Экономическая статистика

  • Вид работы:
    Контрольная работа
  • Предмет:
    Эктеория
  • Язык:
    Русский
    ,
    Формат файла:
    MS Word
    124,76 Кб
  • Опубликовано:
    2014-04-23
Вы можете узнать стоимость помощи в написании студенческой работы.
Помощь в написании работы, которую точно примут!

Экономическая статистика

Задание 1

Сбор и анализ статистических данных по материалам газеты «Из рук в руки».

Взять 50 экземпляров газеты «Из рук в руки» и составить статистическую таблицу по теме квартиры (двухкомнатные);

Наблюдаемыми признаками взять: цену, общую площадь, этаж (для квартир).

. Выполнить типологическую и структурную, аналитическую группировки собранных данных.

1.   Найти групповые и общие показатели средних.

2.      Найти групповые и общие показатели вариации.

.        Определить моду и медиану распределения признака «цена».

Для выполнения задания изучалась продажа двухкомнатных квартир в г. Туле. В качестве наблюдаемых признаков выбраны: район, цена, общая площадь и этаж. В результате сбора статистических данных по материалам газеты «Из рук в руки» была сформирована таблица в MS Excel (см рис 1).

Рисунок 1 - Пример таблицы сбора данных

Для анализа собранных данных выполним типологическую группировку собранных данных. Результат данной группировки поместим в таблицу 1.

Таблица 1

Средние значения продажи двухкомнатных квартир по г.Туле за 2010 г.

Этаж

Цена, тыс. руб

Общая площадь, кв. м

А

1

2

1

1834,32

48,51

2

1926,07

49,79

3

1882,50

52,44

4

2068,71

49,47

5

1978,42

48,06

6

2230,00

52,61

7

2091,85

52,14

8

2266,67

51,95

9

2374,00

50,60


Подлежащее - этаж квартиры.

Для анализа собранных данных выполним структурную группировку собранных данных. Результат данной группировки поместим в таблицу 2.

статистический группировка дисперсия

Таблица 2

Группировка продажи двухкомнатных квартир по районам города Тулы за 2010 г.

Район города

Количество квартир

Средняя цена, тыс. руб

Среднее значение общей площади, кв. м.

Среднее значение этажности

Цена 1 квадратного метра,тыс. руб

А

1

2

3

4

5

Центральный

61

1966

49,7

3,8

39,6

52

1958

50,3

3,8

38,9

Пролетарский

61

1897

50,0

4,3

37,9

Советский

62

2166

51,6

4,2

43,1

Всего

236

1997

50,4

4,0

42,0

Подлежащее - район города Тулы.

Для анализа собранных данных выполним аналитическую группировку собранных данных. Результат данной группировки поместим в таблицу 3.

Необходимо решить вопрос о числе групп, которое находим по формуле Стерджесса:

n=1+3.322lgN

n=1+3.322lg236=9

Величину интервала рассчитаем по формуле:

h=(Xmax-Xmin):n=(3500-700):9=311

Определим интервальные группы и сразу внесем их в таблицу 3.

Таблица 3

№ группы

Группы квартир по цене, тыс. руб

Число квартир

Общая площадь, кв.м.

Этаж




Всего

В среднем на одну квартиру

Всего

В среднем на одну квартиру

А

Б

1

2

3

4

5

1

700-1011

3

137,6

45,8

4

1,3

2

1012-1322

12

591,4

49,3

35

2,9

3

1323-1633

45

1998,0

44,4

136

3,0

4

49

2425,1

49,5

198

4,0

5

1945-2255

58

2942,1

50,7

246

4,2

6

2256-2566

43

2174,2

50,6

237

5,5

7

2567-2877

16

871,2

54,5

54

3,4

8

2878-3188

5

335,0

67,0

17

3,4

9

3189-3500

5

360,2

72,0

18

3,6

Итого

236

11834,8

483,8

945

-


Подлежащее - группы квартир по цене.

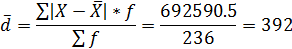
Найдем групповые и общие показатели средних.

Определим среднюю арифметическую:


Расчет смотри в таблице 4.

Определим среднее линейное отклонение (Расчет смотри в таблице 4):


Определим дисперсию (Расчет смотри в таблице 4):


Среднее квадратичное отклонение равно


Коэффициент вариации равен



Таблица 4

Расчет средних значений

Группы квартир по цене, тыс. руб Х

Число квартир f

середина интервала Х

Х*f

Х-Xcp

Х-Xcp*f

(Х-Xcp)2*f

f

700-1011

855,5

2566,5

1068,5

3205,5

3425076,75

3

1012-1322

12

1167

14004

757

9084

6876588

15

1323-1633

45

1476,5

66442,5

447,5

20137,5

9011531,25

60

1634-1944

49

1789

87661

135

6615

893025

109

1945-2255

58

1800

104400

124

7192

891808

167

2256-2566

43

2411

103673

487

20941

10198267

 

2567-2877

16

2722

43552

798

12768

10188864

 

2878-3188

5

3033

15165

1109

5545

6149405

 

3189-3500

5

3344,5

16722,5

1420,5

7102,5

10089101,25

 

236

 

454186,5

 

92590,5

57723666,25

 



Определим моду по полю Цена:

Модальным является интервал 1945-2255 т.к. его частота наибольшая - 58.


Определим медиану по полю цена:

Медианным является интервал 1945-2255 т.к. сумма накопленных частот квартир на этом интервале превышает половину суммы частот квартир и равна 167. Расчет смотри в таблице 4.


Задание 2

Как получить данные в моей фирме?

1.   Сформулируйте несколько задач, стоящих перед Вашей организацией, для решения которых необходимо провести статистические исследования.

2.      Выберите наиболее целесообразный (по Вашему мнению) способ получения исходных данных.

.        Оцените (ориентировочно) затраты на мероприятия по получению данных.

Организации планирует создать сеть филиалов по реализации населению своей продукции в соседнем регионе. Для определения потребительского спроса населения необходимо провести исследования по наличию спроса у населения данного региона на данный вид продукции. Изучение наличия потенциального потребителя и действия конкурирующих фирм с их производственными мощностями.

Для реализации этой задачи применяется эксперимент - предлагается для продажи продукция предприятия и изучается спрос на нее, а так же наблюдение - просмотреть на рынке данного региона аналогичную продукцию других фирм и изучение производственных мощностей конкурирующих фирм.

Стоимость зависит от конкретных условий и количества занятых в данном мероприятии людей. Но данный вид статистического исследования достаточно дорогостоящий. Отчетность конкурирующих форм можно найти в прессе и аналитический отдел сведет всю информацию воедино. Ориентировочная стоимость 250000 руб.

Организации требуется произвести учет удовлетворенности населения работой филиала организации. Для этого производится статистический учет количества обращений клиентов с претензиями на работу филиала.

Для реализации этой задачи применяется документальный учет.

Ориентированная стоимость - 25000 руб.

Задание 3

Проведите группировку данных.

1.   Рассмотрите любую совокупность данных, относящихся к деятельности Вашей организации (производство, реализация, персонал и зарплата, бухгалтерская информация).

2.      Попытайтесь провести группировку этих данных, руководствуясь системой варьирующих признаков, описанной выше.

.        Обоснуйте выбор того или иного вида группировок (число признаков, задачи систематизации, характер информации).

Для группировки была рассмотрена бухгалтерская информация. Результат группировки отражен в таблице 5.

Таблица 5

Распределение заработной платы по категориям на заводе Х г. Тулы

Заработная плата за октябрь, руб.

Общая сумма заработной платы

Численность сотрудников

Средняя заработная плата


руб.

% к итогу

чел.

% к итогу

руб.

% к среднему

5000-7000

45267

2

7

6

6467

7

7000-1000

225897

12

24

22

9412

9

10000-15000

479451

24

35

32

13699

14

15000-20000

549123

29

30

28

18304

20

658951

33

14

12

47068

50

Всего

1958689

100

110

100

94950

100


Данная группировка выбрана по характеру информации (информация представляет только количественные данные).

Похожие работы на - Экономическая статистика

 

Не нашли материал для своей работы?
Поможем написать уникальную работу
Без плагиата!
Без нейросетей!