Правила и порядок и формирования уставного капитала
ФЕДЕРАЛЬНОЕ
АГЕНТСТВО ЖЕЛЕЗНОДОРОЖНОГО ТРАНСПОРТА
Федеральное
государственное бюджетное учреждение высшего профессионального образования
«Уральский
государственный университет путей сообщения»
(УрГУПС)
Факультет
экономики и управления
Кафедра
«Экономики транспорта»
КУРСОВАЯ
РАБОТА
по
дисциплине «Финансовый менеджмент»
на тему
«Правила и порядок и формирования уставного капитала»
Выполнила: студентка группы ЭКп-321
Куженова С.С.
Екатеринбург
2013
Содержание
Введение
Глава 1. Теоретические основы
формирования уставного капитала
.1 Задачи экономической категории
«Уставный капитал»
.2 Размер уставного капитала по
организационно-правовым формам
.3 Порядок формирования уставного
капитала
Глава 2. Методические основы
формирования уставного капитала
.1 Метод расчёта величины уставного
капитала через стоимости акций
.2 Метод расчёта рыночной стоимости
уставного капитала общества
.3. Метод расчёта рентабельности
уставного капитала
.4 Формулы углублённого финансового
анализа предприятия
Глава 3. Финансовый анализ
деятельности предприятия ОАО «РЖД»
.1 Краткая характеристика
предприятия
.2 Расчёт показателей оценки
уставного капитала
.3 Углублённый анализ деятельности
предприятия
.3.1 Анализ имущественного положения
.3.2 Анализ показателей ликвидности и
платежеспособности
.3.3 Анализ показателей финансовой
устойчивости
.3.4 Анализ коэффициентов деловой
активности
.3.5 Анализ показателей оценки
рентабельности
Заключение
Список использованной литературы
Введение
Уставный капитал - это сумма средств, первоначально
инвестированных собственниками для обеспечения уставной деятельности
организации. Величина уставного капитала может по решению учредителей
увеличиваться или уменьшатся в процессе финансово-хозяйственной деятельности, с
обязательной регистрацией изменений в учредительных документах. Уставный
капитал характеризует величину обособленного имущества, право собственности, на
которое перешло к организации, как к юридическому лицу, а также характеризует
собственность учредителей и величину обязательств по их вкладам. При выходе из
состава собственников, учредитель может потребовать вернуть в денежной форме
долю, внесенную в уставный капитал.
При регистрации организация в учредительных
документах самостоятельно определяет величину и структуру уставного капитала с
учетом минимального размера, установленного законодательством.
Актуальность тематики: в настоящее время
уставный капитал стал одним из важнейших показателей деятельности организации.
Поскольку создание всякого юридического лица предполагает определение в
денежном выражении величины начального (стартового) капитала. На сегодняшний
день уставный капитал - это своеобразная гарантия для кредиторов, дающих
инвестиции, а также для партнеров, работников и других участников деятельности
общества. Гражданский кодекс Российской Федерации предусматривает его
формирование всеми субъектами. Уставный капитал как начальный капитал
представляет собой источник формирования средств организации, необходимый для
осуществления финансово-хозяйственной деятельности с целью получения прибыли.
Движение уставного капитала отличается своей слабой маневренностью и редким
изменением, поэтому и учет уставного капитала не очень объемный, но, несмотря
на это, очень важный, необходимо грамотно организовать, т.к. именно с учета формирования
уставного капитала начинается работа любой организации.
Цель курсовой работы: раскрыть понятие и
сущность уставного капитала, ознакомится с методикой анализа собственного
капитала предприятия и на основе конкретной компании провести анализ.
Задачами курсовой работы являются:
. Рассмотреть задачи экономической категории
«Уставный капитал»;
. Изучить правила и порядок формирования
уставного капитала;
. Рассмотреть методологию оценки уставного
капитала;
. Проанализировать деятельность предприятия ОАО «РЖД»;
. Сформулировать выводы по проанализированной
информации и выдвинуть предложения по улучшению работы предприятия.
Объектом является финансово-хозяйственная
деятельность предприятия ОАО «РЖД».
Предметом курсовой работы является изучение
правил и порядков формирования уставного капитала.
Глава 1. Теоретические основы формирования
уставного капитала
1.1 Задачи экономической категории «Уставный
капитал»
Уставный капитал представляет собой совокупность
средств (вкладов, взносов, долей) учредителей (участников) в имущество при
создании предприятия для обеспечения его деятельности в размерах, определенных
учредительными документами.
Этот вид капитала является первоначальным,
исходным для предприятия. Его величина определяется с учетом предполагаемой хозяйственной
(производственной) деятельности и фиксируется в момент государственной
регистрации предприятия.
Уставный капитал организации состоит из
номинальной стоимости взносов его участников в денежной, натуральной или иной
(неденежной) форме. При этом взносы обязательно должны иметь денежную оценку, а
размер уставного капитала будет являться суммой денежных оценок всех взносов.
Уставный капитал сочетает право владения и
распоряжения собственностью и функции гаранта имущественных прав акционеров. Он
играет наиболее важную роль в функционировании организации, поскольку его
средства являются базисными для хозяйственной деятельности организации и на его
основе формируется большая часть фондов, денежных средств организации. В
денежном выражении, как правило, используется на приобретение зданий,
сооружений, оборудования и других активов, которые не предназначены для
продажи.
Одной из актуальных проблем
является задача выбора оптимальной структуры капитала, т.е. определения
соотношения собственных и долгосрочных заемных средств.
Соотношение между собственными
и заемными источниками средств служит одним из ключевых аналитических
показателей, характеризующих степень риска инвестирования финансовых ресурсов в
данную организацию.
Структура капитала обеспечивает
минимальную его цену и, соответственно, максимальную цену организации,
оптимальный для организации уровень финансового левереджа. Финансовый левередж
- потенциальная возможность влиять на прибыль организации путем изменения
объема и структуры долгосрочных пассивов. Его уровень измеряется отношением
темпа прироста чистой прибыли к темпу прироста валового дохода (т.е. дохода до
выплаты процентов и налогов). Чем выше значение левереджа, тем более нелинейный
характер приобретает связь (чувствительность) между изменениями чистой прибыли
и прибыли до выплаты налогов и процентов, а следовательно, тем больший риск его
неполучения. Уровень финансового левереджа возрастает с увеличением доли
заемного капитала. Таким образом, эффект финансового рычага проявляется в том,
что увеличение доли долгосрочных заемных средств приводит к повышению
рентабельности собственного капитала, однако вместе с тем происходит
возрастание степени финансового риска, т.е. возникает альтернатива риска и
ожидаемого дохода.
При принятии решений о структуре
капитала должны учитываться и иные критерии, например, способность организации
обслуживать и погашать долги из суммы полученного дохода, величины и
устойчивости прогнозируемых потоков денежных средств для обслуживания и
погашения долгов и проч. Идеальная структура капитала максимизирует общую
стоимость организации и минимизирует общую стоимость ее капитала. При принятии
решений по структуре капитала также должны учитываться отраслевые,
территориальные и структурные особенности организации, ее цели и стратегии,
существующая структура капитала и планируемый темп роста. При определении же
методов финансирования (выпуск акций, займы и т.д.), структуры заемного
финансирования должны учитываться стоимость и риски альтернативных вариантов
стратегии финансирования, тенденции в конъюнктуре рынка и их влияние на наличие
капиталов в будущем и будущие процентные ставки и т.д.
Реальный капитал организации
отражает совокупность производственных ресурсов, в состав которых, как правило,
включают:
§ основной капитал;
§ оборотный капитал;
§ персонал (кадры).
К основному капиталу относятся
основные средства, нематериальные активы и долгосрочные финансовые вложения.
Оборотный капитал расходуется на покупку средств для каждого производственного
цикла (сырья, основных и вспомогательных материалов и т.п.), а также на оплату
труда. Основной капитал служит в течение ряда лет, оборотный - полностью
потребляется в течение одного цикла производства.
Основной капитал в большинстве
случаев отождествляется с основными средствами предприятия. Однако понятие
основного капитала шире, так как кроме основных средств (зданий, сооружений,
машин и оборудования), представляющих его значительную часть, в состав
основного капитала включается также незавершенное строительство и долгосрочные
инвестиции - денежные средства, направленные на прирост запаса капитала.
Под персоналом (кадрами)
понимают совокупность работников, занятых на предприятии и входящих в его
списочный состав.
Основные задачи учета уставного капитала
предприятия сводятся к следующим:
• правильное отражение формирования
уставного капитала предприятия;
• отражение изменения величины и
структуры уставного капитала;
• отражение иммобилизации собственных
средств и выявление причин их возникновения.
Наибольший интерес представляет функционирующий
(активный) капитал, который оказывает самое непосредственное влияние на
экономическое, техническое и финансовое состояние предприятия.
Рассмотрим составляющие элементы
функционирующего капитала. В основной капитал входят:
Основные средства создают материально-техническую
базу предприятия и обеспечивают условия производственно-хозяйственной
деятельности.
Нематериальные активы - это долгосрочные затраты
организации на приобретение права пользования земельными участками, природными
ресурсами, интеллектуальной собственностью, авторскими правами, различных
лицензий и других привилегированных прав. К ним относятся затраты на торговые
марки, товарные знаки, «цена фирмы».
Нематериальные активы могут быть вынесены
учредителями в счет их вклада в Уставный капитал, могут поступать безвозмездно
или приобретаться в процессе деятельности организации. Нематериальные активы,
внесенные учредителями в счет их вкладов в Уставный капитал, учитываются по
цене договоренности сторон.
Капитальные вложения - это затраты организации в
объекты, которые впоследствии будут приняты к бухгалтерскому учету в качестве
основных средств, земельных участков и объектов природопользования,
нематериальных активов. Они учитываются, обособлено от основных средств на
отдельных счетах бухгалтерского учета.
Финансовые вложения - это затраты на долевое
участие в Уставном капитале других организаций, на приобретение акций и
облигаций на долговременной основе.
Затраты по финансовым вложениям погашаются в
зависимости от характера и вида. Долгосрочные займы погашаются в сроки,
установленные договорами. Акции и облигации можно продать по биржевом курсу
другим организациям и полностью вернуть деньги в оборот, а вот затраты на
долевое участие в уставном капитале других организаций вернуть полностью весьма
трудно, только при ликвидации предприятия (если останется ликвидируемое
имущество для погашения паевых взносов в уставный капитал).
Уставный капитал выполняет следующие функции:
стартовую функцию (право акционеров на начало
собственной предпринимательской деятельности);
гарантийную функцию (законодательство
устанавливает такой размер уставно капитала, который бы позволял в случае чего
расплатиться с кредиторами);
функцию позиционирования (размер капитала дает
наглядное представление инвесторам об успешности компании);
функцию ограничения (с целью ограничения
продвижения компании в финансовой или банковской сфере иногда устанавливаются
повышенный требования к уставному капиталу компании, что обосновано
ответственностью, которую возьмет на себя компания при желании заниматься
определенным видом бизнеса, а также с целью защиты клиентов);
функцию определения участия каждого акционера в
обществе (по понятным причинам уставный капитал делится на части, каждая из
которой характеризуется своей номинальной ценой, на ее основании высчитывается
не только степень участия и право голоса акционера, но и его доля от общей
прибыли компании).
Размер уставного капитала является показателем
эффективности деятельности организации.
1.2 Размер уставного капитала по
организационно-правовым формам
Минимальный размер уставного капитала.
Для расчёта минимального уставного капитала
применяется МРОТ для штрафов. Минимальный размер уставного капитала также может
быть указан в твёрдой денежной сумме.
Минимальный размер уставного капитала (фонда)
составляет:
. для общества с ограниченной
ответственностью - 10 000 руб.
. для закрытого акционерного общества -
100 МРОТ
. для открытого акционерного общества -
1000 МРОТ
. для государственного предприятия - 5000
МРОТ (ФЗ «О государственных и муниципальных унитарных предприятиях»)
. для муниципального унитарного
предприятия - 1000 МРОТ (ФЗ «О государственных и муниципальных унитарных
предприятиях»)
Вкладом в уставный капитал могут быть денежные
средства, ценные бумаги, различные материальные ценности или имущественные
права, имеющие денежную оценку. Но вкладом не могут быть объекты
интеллектуальной собственности (к примеру патенты, авторские права) или
«ноу-хау».Для государственной регистрации должно быть оплачено не менее
половины уставного капитала. Для акционерного общества допускается
государственная регистрация без оплаты уставного капитала, причём не менее 50 %
уставного капитала должно быть оплачено в течение трёх месяцев с момента
государственной регистрации, а полная оплата должна состояться в течение одного
года с момента государственной регистрации.
Если размер имущественного вклада составляет
более 20 000 руб., то необходимо заключение независимого оценщика о стоимости
передаваемого имущества. В остальных случаях имущество оценивается по
договорной стоимости.
Учредители не имеют права изменить вид
передаваемого имущества, его стоимость или порядок передачи без изменения
учредительных документов. При выходе из общества участнику (учредителю)
возмещается его доля в уставном капитале, не позже чем спустя 6 месяцев после
окончания финансового года. Право участников общества с ограниченной
ответственностью на выход должно быть закреплено в уставе, в противном случае
выход не допускается.
Для государственных и муниципальных предприятий
в России аналогом понятия уставный капитал является Уставный фонд.
Увеличение уставного капитала.
Принятие решения об увеличении уставного
капитала может быть вызвано разными факторами. Это может быть нехватка
оборотных средств, лицензионные требования, связанные с размером уставного
капитала или появление новых участников общества, вносящих свой вклад в
уставной капитал. Увеличение уставного капитала возможно не во всех случаях,
вот ряд условий, которые должны быть непременно выполнены:
• Первоначальный уставной капитал должен быть
оплачен в полном размере. Причем для увеличения уставного капитала это
необходимо даже в том случае, если не прошел один с момента государственной
регистрации;
• Увеличение уставного капитала возможно только
на сумму, не превышающую разницу между стоимостью чистых активов организации и
размером уставного капитала вкупе с резервным фондом;
• Стоимость чистых активов на конец второго и
всех последующих годов не должна быть меньше уставного капитала организации. Не
соблюдение данного условия не только не позволит осуществить увеличение
уставного капитала, но еще и потребует объявления о его уменьшении до размера
не более стоимости чистых активов. Уменьшение также будет необходимо
зарегистрировать;
• Стоимость чистых активов на конец второго и
всех последующих годов не должна быть меньше минимального размера уставного
капитала, который устанавливается в момент государственной регистрации
предприятия. Не соблюдение данного требования вообще означает, что организация
подлежит ликвидации.
Увеличение уставного капитала может быть
произведено за счет следующих средств:
• За счет имущества самой организации;
• За счет внесения действующими участниками
общества дополнительных вкладов;
• За счет внесения вкладов вновь принимаемыми
участниками.
Увеличение уставного капитала регистрируется
государственным регистрирующим органом как изменения, вносимые в учредительные
документы. Для акционерных обществ в данном случае будет необходимо произвести
дополнительный выпуск акций и зарегистрировать эмиссию в ФСФР.
Уменьшение уставного капитала.
В редких случаях компания прибегает к уменьшению
капитала, что может преследовать следующие цели:
уменьшение негативного эффекта от увеличения
уставного капитала (при увеличении уставного капитала наблюдается увеличение
количества акций, что в свою очередь уменьшает доходность каждой акции. Так что
при уменьшении уставного капитала отмечается препятствование размыванию долей
акционеров);
оптимизация управления капиталом (при избыточном
капитале акции выпускаются с целью альтернативного варианта уплаты дивидендов).
Следует заметить, что уменьшение капитала может
осуществляться как за счет всех акционеров, так и за счет конкретного
акционера.
Уменьшение уставного капитала производится в
соответствии со статьей 20 ФЗ "Об обществах с ограниченной
ответственностью".
Процедура уменьшения уставного капитала выглядит
следующим образом:
. Принятие решения об уменьшении уставного
капитала
Решение принимается общим собранием участников и
оформляется протоколом. Если в Обществе один участник, то решением принимается
им единолично и оформляется решением единственного участника.
Уменьшение уставного капитала Общества может
осуществляться путем уменьшения номинальной стоимости долей всех участников
общества в уставном капитале общества и (или) погашения долей, принадлежащих
Обществу.
Общество не вправе уменьшать свой уставный
капитал, если в результате такого уменьшения его размер станет меньше
минимального размера уставного капитала (на данный момент 10 000 рублей),
определенного в соответствии с ФЗ «Об Обществах с ограниченной
ответственностью» на дату представления документов для государственной
регистрации соответствующих изменений в уставе общества, а в случаях, если в
соответствии с ФЗ «Об ООО» общество обязано уменьшить свой уставный капитал, на
дату государственной регистрации общества.
Уменьшение уставного капитала общества путем
уменьшения номинальной стоимости долей всех участников Общества должно
осуществляться с сохранением размеров долей всех участников общества.
. Уведомление кредиторов
В течение тридцати дней с момента принятия
решения об уменьшении своего уставного капитала общество обязано письменно
уведомить об уменьшении уставного капитала общества и о его новом размере всех
известных ему кредиторов общества, а также опубликовать в Вестнике
государственной регистрации сообщение о принятом решении.
. Формирование пакета документов на регистрацию.
. Государственная регистрация уменьшения УК
Документы для государственной регистрации должны
быть представлены в орган, осуществляющий государственную регистрацию
юридических лиц, в течение одного месяца с момента направления кредиторам
последнего уведомления об уменьшении уставного капитала общества и о его новом
размере.
Такие изменения приобретают силу для третьих лиц
с момента их государственной регистрации.
1.3 Порядок формирования уставного капитала
Порядок и особенности формирования уставного
капитала определяются организационно-правовой формой юридического лица:
Складочный капитал - совокупность вкладов
участников, внесенных для осуществления хозяйственной деятельности.
Хозяйственное товарищество (полное и на вере) -
в полном товариществе участники отвечают всем своим имуществом по
обязательствам товарищества. В товариществе на вере помимо участников, есть
вкладчики, которые отвечают по обязательствам товарищества в пределах своих
вкладов.
Акционерное общество (открытого и закрытого
типа) - уставный капитал разделен на определенное число акций и представляет
собой номинальную стоимость акций, приобретенных акционерами. Формируется путем
первичной эмиссии акций. Участники общества несут риск убытков только в
пределах стоимости принадлежащих им акций.
Общество с ограниченной ответственностью,
общество с дополнительной ответственностью - уставный капитал состоит из
стоимости вкладов участников и разделен между ними на доли определенных
размеров. Участники ООО отвечают по обязательствам общества в пределах
внесенных вкладов. Участники ОДО отвечают по обязательствам общества всем своим
имуществом в одинаковом кратном размере к стоимости вкладов.
В настоящее время минимальный
размер уставного капитала кредитной организации установлен указанием Банка
России от 24 июня 1999 г.
ЦБ имеет право требовать от
ранее зарегистрированных кредитных организаций, банков и небанковских
организаций изменения их уставного капитала в случаях, установленных законами.
Решение ЦБ об изменении
минимального размера уставного капитала вступает в силу не ранее чем через 90
дней после дня его опубликования. Для вновь регистрируемых кредитных
организаций ЦБ применяется норматив минимального размера уставного капитала,
действующий на день подачи документов на регистрацию.
Вклады в уставный капитал
кредитной организации могут быть в виде:
) денежных средств в валюте РФ;
) денежных средств в
иностранной валюте. Разрешено производить оплату взносов в уставные капиталы
кредитных организаций в иностранной валюте. Отражение уставных капиталов в
бухгалтерском учете осуществляется в валюте РФ. Учредители кредитной
организации вправе осуществлять оплату уставного капитала кредитных организаций
в иностранной валюте в безналичной или наличной формах. Юридические лица могут
осуществлять оплату долей кредитных организаций в иностранной валюте только в
безналичной форме;
) в соответствии с указанием ЦБ
от 31 декабря 1998 г. «О формировании уставного капитала кредитной организации
неденежными средствами» участники банка вправе производить оплату увеличения
уставного капитала действующей кредитной организации как частично, так и в
полном объеме материальными активами в виде банковского здания (помещения), в
котором располагается или будет располагаться кредитная организация. Участники
кредитной организации вправе производить оплату уставного капитала создаваемой
кредитной организации и увеличение уставного капитала действующей кредитной
организации иными, принадлежащими им активами, не являющимися денежными
средствами или банковским зданием. В этом случае должны быть представлены
документы, подтверждающие право учредителей на их внесение в уставный капитал
кредитной организации. Материальные активы должны быть оценены и отражены в
балансе кредитной организации в валюте РФ;
) ценных бумаг. Вклад не может
быть в виде имущества, право распоряжения которым ограничено каким-либо
образом. Денежная оценка материальных активов утверждается общим собранием
учредителей.
Предельный размер неденежной
части уставного капитала создаваемой кредитной организации не должен превышать
20 % первые 2 года деятельности и не более 10 % - в последующие годы.
· привлеченные
денежные средства, т. е. те, которые не принадлежат учредителям на праве
собственности;
· средства
федерального бюджета, свободные денежные средства и иные объекты собственности,
находящиеся в ведении федеральных органов государственной власти, за
исключением случаев, предусмотренных федеральным законом;
· нематериальные
активы. Для оплаты долей (акций) создаваемых и действующих кредитных
организаций могут быть использованы облигации федерального займа с постоянным
купонным доходом. При этом не имеет значения размер уставного капитала,
оплаченного иными видами неденежных средств.
ликвидность уставной капитал
финансовый
Глава 2. Методические основы формирования
уставного капитала
2.1 Метод расчёта величины уставного капитала
через стоимости акций
Уставный капитал акционерного общества (уставный
капитал АО, величина уставного капитала) складывается из суммы номинальной
стоимости всех акций:

(2.1)
где УК - уставный капитал акционерного общества;
номинальная
стоимость обыкновенных и привилегированных акций;
количество
обыкновенных и привилегированных акций.
Номинальная стоимость акции - стоимость,
назначенная акции при выпуске. Номинальная стоимость акции имеет значение
только по отношению к тому доходу и дивидендам, которые владелец получит по
этой акции.
2.2 Метод расчёта рыночной стоимости уставного
капитала общества.
(2.2)
где
-
рыночная стоимость уставного капитала;
- номинальная
стоимость обыкновенных и привилегированных акций;
- количество
обыкновенных и привилегированных акций;
- курсовая
стоимость обыкновенных и привилегированных акций (рыночная цена).
2.3
Метод расчёта рентабельности уставного капитала
Рентабельность акционерного (уставного) капитала
отражает эффективность вклада собственников предприятия в его имущества.

(2.3)
где
-
рентабельность акционерного капитала;
- валюта баланса,
рублей;
- чистая прибыль
(убыток), рублей.
.4 Формулы углублённого финансового анализа
предприятия
1 Имущественное положение предприятия.
Показатели этого блока позволяют получить
представление о размерах предприятия, величине средств, находящихся под его
контролем, и структуре активов
.1. Основные средства в валюте баланса
Рассчитывается отнесением итога раздела I
баланса к его валюте. Основные средства представляют собой ядро
материально-технической базы предприятия, основной материальный фактор,
обусловливающий генерирование прибыли. Этим объясняется значимость
аналитической оценки данного актива. Значение показателя существенно варьирует
по отраслям.

(2.4)
где ВА - внеоборотные активы;
Иа
- валюта
баланса, рублей.
. Ликвидность и платежеспособность
.1. Из абсолютных основным является
показатель, характеризующий величину собственных оборотных средств, или чистого
оборотного капитала.
Показывает, какая сумма оборотных
средств останется в распоряжении предприятия после расчетов по краткосрочным
обязательствам.
(2.5)
где ОА - оборотные активы;
ККЗ - краткосрочная кредиторская задолженность.
.2. Коэффициент текущей ликвидности - дает общую
оценку ликвидности предприятия, показывая, сколько рублей оборотных средств
(текущих активов) приходится на один рубль текущей краткосрочной задолженности
(текущих обязательств):
(2.6)
где КО - краткосрочные
обязательства.
Значение должно быть более 2.
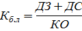
.3. Коэффициент быстрой ликвидности
- аналогичен коэффициенту текущей ликвидности; однако исчисляется по более
узкому кругу оборотных активов, когда из расчета исключена наименее ликвидная
их часть - производственные запасы.

(2.7)
где ДЗ - дебиторская задолженность;
ДС - денежные средства.
Значение должно быть от 1.
.4. Коэффициент абсолютной ликвидности -
является наиболее жестким критерием ликвидности предприятия; показывает, какая
часть краткосрочных заемных обязательств может быть при необходимости погашена
немедленно за счет имеющихся денежных средств; может быть назван коэффициентом
платежеспособности. Рассчитывается следующим образом:
(2.8)
Общепризнанных критериальных значений для этого
коэффициента нет. Опыт работы с отечественной отчетностью показывает, что его
значение, как правило, варьирует в пределах 0,05-0,1.
. Показатели финансовой устойчивости
.1 Коэффициент концентрации собственного
капитала
Характеризует долю собственности владельцев
собственности в общей сумме средств авансированных в его деятельность.
(2.9)
где СК - собственный капитал.
Чем выше значение этого коэффициента, тем более
финансово устойчиво, стабильно и независимо от внешних кредиторов предприятие.
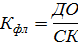
.2 Коэффициент концентрации привлеченных средств
(2.10)
где ДО - долгосрочные обязательства.
Чем ниже значение показателя, тем лучше для
предприятия.
.3 Коэффициент финансовой зависимости
капитализированных источников
(2.11)
Рост коэффициента оценивается отрицательно.
.4 Коэффициент финансовой независимости
капитализированных источников
(2.12)
Рост показателя оценивается положительно.
.5 Уровень финансового левериджа (рычаг)
(2.13)
Это отношение характеризует сколько рублей
заемного капитала приходится на 1 рубль собственных средств. Чем выше значение
коэффициента, тем выше риск, ассоциирующийся с данной компанией и ниже ее
резервный заемный потенциал. Рост оцениваем отрицательно.
.1 Оборачиваемость запасов (в оборотах)
Показатель характеризует эффективность вложения
средств в производственные запасы.
(2.14)
Рост показателя в динамике оценивает
положительно.
.2 Оборачиваемость запасов в днях

(2.15)
Чем меньше продолжительность
оборота, тем лучше.
.3 Оборачиваемость средств в
расчетах
Данный индикатор измеряется в
оборотах (разах) и показывает, сколько раз обернулись в отчетном периоде
средства, вложенные в дебиторскую задолженность. Рост показателя в динамике
рассматривается как положительная тенденция, потому что предприятие скорее
получает оплату по счетам.
(2.16)
4.4 Срок погашения дебиторской задолженности
Показатель характеризует сколько дней были
вовлечены денежные средства в дебиторской задолженности.
(2.17)
Снижение показателей динамики оценивается
положительно. При анализе срок погашения дебиторской задолженности сравнивают
со сроком погашения кредиторской задолженности.
.5 Срок погашения кредиторской задолженности
Показатель характеризует количество дней, в
течение которых денежные средства предприятия были в форме кредиторской
задолженности.
(2.18)
4.6 Продолжительность операционного цикла
Показывает время, на которое ресурсы компании,
включая полученные в виде отсрочек платежа, коммерческих и товарных кредитов
(кредиторской задолженности) замораживаются в запасах и дебиторской
задолженности.
(2.19)
Снижения показателя в динамике является
благоприятной тенденцией.
.7 Финансовый цикл
Это период полного оборота денежных средств,
инвестированных в оборотные активы, начиная с момента погашения кредиторской
задолженности за полученное сырье и материалы и заканчивая инкассацией
дебиторской задолженности за поставленную продукцию.
(2.20)
5. Показатели оценки рентабельности и прибыли
.1 Рентабельность затрат
Коэффициент характеризует сколько рублей прибыли
приходится на один рубль затрат предприятия.
(2.21)
Значение показателя должно быть больше единицы.
.2 Рентабельность оборота
Показатель характеризует сколько рублей прибыли
приходится на один рубль продаж.
(2.22)
Рост показателей оценивается положительно.
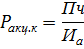
.3 Рентабельность активов
Коэффициент рентабельности активов
(экономическая рентабельность) характеризует - уровень прибыли, создаваемой
всеми активами предприятия, находящиеся в его использовании согласно балансу.
(2.23)
Рентабельность активов сильно зависит от
отрасли, в которой работает предприятие. Для капиталоемких отраслей (как,
например, железнодорожный транспорт) этот показатель будет ниже.
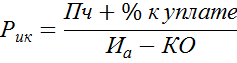
.4 Рентабельность инвестированного капитала
Данный коэффициент характеризует доходность,
полученную на капитал, привлеченный из внешних источников.
(2.24)
Показатель не имеет нормативного значения. Но
его важность заключается в том, что он выступает ориентиром для оценки
целесообразности привлечения организацией заемных средств под определенный
процент. Если процент по кредиту выше, чем рентабельность инвестированного
капитала, это значит, что организация не сможет использовать кредит настолько
эффективно, чтобы отработать проценты по нему. Поэтому имеет смысл брать только
те кредиты, процент по которым ниже рентабельности инвестированного капитала.
.5 Норма валовой прибыли
Этот показатель выявляет прибыль, полученную от
операций после того, как все переменные издержки вычтены из выручки. По сути,
он показывает эффективность производственного процесса относительно цен и
объемов единиц продаваемых товаров.
(2.25)
Если норма валовой прибыли оказывается ниже
критического уровня, то самое пристальное внимание следует уделять накладным
расходам, искать пути их экономии или подумать о повышении отпускных цен, об
изменении ассортимента в пользу изделий и услуг с более высокой маржей. В сфере
управления финансами вообще нет и не может быть какого-то одного универсального
показателя, значение которого имеет абсолютное критическое значение. Важна
сбалансированность по многим финансовым показателям, включая уровень прибыли.
.6 Норма чистой прибыли
Данный показатель показывает насколько выручка
компании превосходит все ее расходы - иначе говоря, какова прибыль в расчете на
рубль продаж. Какой-либо величины, на которую мог бы ориентироваться кредитор,
не существует, этот показатель резко колеблется по отраслям. Тем не менее
компания со значительными колебаниями объема продаж может иметь более высокий
показатель по сравнению с компанией, имеющей предсказуемые прибыли в течение
ряда лет. Кроме того, при определении удовлетворительного уровня прибыльности
следует принимать во внимание величин активов и капитала, требуемых для
обеспечения данного объема продаж.
(2.26)
. Показатели рыночной привлекательности
Рыночная активность предприятия изучается на
основе изучения стоимостей акций предприятия. Простая акция предприятия имеет
номинальную, эмиссионную, балансовую, рыночную и реальную (пересчитанную с
учетом временной стоимости денег) стоимость. Для эффективно функционирующего
предприятия эти стоимости должны возрастать от номинальной до реальной.
Показатели рыночной активности характеризуют
положение (простых) акций предприятия на рынке ценных бумаг. Как известно,
акции акционерного предприятия (корпоративные акции) являются привлекательными
объектами инвестиций. Под инвестиционной привлекательностью понимается
возможность получения экономического эффекта (процентного и курсового дохода)
от владения ценной бумагой при минимальной степени риска. При этом выделяют
акции первичного и вторичного рынка. При первичном размещении для оценки
инвестиционной привлекательности акций используются показатели, характеризующие
текущее финансовое состояние предприятия.
При оценке акций, вращающихся на вторичном
рынке, используются показатели рыночной активности, характеризующие стоимость и
степень ликвидности акций, на которые, в свою очередь, оказывает влияние размер
дивидендных выплат. Отслеживание приобретенных акций необходимо для правильного
выбора времени их продажи в случае потери или, наоборот, для приобретения
дополнительного количества акций того же эмитента в случае улучшения их
инвестиционных качеств. Являясь акционером, инвестор получает доступ к
информации о финансовом положении акционерного предприятия и может рассчитать
и проанализировать значения коэффициентов рыночной активности, характеризующих
положение акций на рынке ценных бумаг.
Показателями, характеризующими рыночную
активность или фондовую позицию ценных бумаг предприятия, являются: 6.1 Доход
на акцию
(2.27)
6.2 Коэффициент котируемости акций
(2.28)
6.3 Дивидендная доходность акции
(2.29)
.4 Дивидендный выход

(2.30)
6.5 Дивидендное покрытие

(2.31)
Глава 3. Финансовый анализ деятельности
предприятия ОАО «РЖД»
3.1 Краткая характеристика предприятия
Железнодорожный комплекс имеет особое
стратегическое значение для России. Он является связующим звеном единой
экономической системы, обеспечивает стабильную деятельность промышленных
предприятий, своевременный подвоз жизненно важных грузов в самые отдаленные
уголки страны, а также является самым доступным транспортом для миллионов
граждан.
Штаб-квартира - в Москве по адресу ул. Новая
Басманная, дом 2. Часть подразделений центрального аппарата (профильные
железнодорожные департаменты) - ул. Каланчёвская, д. 35. Президент компании -
Владимир Якунин (с 14 июня 2005 года).
Открытое акционерное общество "Российские
железные дороги" входит в мировую тройку лидеров железнодорожных компаний.
Это определяют следующие факторы:
. высокие финансовые рейтинги;
. квалифицированные специалисты во всех
областях железнодорожного транспорта;
. большая научно-техническая база;
. проектные и строительные мощности;
. значительный опыт международного
сотрудничества.
Миссия компании состоит в удовлетворении
рыночного спроса на перевозки, повышении эффективности деятельности, качества
услуг и глубокой интеграции в евро-азиатскую транспортную систему.
Главные цели деятельности общества - обеспечение
потребностей государства, юридических и физических лиц в железнодорожных
перевозках, работах и услугах, оказываемых железнодорожным транспортом, а также
извлечение прибыли.
Стратегические цели компании:
. увеличение масштаба транспортного
бизнеса;
. повышение производственно-экономической
эффективности;
. повышение качества работы и
безопасности перевозок;
. глубокая интеграция в евро-азиатскую
транспортную систему;
. повышение финансовой устойчивости и
эффективности.
Виды деятельности:
. грузовые перевозки;
. пассажирские перевозки в дальнем
сообщении;
. пассажирские перевозки в пригородном
сообщении;
. предоставление услуг инфраструктуры;
. предоставление услуг локомотивной тяги;
. ремонт подвижного состава;
. строительство объектов инфраструктуры;
. научно-исследовательские и
опытно-конструкторские работы;
. содержание социальной сферы.
Корпоративная структура ОАО "РЖД"
Филиалы ОАО "РЖД":
. филиалы - железные дороги;
. функциональные филиалы;
. филиалы - перевозочные компании;
. филиалы в области технико-экономического
и финансового обеспечения;
. филиалы в области капитального
строительства;
. филиалы в области ремонта подвижного
состава;
. филиалы в области путевого хозяйства;
. филиалы в области информатизации и
связи;
. филиалы в области социальной сферы;
. филиалы - проектные бюро;
. иные филиалы
Представительства ОАО "РЖД"
. Представительство в Венгрии (г.
Будапешт);
. Представительство в Германии (г.
Берлин);
. Представительство в Китае (г. Пекин);
. Представительство в Северной Корее (г.
Пхеньян);
. Представительство в Польше (г.
Варшава);
. Представительство в Словакии (г.
Братислава);
. Представительство в Украине (г. Киев);
. Представительство в Финляндии (г.
Хельсинки);
. Представительство в Иране (г. Тегеран);
. Представительство в Эстонии (г.
Таллинн);
. Представительство во Франции (г.
Париж).
3.2 Расчёт показателей оценки уставного капитала
Расчёт величины уставного капитала через
стоимости акций
ОАО «РЖД» выпускает только обыкновенные акции
номинальной стоимостью 1000 рублей. В 2011 году было выпущено 1786716 акций,
следовательно, уставный капитал составляет 1786,716 млрд. руб. В 2012 году было
выпущено 1826877 акций, следовательно, уставный капитал составляет 1826,877
млрд. руб.
Расчёт рыночной стоимости уставного капитала
общества:
Расчёт рентабельности уставного капитала:
0,004;
0,003;
-0,001.
3.3 Углублённый анализ деятельности предприятия
3.3.1 Анализ имущественного положения
Основные средства в валюте баланса:
ДО2011=3765164/4135598≈0,91
ДО2012=4031711/4330803≈0,93
ДО =0,93-0,91=0,02
Рост показателя положителен. Предприятие в 2012
году имеет более устойчивое финансовое положение, чем в 2011 году на 0,02
3.3.2 Анализ показателей ликвидности и
платежеспособности
Величина собственных оборотных средств:
СОС2011=370434-299421=71013 млн. руб.
СОС2012=299092-312329=-13237 млн. руб.
ΔСОС
=-13237+71013=57776 млн. руб.
Коэффициент текущей ликвидности:
К(т.л.2011)=370434/299421≈1,24
К(т,л,2012)=299092/312329≈0,96
Δ К =0,96-1,24=-0,28
Показатель в 2012 году снизился на 0,28, что
является неблагоприятно для деятельности предприятия. В 2011 и 2012 годах
коэффициент текущей ликвидности не соответствует нормам. Его значения не
удовлетворяют нижней границе допустимого интервала, равной 2.
Коэффициент быстрой ликвидности:
К(б,л,2011)=(85968+180806)/299421≈0,89
К(б,л,2012)=(81355+113541)/312329≈0,62
ΔК =0,62-0,89=-0,27
Показатель снизился в 2012 году на 0,27, что
является неблагоприятно для деятельности предприятия. В 2011 и 2012 годах
коэффициент быстрой ликвидности не соответствует нормам. Его значения не
удовлетворяют нижней границе допустимого интервала, равной 1.
Коэффициент абсолютной ликвидности:
К(аб,л,2011)=180806/299421≈0,6
К(аб,л,2012)=113541/312329≈0,36
ΔК=0,36-0,6=-0,24
Показатель снизился в 2012 году на 0,24, это
оценивается благоприятно. Величины показателя в обоих случаях выходят за рамки
допустимых значений.
3.3.3 Анализ показателей финансовой устойчивости
Коэффициент концентрации собственного капитала:
К(к,с,к,2011)=3361501/4135598≈0,81
К(к,с,к,2012)=3481818/4330803≈0,8
ΔК=0,8-0,81=-0,01
Показатель снизился на 0,01, это показывает, что
предприятие стало менее финансового устойчиво, что является неблагоприятно для
деятельности предприятия.
Коэффициент концентрации привлеченных средств:
К(к,п,с,2011)=(457214+316883)/4135598≈0,19
К(к,п,с,2012)=(421210+427775)/4330803≈0,2
ΔК=0,2-0,19=0,01
Показатель в 2012 году повысился на 0,01, что
является неблагоприятной тенденцией для деятельности предприятия.
Коэффициент независимости капитализированных
источников:
К(н,к,и,2011)=3361501/(3361501+316883)≈0,91
К(н,к,и,2012)=3481818/(3481818+427775)≈0,89
ΔК =0,89-0,91=-0,02
Показатель снизился в 2012 году на 0,02 что
оценивается отрицательно для деятельности предприятия.
Коэффициент зависимости капитализированных
источников:
К(з,к,и,2011)=316883/(3361501+316883)≈0,09
К(з,к,и,2012)=427775/(3481818+427775)≈0,11
ΔК=0,11-0,09=0,02
Коэффициент в 2012 году повысился на 0,02, что
считается негативной тенденцией для деятельности предприятия.
Уровень финансового левериджа:
К(ф,л,2011)=316883/3361501≈0,09
К(ф,л,2012)=427775/3481818≈0,12
ΔК =0,12-0,09=0,03
Коэффициент в 2012 году увеличивается на 0,03, и
это оценивается отрицательно, потому что повышается финансовый риск и снижается
резервный заемный потенциал.
3.3.4 Анализ коэффициентов деловой активности
Оборачиваемость запасов (в оборотах):
О_(з,об,2011)=1215404/76505≈15,9 об.
О_(з,об,2012)=1298480/77150≈16,8 об.
ΔО=16,8-15,9=0,9 об.
Показатель повысился на 0,9 оборота, что
является положительной тенденцией для деятельности предприятия. Средства,
вложенные в дебиторскую задолженность, оборачиваются большее количество раз,
следовательно, принесут большие проценты.
Оборачиваемость запасов (в днях):
О(з,д,2011)=76505/1215404*365≈23 дня
О(з,д,2012)=77150/1298480*365≈22 дня
ΔО=22-23=-1 день
Показатель в 2012 году стал ниже, что
оценивается положительно. Скорость возвращения денежных средств, вложенных в
дебиторскую задолженность, увеличивается.
Оборачиваемость средств в расчетах (в оборотах):
О(ср,2011)=1288337/83661,5≈15,4 об.
О(ср,2012)=1366015/83661,5≈16,3 об.
ΔО=16,3-15,4=0,9 об.
Рост показателя за год составил 0,9 оборота, что
является положительной динамикой для деятельности предприятия, это значит, что
средства обернулись в 2012 году больше раз, чем в 2011 году.
Срок погашения дебиторской задолженности (в
днях):
С(п,д,з,2011)=83661,5/1288337*365≈24 дня
С(п,д,з,2012)=83661,5/1366015*365≈22 дня
ΔО=22-24=-2 дня
Показатель в 2012 году уменьшился на 2 дня, что
оценивается положительной тенденцией для деятельности предприятия, так как
предприятие сумеет быстрее выплатить долги по кредиторской задолженности.
Срок погашения кредиторской задолженности (в
днях):
С(п,к,з,2011)=305875/1288337*365≈87 дней
С(п,к,з,2012)=305875/1366015*365≈82 дня
ΔС=82-87=-5 дней
Снижение показателя в 2012 году на 5 дней
оценивается положительно для деятельности предприятия. Но в целом кредиторская
задолженность, выше дебиторской, а это может негативным образом сказаться на финансовых
показателях и на работе предприятия в целом.
Продолжительность операционного цикла (в днях):
П(о,ц,2011)=23+24=47 дней
П(о,ц,2012)=22+22=44 дня
Показатель снизился на 3 дня, что благоприятно
сказывается на деятельности предприятия.
Финансовый цикл (в днях):
ФЦ2011=23+24-87=-40 дней
ФЦ2012=22+22-82=-38 дней
ΔФЦ =-38+40=2 дня
Показатель в 2012 году снизился на 2 дня по
сравнению с 2011 годом, что считается положительной тенденцией для деятельности
предприятия.
3.3.5 Анализ показателей оценки рентабельности
Рентабельность затрат:
Р(з,2011)=16822/1215404≈0,01
Р(з,2012)=14110/1298480≈0,01
ΔР =0,01-0,01=0
Изменений в показателе рентабельности затрат за
два года не произошло.
Рентабельность оборота:
Р(о,2011)=72768/1288337≈0,06
Р(о,2012)=67415/1366015≈0,05
ΔР =0,05-0,06=-0,01
Показатель в 2012 году снизился на 0,01, что
оценивается отрицательно для деятельности предприятия, так как это означает
низкий спрос на продукцию предприятия и сокращение ее прибыльности.
Рентабельность активов:
Р(а,2011)=(16822+17647)/4135598≈0,008
Р(а,2012)=(14110+17162)/4330803≈0,007
ΔР
=0,007-0,008=-0,001
Показатель в 2012 году снизился на 0,001 и это
следует оценивать отрицательно для деятельности предприятия.
Рентабельность инвестированного капитала:
Р(и,к,2011)=(16822+17647)/(4135598-299421)≈0,009
Р(и,к,2012)=(14110+17647)/(4330803-312329)≈0,008
ΔР
=0,008-0,009=-0,001
Снижение показателя в 2012 году составило 0,001,
что является отрицательной тенденцией для деятельности предприятия, это значит,
что управляющий персонал неэффективного инвестирует прибыль.
Норма валовой прибыли:
Н(в,п,2011)=72933/1288337≈0,06
Н(в,п,2012)=67535/1366015≈0,05
ΔН =0,05-0,06=-0,01
Показатель в 2012 году снизился на 0,01, что
является отрицательной тенденцией для деятельности предприятия.
Норма чистой прибыли:
Н (ч,п,2011)=16822/1288337≈0,013
Н (ч,п,2012)=14110/1366015≈0,01
ΔН
=0,01-0,013=-0,003
Коэффициент снизился в 2012 году на 0,003, что
оценивается отрицательно для деятельности предприятия.
Заключение
В курсовой работе были выявлены и обоснованы
сущность, цели и задачи уставного капитала. При анализе финансового состояния
предприятия четко определяется, что его успешная деятельность зависит от
рациональной структуры капитала и эффективности его использования.
При анализе деятельности ОАО «РЖД» видно, что в
2012 году предприятие стало иметь более устойчивое финансовое положение, чем в
2011 году (увеличение на 0,02).
Показатели ликвидности и платежеспособности как
в 2011, так и в 2012 годах выходят за рамки допустимых границ. У компании
невелика возможность погашать свои обязательства за счет оборотных активов.
Для повышения ликвидности и платежеспособности
предприятия возможны следующие варианты:
Создание эффективной системы управления
ресурсами предприятия в целях оптимизации производства. Для этого необходимо
перераспределить оборотные средства предприятия. Это поможет увеличить запас
ликвидных денежных средств и уменьшить величину неликвидных производственных
запасов.
Анализ активов предприятия, для снижения его
дебиторской задолженности.
Проведение системы мероприятий, направленных на
уменьшение финансовых обязательств, а также на увеличение денежных активов,
обеспечивающих эти обязательства.
Показатели финансовой устойчивости
свидетельствуют о стабильности предприятия. За 2011 и 2012 года происходят
незначительные изменения, которые сказываются на деятельности предприятия
отрицательно. Но изменения невелики, поэтому у предприятия есть возможность
исправить свое финансовое положение.
Показатели рентабельности предприятия в 2012 году
снизились по сравнению с 2011 годом, что является отрицательной тенденцией.
Можно сделать вывод, что в целом, компания
работает стабильно, расплачиваясь по своим обязательствам в срок и увеличивая
долю своих основных средств, но все же нуждается в небольших изменениях в своей
политики для улучшения ликвидности, платёжеспособности и рентабельности.
Список использованной литературы
1.Финансовый учет и анализ:
концептуальные основы / Ковалев В.В. - М.: Финансы и статистика, 2004. - 720
с.: ил.
. Шеремет А.Д., Сайфулин Р.О. и др.
Методика финансового анализа. М.: Инфра.
. Финансовый менеджмент: учеб.
пособие по специализации "Менеджмент орг." / И.М.
Карасева.
- Москва: Омега-Л, 2007. - 335 с.
. Парушина Н.В. Анализ собственного
и привлечённого капитала// Бухгалтерский учёт. - 2009.