Особенности ценообразования на рынке ценных бумаг

  • Вид работы:
    Курсовая работа (т)
  • Предмет:
    Финансы, деньги, кредит
  • Язык:
    Русский
    ,
    Формат файла:
    MS Word
    178,63 Кб
  • Опубликовано:
    2014-04-30
Вы можете узнать стоимость помощи в написании студенческой работы.
Помощь в написании работы, которую точно примут!

Особенности ценообразования на рынке ценных бумаг

Содержание

Введение

. Теоретические основы ценообразования на ценные бумаги

.1 Необходимость, значение и особенности ценообразования на ценные бумаги

.2 Основные теории ценообразования на фондовом рынке

. Процесс ценообразования на ценные бумаги

.1 Ценообразование на долевые ценные бумаги

.2 Ценообразование на долговые ценные бумаги

.3 Ценообразование на производные ценные бумаги

Заключение

Список использованных источников

Приложения

Введение

Институциональные преобразования в трансформируемой экономике России предполагают создание и развитие новых институтов рыночной экономики, среди которых особое место занимает формирование фондового рынка, как механизма мобилизации ресурсов финансовых рынков и их трансформации в ресурсы реального сектора.

Выполнение присущих фондовому рынку функций, главной из которых является перераспределительная, ставиться в зависимость от эффективности работы механизмов ценообразования, т.е. от выполнения общерыночных функций.

Становление и развитие российского фондового рынка происходит в условиях высоко неопределенности, связанной с неизвестностью основополагающих принципов и вектора развития социально-экономических отношений в трансформируемой экономике, что приводит к деформациям механизмов ценообразования.

Таким образом, фондовый рынок в трансформируемой экономике России является недостаточно эффективным инструментом мобилизации ресурсов финансовых рынков и их трансформации в ресурсы реального сектора, с искаженными механизмами ценообразования, требующий формирования адекватных институциональных форм. Все выше перечисленные проблемы являются актуальными и требуют дополнительного исследования.

Экономическая природа ценной бумаги как титула собственности и как свидетельства осуществления займа определяет сложный и многоуровневый набор факторов, влияющих на формирование ее рыночной стоимости.

Комплексность ценообразовательного процесса, появление большого количества ценных бумаг разных эмитентов и разного инвестиционного качества, усложнение экономических отношений по поводу владения ценными бумагами повышают значимость института профессионального посредничества на рынке ценных бумаг, который принимает непосредственное участие в ценообразовательном процессе. Сферы деятельности участников разделяются и закрепляются соответственно функции, которую они выполняют в системе, в результате формируются элементы и подсистемы рынка ценных бумаг.

Объективность ценообразовательного процесса при прочих равных условиях создается механизмом совершенной конкуренции. Конкуренция между эмитентами строится на ограниченности денежных ресурсов, предлагаемых инвесторами. Инвесторы конкурируют друг с другом за право размещения денежных ресурсов с наименьшим риском и максимальной доходностью.

Честность конкуренции достигается соблюдением принципа приоритета цены и времени в процессе взаимодействия поступающего на рынок спроса и предложения. Принцип приоритета времени означает, что при прочих равных условиях право первоочередности заключения сделки должен иметь тот участник, который первым заявил о готовности заключить сделку. Принцип приоритета цены означает, что первоочередное право на заключение сделки в случае одновременного появления на рынке должен иметь тот участник, который предлагает лучшую цену заключения сделки.

Спрос и предложение на ценные бумаги поступают на рынок со стороны таких групп участников как инвесторы, эмитенты, профессиональные участники в лице брокеров и дилеров. Брокеры, дилеры и организаторы торговли создают условия для конкуренции спроса и предложения и способствуют процессу заключения сделки. Регистраторы, расчетные и клиентские депозитарии, клиринговые организации совместно с организаторами торговли и брокерами-дилерами обеспечивают исполнение сделки и переход прав собственности на ценные бумаги. Информационная инфраструктура призвана распространять достоверную информацию о ценах спроса и предложения в объеме, достаточном для принятия обоснованного решения инвесторов о покупке-продаже ценных бумаг.

Ценообразование на рынке ценных бумаг имеет выраженную информационную природу. Цены спроса и предложения устанавливаются участниками рынка на основе представлений о внутренней стоимости ценной бумаги и ее текущей рыночной цены и зависят от объективности и полноты раскрываемой информации.

Внутренняя стоимость определяется путем анализа финансового и технико-экономического состояния предприятия, а также перспектив его будущего развития.

Ценообразование на рынке ценных бумаг носит непрерывный характер. Особенность рыночного ценообразования на ценные бумаги - их непрерывное обращение. Взаимодействие интересов покупателей и продавцов при этом выражается не в простом совпадении интересов двух индивидуумов, а в непрерывном согласовании интересов большого количества участников и продавцов, конкурирующих между собой.

Целью дипломной работы является изучение особенностей ценообразования на рынке ценных бумаг.

Для достижения поставленной цели решаются следующие задачи:

1.  Исследовать теоретические основы ценообразования на ценные бумаги.

2.      Изучить процесс ценообразования на ценные бумаги.

Объектом исследования в работе выступает фондовый рынок или рынок ценных бумаг.

Предметом исследования - процесс ценообразования на рынке ценных бумаг.

Изучение данных вопросов предполагает обязательную работу с Налоговым кодексом Российской Федерации, его комментарием, федеральными законами, например, Федеральным законом от 22.04.1996, №39 «О рынке ценных бумаг (с изменениями от 27.12.2009г)».

В процессе написания дипломной работы также были использованы научные труды следующих авторов: Баринова Э.А., Бердниковой Т.Б., Буренина А.Н., Жукова Е.Ф., Килячкова А.А., Киселевой Е.А., Косаренко Н.Н., Евстигнеева В. Р., Лимитовского М.А., Маренкова Н.Л., Миркина Я.М., Нуреева С.Ф., Тарасевича Л.С., Хмызы О.В., Чепурина М.Н., Шабалина А.А., Ядгарова Я.С. и др.

1. Теоретические основы ценообразования на ценные бумаги

.1 Необходимость, значение и особенности ценообразования на ценные бумаги

Рынок ценных бумаг, будучи составной частью рыночной экономики, обладает теми же свойствами, что и другие ее структуры. Вместе с тем он отличается своей спецификой, которая определяет его относительную самостоятельность, размер, а также роль и значение для рыночной экономики. Своеобразие рынка ценных бумаг, в частности, выражается в особенностях формирования цены или курса обращающихся на нем финансовых инструментов. Особую актуальность исследование вопросов ценообразования приобретает в условиях российского фондового рынка. Задача включения фондового рынка в качестве составляющего элемента в инвестиционную инфраструктуру, ориентированную на поддержку реальной экономики, предполагает выявление взаимосвязей этого рынка и уровня экономического развития страны [10, c.238].

В условиях рыночной экономики ценообразование на рынке ценных бумаг осуществляется под воздействием конкретной рыночной ситуации.

Важная роль ценообразования на фондовом рынке определяется тем, что инструменты ценообразования являются основой всех экономических и финансовых изменений, происходящих на рынке ценных бумаг. Особенность ценообразования в том, что оно определяет эффективность инвестиционной деятельности, т.е. вложения денежных средств в различные виды ценных бумаг.

Особенно велика роль ценообразования в рыночной экономике, где свободные цены выступают основным регулятором пропорций общественного воспроизводства, хозяйственных отношений. Цены являются также важным объектом государственного регулирования, благодаря которому государство осуществляет свою политику и в условиях рынка. Становление рыночной системы в России определяет динамичный, развивающийся характер нормативно-правовой базы, влияющей на ценообразование. Это вызывает необходимость отслеживания законов РФ, указов Президента, постановлений Правительства, инструкций Федеральной налоговой службы РФ и иных ведомств по формированию свободных и регулируемых цен, налогообложению, таможенному регулированию и другим вопросам, связанным с ценообразованием.

Ценообразование как процесс формирования цен на рынке ценных бумаг осуществляется по определенным правилам, с использованием конкретных методов, на основе общепринятых принципов и с учетом отдельных факторов.

Формирование цен, отвечающих требованиям рыночной экономики, связано с аккумулированием современных знаний экономики, бухгалтерского учета, финансового менеджмента, маркетинга, налогового и таможенного законодательств [14, c.73].

Изучение особенностей отражения ценами фондового рынка состояния реальной экономики является важной составной частью анализа данного сегмента финансового рынка. В то же время отечественный финансовый рынок, включая и рынок ценных бумаг, находится под влиянием глобальных факторов экономического развития.

Формирование единого мирового экономического пространства приводит, с одной стороны, к нарастанию нестабильности на рынке ценных бумаг, а с другой - к сокращению диспропорций в оценке финансовых инструментов на фондовых рынках разных стран.

Одним из базовых условий нормального функционирования организованных финансовых рынков, их устойчивого состояния и успешного динамичного развития является наличие естественного процесса ценообразования на финансовые инструменты, заключающегося в игре участников рынка на естественных колебаниях спроса и предложения и способствующего их сглаживанию, следовательно, и сбалансированности рынка.

Возросшая степень политизированности отечественного фондового рынка и его интеграция в мировой рынок являются причиной рассмотрения фундаментальных факторов, оказывающих влияние на процесс ценообразования как повода для этого процесса. Они позволяют проанализировать слабые и сильные стороны ценообразования, какие показатели положительно, а какие отрицательно влияют на прибыль от вложений в ценные бумаги. В конечном итоге провести анализ и оценку эффективности инвестиционного портфеля ценных бумаг.

Отсюда возникает объективная необходимость в разработке теоретических аспектов ценообразования на фондовом рынке. Важно понять, как происходит формирование курса ценных бумаг, какие факторы и механизмы при этом задействованы. Решение данных вопросов имеет большое практическое значение для всех участников фондового рынка.

Ценообразование на ценные бумаги необходимо эмитентам, так как рынок ценных бумаг открывает путь к привлечению инвестиций. Значение определения цены размещения эмитируемых ценных бумаг является одним из важнейших этапов процесса ценообразования, от которого зависит сумма привлеченных средств.

Для инвесторов понимание необходимости механизма ценообразования важно для принятия грамотных инвестиционных решений с целью получения дохода от инвестиций.

Прогноз ценообразования на фондовом рынке жизненно необходим для определения перспектив вложений в ценные бумаги той или иной компании, приоритетов и конъюнктур той или иной отрасли.

Принимая решение о покупке или продаже активов, ценных бумаг инвестор производит прогноз фондового рынка. Основа прогноза заключается в произведении фундаментального и технического анализа.

На уровне государства значение определения основ ценообразования на рынке ценных бумаг позволяет выработать направленность процесса регулирования рынка, его контроля [12, c.128].

Особенности системы ценообразования на ценные бумаги, выпускаемые эмитентами, заключаются в следующих основных принципах:

целевая направленность в зависимости от ценовой политики и ценовой стратегии;

научность, т.е. обоснованность целей ценообразования, видов цен и отдельных элементов цены;

выгодность, т.е. отражение в цене целесообразности эмиссии ценных бумаг или операций с ними;

реальность или достоверность, т.е. воплощение в цене бумаг фактических издержек на эмиссию;

сопоставимость, т.е. возможность сравнения цен разных категорий ценных бумаг;

сочетание стратегии и тактики ценообразования;

уменьшающаяся полезность (т.е. чем больше ценных бумаг на рынке, тем меньшую ценность представляет каждая дополнительная единица);

различие в потребностях инвесторов. Степень настоятельности потребности инвестора в приобретении ценных бумаг помогает определить, какую сумму он готов заплатить за них;

разница в доходах инвесторов. Доходы инвесторов или их платежеспособность оказывают воздействие на спрос. При увеличении доходов спрос повышается и соответственно при снижении доходов - уменьшается [18, с.95].

Ценные бумаги - это документы установленной формы и реквизитов, удостоверяющие имущественные права, осуществление или передача которых возможны только при их предъявлении.

Данные имущественные права по ценным бумагам обусловлены предоставлением денег в ссуду на создание различных предприятий, куплей-продажей, залогом имущества и т.п. В связи с этим ценные бумаги дают их владельцам право на получение установленного дохода. Капитал, вложенный в ценные бумаги, называется фондовым (фиктивным).

Юридическая суть ценной бумаги состоит в том, что ее статус устанавливается законом. Однако следует помнить, что присвоение чему-то статуса ценной бумаги имеет важное следствие, а именно: ценная бумага есть то, что юридически приравнивается к обычной вещи.

В ст. 128 ГК РФ устанавливается, что «к объектам гражданских прав относятся вещи, включая деньги и ценные бумаги...». Так, ценная бумага есть вещь, но не обычная материальная вещь, а юридическая, или абстрактная, вещь. В понятийном плане ценная бумага - это такая же юридическая абстракция, как и, например, организация, которая обычно объединяет ряд лиц и называется юридическим лицом. Действительному лицу (человеку) противостоит юридическое лицо, т. е. абстрактное лицо. Действительной вещи, т. е. материальной (природной) субстанции, противостоит юридическая вещь в виде ценной бумаги.

Потребительная стоимость реализуется в процессе потребления товара и проявляется лишь в отношении человека к вещи, она не выражает никаких общественных отношений, т.е. отношений между людьми. Потребительная стоимость качественно различает товары, делает их несопоставимыми между собой, не позволяет количественно сравнивать товары.

По мнению Юдиной И.Н., ценные бумаги сами по себе никакой потребительной стоимости не имеют [29, c.4]. Например, подобной той, что есть у любого другого товара, удовлетворяющего, прежде всего, физиологические и духовные потребности человека. Данный товар не имеет обычных потребительных свойств, кроме свойств расписанной бумаги (если ценная бумага - не запись в реестре, т.е. на бумажном или магнитном носителе информации), так как требуется не в силу необходимого потребления или использования в производстве. Ценные бумаги представляют собой бумажный документ, запись в книге учета, запись на магнитных и иных носителях информации.

В отличие от обычного товара, потребительская стоимость которого вытекает из его вещной или материальной природы, потребительская стоимость ценной бумаги не имеет материальной основы, а коренится во взаимоотношениях между владельцем ценной бумаги и лицом, обязанным по ней. Мерой ее потребительской стоимости выступает качество ценной бумаги.

Качество ценной бумаги находит свое отражение, прежде всего, в следующем:

а) ликвидности ценной бумаги, т.е. мере воплощения ее права на переход от одного владельца к другому;

б) доходности ценной бумаги, т.е. мере воплощения ее права на получение дохода ее владельцем;

в) риске ценной бумаги, т.е. неопределенности, неизвестности, связанной с осуществлением прав (и, прежде всего, прав на доход и на обращение), которыми она наделена.

Ликвидность ценной бумаги - это сочетание права на передачу ее от одного владельца к другому с возможностью осуществления этого права. Ликвидность находит свое выражение в перечне разрешенных форм перехода прав собственности на нее (например, бывает, что купля-продажа ценной бумаги ограничена), в объемах и сроках этого перехода и т.д. [13, c.194].

Доход по ценной бумаге - это доход, который она приносит в абсолютном (абсолютная доходность) или относительном (относительная доходность) выражении за определенный период времени, обычно в расчете на год. Этот доход распадается на два вида: доход от ценной бумаги как титула капитала, или начисляемый доход, и доход от ценной бумаги как капитала, или дифференциальный доход. Начисляемый доход есть часть дохода, создаваемого действительным капиталом, а поэтому действительный доход, по своей сути, есть часть произведенной прибавочной стоимости. Дифференциальный доход есть доход от капитала, функционирующего как фиктивный капитал, т.е. этот доход - чистое перераспределение уже существующей стоимости.

Владельцу ценной бумаги совершенно безразличен источник получаемого им дохода, поэтому на практике используются следующие базовые экономические понятия доходности: текущая доходность - определяемая на базе начисляемого дохода или обоих видов доходов за период до одного года или от краткосрочной операции; полная доходность - учитывающая сразу оба вида дохода по ценной бумаге за длительный период времени, но в расчете на год. Показатели доходности различаются по методам их расчета; по степени учета в них других экономических показателей (инфляции, налогов и т.п.); по временному интервалу (отчетные, текущие, прогнозные); по совокупности ценных бумаг (отдельной ценной бумаги, группы, всего рынка ценных бумаг) и т.д.

Риск - наряду с доходностью, важнейший показатель качества ценной бумаги. Отражаемая им неопределенность (неизвестность) может быть описана как возможность полного или частичного неисполнения целей, которые ставит владелец ценной бумаги из расчета имеющихся у него прав, так и возможность лишь частичного (вплоть до полного) исполнения этих целей. Следовательно, можно утверждать, что риск - это неизвестная степень осуществимости прав или целей владельца ценной бумаги или, наоборот, неизвестная степень их неосуществимости. В соответствии с основными правами, предоставляемыми ценной бумагой, существуют риск доходности, риск ликвидности и др.

Риск конкретной ценной бумаги не остается постоянным, а непрерывно изменяется в зависимости от состояния обязанного по ней лица и конъюнктуры рынка ценных бумаг в целом.

В современном рыночном хозяйстве преимущественной формой существования ценной бумаги является ее бездокументарная форма. Первоначально, или исторически, ценная бумага существовала только в форме документа (бумажного бланка). Но ситуация резко изменилась в последние три-четыре десятилетия с наступлением эпохи компьютеризации рынка ценных бумаг. С одной стороны, мощное развитие рынка привело к тому, что число обращающихся на нем ценных бумаг стало исчисляться сотнями миллионов штук.

Выпускать в обращение такое огромное количество ценных бумаг в документарной (в бумажной) форме стало просто нерационально, по меньшей мере, в силу следующих причин:

) вещная форма существования ценной бумаги требует больших затрат, чем ее бездокументарная форма. С ростом количества выпускаемых в обращение ценных бумаг еще быстрее возрастают затраты на производство бумажных бланков (сертификатов), их хранение, обслуживание, перерегистрацию с одного владельца на другого и т.п. «Количество начинает переходить в качество», т. е. в данном случае рост затрат на бланки ценных бумаг мог стать тормозом для выпуска самих ценных бумаг;

) вещная форма существования ценной бумаги становится сдерживающей преградой для процесса ее обращения. Время, необходимое на перерегистрацию прав собственности на документарную ценную бумагу на ее вторичном рынке, просто невозможно никак сократить, и этот процесс становится сдерживающим фактором для ускорения ее оборачиваемости. Документарный (вещественный) характер ценной бумаги не позволяет организовать спекулятивную торговлю ценными бумагами в сколько-нибудь крупных масштабах;

) ненужность документарной формы ценной бумаг. С позиций спекулятивной торговли ценными бумагами становится ненужной любая вещественная форма ценной бумаги. Очевидно, что процедура переоформления собственности на покупаемую, а затем снова продаваемую ценную бумагу совершено бессмысленна. Спекулянту абсолютно не нужна ценная бумага как таковая, ему нужна только разница в ее ценах. Стоимостное бытие (существование) ценной бумаги в данном случае полностью вытесняет ее «бумажное» бытие (существование). Отсюда следует определение, ценные бумаги - это средство перераспределения стоимости, прежде всего прибавочной стоимости, собственности, капитала.

Любой рынок есть всегда отношения по поводу отчуждения стоимости, независимо от того, происходит или не происходит при этом действительное отчуждение потребительной стоимости.

Ценные бумаги, будучи объектом рыночных сделок, должны обладать потребительными стоимостями, что и делает их товарами, которые свободно покупаются и продаются на фондовом рынке.

Специфическая потребительная стоимость ценных бумаг как товара для их покупателей заключается в доходности, ликвидности, сохранности и прозрачности вложений.

Например, акция как ценная бумага имеет целый ряд специфических свойств, которые присущи именно ей. Ими являются потребительская стоимость, курсовая стоимость, оборотность и ликвидность. Только если акция действительно представляет собой совокупность этих четырех свойств, она может выступать на рынке ценных бумаг как инвестиционный товар, который свидетельствует об осуществлении инвестиций в реально функционирующее акционерное общество.

Доход по ценной бумаге может выступать в виде процента, дивиденда, курсовой разницы.

Ценность этого товара состоит и в различных других выгодах, например, участии в управлении корпорацией, выгодном зачете задолженности.

Торговля ценными бумагами осуществляется на фондовой бирже, которая является институтом ценообразования на рынке ценных бумаг.

Особенностью биржевой торговли является то, что она ведется не самими продавцами или покупателями, а их представителями - биржевыми посредниками, которых в России делят на брокеров и дилеров.

Дилер - профессиональный участник биржевой торговли, выступающий при заключении сделки от своего имени и за свой счет. Дилером может быть только юридическое лицо.

В практике оценки под рыночной стоимостью ценной бумаги понимается наиболее вероятная цена, по которой данная ценная бумага может быть отчуждена на открытом рынке в условиях конкуренции, когда стороны сделки действуют разумно, располагая всей необходимой информацией, а на объеме сделки не отражаются какие-либо чрезвычайные обстоятельства, т. е. когда:

одна из сторон сделки не обязана отчуждать ценные бумаги, а другая сторона не обязана их приобретать;

стороны хорошо осведомлены о предмете сделки и действуют в своих интересах;

цена сделки представляет собой разумное вознаграждение за переход права собственности на ценные бумаги и не было принуждения к совершению сделки в отношении сторон сделки с чьей-либо стороны;

цена сделки выражена в денежной форме;

ценные бумаги представлены на открытом рынке в форме публичной оферты.

Оценка рыночной стоимости ценной бумаги может быть использована при подготовке различных сделок с ценными бумагами. Выбор методики определения рыночной стоимости ценных бумаг зависит от характера ценной бумаги (котируемая и некотируемая, высоколиквидная, среднеликвидная, малоликвидная и неликвидная, эмиссионная и неэмиссионная), количества ценных бумаг, времени, вида, формы и условий оплаты и регистрации сделок.

Если средняя фактическая цена ценных бумаг по различным сделкам за определенный анализируемый период превышает их оценочную рыночную стоимость, то можно сделать вывод о недооценке рыночной стоимости данных ценных бумаг. При обратной ситуации, когда фактическая цена ценных бумаг на реальном рынке ниже их оценочной рыночной стоимости, наблюдается завышение, или переоценка, рыночной стоимости. Как показывает практика фондового рынка в России и за рубежом, в отдельных случаях недооценка или завышение рыночной стоимости ценных бумаг широко используются финансовыми спекулянтами для скупки или перепродажи фондовых активов.

Высокие показатели составляющих элементов потребительной стоимости ценных бумаг способствуют увеличению скорости кругооборота капитала, представленного в форме ценных бумаг, характеризуя тем самым эффективность функционирования финансового рынка вообще и рынка ценных бумаг в частности.

Как потребительные стоимости ценные бумаги однородны. Различия проявляются фактически только в уровне приносимого ими дохода. Инвестор стремится сделать вложения в ценные бумаги, которые принесут наибольший доход при условии равенства прочих факторов.

В связи с этим ценные бумаги универсальны, так как они приносят доход, который можно использовать для удовлетворения любой потребности либо отложить их удовлетворение на любой срок, в то время как потребительские товары удовлетворяют конкретные текущие потребности.

Ценные бумаги, выступая предметом купли-продажи, имеют рыночную цену, которую называют также рыночным курсом ценной бумаги.

Основой формирования рыночной цены ценных бумаг является их рыночная стоимость, представляющая собой комплексную оценку стоимости материальных и нематериальных активов эмитента, обеспечивающих образование общественно-нормального уровня дохода. Если стоимость потребительских товаров, определяемая затратами общественно-необходимого труда, более или менее определенная величина, то рыночная стоимость ценных бумаг, отражая оценку реального капитала в его постоянном движении, функционировании в ходе общественного воспроизводства, является величиной неустойчивой.

Процесс ценообразования на фондовом рынке включает в себя два этапа. На первом этапе - этапе первичного размещения ценных бумаг - происходит оценка ценных бумаг в соответствии с их рыночной стоимостью, определяющим фактором оценки здесь выступает стоимость реального капитала по форме, т.е. производится оценка инвестиционного плана, проекта, под который и осуществляется эмиссия ценных бумаг. На этапе свободного обращения ценных бумаг в условиях вторичного рынка проявляются отклонения рыночной цены ценных бумаг от их рыночной стоимости под активным воздействием факторов спроса и предложения, тем самым происходит уточнение цены ценных бумаг на базе оценки реального капитала, но уже по его содержанию.

Рыночная цена ценных бумаг выступает как отражение момента единства оценки реального и фиктивного капитала, разная степень тесноты взаимосвязи между которыми отчетливо проявляется на каждом этапе оценки ценных бумаг.

На формирование цен на фондовом рынке влияют внутренние и внешние факторы объективного и субъективного характера. Под влиянием разнонаправленных факторов цены на одну и ту же ценную бумагу могут существенно колебаться. В целом на формирование уровня цен на ценные бумаги влияют:

отраслевая принадлежность эмитента и территориальные условия его размещения;

степень технической оснащенности производства эмитента;

качество ценных бумаг;

специфика отдельных регионов;

инвестиционные характеристики ценных бумаг и управленческие возможности эмитентов;

меры государственного регулирования цен;

учет взаимозаменяемости;

учет цен на аналогичные ценные бумаги и услуги на внешнем рынке;

особенности системы формирования цен на бумаги различных эмитентов;

конкуренция;

монополия;

степень развития рыночных отношений;

соотношение спроса и предложения;

ставки налогов [28, c.183].

Особенность процесса ценообразования на фондовом рынке проявляется и в значительно более широком спектре факторов, оказывающих заметное влияние на определение рыночной стоимости и установление рыночного курса финансового инструмента.

Все многообразие факторов, влияющих на процесс ценообразования на фондовом рынке, можно классифицировать по направленности их воздействия и силе влияния на рыночную стоимость и на рыночную цену ценных бумаг на первичном и на вторичном рынках.

К числу первичных и наиболее важных факторов, определяющих рыночную стоимость ценных бумаг на этапе первичной их эмиссии, относятся факторы, связанные с оценкой показателей инвестиционного проекта, условиями инвестирования средств.

На вторичном рынке рыночная стоимость ценных бумаг находится под воздействием факторов, характеризующих состояние и эффективность функционирования реального капитала, а именно показателей финансово-хозяйственной деятельности эмитента.

Отклонения рыночных цен от рыночной стоимости ценных бумаг на первичном рынке происходят под влиянием факторов, непосредственным образом связанных с природой, сущностью и целевым назначением того или иного вида ценных бумаг. В данной группе факторов выделяются четыре основных - это размер и периодичность выплат по ценной бумаге, предстоящая длительность ее обращения, цена гашения, уровень рыночной ставки.

На вторичном рынке рыночные цены ценных бумаг подвержены влиянию многочисленных разнородных факторов, все многообразие которых можно разделить на следующие большие группы: объективные и субъективные факторы.

Объективные факторы ценообразования подразделяются в свою очередь на внутри- и внешнеэкономические, политические, глобальные факторы.

. Внутриэкономические факторы характеризуют общее состояние экономики страны, особенно состояние ее финансовой системы - это макроэкономические факторы. К данной подгруппе относятся и микроэкономические факторы, связанные с деятельностью самого предприятия, например, проведение собрания акционеров и выплата дивидендов, публикация годовых отчетов компании, проведение конференций и презентаций, изменения в руководстве компании, информация о доступе к кредитным источникам, аварии на предприятии и пр. Данные факторы являются «плохими» либо «хорошими» новостями компании.

В ходе рассмотрения влияния дивидендной политики российских акционерных обществ на курс их ценных бумаг, четко определенной взаимосвязи между размером дивидендов компании, устойчивостью ее финансовых результатов и динамикой цен акций не обнаружено. Величина дивидендных выплат не характеризует финансовое состояние компании, а также не является определяющим динамику цен ее акций фактором.

Если акционерное общество принимает решение выплатить минимальный уровень дивидендов, это совсем не обязательно свидетельствует о том, что у него незначительная величина прибыли, неустойчивое финансовое положение и неясные перспективы на рынке. Возможно, данная компания заинтересована в увеличении своей доли на рынке, инвестировании в обновление производственных мощностей или обучение персонала. Несмотря на то, что прибыль не пошла на дивиденды, данная политика компании может вызвать не снижение, а рост котировок акций компании, поскольку инвесторы могут надеяться на получение дивидендов и рост рыночной стоимости акций этой компании в будущем [20, c.44].

Таким образом, уровень дивиденда утрачивает критериальное, определяющее значение в отклонениях рыночного курса ценных бумаг от их рыночной стоимости. На первый план выдвигается другая форма реализации доходности: доход от устойчивого роста курса ценных бумаг, дивиденды при этом выступают как дополнительный источник доходов для инвесторов.

Курс акций может повышаться или понижаться по множеству причин, и изменения в дивидендной политике могут находиться в их числе, при этом вряд ли можно будет назвать их влияние значимым и определяющим.

. Внешнеэкономические факторы - это уровень цен на энергоносители, металлы и прочие сырьевые товары, различные рейтинговые оценки, политика в области либерализации движения капитала.

. Глобальные факторы приобретают более масштабный характер по сравнению с внешнеэкономическими факторами и по силе своего воздействия распространяются на экономику ряда стран.

. К субъективным факторам рыночного ценообразования на ценные бумаги можно отнести те, что имеют поведенческую природу и характеризуют реакцию отдельных субъектов рынка, их психологические установки на складывающуюся на нем (прогнозируемую или ожидаемую) ситуацию. В числе субъективных факторов выделяются факторы, связанные с оценкой инвесторами действия тех или иных объективных факторов.

Другими словами, как бы реально ни действовали факторы, влияние какого бы из них ни было решающим на курс ценной бумаги, поведение участников рынка ценных бумаг продиктовано тем, что они думают о влиянии этих факторов и о том, какой из факторов решающий.

По силе своего воздействия на фондовый рынок влияние субъективных факторов оказывается самым значительным, так как усиливает (или, наоборот, ослабляет) действие объективных факторов, с одной стороны, а с другой - при отсутствии какого-либо значимого для фондового рынка события только одно его ожидание инвесторами способно изменить ценовую ситуацию на рынке. Этим и объясняется возможность глобального превышения рыночных цен над рыночной стоимостью ценных бумаг.

В ряду с объективными и субъективными факторами особое, промежуточное место занимают спекулятивные факторы. С одной стороны, спекуляция не связана напрямую с состоянием действительного капитала, и ее нельзя отнести к объективным факторам. С другой стороны, для рынка ценных бумаг спекуляция является объективной и важной формой операций, как нормальная торговля для рынка, например, потребительских товаров. Специфика воздействия спекулятивных факторов заключается в том, что они смещают баланс в комплексе ценообразующих факторов с объективных условий воспроизводственного процесса в сторону ожиданий.

Таким образом, современные процессы на финансовых рынках свидетельствуют о доминирующей роли субъективных факторов в отклонениях рыночных цен ценных бумаг от их рыночных стоимостей, слабо связанных с реальными процессами производства материальных и нематериальных благ.

Более узкая классификация факторов, воздействующих на ценообразование на вторичном рынке, основывается на «предсказуемости» возникновения того или иного события, тем самым производится их разбиение на предсказуемые и непредсказуемые. К первой группе относятся события, вероятность наступления которых близка к 100%. В изменениях рыночной цены ценных бумаг оценка данных событий или фактов, как правило, находит свое отражение уже до момента их наступления [17, c.25].

Значение ценообразования на рынке ценных бумаг, являющегося неотъемлемой частью механизма рыночной экономики, трудно переоценить. Вместе с тем специфика российского фондового рынка и его место в экономической системе нашей страны пока не позволяют в полной мере использовать потенциал, свойственный развитым фондовым рынкам. В числе причин, препятствующих эффективному функционированию российского рынка ценных бумаг, необходимо назвать высокий уровень рисков, которым подвержены инвесторы в силу влияния определенных финансовых, макроэкономических и политических факторов, низкий уровень капитализации рынка и ликвидности ценных бумаг, слабая степень институциональной защиты инвесторов, вытекающая из недостаточного развития нормативной правовой базы, регулирующей отношения на рынке акций и внутри компаний.

Таким образом, специфика товара ценные бумаги определяет особенности процесса ценообразования на фондовом рынке, в ходе которого выявляются следующие характеристики иррациональности рыночной цены ценных бумаг:

виртуальность, которая проявляется в отрыве движения цены ценной бумаги от познаваемых реалий;

трансцендентность, т.е. непознаваемость или неуловимость причин изменения цены ценной бумаги: можно назвать сколь угодно факторов, но их всегда окажется меньше, чем в реальности, либо можно выделить один какой-то фактор и назвать его определяющим, при этом всегда будут основания считать таким другой фактор.

Участники рынка ценных бумаг имеют неоднозначные мнения по поводу причин движения цен на фондовом рынке. В связи с такой неопределенностью возникает почва для спекуляций. Формирование цен на ценные бумаги в отличие от обычных товаров происходит более сложным образом и зависит от более неопределенных факторов;

спекулятивность. Свободная конкурентная среда рынка ценных бумаг наиболее благоприятна для развития спекуляций. Спекулятивный капитал, представленный ценными бумагами, обеспечивает возрастание эффективности капитала как единого целого, прежде всего за счет увеличения его мобильности, скорости оборота, что в свою очередь оказывает огромное влияние на финансовые рынки, а через них и на всю экономику;

прозрачность, имеется в виду прозрачность дохода, получаемого по ценной бумаге и заложенного в ее цене;

вмененность, т.е. определение состава факторов, отраженных в рыночной цене ценной бумаги, например, большие перспективы в скором получении дивидендных выплат по ценной бумаге, занятие корпорацией заметного положения на рынке, наличие у корпорации общепризнанного бренда и пр.;

конституированность, т.е. возможность ее прогнозирования и регулирования.

Выявить величину ценового изменения, вызванного действием конкретного фактора, достаточно сложно, более того, эта реакция учитывает эмоциональную окраску информации, что может вызывать значительные колебания курса. В связи с этим рынок ценных бумаг очень динамичен, неустойчив, подвержен воздействию огромного числа как объективных, так и субъективных факторов, он создает идеальные условия для совершения спекулятивных операций. Особенности системы формирования цен определяются эмитентами еще на стадии разработки и принятия условий выпуска ценных бумаг, выборе рыночного сегмента их распространения. Если такой сегмент крайне ограничен, то цена определяется ценой первичного размещения и ценой погашения. На ценообразование на рынке ценных бумаг оказывают влияние как традиционные факторы (спрос, предложение, конкуренция), так и специфические (тип, вид, разновидность ценной бумаги, срок обращения, инвестиционные качества, инвестиционный климат и инвестиционная емкость рынка и др.). Действие этих факторов во многом зависит от конкретных мер по государственному регулированию системы ценообразования [11, c.312].

Таким образом, можно сказать, что, процесс ценообразования на рынке ценных бумаг выступает основой механизма перераспределения денежных ресурсов на инвестиционные цели. Ценообразование имеет значение для определения стоимости заимствования денежных ресурсов для эмитентов и эффективность их размещения для инвесторов. Справедливое ценообразование является важным условием эффективности выполнения рынком ценных бумаг его перераспределительной функции, оно отвечает принципам рыночной справедливости, критериями которого являются: объективность, полнота взаимодействия спроса и предложения, ликвидность, информационная прозрачность. Критерии справедливого ценообразования могут выполняться рынком ценных бумаг только при условии целостной системы.

.2 Основные теории ценообразования на фондовом рынке

К основным теориям ценообразования на фондовом рынке относятся следующие:

. Теория рыночной эффективности.

. Теория катастроф.

. Теория шума.

. Модель мод и настроений.

. Теория хаоса.

. Математические модели теории рыночной эффективности (САРМ, APT).

. Теория рыночной эффективности

Согласно определению основателя теории эффективности Фамы «эффективным называется рынок, цены на котором в любой момент времени полностью отражают всю имеющуюся информацию», и любая информация мгновенно находит отражение в рыночной цене (иными словами, акции всегда правильно оценены). В целом, из теории рыночной эффективности можно сделать следующие выводы:

курсовая стоимость акции является компромиссом ожиданий всех инвесторов (поведение отдельных инвесторов нивелируется рынком);

курсовая стоимость (рыночная цена) всегда совпадает с внутренней стоимостью;

невозможно систематически и постоянно достигать доходности, превышающей среднерыночную. Чтобы этого добиться, нужно знать больше, чем все другие инвесторы.

Так как информация всегда оценивается с точки зрения ожиданий, то аналитик, желающий получить доходность выше рыночной, должен находить такие ценные бумаги, рост у которых может быть выше, чем ожидает рынок в целом (который заложен в курсовой стоимости на рынке).

. Теория катастроф

Теория катастроф, предложенная Зиманом в 1974 году, представляет собой модель рынка, состоящую из двух групп участников, так называемых фундаменталистов и чартистов. В то время, как фундаменталисты принимают свои решения об инвестировании исключительно на основе фундаментального анализа, то чартисты следят по графикам за поведением рынка и на основе технического анализа пытаются делать прогнозы.

По мнению Зимана, чартисты являются спекулятивно настроенными участниками рынка. Они же и вызывают резкие обвалы котировок тем, что на растущем рынке их доля сильно увеличивается, и, следуя сложившейся тенденции, чартисты просто дестабилизируют рынок. Фундаменталисты, основываясь на фундаментальных данных, вовремя выходят из игры и возвращаются только тогда, когда акции снова недооценены.

Слабым местом этой теории является то, что на самом деле рынок нельзя разделить на убежденных чартистов и убежденных фундаменталистов. Большинство аналитиков применяют оба метода, и очень часто фундаменталисты имитируют чартистов и показывают временами циклическое поведение, как чартисты.

. Теория шума

По этой теории также существуют две группы инвесторов: арбитражеры и «торговцы шумом». Шумом первоначально был назван феномен искаженной, а также базирующейся на нечеткой и несовершенной информации рыночной цены. Впоследствии это понятие было дополнено как осознанное или неосознанное отклонение инвесторов от рационального поведения. Если у арбитражеров формируются ожидания о будущих доходностях на рынке ценных бумаг, то «торговцы шумом» имеют искаженные рациональные ожидания и торгуют так называемым «шумом».

Существует несколько причин возникновения «шума». Некоторые участники не могут принимать рациональных решений, так как они находятся слишком далеко от рынка и получают либо запоздалую, либо искаженную информацию.

Второй причиной является не информация, а слухи, предположения, домыслы, которые всегда присутствуют на рынке и используются для попыток получить «сверхдоходность» (то есть доходность выше среднерыночной). Те операции, которые совершаются не на основе новой информации, называются иррациональным шумом. И, наконец, третья причина - это социальная имитация, то есть ориентация в своем поведении на других.

Для арбитражеров все это является шумом, который изменяет цены, но не несет информационной нагрузки.

По словам Кейнса «...рыночное поведение превращается в попытку отгадать среднее мнение других участников рынка». У рационально действующих инвесторов появляется риск того, что изменения пойдут не по рациональному пути.

Возникает потребность оценивать не только поступающую информацию, но и реакцию других участников на эту информацию. То есть оценка перестает быть оценкой только фундаментальных факторов.

. Модель мод и настроений

Эта модель также имеет много общего с другими моделями ограниченно эффективного рынка. Согласно ей решающая роль в формировании курсовой стоимости на рынке акций отводится настроениям участников и веяниям моды. Все участники также делятся на две группы: «компенсационные инвесторы» и «обычные». Если первая группа ведет себя исключительно рационально, то вторая подвержена сильному влиянию настроений и эмоций, которые проявляются в переоценке оперативной информации, причем вторая группа является доминирующей. Недооценка фундаментальной информации приводит к постоянным искажениям цен. Это вынуждает рационально действующих инвесторов прогнозировать поведение «обычных» инвесторов и вслед за этим вызванные ими колебания рынка.

Прибыль «компенсационных» инвесторов получается за счет игры против остального рынка, то есть в покупке, когда «обычные» инвесторы утратили интерес к рынку, и в продаже, когда на рынке особенно большой спрос, доходящий до ажиотажа.

. Теория хаоса

Теория хаоса также первоначально создавалась для описания естественных процессов, в частности для предсказания погоды. Она занимается исследованием временного развития нелинейных, но все-таки детерминированных (то есть описываемых математически) процессов. При внешней хаотичности такие процессы все-таки поддаются формализации. Сложность в их описании связана с высокой чувствительностью к входным параметрам, а также принципам слабой причинности («одинаковые причины оказывают одинаковое воздействие», принцип сильной причинности - «подобные причины оказывают подобное воздействие»).

Предполагается, что подобные системы обладают еще признаками самоиндуцирующихся процессов, а также процессов, подобных самим себе (фрактальные структуры). Все это, естественно, делает практически неосуществимым прогнозирование подобных моделей на какой-либо длительный срок. В целом надо признать, что практически все современные теории формирования курсовой стоимости на рынке ценных бумаг не лишены недостатков и недооценивают те или иные факторы. И среди исследователей в настоящее время идет спор о том, возможно ли в принципе создание концептуальной и математической модели, позволяющей описывать формирование курсовой стоимости и давать прогнозы развития курса акций. До сегодняшнего дня все теории и модели в большей или меньшей степени представляют собой лишь приближение к реальности [40].

. Математические модели теории рыночной эффективности (САРМ, APT)

Математические модели, хотя и относятся многими исследователями к фундаментальному анализу, но представляют собой принципиально иной подход, чем классический фундаментальный анализ.

Эти модели объясняют доходность ценных бумаг (а, значит, и курсовую стоимость) как величину, производную от некоторых переменных, причем эти переменные совсем не обязательно должны быть микроэкономическими. Большей частью предпочтение отдается макрофакторам, таким, например, как поведение всего рынка.

На основании статистических данных производится определение степени влияния этих факторов на курсовую стоимость акции, и в результате получается формула определения курсовой стоимости акции.

Среди математических моделей теории рыночной эффективности (САРМ, APT) можно выделить такие как модель рынка, модель ценообразования капитальных активов и теорию арбитражного ценообразования.

Согласно теории САРМ (Теория формирования цены капитальных активов) доходность, а, значит, и курсовая стоимость акции зависит от доходности всего рыночного портфеля, от уровня безрисковой ставки, а также от β-фактора этой акции.

Исторически первой моделью ценообразования капитальных активов является классическая концепция капитализации ожидаемых доходов. В соответствии с ней цена земли, как актива с бесконечным сроком службы определяется путем деления земельной ренты на ссудную ставку процента; цена объекта вложений с ограниченным сроком службы равна сумме всех ожидаемых за этот срок чистых доходов, приведенных к текущему моменту посредством коэффициента дисконтирования [30, c.165].

Основной недостаток классической концепции ценообразования на капитальные активы состоит в том, что она не учитывает вероятностный характер ожидаемых доходов и взаимозависимость доходностей всех финансовых инструментов. С позиций современной экономической теории отличие между дисконтированной суммой ожидаемых доходов капитального актива и его ценой примерно такое же, как между ценой блага, определенной по модели частичного равновесия (на отдельном рынке данного блага), и его ценой, установленной с помощью модели общего экономического равновесия. Тем не менее, метод капитализации ожидаемых доходов в качестве модели ценообразования на рынке ценных бумаг может быть применим для финансовых инструментов с гарантированными номинальными доходами, т.е. для облигаций.

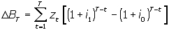
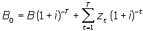
Цена облигации. При определении цены облигации решающими являются следующие ее характеристики: величина выплат владельцу облигации за период - купонный доход (z); предстоящий срок ее обращения (T); сумма гашения в конце срока обращения (B); рыночная ставка процента; (i). Согласно концепции капитализации доходов

, (1.2.1)

где B0 - цена облигации в текущем (нулевом) периоде.

Обычно за все годы обращения облигации дивиденды выплачиваются в одинаковом размере: z1 = z2 = ... = zT = a; тогда формула (1.2.1) принимает вид:

 . (1.2.2)

Когда рыночный курс облигации меньше значения, получаемого по формуле (1.2.2), тогда следует ожидать повышения курса, в противном случае - понижения.

Кроме текущей цены облигации может представлять интерес ее цена на момент гашения (BT,/i>):

. (1.2.3)

Она показывает, какую сумму денег получит владелец облигации в момент ее гашения в случае реинвестирования всех дивидендов под сложные проценты.

Из четырех параметров (a, B, i, T), определяющих цену купонной облигации, два первых являются известными константами. Рассмотрим, как влияют на цену облигации изменения срока ее обращения и рыночной ставки процента. При a/B = i цена облигации равна ее номиналу независимо от оставшегося срока ее обращения, так как в этом случае выражение (1.2.3) принимает следующий вид:

; t = 1,2, ... , T. (1.2.4)

Если a/B > i, то Bt > B, но по мере приближения к моменту гашения облигации разность (Bt - B) уменьшается. Когда a/B < i, тогда Bt < B и Bt приближается к B снизу. Для иллюстрации этих выводов проследим за изменением ценности пяти различных облигаций с одинаковым номиналом 100 ден. ед., характеристики которых представлены в табл. 1.2.1, при фиксированной текущей ставке процента, равной 10%.

Таблица 1.2.1

Набор облигаций в ден. ед., T

Наименование облигации

B

t

A

15

8

B

15

4

C

10

5

D

5

8

E

5

4


Результаты расчетов, проведенные по формуле (1.2.2) для каждого периода t, представлены на рис. 1.2.1. и в табл. 1.2.2

Рис. 1.2.1. Изменение сегодняшней ценности облигаций по мере приближения к сроку гашения [30, c.166]

Таблица 1.2.2

Изменения сегодняшней ценности облигаций по мере приближения к сроку гашения

в ден. ед.

t

A

B

C

D

E

0

126,7

115,8

100

73,3

84,2

1

124,3

112,4

100

75,7

87,6

2

121,8

108,7

100

78,2

91,3

3

119,0

104,5

100

81,0

95,5

4

115,8

100

100

84,2

100

5

112,4

-

100

87,6

-

6

108,7

-

-

91,3

-

7

104,5

-

-

95,5

-

8

100

-

-

100

-


Проанализируем теперь, как влияет на ценность облигации колебание ставки процента. Из выражения (1.2.1) следует, что при ее изменении с i0 до i1 нынешняя ценность облигации изменится на

, (1.2.5)

где zt при (t = T) - купонная выплата плюс сумма гашения облигации.

Из формулы (1.2.4) следует, что B0 < 0 при i1 > i0, и наоборот, т.е. при повышении (понижении) ставки процента цена облигации снижается (повышается).

Соответственно из формулы (1.2.3) следует:

. (1.2.6)

Согласно выражению (1.2.5) BT > 0 при i1 > i0, и наоборот, т.е. при повышении (понижении) ставки процента владелец облигации в момент ее гашения получит больше (меньше), чем ожидал.

Как изменяется цена облигации в каждом из периодов срока ее обращения при различных ставках процента, определяется по формуле:

. (1.2.7)

Результаты расчетов представлены в табл. 1.2.3 и на рис.1.2.2.

Таблица 1.2.3

Изменение ценности облигации при изменении ставки процента

в ден. ед.

i, %

Ценность облигации, ден. ед., в каждый период t


0

1

2

3

4

5

1

124,3

112,4

100

75,7

87,6


8

115,97

125,25

135,27

146,09

157,78

170,4

12

100,0

112,0

125,44

140,49

157,35

176,23

4

135,6

141,0

146,7

152,5

158,6

165,0


Обратим внимание на то, что при снижении ставки процента не удается предотвратить снижения накоплений, ожидавшихся к моменту гашения облигации, за счет ее продажи по возросшей цене и предоставления вырученной суммы в ссуду под сложные проценты (135,6·1,045 = 165).

Таким образом, в случае повышения ставки процента нынешняя цена облигации снижается, но к моменту ее гашения держатель облигации при реинвестировании дивидендов будет иметь больше, чем ожидал. При понижении ставки процента обладатель облигации в текущем периоде окажется богаче, но к моменту ее гашения он накопит меньшую сумму, чем при исходной ставке процента.

Пересечение кривых, представляющих динамику текущей цены облигации в течение срока ее обращения при различных ставках процента (рис. 1.2.2), свидетельствует о том, что существует определенный момент, в который текущая цена облигации не зависит от изменения ставки процента.

Рис.1.2.2. Изменение сегодняшней ценности облигации при изменении ставки процента [30, c.167]

В приведенном примере таким моментом является четвертый год. Эту особенность динамики ценности облигации (капитализируемого дохода) в теории финансов используют при выработке рекомендаций по нейтрализации риска от изменения рыночной ставки процента.

. Модель рынка.

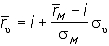
В основе модели рынка лежит следующий из теории портфеля постулат: доходность и риск обращающейся на рынке акции определяются только доходностью и риском рыночного портфеля. Доходность рыночного портфеля (rM) исчисляется как средневзвешенная доходность всех обращающихся акций

, (1.2.8)

где qj - удельный вес капитализации фирмы j в общей капитализации рынка (j = 1,...,n).

Мерой риска финансового рынка служит вариация ожидаемой доходности или стандартное отклонение.

Для представления в явном виде зависимости доходности акции j-го вида от доходности рыночного портфеля используют модель линейной регрессии, уравнение которой имеет вид

, (1.2.9)

Согласно модели рынка доходность акции представляется в виде двух компонентов: j и jrM. Первая зависит от свойств данной акции, а вторая пропорциональна доходности рыночного портфеля. Для экономической интерпретации j примем во внимание, что в регрессионной модели этот коэффициент вычисляется по формуле

, (1.2.10)

где jM - коэффициент корреляции между доходностями рыночного портфеля и j-го вида рискового актива; M и j - соответственно их стандартные отклонения.

Коэффициент j является степенью риска j-й акции относительно степени риска рыночного портфеля: при j > 1 риск данной акции больше, чем рыночного портфеля, при j < 1 - наоборот.

В соответствии с рассматриваемой концепцией доходность не только отдельной акции, но и любого портфеля, составленного из обращающихся на рынке акций, определяется характеристиками рыночного портфеля. Если в приведенных выше рассуждениях на место акции вида j поставить некий портфель, то придем к выводу, что, где - ожидаемая доходность портфеля. Она зависит как от объема и структуры данного портфеля, так и от доходности рыночного портфеля и соотношения рисков их обоих. По мере приближения структуры данного портфеля к структуре рыночного величина p будет стремиться к нулю, а величина p - к единице.

. Модель ценообразования капитальных активов.

В отличие от модели рынка, постулирующей исключительную роль характеристик рыночного портфеля при определении доходности отдельных рисковых активов, CAPM обосновывает это положение.

Из теоремы сепаратности теории портфеля следует, что у всех покупателей акций структура спроса одинакова; хотя размеры портфелей у инвесторов различны, все они хотят иметь одинаковый ассортимент рисковых активов. Отсюда вытекает исходное положение CAPM: при равновесии на рынке ценных бумаг рыночный портфель как совокупность всех обращающихся на рынке рисковых активов совпадает с оптимальным для инвесторов портфелем. Поэтому в состоянии равновесия ожидаемая доходность имущества, определяемая по формуле (1.2.11),

 (1.2.11)

у любого инвестора вычисляется по формуле (см. 1.2.12)

 (1.2.12)

Уравнение (1.2.12) получило название уравнения линии рынка капитала CML (capital market line), которая показана на рис. 1.2.3. Для обеспечения равновесия на рынке рисковых ценных бумаг необходимо, чтобы структура предложения совпадала со структурой портфеля, определяемой на рис. 1.2.3 точкой M - точкой касания прямой, проходящей через i с линией области эффективного выбора портфеля. Она представляет множество эффективных структур финансовых вложений при равновесии на рынке рисковых ценных бумаг. Это означает, что при равновесии на финансовых рынках имущество рационального инвестора состоит из рыночного портфеля определенного размера и вложений или задолженности на денежном рынке.

Рис. 1.2.3. Линия рынка капитала [29, c.167]

Угол наклона CML отражает цену риска вложений на рынке рисковых активов: он показывает, на сколько повышается доходность имущества инвестора при увеличении на единицу их риска, который изменяется прямо пропорционально изменению доли рисковых активов в общей сумме имущества. Иначе говоря, tg - предельная доходность риска имущества при наличии на рынке рисковых и безрисковых активов.

Можно доказать, что приведенное соотношение у рыночного портфеля акций определяется по формуле

, (1.2.13)

где - соответственно ожидаемая доходность, мера риска и коэффициент корреляции некоторого j-го вида рисковых активов.

Поскольку структура рыночного портфеля определяется точкой касания прямой CML с эффективной областью выбора портфеля, то . Поэтому

. (1.2.14)

Второе слагаемое в формуле (1.2.14) представляет премию за риск: ожидаемая доходность рискового актива j превышает доходность безрисковой ссуды. Если риск измерять посредством ковариации доходностей j-й акции и рыночного портфеля, то  есть цена риска.

В графическом виде зависимость между ожидаемой доходностью рискового актива и величиной присущего ему риска (формула 1.2.14) представляется линией рынка ценных бумаг SML (security market line), изображенной на рис.1.2.4 (вариант а).

 

Вариант a - I Вариант б - II

Рис. 1.2.4. Линия рынка ценных бумаг [29, c.168]

Она показывает, что между доходностью и риском финансового актива существует положительная линейная зависимость. В отличие от линии CML, которая показывает, как растет ожидаемая доходность имущества по мере роста его риска, линия SML представляет связь между ожидаемой доходностью отдельной акции и ее риском, измеряемым посредством cov .

Обратим теперь внимание на то, что сомножитель, стоящий за скобкой в уравнении (1.2.14), есть коэффициент j, характеризующий в модели линейной регрессии взаимозависимость между  и : . Поэтому уравнение линии SML можно записать следующим образом:

. (1.2.15)

Ожидаемую доходность акции за период можно представить в виде

, (1.2.16)

где - сумма ожидаемых дивидендов плюс цена акции на конец периода; zj - текущая цена акции.

Ее график изображен на рис.1.2.4, (вариант б).

Из формул (1.2.15) и (1.2.16) следует, что в модели САРМ

, (1.2.17)

т.е. цена рискового актива определяется путем дисконтирования ожидаемого от него дохода по рыночной ставке процента, увеличенной на премию за риск.

. Теория арбитражного ценообразования.

Теория арбитражного ценообразования APT (arbitrage pricing theory). Она возникла как дальнейшее развитие модели САРМ в конце 1970-х гг., она была предложена профессором Йельского университета Стефаном Россом в 1976 г. В качестве практического результата теории рассматривается основное уравнение ценообразования активов, согласно которому на изменение стоимости актива влияет не только рыночный фактор (стоимость рыночного портфеля), но и другие, в том числе нерыночные, факторы риска - курс национальной валюты, стоимость энергоносителей, уровень инфляции и безработицы и т. д. [34].

Сама теория достаточно сложна и подробно излагается лишь в специальных учебниках по корпоративным финансам. Здесь ограничимся изложением ее сути на числовых примерах. Понятие арбитража является важной составляющей, применяемой для характеристики деятельности инвесторов, поскольку арбитраж является широко распространенной инвестиционной тактикой.

В основе теории лежат два положения:

. В состоянии общего экономического равновесия на всех конкурентных рынках, включая рынок ценных бумаг, устанавливаются цены, исключающие возможность арбитража.

. Ожидаемая величина и риск дохода ценной бумаги определяются не одним, как в модели САРМ (колебаниями доходности рыночного портфеля), а несколькими факторами (колебаниями ВВП, темпа инфляции, обменного курса национальной валюты и др.).

Ожидаемая доходность отдельной акции в концепции АРТ рассчитывают по формуле

, (1.2.18)

где n - число факторов риска; i - реакция (чувствительность) ожидаемой доходности акции на изменение значения i-го фактора риска; 0 - доходность безрисковых вложений; i - премия за риск, обусловленный i-м фактором.

Сравнивая концепции АРТ и САРМ, можно отметить, что теория арбитражного ценообразования может быть представлена в многопериодном варианте, в ней не предполагается в качестве обязательного условия существование финансового инструмента с безрисковой доходностью и для ее применения не нужно исчислять среднеожидаемое значение дохода от ценных бумаг и его вариацию. С другой стороны, САРМ представляет собой модель определения всей системы равновесных цен обращающихся на рынке ценных бумаг, в то время как АРТ объясняет формирование равновесной цены на отдельную, вновь появляющуюся на рынке акцию.

Таким образом, посредством рынка капитала сбережения переводятся в инвестиции. Совместное выравнивание спроса и предложения на всех кредитных рынках достигается благодаря гибкости взаимосвязанной системы ставок процента, выступающих в роли прокатных цен соответствующих капитальных активов. При одинаковых у всех инвесторов ожиданиях относительно развития конъюнктуры на рынке ценных бумаг структура вложений в реальный капитал (пакета акций) у всех избегающих риск инвесторов будет одинаковой. Различия их предпочтений относительно всевозможных комбинаций доходности и риска проявляются в пропорциях распределения имущества между финансовыми и реальными вложениями. В условиях инфляции рисковыми являются вложения не только в реальный капитал, но и финансовые. В то же время каждая составляющая имущества имеет свой источник риска. Поэтому финансовые и реальные вложения для инвесторов неодинаково взаимозаменяемы. Расхождения в оценке степени взаимозаменяемости исходят из их различного отношения к риску.

ценный бумага фондовый рынок

2. Процесс ценообразования на ценные бумаги

.1 Ценообразование на долевые ценные бумаги

Долевые ценные бумаги удостоверяют право владельца на долю в капитале предприятия. К таким ценным бумагам относятся акции и паи инвестиционных фондов [21, c.127].

Формирование цены акций (паев) для целей покупки и продажи определяется операционной структурой фонда.

В отличие от облигации факторы, определяющие ценность акции, являются вероятностными величинами. Будет ли на простую акцию периодически выплачиваться дивиденд, а если будет, то в каком размере, - эти вопросы руководство фирмы решает в оперативном порядке в зависимости от результатов деятельности фирмы и стратегии ее развития. Эмитент акции не берет на себя обязательство ее выкупа через какое бы то ни было время, поэтому акция не имеет цены гашения. Вместо нее инвестор имеет дело с прогнозируемым на определенный момент рыночным курсом акции, который в силу отмеченных обстоятельств очень изменчив.

Акцией признается ценная бумага, удостоверяющая право ее держателя (акционера) на получение части прибыли акционерного общества (АО) в виде дивидендов, на участие в управлении делами АО и на часть имущества, оставшегося после ликвидации АО. Право на выпуск акций имеют только акционерные общества. Акции выпускаются без установленного срока обращения.

Одним из наиболее важных показателей, имеющим отношение к деятельности инвестиционных фондов, является стоимость чистых активов фонда.

Стоимость чистых активов фонда - это разность всех активов фонда, оцененных по рыночной цене, или (в случае невозможности ее определения) по иной установленной процедуре и всех обязательств фонда. Стоимость чистых активов в расчете на одну акцию (пай) фонда принято называть стоимостью акции (пая).

Стоимость чистых активов фонда (СЧА) =

Все активы фонда - Все обязательства фонда(2.1.1)

Стоимость акций (пая) =

(СЧА фонда / Число акций (паев) в обращении) (2.1.2)

Определение цены долевой ценной бумаги инвестиционного фонда с открытой операционной структурой приведено в таблице 2.1.1.

Таблице 2.1.1.

Определение цены долевой ценной бумаги инвестиционного фонда с открытой операционной структурой

(а) Чистые активы фонда

1000 рублей

(б) Число акций (паев) в обращении

100 штук

(в) Стоимость акции (пая) = а/б

10 рублей

(г) Надбавка, взимаемая при продаже акции (пая) инвестору

2% от стоимости акции (пая) = 0,2 рубля

(д) Цена продажи акции (пая) инвестору (цена размещения) = в+г

10,2 рубля

(е) Скидка при покупке акции (пая) у инвестора (при выкупе)

2% от стоимости акции (пая) = 0,2 рубля

(ж) Цена покупки акции (пая) у инвестора (Цена выкупа) = в- г

9,8 рубля


В фонде открытого типа стоимость каждой акции (пая) рассчитывается регулярно с определенными интервалами. Акции продаются и выкупаются по цене, рассчитанной на основе стоимости акции, однако цена может не совпадать со стоимостью. Цена продажи (размещения) превышает стоимость на величину надбавки. Цена покупки (выкупа) акции у инвестора ниже стоимости акции на размер скидки. Надбавка и скидка используются для покрытия издержек на организацию процесса продаж и выкупов. В тех фондах, которые не используют надбавку и скидку (чаще всего это фонды, осуществляющие вложения в государственные ценные бумаги), акции продаются и выкупаются по цене, равной их стоимости [36].

Расчет цены акции закрытого инвестиционного фонда и расчет премии (дисконта) приведен в таблице 2.1.2 [36].

Таблица 2.1.2

Цена акции закрытого инвестиционного фонда и расчет премии (дисконта)

(а) Цена акции = цена акции на фондовой бирже

12 рублей

(б) Чистые активы фонда

1000 рублей

(в) Число акций, выпущенных фондам

100 штук

(г) Чистые активы на одну акцию (б/в)

10 рублей

(д) Премия = а - г

2 рубля

(е) Премия (%) = (д / г х 100)

20%


Цена акций фонда закрытого типа определяется спросом и предложением на рынке, где обращаются эти акции. Разумеется, цена акции, стихийно устанавливаемая рынком, соотносится в большой степени с расчетной величиной стоимости акции. Однако обычно имеется какая-то разница между рыночной ценой и стоимостью акции. Если рыночная цена акции больше ее стоимости, то говорят, что существует премия. Если рыночная цена ниже стоимости акций, то говорят, что акция продается с дисконтом.

Как правило, когда акция продается с премией, это отражает положительное мнение инвесторов по поводу инвестиционной политики фонда и соответствующими доходами для инвесторов.

У обыкновенных акций существует несколько видов стоимости. Каждая из них описывает определенное свойство рассматриваемой акции с точки зрения бухгалтерского учета, инвестирования, формирования курсов.

Номинальная стоимость - эта стоимость обозначает объявленную, или нарицательную, стоимость одной акции. Она не является мерой измерения каких-либо свойств акции и, таким образом, за исключением бухгалтерского учета, является относительно бесполезной [21, c.735].

Ликвидационная стоимость - является показателем того, что компания в состоянии представить на аукцион в том случае, если ей придется прекратить свою деятельность. После обыкновенной или аукционной продажи активов по самой выгодной цене из всех возможных, после погашения обязательств и осуществления платежей владельцам привилегированных акций остается сумма, известная как ликвидационная стоимость компании [21, c.531].

Рыночная стоимость - вид стоимости наиболее легок для исчисления, поскольку рыночная стоимость просто представляет доминирующий на рынке курс акций [21, c.824].

По существу, рыночная стоимость является показателем того, как участники рынка в целом оценили стоимость одной акции. Умножив рыночную стоимость одной акции на количество имеющихся в обращении акций компании, можно также получить рыночную стоимость самой компании.

Рыночная цена - это цена, по которой акция продается и покупается на вторичном рынке. Рыночная цена обычно устанавливается на торгах на фондовой бирже и отражает действительную цену акции при большом объеме сделок.

Основной характеристикой акции является ее курсовая стоимость (курс акции).

Под курсом акции понимается относительная величина, показывающая, во сколько раз текущая стоимость акции (по которой ее можно приобрести в настоящее время на рынке) больше номинала:

, (2.1.3)

где К - курс акции, руб.;

Р - рыночная цена, руб.;

N - номинальная цена, руб. [32, c.476].

Показатель, отражающий среднюю цену акций и других ценных бумаг по определенной совокупности компаний, называется биржевым индексом. Индекс позволяет инвесторам, вкладывающим деньги в ценные бумаги, оценивать состояние как фондового рынка в целом, так и надежность собственных активов.

Причины, которые объясняют большую привлекательность акций для инвесторов это:

·   возможность получения по ним значительной прибыли. Рыночный курс акции обычно отражает потенциал прибыльности компании, поэтому при процветании компании процветают и инвесторы. Увеличение прибыли, в свою очередь, превращается в рост курсов акций (прирост капитала) и является важнейшей частью доходов от акций;

·   способность быть высоколиквидными. Обыкновенные акции легко купить и продать, а затраты на проведение операций с ними малы; но, кроме того, сведения о курсах и информация о состоянии рынка распространяются в новостях и средствах массовой информации.

·   курс одной обыкновенной акции достаточно низок, поэтому ее покупка вполне доступна большинству индивидуальных вкладчиков и инвесторов.

Однако существуют некоторые недостатки инвестирования в обыкновенные акции:

·   рискованный характер ценной бумаги.

·   трудно проводить оценку обыкновенных акций и последовательно отбирать те из них, которые имеют самые интересные перспективы, так как прибыли и динамика доходности акций подвержены широким колебаниям [14, c.227].

Таким образом, инвестиционная стоимость является, очевидно, наиболее важным показателем для акционера-инвестора, так как она указывает на ценность, которую инвестор приписывает ценной бумаге, но фактически представляет собой оценочную стоимость, по которой данная ценная бумага должна реализоваться на фондовом рынке.

.2 Ценообразование на долговые ценные бумаги

Долговые ценные бумаги - все виды ценных бумаг, дающие право их владельцу на возврат к определенному сроку суммы, переданной им в долг, и фиксированного дохода [21, c.107].

Долговые ценные бумаги - это ценные бумаги, удостоверяющие отношение займа между владельцем долговой ценной бумагой и компанией - эмитентом.

Наиболее распространенные в РФ долговые ценные бумаги - это облигации и векселя. Также были распространены депозитные и сберегательные сертификаты.

Вексель - это долговое обязательство, которое дает его владельцу безусловное право требовать уплаты обозначенной в нем суммы денег от лица, обязанного по векселю. В первую очередь, вексель - это инструмент кредита, его также можно использовать в качестве расчетного средства. С помощью данного документа могут оплачиваться поставки товаров, предоставление услуг (коммерческий кредит), оформляться денежные обязательства. Векселя, возникающие вследствие предоставления коммерческого кредита, называются коммерческими. Векселя, оформляющие денежные обязательства, именуются финансовыми.

Существуют простой и переводной векселя. Простой вексель (соло вексель) - это документ, содержащий безусловное обязательство векселедателя уплатить определенную сумму денег в определенном месте и в определенный срок векселедержателю. Переводной вексель (тратта) - это документ, который содержит предложение векселедателя (трассанта) плательщику (трассату) уплатить определенную сумму денег в определенном месте и в определенный срок получателю (ремитенту).

Облигация - это срочная долговая ценная бумага, дающая владельцу право на получение денежных средств в установленные сроки в будущем. Сумма денежных средств по облигации определяется величиной купонов и номинальной стоимостью облигации - основной суммой долга. Облигация является срочной ценной бумагой, т. е. эмитируется на определенный период времени и по его истечении должна быть погашена. Кроме этого, по мере наступления сроков выплаты по купонам, происходит погашение этих купонов.

Облигации могут выпускаться с условием досрочного погашения, т.е. эмитент имеет право произвести ее погашение до истечения установленного срока обращения.

Отличие облигации от акции заключается в том, что облигация представляет собой долговое обязательство эмитента, т. е. предоставленный ему кредит, оформленный в виде ценной бумаги.

Все платежи по облигации эмитент должен осуществлять в первую очередь по сравнению с акциями и в обязательном порядке. Платежи обеспечиваются имуществом эмитента, и в случае банкротства или ликвидации предприятия, владельцы облигаций получают преимущественное право перед акционерами.

Облигации могут выпускать различные участники экономических отношений, будь то государство, регионы, области, города, или коммерческие предприятия. В этом случае облигации принято делить на: государственные, субфедеральные, муниципальные или корпоративные. Виды облигаций приведены в приложении 1.

Облигации могут быть купонными или бескупонными.

Купон - это сумма, выплачиваемая держателю облигации через определенные промежутки времени (купонные периоды) и зависящая от номинальной стоимости облигации, купонных периодов, риска эмитента, величины процентных ставок, доходности государственных облигаций и ряда других параметров [32, c.478].

Купонные облигации могут быть с постоянным купонным доходом или переменным купонным доходом, а величина купонного дохода, зависит, как правило, различных экономических условий.

Бескупонная облигация - это облигация, которая не имеет купонов.

Доход возникает за счет разницы между ценой погашения облигации (номиналом) и ценой ее размещения или приобретения.

Номинальная цена облигации служит базой при начислении процентов.

Облигации имеют выкупную цену, которая может совпадать или отличаться от номинальной цены в зависимости от условий займа. По ней облигация выкупается (погашается) эмитентом после истечения срока займа.

Облигация имеет рыночную цену, определяемую условиями займа и ситуацией, сложившейся в текущий момент на рынке облигаций.

Текущая доходность облигации (Дm) рассчитывается по формуле:

Дm = К/Цо×100%, (2.2.1)

где К - ставка купона,

Цо - курсовая цена облигации, т.е. цена на текущий момент.

Доходность к погашению (Дко) рассчитывается по формуле:

Дко = Дm + ((N - Цо)/(Цо×n) × 100%, (2.2.2)

где N - цена погашения облигации, равная номиналу,- срок до погашения, лет.

Определение доходности к погашению рассмотрим на примере. Инвестор приобрел акцию по цене 250 руб. и получал дивиденды в течение 3-х лет - 40, 65 и 70 руб. соответственно. Акция была им продана за 340 руб. Рассчитаем конечную доходность в пересчете на год.

Дко = (40+65+70+(340-250)/250*3*100=35%.

Средний курс облигаций зависит и от нормы ссудного процента: чем больший процент в текущий момент гарантируют своим вкладчикам банки, тем ниже цена облигации с фиксированным процентом. Курсовая цена облигации определяется по формуле:

Цо = (N(Cк × То + 100)) / (Cб × То + 100), (2.2.3)

где Cк - годовой процент по облигации (купонный процент),б - ссудный (банковский) процент,

То - срок, на который выпущена облигация, лет,- номинал облигации, руб.

Приведенные выше формулы применимы для выплат с периодичностью один раз в год. В иных случаях (например, при выплатах процентов один раз в квартал) следует учитывать возможность реинвестирования (нового вложения) полученных доходов, что увеличивает доходность в пересчете на год. Формула текущей доходности в этом случае видоизменяется следующим образом:

Дm = (((1 + К)nо) - 1) × 100% (2.2.4)

Формула теоретической цены облигации учитывает весь полученный по ней процентный доход за все время ее обращения и возврат номинала облигации, но в виде, приведенном к текущему моменту времени:

Цоб = ∑(Пi/(1+r)i) + N/(1+r)n , (2.2.5)

Цоб - теоретическая цена облигации на данный момент времени;

Пi - процентный доход по облигации, выплачиваемый в i-ом периоде;

N - номинал облигации, возвращаемый при окончании срока ее обращения в n-ом периоде (году);

r - безрисковая процентная ставка доходности.

По облигациям с фиксированным доходом, процентный доход по которым выплачивается в одном и том же размере каждый год (период), общая формула цены может быть упрощена:

Цоб = П/r (1 - 1/(1+r)n) + N/(1+r)n , (2.2.6)

где П - фиксированный процентный доход, выплачиваемый по облигации в каждом периоде (году) (Пi = П).

Данная формула может быть еще упрощена, если n - число периодов выплаты дохода или иначе - число лет обращения облигации существенно возрастает, например, до 50-100 лет. В этом случае второе слагаемое стремится к нулю, а в первом - выражение в скобках стремится к единице. В результате получаем

Цоб = П/r (2.2.7)

Вычислим теоретическую цену облигации, если выплачиваемый по ней годовой доход составляет 10 тыс. рублей, а безрисковая процентная ставка доходности - 18%.

Цоб=10000/0,18=55556 руб.

Легко заметить, что эта формула идентична формуле 2.2.7, т. е. при длительных сроках обращения и при одинаковых ежегодно выплачиваемых размерах дохода (дивиденда, процента) ценообразование акции теоретически ничем не отличается от ценообразования облигации, и лишь временные различия (различия в сроках обращения), а также нестабильный характер выплачиваемого дивиденда по обыкновенным акциям вносят различия в процесс формирования их цен [37].

Таким образом, на практике для расчетов теоретической цены облигации, так же как и акции, используется не только безрисковая ставка процента, или доходности, но и ставка с учетом того или иного уровня риска, присущего облигации. В этом смысле модели, относящиеся к цене акции, модели увязки доходности и риска вообще или факторного риска в частности, применимы и для облигационного ценообразования. Однако в силу имеющихся отличий облигаций от акций учет риска в цене облигации имеет свои особенности.

2.3 Ценообразование на производные ценные бумаги

Производные ценные бумаги - любые ценные бумаги, удостоверяющие право владельца на покупку или продажу первичных ценных бумаг (акций, облигаций, государственных долговых обязательств). К числу таких бумаг можно отнести опционы, финансовые фьючерсы, подписные права [28, c. 293].

Целью обращения производных ценных бумаг является извлечение прибыли из колебаний цен соответствующего биржевого актива. Главными особенностями производных ценных бумаг являются:

. Их цена базируется на цене лежащего в их основе биржевого актива, в качестве которого могут выступать другие ценные бумаги.

. Внешняя форма обращения аналогична обращению основных ценных бумаг.

. Временной период существования ограничен (от нескольких минут до

нескольких месяцев).

. Их купля-продажа позволяет получить прибыль при минимальных инвестициях, поскольку инвестор оплачивает не всю стоимость актива, а только гарантийный (маржевой) взнос.

Рынок производных инструментов является относительно молодым, но динамично развивающимся рынком. Впервые возникнув в торговле сельскохозяйственной продукцией, фьючерсные и опционные сделки распространились и на другие активы, от металлов и нефти до облигаций и акций. Сначала производные ценные бумаги использовались в качестве инструментов, оборот которых обслуживался срочными товарными биржами [23, c.158].

Фьючерсы

Поскольку фьючерсный контракт - это обязательство на совершение или принятие поставки базового инструмента в дату окончания срока действия или до нее, всегда существует финансовое соотношение между ценой фьючерса и ценой

наличного инструмента. Это неизбежно означает, что независимо от реального соотношения в течение срока действия фьючерсного контракта его цена должна слиться с ценой базового актива в дату окончания действия фьючерса [30, c.268].

Фьючерсная цена.

По сути, фьючерсная цена определяется исходя из текущей рыночной цены базового инструмента, процентных ставок (поскольку этот инструмент связан с заемными средствами) [затраты хранение, страховку и транспортировку - для товарных фьючерсов] и любого дохода, не полученного из-за отсутствия позиции по наличному инструменту. Теоретически правильной будет та фьючерсная цена, в которой нет финансовой разницы (нет возможности арбитража) между покупкой (или короткой продажей) базового инструмента и короткой продажей (или покупкой) фьючерса.

Простой расчет фьючерсной цены - это цена базового инструмента плюс проценты, сэкономленные за срок действия фьючерса.

Например, если цена базового инструмента - 100, а процентная ставка - 10%, цена трехмесячного фьючерсного контракта равна:

+ ( 10/100)*(3/12)*100 = 102,5

Таким образом, фьючерсная цена 102,5 полностью равноценна уплате цены 100 за наличный инструмент, т. е. вместо того, чтобы заплатить за наличный продукт сейчас, инвестор может приобрести продукт с расчетом через три месяца и, следовательно, сможет получить 10% по этим средствам за 3 месяца.

Примечание: В этом простом примере предполагается, что не существует никаких затрат на заключение сделок или других расходов, связанных с наличным инструментом, или неполученных поступлений или требований по марже.

Структура цены товарного фьючерса должна определяться с учетом издержек, связанных с физическим товаром и может быть рассчитана следующим образом.

Например, если цена наличного инструмента равна 100, преобладающая процентная ставка 10%, а расходы на хранение, страховку и транспортировку составляют 6%, то цена трехмесячного фьючерса равна:

Стоимость базового актива 100,00

Затраты на финансирование 10%*3 месяца 2,50

Хранение, страховка и т. д.6%*3 месяца 1,50

,00

Итак, справедливая цена фьючерса на этот товар (т. е. без возможности арбитража) на три месяца составит 104,00 при наличной цене 100.

Примечание: Опять же в этом примере не учитываются расходы на заключение сделок или на маржу.

Финансовый фьючерсный контракт. Для финансового фьючерсного контракта не будет не только затрат на хранение, страховку или транспортировку, но во многих случаях, сама инвестиция будет приносить доход (т. е. проценты или дивиденды). Следовательно, это должно быть отражено в расчете справедливой фьючерсной цены.

Валютный фьючерс. В случае валютного фьючерса по обоим инструментам существует возможность получения процентов по наличному активу.

Например, если курс рубля по отношению к доллару США составляет 5000:1, процентная ставка по рублевым вкладам - 12% годовых, а проценты по валютным вкладам в долларах - 6% годовых, то цена трехмесячного фьючерса равна: 5000 * 1+(0,12 * 312) = 5075 1+(0,06 * 312)

Итак, поскольку по рублевым средствам в течение 3 месяцев фактически начисляется 3%, а по долларовым - только 1,5% за тот же период, фьючерсная цена сохранит равновесие при увеличении курса доллара на 75 рублей т. е. на разницу в 1,5% не в пользу доллара).

Фьючерс на индекс фондового рынка также получает преимущество от сэкономленных процентов, но при этом не дает возможности получить дивиденды, выплачиваемые по самым ценным бумагам [30, c.270].

Справедливая цена фьючерса на индекс фондового рынка может быть рассчитана следующим образом. Например, если индекс равен 1000, преобладающая процентная ставка 10%, а дивиденды по акциям - 4°/о, то цена трехмесячного фьючерса равна:

Значение индекса (на начало периода) 1000

Заработанные проценты 10% X 3 месяца 25

Минус неполученные дивиденды 4% X 3 месяца 10 =1015

Таким образом, фьючерсная цена 1015 теряет дополнительные 15 сработанные как дополнительный доход за трехмесячный период к тому моменту, как она сближается с ценой наличного индекса в срок окончания действия контракта. Следовательно, не существует возможности арбитража между вложением 1000 в реальные ценные бумаги и уплатой 1015 за фьючерсный контракт.

Опционы

Четыре фактора, лежащих в основе цены опциона.

Опционы - гораздо более сложные инструменты для оценки, чем фьючерсы.

Существует четыре фактора (а для опционов на акции и облигации пять

факторов), лежащих в основе цены опционов, а именно:

процентные ставки (где можно получить доход от неиспользованных

средств, вместо покупки базового инструмента);

дивиденды (где нет возможности получить дивиденды или проценты по

базовому активу - это пятый фактор);

внутренняя стоимость (разъясняется ниже);

время до окончания действия (чем больше времени остается до окончания срока действия опциона, тем больше возможности того, что он наберет внутреннюю стоимость);

изменчивость базового актива (где она является мерой того, как быстро повышается и снижается цена базового актива и частоты таких изменений).

Ценой опциона называется премия по нему, состоящая из двух частей, а именно:

внутренней стоимости и временной стоимости. Внутренняя стоимость представляет собой любую реальную стоимость (т. е. если бы опцион был исполнен сегодня, это был бы размер прибыли от разницы между одной страйк, или исполнения опциона и рыночной ценой базовой ценной бумаги), включенную в премию по опциону. Эта величина может быть определена путем вычета цены исполнения из цены базового актива для опциона колл и вычета цены базового актива из цены исполнения для опциона пут [31, c.133].

Например, пусть цена базового актива = 100.

Опцион колл с ценой исполнения 90 будет иметь внутреннюю стоимость 10 (т. е. 100 - 90). В то время как опцион колл с ценой исполнения 100 не будет иметь внутренней стоимости (т. е. 100 - 110).

Примечание: На этом этапе отрицательная внутренняя стоимость не принимается во внимание.

Опцион пут с ценой исполнения 110 имеет внутреннюю стоимость 10 (т. е. 110 - 100), в то время как опцион пут с ценой исполнения 90 не будет иметь внутренней стоимости (т. е. 90 - 100).

Если опцион имеет внутреннюю стоимость, говорят, что он «при деньгах», но если он не имеет внутренней стоимости (т. е. фактически это отрицательная величина), то говорят, что он «без денег».

Временная стоимость - это часть премии, остающаяся после вычитания из нее внутренней стоимости. Следовательно, премия по опциону может состоять: полностью из временной стоимости или из внутренней и временной стоимости.

Таким образом, временную стоимость нельзя рассчитать прежде, чем будет определена внутренняя стоимость. Поскольку опцион - это право, но не обязанность для его держателя (и, таким образом, он может остаться неиспользованным, т. е. неисполненным), временная стоимость отражает готовность инвестора заплатить премию за остаток риска того, что опцион приобретет внутреннюю стоимость с текущего момента до момента экспирации [31, c.135]. Итак, можно сказать, что цена опциона равна тому, что один инвестор готов платить за это право по сравнению с тем, что другой инвестор готов получить за обязательство поставки базового актива по цене исполнения.

Варранты и конвертируемые облигации

Варранты, по сути, то же самое, что и опционы и, следовательно, для расчета их цены применяются те же модели. Главное различие между варрантами и опционами заключается в том, что обычный срок действия варранта (т. е. с момента его выпуска) составляет от пяти до десяти лет, в то время как срок действия опциона может быть от одного дня до примерно двух лет максимум.

Обычный срок действия опционов на отдельные акции - максимум до девяти месяцев. Реальное ценообразование по варрантам особенно ясно показывает, что снижение временной стоимости происходит не по прямой линии. Это означает, что если варрант (до окончания срока действия которого остается шесть месяцев) имеет цену 60, и эта цена состояла только из временной стоимости (т. е. внутренней стоимости не было и, следовательно, варрант был «без денег»), нельзя сделать вывод, что через три месяца цена варранта составит 30. Временная стоимость снижается очень медленно в начале существования продукта, но резко падает в последние две-три неделя срока его действия. И действительно, варрант «глубоко при деньгах» (с очень высокой внутренней стоимостью) может иметь очень маленькую или нулевую временную стоимость, и, следовательно, его цена будут меняться пункт в пункт с изменением цены базового инструмента, в то время как в начале его существования между ценами этих двух инструментов была незначительная корреляция. Такое явление называется эффектом финансового рычага [31, 142].

Эффект финансового рычага

Этот эффект можно продемонстрировать на основе следующего примера.

Цена акции = 10, цена исполнения варранта = 11, цена варранта = 2

[фактическая цена покупки права 13 (11 + 2)]. Предположим, что инвестор может потратить 100.

На 100 можно купить: 10 акций (10 * 10) или 50 варрантов (50 * 2).

Если цена акции поднимется до 13, цена варранта может увеличиться до 4.

Инвестиция в акции в размере 100 теперь стоит 130 (10 X 13), но инвестиция в варранты стоит 200 (50 * 4).

Можно увидеть, что цена акции поднялась на 30%, а варранта - на 100%, и коэффициент финансового рычага составил 3,3 к 1, т. е. от той же инвестиции прибыль гораздо выше. Однако следует отметить, что если бы цена акции упала то процентное снижение цены варранта также могло бы превысить более чем в три раза процентное снижение цены акции.

Что касается варранта «при деньгах», эффект финансового рычага здесь совершенно иной. Например, цена акции равна 20, цена исполнения варранта = 11, цена варранта = 10 [фактическая цена покупки права 21(11 + 10)].

Предположим, что инвестор опять же может потратить == 100.

На 100 можно купить: 5 акций (5 * 20) или 10 варрантов (10 * 10).

Если цена акции поднимется на 30% (для сравнения с первым случаем), цена акции будет 26, а цена варранта может вполне увеличиться не более чем до 15 (также эквивалент цены 26). Инвестиция в акции теперь стоит 130 (5 * 26), но инвестиция в варранты стоит 150 (10 * 15). В этом случае варрант поднялся в цене только на 50% по сравнению с 30%-ным повышением цены акций, а коэффициент финансового рычага снизился до 1,67 к 1.

Эти примеры показывают, что эффект финансового рычага уменьшается по мере увеличения внутренней стоимости и, наоборот. Как и опционы, варранты можно оценивать с помощью моделей ценообразования. Однако здесь существуют все те же проблемы в том смысле, что многие факторы моделирования - изначально неизвестные (или переменные) величины. и GDR

Депозитарная расписка - документ, удостоверяющий, что ценные бумаги помещены на хранение в банке-кастодиане в стране эмитента акций на имя банка-депозитария, и дающий право его владельцу пользоваться выгодами от этих ценных бумаг [38].

Наиболее известные виды депозитарных расписок - американские депозитарные расписки (ADR - American Depositary Receipt) и глобальные депозитарные расписки (GDR - Global Depositary Receipt). ADR выпускаются для обращения на рынках США (хотя обращаются и на европейских), GDR - для обращения на европейских рынках. Для ценообразования этих инструментов важны два момента. Во-первых, число базовых акций, представленных депозитарной распиской и, во-вторых, влияние разницы в валютах базового инструмента и расписки. Если ADR представляет пакет из 4 базовых акций, то нужно всего лишь разделить цену ADR на 4, чтобы получить ее эквивалент для внутреннего рынка. Если акция на внутреннем рынке стоит 1 000 рублей, а курс рубля к доллару США составляет 5000 к 1, то эквивалентная цена за одну акцию на внутреннем рынке равна 0,20 доллара США. Если цена ADR составляет 22 цента за акцию, существует потенциал для арбитража путем продажи ADR и покупки базовых акций.

Таким образом, самый известный из производных продуктов - это фьючерсные контракты. Это обязательные для выполнения соглашения на принятие (покупку) или на осуществление (продажу) поставки базового инструмента по цене, оговоренной в данный момент для поставки в какое-то время в будущем. По окончании срока действия контракта должна произойти поставка, если за истекший срок не была заключена такая же противоположная сделка. Суть определения цены производных инструментов заключается в том, что они рассматриваются как альтернатива операции по базовому инструменту, затем сравниваются любая экономия затрат и/или упущенные поступления для получения эквивалентной цены для двух инструментов.

Заключение

Ценные бумаги являются достаточно сложной экономической категорией, при рассмотрении которой используются достижения политической экономии, экономике и институционализма и совмещаются экзотерический (поверхностный) и эндотерический (сущностный) подходы в анализе их специфики.

Определение ценных бумаг сводится к следующему: это финансовое соглашение, которое выступает, по сути, формой выражения фиктивного капитала, «обращаемое» на рынке как товар особого рода, опосредующее отношения по поводу долевого участия, предоставления займа либо производные от них отношения между эмитентом и приобретателем ценной бумаги; является достаточно ликвидным активом, обычно приносящим доход его приобретателю, но несущим в себе риск владения им; обеспечивает эмитенту выгоду в виде источника привлечения средств; выполняет основную функцию - перераспределение ресурсов в сферу их эффективного применения.

Любой товар обладает меновой стоимостью и потребительной стоимостью. Однако смысл этих категорий применительно к товару «ценные бумаги» трансформируется под влиянием особенностей данного товара.

Стоимостные основы ценообразования на фондовом рынке завуалированы. Ценные бумаги не имеют стоимости в понимании ее в классической политической экономии.

Ценные бумаги - это средство перераспределения стоимости, прежде всего прибавочной стоимости, собственности, капитала.

Ценные бумаги не обладают никакой потребительной стоимостью, подобной той, что есть у любого другого товара, удовлетворяющего прежде всего физиологические и духовные потребности человека. Данный товар не имеет обычных потребительных свойств, кроме свойств расписанной бумаги (если ценная бумага - не запись в реестре, т.е. на бумажном или магнитном носителе информации), так как требуется не в силу необходимого потребления или использования в производстве.

Ценные бумаги представляют собой бумажный документ, запись в книге учета, запись на магнитных и иных носителях информации.

Однако ценные бумаги, будучи объектом рыночных сделок, обладают потребительными стоимостями, что и делает их товарами, которые свободно покупаются и продаются на фондовом рынке. Специфическая потребительная стоимость данного вида товара для их покупателей заключается в доходности, ликвидности, сохранности и прозрачности вложений.

Доход по ценной бумаге может выступать в виде процента, дивиденда, курсовой разницы. Ценность этого товара состоит и в различных других выгодах, например, участии в управлении корпорацией, выгодном зачете задолженности.

Ликвидность ценных бумаг заключается в возможности быстрого их превращения в исходную денежную форму при условии сохранения своей ценности. В отличие от продажи обычных товаров, потребительная стоимость ценных бумаг при передаче их из рук в руки не исчезает, а, напротив, сохраняется и даже приумножается, например, сохраняется способность ценных бумаг приносить определенный доход и быть ликвидными.

Как потребительные стоимости ценные бумаги однородны. Различия проявляются фактически только в уровне приносимого ими дохода. Инвестор стремится сделать вложения в ценные бумаги, которые принесут наибольший доход при условии равенства прочих факторов. В связи с этим ценные бумаги универсальны, так как они приносят доход, который можно использовать для удовлетворения любой потребности либо отложить их удовлетворение на любой срок, в то время как потребительские товары удовлетворяют конкретные текущие потребности.

Ценные бумаги, выступая предметом купли-продажи, имеют рыночную цену, которую называют также рыночным курсом ценной бумаги.

Основой формирования рыночной цены ценных бумаг является их рыночная стоимость, представляющая собой комплексную оценку стоимости материальных и нематериальных активов эмитента, обеспечивающих образование общественно-нормального уровня дохода.

Если стоимость потребительских товаров, определяемая затратами общественно-необходимого труда, более или менее определенная величина, то рыночная стоимость ценных бумаг, отражая оценку реального капитала в его постоянном движении, функционировании в ходе общественного воспроизводства, является величиной неустойчивой.

Процесс ценообразования на фондовом рынке включает в себя два этапа. На первом этапе - этапе первичного размещения ценных бумаг - происходит оценка ценных бумаг в соответствии с их рыночной стоимостью, определяющим фактором оценки здесь выступает стоимость реального капитала по форме, т.е. производится оценка инвестиционного плана, проекта, под который и осуществляется эмиссия ценных бумаг. На этапе свободного обращения ценных бумаг в условиях вторичного рынка проявляются отклонения рыночной цены ценных бумаг от их рыночной стоимости под активным воздействием факторов спроса и предложения, тем самым происходит уточнение цены ценных бумаг на базе оценки реального капитала, но уже по его содержанию.

Особенность процесса ценообразования на фондовом рынке проявляется и в значительно более широком спектре факторов, оказывающих заметное влияние на определение рыночной стоимости и установление рыночного курса финансового инструмента. Все многообразие факторов, влияющих на процесс ценообразования на фондовом рынке, можно классифицировать по направленности их воздействия и силе влияния на рыночную стоимость и на рыночную цену ценных бумаг на первичном и на вторичном рынках.

К числу первичных и наиболее важных факторов, определяющих рыночную стоимость ценных бумаг на этапе первичной их эмиссии, относятся факторы, связанные с оценкой показателей инвестиционного проекта, условиями инвестирования средств.

На вторичном рынке рыночная стоимость ценных бумаг находится под воздействием факторов, характеризующих состояние и эффективность функционирования реального капитала, а именно показателей финансово-хозяйственной деятельности эмитента.

Отклонения рыночных цен от рыночной стоимости ценных бумаг на первичном рынке происходят под влиянием факторов, непосредственным образом связанных с природой, сущностью и целевым назначением того или иного вида ценных бумаг. В данной группе факторов выделяются четыре основных - это размер и периодичность выплат по ценной бумаге, предстоящая длительность ее обращения, цена гашения, уровень рыночной ставки.

На вторичном рынке рыночные цены ценных бумаг подвержены влиянию многочисленных разнородных факторов, все многообразие которых можно разделить на следующие большие группы: объективные и субъективные факторы.

Объективные факторы ценообразования подразделяются в свою очередь на внутри- и внешнеэкономические, политические, глобальные факторы.

Внутриэкономические факторы характеризуют общее состояние экономики страны, особенно состояние ее финансовой системы - это макроэкономические факторы. К данной подгруппе относятся и микроэкономические факторы, связанные с деятельностью самого предприятия, например, проведение собрания акционеров и выплата дивидендов, публикация годовых отчетов компании, проведение конференций и презентаций, изменения в руководстве компании, информация о доступе к кредитным источникам, аварии на предприятии и пр. Данные факторы являются «плохими» либо «хорошими» новостями компании.

Внешнеэкономические факторы - это уровень цен на энергоносители, металлы и прочие сырьевые товары, различные рейтинговые оценки, политика в области либерализации движения капитала.

Глобальные факторы приобретают более масштабный характер по сравнению с внешнеэкономическими факторами и по силе своего воздействия распространяются на экономику ряда стран.

Таким образом, ценообразование - это очень неустойчивый процесс. Небольшое отклонение от правильного курса может вызвать негативные последствия в несколько раз превышающие, даже самые худшие ожидания. Проводя ценовую политику нужно действовать осторожно и продуманно. Главным помощником в этом оказывается теория ценообразования.

Список использованных источников

1.              Налоговый кодекс Российской Федерации (часть вторая) от 05.08.2000 N 117-ФЗ (принят ГД ФС РФ 19.07.2000) (ред. от 07.03.2011) (с изм. и доп., вступающими в силу с 01.04.2011). Статья 298. Особенности определения доходов профессиональных участников рынка ценных бумаг.

2.      Федеральный закон от 05.03.1999, №46 «О защите прав и законных интересов инвесторов на рынке ценных бумаг (в редакции от 19.07.2009г)».

.        Федеральный закон от 22.04.1996, №39 «О рынке ценных бумаг (с изменениями от 27.12.2009г)».

4.      Федеральный закон от 26.07.06 «О защите конкуренции» №135-ФЗ.  <http://www.mosfund.ru/docs/documents/135_1.doc>

5.           Федеральный закон от 10.07.02 № 86-ФЗ «О Центральном банке Российской Федерации (Банке России)». Версия 13 января 2007 г.

6.              Указ Президента РФ «О мерах по государственному регулированию рынка ценных бумаг в Российской Федерации» от 4 ноября 1994 г.

7.           Указ Президента РФ от 01.08.1996 №1008 «Концепция развития рынка ценных бумаг в Российской Федерации».

8.              Приказ «Об утверждении Положения о раскрытии информации эмитентами эмиссионных ценных бумаг» N06-117/пз-н от 10.10.06 (Последнее изменение от 12.04.2007 №07-44/пз-н).

9.      Приказ Федеральной службы по финансовым рынкам от 07.03.2006 N 06-25/пз-н «Об утверждении Положения о критериях ликвидности ценных бумаг» (зарегистрирован Министерством юстиции Российской Федерации 17.04.2006, регистрационный N 7707).

.        Анесянц С.А. Основы функционирования рынка ценных бумаг: Учеб. пособие. - М.: Финансы и статистика, 2004. - 543 с.

.        Баринов Э.А., Хмыз О.В. Рынки: валютные и ценных бумаг. - М.: Экзамен, 2001. - С.344.

.        Бердникова Т.Б. Рынок ценных бумаг. - М.: ИНФРА-М, 2000. - 451 с.

.        Биржевое дело: Учебник / Под ред. В.А. Галанова, А.И. Басова. - М.: Финансы и статистика, 2008. - 570 с.

.        Буренин А.Н. Рынок ценных бумаг и производных финансовых инструментов. - М.: Финансы и статистика, 2008. - 345 с.

.        Жуков Е.Ф. Основные тенденции развития финансового рынка в России // Финансовый бизнес. - 2009. - №5. - С. 6-8.

.        Евстигнеев В. Р. Прогнозирование доходности на рынке акций. М: Маросейка, 2009. - 192 с.

.        Зенькович Е. Вопросы регулирования рынка ценных бумаг // Рынок ценных бумаг. - 2007. - №13. - С. 23-27.

.        Ивасенко А.Г. Рынок ценных бумаг: инструменты и механизмы функционирования: учебное пособие. - М.: КНОРУС, 2005. - 345 с.

.        Килячков А.А. Рынок ценных бумаг и биржевое дело. - М.: Юристъ, 2009. - 470 с.

.        Лимитовский М., Нуреев С. Эффективен ли российский рынок акций // Рынок ценных бумаг. - 2008. - №8. - С. 44-45.

.        Малый экономический словарь / Под ред. А.Н. Азрилияна. М.: Институт новой экономики, 2008. - 1088 с.

.        Масленников В.В. Биржевое дело. - М.: ИНФРА-М, 2007. - 560 с.

.        Маренков Н.Л., Косаренко Н.Н. Рынок ценных бумаг в России: Учеб. пособие для вузов. - М.: Флинта: Наука, 2009. - 450 с.

.        Малюгин В. И. Рынок ценных бумаг: Количественные методы анализа. - М.: Дело, 2003. - с. 131-162, 180-201, 265-285.

.        Миркин Я.М. Ценные бумаги и фондовый рынок. М.: Перспектива, 2009. -270 с.

.        Пашкова Н.А. Анализ ликвидности высокодоходных облигаций на биржевом рынке // Рынок ценных бумаг. - 2008. - №13. - С. 19-24.

.        Пензин К. Финансовые показатели биржевого бизнеса // Рынок ценных бумаг. - 2008. - №4. - С. 29-34.

.        Рынок ценных бумаг: Учебник / Под ред. В.А. Галанова, А.И. Басова. - М.: Финансы и статистика, 2008. - 643 с.

.        Рынок ценных бумаг и биржевое дело: Опорный конспект лекций/ составитель Юдина И.Н., Барнаул, Азбука, 2006. - 119 с.

.        Тарасевич Л.С. Макроэкономика: учебник/ Л.С. Тарасевич, П.И. Гребенников, А.И. Леусский. - 7-е изд., испр. И доп. - М.: Высшее образование, Юрайт-Издат, 2009. - 654 с.

.        Фондовый рынок: Учеб. пособие для вузов / Под ред. Н.И. Берзона. - М.: Вита-Пресс, 2008. - 380 с.

.        Ценные бумаги: Учебник / Под ред. В.И. Колесникова, В.С. Торкановского. 2-е изд., перераб. и доп. - М.: Финансы и статистика, 2007. - 450 с.

.        Чепурин М.Н., Киселева Е.А. Курс экономической теории: учебник - 5-е исправленное, дополненное и переработанное издание - Киров: АСА, 2006 г. - 832 с.

.        Шабалин А. А. Алгоритм построения модели арбитражного ценообразования.

.        Швангер Д. Технический анализ. - М.: Инфра , 2001. - 250с.

.        Ядгаров Я.С. История экономических учений: Учебник. - 4-е изд. - М.: ИНФРА-М, 2002. - 320 с.

Приложение 1

Виды облигаций

Отличительный признак

Вид облигации

По методу обеспечения:

- государственные и муниципальные облигации, выплаты по которым обеспечиваются гарантиями государства или муниципалитета; -облигации частных корпораций, обеспечиваются залогом имущества или доходами от различных видов деятельности;  - облигации частных корпораций без специального обеспечения;

По сроку:

- облигации с фиксированной датой погашения; бессрочные облигации. Данные облигации не обладают конкретной датой погашения, поэтому могут быть; выкуплены в любой момент;

По способу погашения номинала (выкупа облигации):

- разовым платежом; - распределенными во времени погашениями оговоренных долей номинала; - последовательным погашением доли общего количества облигаций (серийные облигации);

По методу выплаты дохода:

- выплачиваются только проценты, срок выкупа не указан (бессрочные облигации); - облигации с нулевым купоном - по ним выплата процентов не предусматривается; - проценты выплачиваются вместе с номиналом в конце срока; - проценты выплачиваются периодически в течение всего срока, а в конце срока выплачивается номинал или выкупная цена (данный вид облигаций пользуется наибольшей популярностью);


Похожие работы на - Особенности ценообразования на рынке ценных бумаг

 

Не нашли материал для своей работы?
Поможем написать уникальную работу
Без плагиата!
Без нейросетей!