,542

-0,554

0

-0,011

A

4,150

3,795

3,204

2,187

0,629

0,052

φ

272,466

254,045

228,209

184,129

99,094

30,015


Рисунок 3 - График зависимости величины амплитуды от частоты

Рисунок 4 - График зависимости фазы от частоты

Рисунок 5 - Комплексно-частотная характеристика системы

1.3 Определение настроечных параметров, π-регулирования по КЧХ

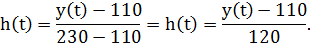
Расчет выполняем графо-аналитическим методом. Для этого зададимся произвольными временами изодрома (10, 20, 40, 80, 120с). Вычисляем приращение ΔА согласно формуле, а полученные значения заносим в таблицу:


Таблица 4 - Приращение амплитуда для различных времен изодрома.

ω

А

Ти



10

20

40

80

120

0,020933

4,15096

9,91472

4,95736

2,47868

1,65245

0,02512

3,79517

15,1081

7,55408

3,77704

1,88852

1,25901

0,0314

3,20468

10,2059

5,10299

2,55149

1,27574

0,85049

0,0418

2,18778

5,22560

2,61280

1,30640

0,65320

0,43546

0,0628

0,62992

1,00305

0,50152

0,25076

0,12538

0,08358

0,1256

0,05249

0,04179

0,02089

0,01044

0,00522

0,00348


Затем строим годографы на графике по полученным значениям амплитуды и фазы.

Задаемся запасом устойчивости по фазе  Строим касательные окружности к построенным годографам, вычисляем радиусы окружностей, удаления и заносим полученные значения в таблицу.

Рисунок 6 - Годографы системы и определение параметров регулирования.


Таблица 5-Радиусы касательных окружностей к годографам.

r

R

k1

k2

52,03

32,13

0,019219681

0,031123561

20,31

13,11

0,049236829

0,076277651

11,2

6,89

0,089285714

0,145137881

7,62

4,73

0,131233596

0,21141649

7,01

4,31

0,142653352

0,232018561

6,19

0,161550889

0,261780105


По полученным значениям обратных величин (k1=1/r, k2=1/R) строим графики и определяем оптимальное значение времени изодрома, для которого строим еще один годограф на сводном графике.

Рисунок 7 - График зависимости обратных величин k1 и k2 от времени изодрома.

Оптимальное значение изодрома по графику Ти опт=25 с.

Таблица 6 - Приращение амплитуды для оптимального времени изодрома

ω

А

Ти



30

0,020933333

4,150966556

7,931783228

0,02512

3,795170312

6,043264828

0,0314

3,204680342

4,08239534

0,041866667

2,187786455

2,090241836

0,0628

0,62992126

0,401223732

0,1256

0,052493438

0,016717656


Рисунок 10 - КЧХ системы при различных значениях времени изодрома.

2. Схема автоматизации ЦТП

.1 Центральный тепловой пункт

Центральный тепловой пункт (ЦТП) - тепловой пункт, обслуживающий два и более зданий. ЦТП обеспечивает жителей горячей и холодной водой круглогодично и теплом в отопительный сезон.

Закрытая водяная система теплоснабжения.

Закрытая водяная система теплоснабжения - водяная система теплоснабжения, в которой вода, циркулирующая в тепловой сети, используется только как теплоноситель и из сети не отбирается.

Закрытые системы теплоснабжения присоединяются к тепловым сетям через водонагреватели, и вся сетевая вода из системы возвращается к источнику теплоснабжения. В открытых системах производится непосредственный отбор горячей воды из тепловой сети. По количеству теплопроводов различают одно- и многотрубные системы теплоснабжения. По способу обеспечения потребителей тепловой энергией различают одно- и многоступенчатые системы теплоснабжения.

Одноступенчатые системы. В одноступенчатых системах потребители теплоты присоединяются непосредственно к тепловым сетям. В узлах присоединения потребителей теплоты к тепловым сетям, называемых абонентскими вводами, устанавливают подогреватели горячего водоснабжения, элеваторы, насосы, запорно-регулирующую арматуру, контрольно-измерительные приборы для обслуживания местных отопительных и водоразборных приборов.

Если абонентский ввод сооружается для какого-либо индивидуального здания или объекта, то его называют индивидуальным тепловым пунктом. В многоступенчатых системах между источником тепловой энергии и потребителями размещают центральные тепловые пункты, в которых параметры теплоносителя могут изменяться в зависимости от требований местных потребителей. Для увеличения радиуса действия системы теплоснабжения и уменьшения количества транспортируемого теплоносителя и соответственно затрат электроэнергии на его перекачку, а также диаметров теплопроводов для целей теплоснабжения используют высокотемпературную воду. Циркуляцию теплоносителя по теплоизолированным теплопроводам диаметром до 1400 мм, которые прокладывают под землей в непроходных и полупроходных каналах, в проходных коллекторах и без каналов, а также над землей на опорах, обеспечивает насосная станция источника тепловой энергии. Поскольку в системах отопления жилых и общественных зданий температура теплоносителя не должна превышать обычно 105С0, к высокотемпературной воде из тепловых сетей с помощью насоса или водоструйного элеватора подмешивается охлажденная вода из обратного теплопровода местной системы отопления. Такая схема подключения к тепловым сетям называется зависимой.

Открытая водяная система теплоснабжения.

Открытая водяная система теплоснабжения - водяная система теплоснабжения, в которой вода, циркулирующая в тепловой сети, частично или полностью отбирается из системы потребителями теплоты.

Открытые системы теплоснабжения имеют следующие недостатки:

Основной особенностью открытых систем теплоснабжения является разбор сетевой воды из тепловой сети для горячего водоснабжения. Это позволяет использовать для горячего водоснабжения в больших количествах отходящие теплые воды с температурой 15-30 °С, имеющиеся на электростанциях (охлаждающая вода конденсаторов турбин, охлаждающая вода топочных панелей) и на многих промышленных предприятиях. В закрытых системах теплоснабжения возможность использования этой воды весьма ограниченна, так как расход на подпитку, для которой эта вода может быть применена, обычно не превышает 0,5-1 % расхода циркулирующей воды.

Использование отходящей от ТЭС теплой воды в открытых системах дает экономию топлива и снижает стоимость горячего водоснабжения.

В открытых системах упрощается оборудование абонентских вводов и абонентских установок горячего водоснабжения, так как отпадает необходимость применения на вводе водо-водяных подогревателей. При отсутствии у абонента внутренней разводки горячего водоснабжения в некоторых случаях используются для этой цели подающие трубопроводы отопительной установки. Однако такая схема горячего водоснабжения не может быть рекомендована, так как отбираемая для горячего водоснабжения вода не имеет в этом случае постоянной температуры. В отдельные периоды температура ее значительно ниже 60 °С.

Местные установки горячего водоснабжения в открытых системах теплоснабжения не подвергаются зашламлению и коррозии, так как подпиточная вода до подачи в сеть проходит предварительную обработку - химочистку и деаэрацию.

В открытых системах для этой цели приходится сооружать мощные водоподготовительные установки.

Для системы горячего водоснабжения, теплоснабжения допускается иметь температуру воды не ниже 50°С и не выше 60°С. В этих условиях после проведения ремонтных работ или устранения аварийных ситуаций в системах необходимо поддерживать температуру на уровне 75°С в течение 48 часов.

.2 Составление и анализ структуры системы автоматизации

АСУ ТП предназначена для эффективного управления технологическим оборудованием Центрального теплового пункта. При модернизации ЦТП следует четко определить назначение системы:

·        автоматическое поддержание заданного давления воды в прямом и обратном трубопроводе;

·        дистанционное управление работой насосов и задвижек;

·        визуализация технологического процесса на рабочем месте оператора;

·        сбор, обработка и выдача статистических данных об объемах перекачанной воды и статусе насосных агрегатов;

·        заданную температуру в системе отопления в зависимости от температуры окружающего воздуха;

Система разрабатывается как единый аппаратно-программный комплекс распределенной архитектуры, оборудование которого представлено в виде трехуровневой иерархии (рис. 1):

.        уровень управления технологическими агрегатами (датчики давления и расхода воды, регулируемый и нерегулируемый электропривод насосов и задвижек);

.        уровень управления технологическим процессом (программируемый логический контроллер);

.        уровень оперативно-административного управления (рабочая станция оператора на базе персонального компьютера с принтером).










Рисунок 11 - Обобщенная структурная схема системы автоматизированного управления насосной станцией

Аппаратная часть комплекса строится на основе продукции мировых лидеров в области промышленной автоматизации.

Реализация алгоритмов функционирования насосов и электрозадвижек возлагается на промышленные контроллеры.

Функции взаимодействия “оператор-система” выполняет рабочая станция - IBM-совместимый персональный компьютер.

Управление в контуре интеллектуального электронного оборудования “привод - контроллер - рабочая станция” реализовано по межмашинному интерфейсу RS-232, RS-422, RS-485.

Для контроллера и рабочей станции должно быть разработано прикладное программное обеспечение, которое может быть адаптировано под конфигурацию оборудования конкретной насосной станции. Диалог оператора с системой реализован в естественной форме мнемонических изображений в SCADA-системе. Так же следует предусмотреть архивирование основных параметров технологического процесса и состояния насосных агрегатов.

Конструктивно основные устройства системы выполняются по модульному принципу в виде монтажных шкафов (кроме датчиков и рабочей станции оператора) различной степени защиты от поражения персонала и от влияния внешней среды.

Следует так же учитывать необходимость замены старых приборов измерения на новые с цифровыми выходами это обусловлено:

. В отопительной технике используются чугунные нагревательные приборы (радиаторы). Их допустимое давление не превышает 0.6 МПа. Превышение указанного предела может привести к авариям в отопительных установках. Это существенно снижает надежность и усложняет эксплуатацию систем теплоснабжения крупных городов, так как при большой протяженности тепловых сетей и большом числе присоединенных абонентских установок с разнородной тепловой нагрузкой расходы воды в сети и связанные с ними потери давления могут изменяться в широких пределах. При этом уровень давлений в сети может превысить предел, допустимый для абонентских установок.

2. Датчики температуры будут использованы для отслеживания температуры воды в прямой трубе, обратной трубе и после подмешивания к горячей воде подающей линии охлажденной воды обратной линии. Необходимость этого заключается в том, что благодаря знаниям температуры воды можно будет избежать аварий связанных с пределом температуры воды для отопительных установок. Также датчик температуры будет установлен на трубу горячего водоснабжения после того, как вода пройдет через теплообменник. С помощью регулятора температуры и датчикам температуры станет возможным распределение по корпусу воды определенной температуры. При автоматизации процесса работы ЦТП одной из поставленных задач является регулирования темперы в зависимости от температуры окружающей среды, этот процесс является новым на ЦТП и его следует рассмотреть более подробно.

Система регулирования температуры теплоносителя в зависимости от температуры окружающей среды компенсирует перепады температуры, одновременно поддерживая гидравлический баланс системы отопления.

Регулирование реализуется по заданному температурному графику отопления с учетом реальных измеренных значений температур наружного воздуха. При этом система автоматически производит коррекцию выбранного температурного графика.

Заключение

В ходе курсовой работы произведена обработка опытной кривой,. С использованием метода шести ординат, построен гадограф, КЧХ, АЧХ, ФЧХ. Определены настроечные динамические параметры ПИ регулятора, найдены оптимальные значения ПИ регулятора . Разработана функциональная схема автоматизации ЦТП мощностью 10 Гкал/час.

Библиографический список

1. СТП ОмГУПС-1.2-2005 «Работы студенческие учебные и выпускные квалификационные».

2. Плетнев Г. П. Автоматизированное управление объектами тепловых электростанций: Учебное пособие для ВУЗов - М.: Энергоиздат, 1981. - 368с.

3. Плетнев Г. П. Автоматическое управление и защита теплоэнергетических установок электростанций: Учебник для техникумов - М.: Энергоатомиздат, 1986. - 344с.

4. Сидельский Л.Н., Юренев В.Н. Котельные установки промышленных предприятий: Учебник для вузов - 3-е изд., перераб. - М.: Энергоатомиздат, 1988. - 528 с.

5. Автоматика отопительных котлов и агрегатов /И.С. Берсенев, М.А. Волков. - 2-е изд., перераб. и доп. - М.: Стройиздат, 1979. - 376с.

Похожие работы на - Автоматизация центрального теплового пункта

 

Не нашли материал для своей работы?
Поможем написать уникальную работу
Без плагиата!
Без нейросетей!