Принципы организации отчетности

  • Вид работы:
    Контрольная работа
  • Предмет:
    Бухучет, управленч.учет
  • Язык:
    Русский
    ,
    Формат файла:
    MS Word
    226,86 Кб
  • Опубликовано:
    2014-03-18
Вы можете узнать стоимость помощи в написании студенческой работы.
Помощь в написании работы, которую точно примут!

Принципы организации отчетности

1.      Первичный учет и отчетность. Принципы организации отчетности

Производство требует единообразия учета и отчетности на всех предприятиях, во всем народном хозяйстве. Поэтому общие методологические принципы, методы и формы учета и отчетности на предприятиях определяются государством, его органами и являются обязательными для всех звеньев хозяйства. Этим обеспечиваются единство учета и отчетности в стране, точность, научная ценность и обоснованность данных учета и отчетности, создается возможность обобщения их данных в масштабе всей страны.

В Республике Беларусь действует единая система учета, обеспечивающая органическую связь учета с отчетностью, показателей учета и отчетно-сти с показателями плана. Для всех отраслей народного хозяйства и всех предприятий применяются единые принципы, одна методология учета. Однако единая система учета предполагает наличие различных приемов его осуществления, разнообразие в технике ведения учета в зависимости от особенностей деятельности предприятий. В едином народно-хозяйственном учете имеются три тесно связанных между собой вида учета: статистический, оперативно-технический и бухгалтерский.

Статистический учет позволяет изучать массовые общественные явления, в том числе такие экономические процессы, как производство и распределение продукции. Статистический учет дает количественную характеристику хозяйственных процессов и явлений в неразрывной связи с их качественной стороной. Путем сплошных или выборочных наблюдений в статистическом учете отражаются и обобщаются хозяйственные явления и процессы с точки зрения направления и темпа развития тех или иных показателей и связи их между собой. При помощи статистического учета на предприятиях выявляются и изучаются такие важнейшие показатели, как рост производства продукции, повышение производительности труда, использование оборудования, снижение себестоимости продукции и ряд других.

Оперативно-технический учет на предприятиях ведется с целью наблюдения за процессом производства по отдельным его частям и участкам и оперативного воздействия на него. Так, посредством оперативно-технического учета контролируют работу оборудования, режим технологического процесса (температуру, скорость оборотов и др.

Бухгалтерский учет отражает средства предприятий и хозяйственные операции, при которых имеет место движение (оборот) материальных и денежных ресурсов, их использование в процессе производства и реализации продукции. Бухгалтерский учет ведется преимущественно в денежной форме (на основе натуральных показателей).

На предприятиях, в цехах и отделах все три вида учета применяются одновременно, при этом один вид учета переплетается с другим, один и тот же документ, подтверждающий совершенную хозяйственную операцию, используется для разных видов учета. Таким образом организуется низовой, первичный учет, служащий целям управления предприятием и его отдельными звеньями. Первичный учет на предприятиях в значительной степени осуществляется по единым учетным документам. Формы первичных учетных документов и инструкции по их ведению разрабатываются и утверждаются руководством предприятия на основе типовых форм. Основным звеном организации и осуществления всех видов учета является предприятие в целом: фабрика, завод, шахта, промысел и т. д. В цехах предприятий учет имеет вспомогательное, в большей степени оперативное значение.

Он направлен здесь в первую очередь на контроль процесса производства, использования рабочего времени, расходования средств при изготовлении продукции, на предупреждение перерасходов и оказание помощи работникам цеха в выявлении имеющихся в производстве резервов. Учет в цехах организуется таким образом, чтобы можно было своевременно выявлять отклонения в выполнении плановых заданий, отклонения фактических расходов от установленных норм, знать причины этих отклонений и оперативно принимать соответствующие меры. В цехах ведется первичный учет работы оборудования, расходования материальных ресурсов и фондов заработной платы, учет выпускаемой продукции и допущенного брака, табельный учет явки на работу, учет выполнения норм выработки и простоев рабочих и другой оперативно-технический учет.

Данные всех видов учета на предприятиях группируются, обобщаются и отражаются в отчетности.

Для осуществления прогнозирования, планирования, контроля, анализа и оценки экономической эффективности хозяйственной деятельности предприятий, организации, осуществления внешних контактов предприятия необходима информация, обобщенно характеризующая состояние объектов управления за различные промежутки времени. На основе такой информации можно выявить важнейшие тенденции развития объекта управления и определяющие такое развитие факторы, объективно оцените достигнутые результаты деятельности, и наметить задачи на будущее.

В бухгалтерском учете отчетность рассматривается как важнейший элемент его метода, заключительный этап всего цикла учетных работ.

Информация о наличии и изменениях в составе имущества предприятия и источниках его образования периодически обобщается и предоставляется руководству предприятия, собственникам, государственным и другим заинтересованным органам и лицам в виде бухгалтерской (финансовой отчетности).

Обобщение данных в бухгалтерском учете достигается путем периодического составления бухгалтерских балансов и отчетных таблиц, содержащих системы взаимосвязанных и взаимообусловленных показателей, характеризующих состояние и развитие важнейших сторон хозяйственной деятельности.

Бухгалтерская (финансовая) отчетность - это совокупность показателей о результатах производственно-хозяйственной и финансовой деятельности предприятия, основывающихся на данных бухгалтерского учета. Также можно указать, что бухгалтерская отчетность представляет собой систему показателей, комплексно характеризующих имущественное положение и финансовые результаты хозяйственной деятельности предприятия за отчетный период.

С другой стороны отчетность можно рассматривать как документацию по установленной форме, содержащую отчет (информацию) о чем-либо. Информатизация представляет собой организационный социально-экономический и научно-технический процесс обеспечения потребностей органов государственной власти, юридических, физических лиц в получении сведений о лицах, предметах, фактах, событиях, явлениях и процессах на базе информационных систем и сетей, осуществляющих формирование и обработку информационных ресурсов, и выдачу пользователю документированной информации.

Документированная информация - это зафиксированная на материальном носителе информация с реквизитами, позволяющими ее идентифицировать, т.е. распознавать, ассоциировать с определенными объектами.

Формы отчетности, как правило, являются типовыми и построены по принципу таблиц, в которые заносятся сведения по данной форме отчетности.

Понятие «отчетность» имеет собирательное значение. Это совокупность нескольких отчетов, процесс их составления и доведения до пользователей, а также международный элемент метода бухгалтерского учета.

Отчет означает сообщение, доклад кому-либо (пользователю) о проделанной работе и определенных действиях и их результатах. Одно из определений отчетности гласит, что последняя представляет собой совокупность показателей учета, отраженных в форме определенных таблиц и характеризующих выполнение плана предприятием (учреждением, организацией) за определенный период. При этом на современном этапе отчетность вообще содержит не только сведения о выполнении плана, но и о других показателях и тенденциях в зависимости от ее назначения. Например, годовая статистическая отчетность по труду характеризует динамику движения трудовых ресурсов у конкретного субъекта хозяйствования (предприятие, учреждение, организация, индивидуальный предприниматель и др.).

Отчетность составляется на основании текущей информации о деятельности объекта отчетности; в ней обобщаются данные бухгалтерского, статистического и оперативного видов учета. Благодаря этому обеспечивается возможность получения на основе отчетности разносторонней информации о хозяйственной деятельности субъекта хозяйствования и результатах финансово-хозяйственной деятельности для различных пользователей отчетности.

Бухгалтерская отчетность должна давать достоверное и полное представление об имущественном и финансовом положении организации, а также финансовых результатах ее деятельности. Бухгалтерская отчетность организации должна включать показатели деятельности филиалов, представительств и иных подразделений, в том числе выделенных на отдельные балансы.

Бухгалтерская отчетность составляется за определенный отчетный период: месяц, квартал, полугодие, 9 месяцев, год. Каждая из форм бухгалтерская отчетность должна содержать следующие реквизиты:

) наименование;

) указание отчетной даты или отчетного периода;

) наименование организации;

) другие данные, указанные в формах.

Бухгалтерская отчетность должна соответствовать следующим принципам:

) обособленность учета имущества и обязательств организаций от имущества и обязательств других юридических и физических лиц;

) нейтральность - бухгалтерская отчетность должна обеспечить удовлетворение интересов всех групп пользователей;

) непрерывность, предполагается, что организация будет продолжать свою деятельность в обозримом будущем и у нее отсутствует основание прекращения или существенного сокращения деятельности;

) полнота отражения за отчетный период всех хозяйственных операций и результатов инвентаризации имущества и обязательств;

) осмотрительность, обеспечение большей готовности к бухгалтерскому учету потерь (расходов) и обязательств, чем доходов и активов, не допуская скрытых резервов;

) сопоставимость (тождество) данных аналитического учета к данным синтетического учета за отчетный период, а также показателей бухгалтерской отчетности данным синтетического и аналитического учета;

) начисления - факты хозяйственной деятельности организации относятся к тому отчетному периоду, в котором они имели место, независимо от времени фактического поступления или выплаты денежных средств, связанных с этими фактами;

) приоритет содержания пред формой - отражение, в бухгалтерском учете фактов хозяйственной деятельности исходя не столько из их формы, сколько из экономического содержания и условий хозяйствования.

Несоблюдение указанных требований рассматривается как неправильное составление отчетности.

Основными задачами бухгалтерской отчетности являются:

) формирование полной и достоверной информации о деятельности организации и ее имущественном положении, полученных доходах и понесенных расходах;

) предотвращение отрицательных результатов хозяйственной деятельности организации и выявлению резервов ее финансовой устойчивости.

Значение бухгалтерской (финансовой) отчетности состоит в том, что содержащаяся в ней информация используется, прежде всего, самими предприятиями, составившими отчетность, для контроля за выполнением показателей производственных и финансовых планов, выявления недостатков в работе и определения возможностей повышения эффективности использования всех видов ресурсов на предприятии.

Отчетные показатели служат базой для разработки текущих и перспективных планов (бизнес-планов) деятельности предприятия. Они используются также учредителями, акционерами, поставщиками, заказчиками, инвесторами и другими юридическими и физическими лицами при решении вопросов установления хозяйственных связей с предприятием, вложения средств в его активы, размещения заказов и т.п. Под пользователем (потребителем) отчетности понимается субъект (физическое или юридическое лицо или соответствующий государственный орган), обращающийся к ней за получением необходимой информации.

Пользователи отчетности могут быть внешними и внутренними (рис. 1).

Рисунок 1 - Пользователи отчетности

При составлении отчетности организация должна следовать принципам нейтральности, существенности и достоверности. Поэтому необходимо обеспечить исключение одностороннего удовлетворения интересов одних групп пользователей бухгалтерской отчетности перед другими. При этом, показатели об отдельных активах, обязательствах, доходах, расходах и хозяйственных операциях должны приводиться в бухгалтерской отчетности обособлено в случае их осуществления и если без знания о них заинтересованными пользователями невозможна оценка финансового положения организации или финансовых результатов ее деятельности. Состав типовых форм бухгалтерской (финансовой) отчетности, их показатели, а также порядок заполнения отчетности утверждаются Министерством финансов Республики Беларусь. Специализированные формы отчетности, их показатели и порядок заполнения утверждаются министерствами и ведомствами. Другие органы, осуществляющие регулирование бухгалтерского учета, утверждают в пределах своей компетенции формы бухгалтерской отчетности банков, страховых и других организаций и инструкции о порядке их заполнения.

По видам отчетность делится на оперативную, статистическую, бухгалтерскую и налоговую.

Оперативная отчетность предназначена для текущего контроля и управления внутри субъекта хозяйствования в момент совершения хозяйственной операции или сразу же после ее завершения. В ней обычно содержатся сведения о выполнении планов поставок материалов, производства важнейших видов продукции, соблюдения условий договоров, финансовом положении субъекта хозяйствования и другие. Оперативная отчетность может представлять собой отчетный оперативный документ, в котором излагаются данные об изменениях в работе предприятия, объединения, а также необходимые сведения о выполнении планов и графиков выпуска продукции, производства строительных и сельскохозяйственных работ, движения транспорта-энергоснабжения и обслуживания в народном хозяйстве.

Статистическая отчетность представляет собой предназначенную для статистического изучения хозяйственной реальности систему количественных и качественных показателей, измерение и обобщение которых не характерны для системы бухгалтерского учета. Статистическая отчетность служит для отражения отдельных сторон деятельности субъекта хозяйствования. С ее помощью контролируются реализация, планы по объему и качеству продукции, использование оборудования и рабочего времени, выполнения норм выработки, динамики производительности труда и др. Статистическая отчетность составляется на основании данных статистического, оперативного видов учета и бухгалтерской отчетности по единой методике и единым формам при централизованном руководстве и полной регламентации со стороны государственных органов - Министерства статистики и анализа, Министерства экономики, Министерства финансов и соответствующих министерств в зависимости от подчиненности.

Статистическая отчетность можно рассматривать также как форму государственного статистического наблюдения, при которой соответствующие органы получают от предприятий (организаций и учреждений) необходимые им сведения в виде установленных в законном порядке отчетных документов (статистических отчетов). Такие документы подписывают лица, ответственные за представление и достоверность сообщаемых данных.

Бухгалтерская отчетность отражает показатели производственно-хозяйственной деятельности субъекта хозяйствования. Она составляется на основании данных синтетического и аналитического учета, подтверждается первичными документами, используя данные оперативной и статистической отчетности. В Республике Беларусь существуют свои единые формы бухгалтерской отчетности, установленный порядок их заполнения и представления для предприятий и организаций всех отраслей народного хозяйства, являющихся юридическими лицами, независимо от форм собственности.

В соответствии со статьей 2 Закона Республики Беларусь "О бухгалтерском учете и отчетности" бухгалтерская отчетность - это система показателей, содержащая информацию о результатах хозяйственной деятельности и финансовом положении организации.

Бухгалтерская отчетность служит источником информации для внешних и внутренних пользователей. Изучение и анализ сведений бухгалтерской отчетности позволяют:

• принимать решения о целесообразности партнерских отношений с поставщиками, покупателями, подрядчиками, кредиторами, дебиторами и др.;

• избегать рискованных инвестирований в другие субъекты хозяйствования;

• выработать и применять адекватные механизмы расчетов с некоторыми партнерами (посредством векселей, аккредитивов, плановых платежей и т.п.);

• оценивать целесообразность приобретения на определенных условиях активов (основных средств по лизингу, в кредит, в аренду и др.);

• учитывать финансовое положение потенциальных партнеров при участии в краткосрочных и долгосрочных проектах;

• учитывать и рассчитывать возможные коммерческие и предпринимательские риски и другое.

бухгалтерский учет производительность

2.      Изучение уровня и динамики производительности труда

Для оценки уровня производительности труда применяется система обобщающих, частных и вспомогательных показателей.

К обобщающим показателям относятся среднегодовая, среднедневная и среднечасовая выработка продукции одним рабочим, а также среднегодовая выработка продукции на одного работающего в стоимостном выражении.

Частные показатели - это затраты времени на производство единицы продукции определенного вида (трудоемкость продукции) или выпуск продукции определенного вида в натуральном выражении за один человеко-день или человеко-час. Вспомогательные показатели характеризуют затраты времени на выполнение единицы определенного вида работ или объем выполненных работ за единицу времени.

Наиболее обобщающим показателем производительности труда является среднегодовая выработка продукции одним работающим. Величина его зависит не только от выработки рабочих, но и от удельного веса последних в общей численности промышленно-производственного персонала, а также от количества отработанных ими дней и продолжительности рабочего дня (рис. 16.1).


Отсюда среднегодовая выработка продукции одним работником равна произведению следующих факторов:


Аналогичным образом анализируется изменение среднегодовой выработки рабочего, которая зависит от количества отработанных дней одним рабочим за год, средней продолжительности рабочего дня. и среднечасовой выработки:


Обязательно анализируется изменение среднечасовой выработки как одного из основных показателей производительности труда и фактора, от которого зависит уровень среднедневной и среднегодовой выработки рабочих. Для анализа среднечасовой выработки воспользуемся методикой, разработанной Н.А.Русак, согласно которой величина этого показателя зависит от факторов, связанных с изменением трудоемкости продукции и стоимостной ее оценки. К первой группе факторов относятся такие, как технический уровень производства, организация производства, непроизводительные затраты времени в связи с браком и его исправлением. Во вторую группу входят факторы, связанные с изменением объема производства продукции в стоимостной оценке в связи с изменением структуры продукции и уровня кооперированных поставок. Для расчета влияния этих факторов на среднечасовую выработку используется способ цепной подстановки. Кроме планового и фактического уровня среднечасовой выработки, необходимо рассчитать три условных показателя ее величины.

Большую роль в изучении влияния факторов на уровень среднечасовой выработки играют приемы корреляционно-регрессионного анализа. В многофакторную корреляционную модель среднечасовой выработки можно включить следующие факторы: фондовооруженность или энерговооруженность труда; процент рабочих, имеющих высшую квалификацию или средний тарифный разряд рабочих, средний срок службы оборудования, долю прогрессивного оборудования в общей его стоимости и т.д. Коэффициенты уравнения множественной регрессии показывают, на сколько рублей изменяется среднечасовая выработка при изменении каждого факторного показателя на единицу в абсолютном выражении. Для того чтобы узнать, как за счет этих факторов изменилась среднегодовая выработка рабочих, необходимо полученные приросты среднечасовой выработки умножить на фактическое количество отработанных человеко-часов одним рабочим:


Для определения влияния их на среднегодовую выработку работника нужно полученные приросты среднегодовой выработки рабочих умножить на фактический удельный вес рабочих в общей численности производственно-промышленного персонала:


Чтобы рассчитать влияние этих факторов на изменение объема выпуска продукции, следует прирост среднегодовой выработки работника за счет i-го фактора умножить на фактическую среднесписочную численность промышленно-производственного персонала:


или изменение среднечасовой выработки за счет i-го фактора умножить на фактическую величину продолжительности рабочего дня, количества отработанных дней одним рабочим за год, удельного веса рабочих в общей численности работников и среднесписочной численности работников предприятия:


В заключение анализа необходимо разработать конкретные мероприятия по обеспечению роста производительности труда и определить резерв повышения среднечасовой, среднедневной и среднегодовой выработки рабочих.

Основные направления поиска резервов роста производительности вытекают из самой формулы расчета ее уровня: ЧВ = ВП/Т, согласно которой добиться повышения производительности труда можно путем:

а) увеличения выпуска продукции за счет более полного использования производственной мощности предприятия, так как при наращивании объемов производства увеличивается только переменная часть затрат рабочего времени, а постоянная остается без изменения. В результате затраты времени на выпуск единицы продукции уменьшаются;

б) сокращения затрат труда на ее производство путем интенсификации производства, повышения качества продукции, внедрения комплексной механизации и автоматизации производства, более совершенной техники и технологии производства, сокращения потерь рабочего времени за счет улучшения организации производства, материально-технического снабжения и других факторов в соответствии с планом организационно-технических мероприятий.

При этом возможны следующие варианты соотношения изменения объема выпуска продукции и затрат труда, которые должны учитываться при выборе управленческой стратегии по обеспечению роста производительности труда при существующих в данный момент экономических условиях:

а) происходит увеличение объема выпуска продукции при снижении затрат труда на ее производство;

б) объем продукции растет быстрее, чем затраты труда;

в) объем продукции растет при неизменных затратах труда;

г) объем продукции остается неизменным при снижении затрат труда;

д) объем продукции снижается более медленными темпами, чем затраты труда.

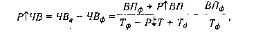
Независимо от выбранного варианта стратегической политики резервы увеличения среднечасовой выработки определяются следующим образом:


где РЧВ- резерв увеличения среднечасовой выработки; ЧВв, ЧВф - соответственно возможный и фактический уровень среднечасовой выработки; РВП резерв увеличения валовой продукции за счет внедрения мероприятий HTП; Тф - фактические затраты рабочего времени на выпуск фактического объема продукции; Р Т - резерв сокращения рабочего времени за счет механизации и автоматизации производственных процессов, улучшения организации труда, повышения уровня квалификации работников и др.; Тд - дополнительные затраты труда, связанные с увеличением выпуска продукции, которые определяются по каждому источнику резервов увеличения производства продукции с учетом дополнительного объема работ, необходимого для освоения этого резерва, и норм выработки.

Умножив резерв роста среднечасовой выработки на плановую продолжительность рабочего дня, получим резерв роста среднедневной выработки. Если же этот резерв умножим на планируемый фонд рабочего времени одного рабочего, то узнаем резерв роста среднегодовой выработки рабочих.

Для определения резерва увеличения выпуска продукции необходимо возможный прирост среднечасовой выработки умножить на планируемый фонд рабочего времени всех рабочих:



Резерв роста производительности труда за счет проведения определенного мероприятия ПТxi) можно рассчитать также по следующей формуле:


где РЧР%хi. - процент относительного сокращения численности рабочих или управленческого персонала за счет проведения определенного мероприятия.

3.      Задача

Используя данные нижеприведенной таблицы:

а) постройте кривую Лоренца для числа торговых организаций (в процентах) и численности оперативных работников (в процентах);

б) рассчитайте коэффициент Джини G;

в) произведите анализ концентрации численности оперативных работников.

Группы торговых организаций с объемом товарооборота, млн. руб.

Число торговых организаций, % к итогу

Среднегодовая численность персонала, % к итогу

До 500

44,9

4,6

500-700

36,7

6,1

700-1000

12,6

8,9

1000-1500

3,8

18,2

1500-2000

1,7

24,5

Свыше 2000

0,3

37,7

Итого:

100

100




б) Коэффициент Джини можно рассчитать по формуле Брауна:

,

или по формуле Джини:

,

где  - коэффициент Джини,  - кумулированная доля населения (население предварительно ранжировано по возрастанию доходов),  - доля дохода, которую в совокупности получает ,  - число домохозяйств,  - доля дохода домохозяйства в общем доходе,  - среднее арифметическое долей доходов домохозяйств.

Товарооборот все организации.

*(0.046*500млн+0.061*700млн+0.089*1000млн+0.182*1500млн+0.245*2000млн+0.377*2000)= 23 + 43 + 89 + 273 + 490 + 754 = 1672.

Доля численности персонала в объеме товарооборота.

/ 1672 = 0.014.

/ 1672 = 0.026.

/ 1672 = 0.053.

/ 1672 = 0.163.

/ 1672 = 0.293.

G = (0.014 + 0.026 + 0.053 + 0.163 + 0.293 + 0.451) / 6 = 0, 167.

в) Анализ концентрации оперативных работников.

К. = Торг. / Чр.

К1= 44,9 / 4,6 = 10.

К2= 36,7 / 6,1 = 6.

К3= 12,6 / 8,9 = 1.

К4= 3,8 / 18,2 = 0.

К5= 1,7 / 24,5 = 0.

К6= 0,3 / 37,7 = 0.

4. Задача

Известны следующие данные об основных средствах предприятия за отчетный год:

- полная первоначальная стоимость основных средств на начало года составила 30 500 руб.;

полная первоначальная стоимость введенных в эксплуатацию основных средств - 9270 руб.;

коэффициент обновления основных средств равен 21,0 %;

коэффициент выбытия основных средств равен 11,7 %.

Определите:

а) стоимость выбывших основных средств;

б) полную первоначальную стоимость на конец года;

в) среднюю годовую стоимость основных средств.

Коэффициент выбытия основных средств - коэффициент равный отношению стоимости выбывших основных средств к стоимости основных средств на начало периода.

Коэффициент обновления основных средств - коэффициент равный отношению балансовой стоимости поступивших за определенный период основных средств к балансовой стоимости основных средств на конец этого периода.

ОСвыб.= Квыб. * ОСнач.= 11, 7 * 30500 / 100 = 3569 руб.

ОСк.г. = ОСнач. + ОСпост. - Освыб. = 30500 + 9270 - 3569 = 36201 руб.

Расчет среднегодовой стоимости основных средств:


Сср. = (30500 + 36201) / 2 = 33351 руб.

СПИСОК ИСПОЛЬЗОВАННОЙ ЛИТЕРАТУРЫ

1. Анализ хозяйственной деятельности в промышленности \\ Под ред. В.И.

2. Ермолович Л.Л. Анализ хозяйственно-финансовой деятельности предприятия. - Мн.: БГЭУ, 2007.

3. Любушин Н.П., Лещева В.Б., Дьякова В.Г. Анализ финансово-экономической деятельности предприятия. - М.: ЮНИТИ, 2009.

4. Русак Н.А., Русак В.А. Финансовый анализ субъекта хозяйствования. - Мн.: Вышэйшая школа, 2007.

5. Русак Н.А., Стражев В.И., Мичун О.Ф. и др. Анализ хозяйственной деятельности в промышленности: Учебник.- Мн.: Вышэйшая школа, 2008.

6. Савицкая Г.В. Анализ хозяйственной деятельности предприятия. 7-е перераб. и дополн. издание. - Мн.: ООО «Новое знание», 2010.

Похожие работы на - Принципы организации отчетности

 

Не нашли материал для своей работы?
Поможем написать уникальную работу
Без плагиата!
Без нейросетей!