Экономика хлебокомбината

  • Вид работы:
    Курсовая работа (т)
  • Предмет:
    Эктеория
  • Язык:
    Русский
    ,
    Формат файла:
    MS Word
    276,6 Кб
  • Опубликовано:
    2014-02-18
Вы можете узнать стоимость помощи в написании студенческой работы.
Помощь в написании работы, которую точно примут!

Экономика хлебокомбината

1. Понятие и основные принципы организации производственного процесса


Производственный процесс представляет собой совокупность всех действий людей и орудий труда, осуществляющих на предприятии процесс превращения сырья, материалов, полуфабрикатов и других предметов труда в готовую продукцию, отвечающую потребностям общества.

Производственный процесс состоит из, так называемых, технологических процессов, сущность которых заключается в целенаправленном изменении предметов труда: их геометрических форм, размеров или физико-химических свойств.

Технологический процесс состоит из последовательно выполняемых над данным предметом труда технологических действий - операций.

Операция - часть технологического процесса, выполняемая на одном рабочем месте (станке, стенде, агрегате и т.д.), состоящая из ряда действий над каждым предметом труда или группой совместно обрабатываемых предметов.

Помимо технологических процессов, в производственном процессе содержатся и нетехнологические, к которым относятся транспортные, складские, погрузочно-разгрузочные, комплектовочные и некоторые другие операции и процессы.

Трудовые процессы в производстве сочетаются с естественными, в которых изменение предметов труда происходит под влиянием сил природы без участия человека (например, сушка окрашенных деталей на воздухе, охлаждение отливок, старение литых деталей и т.д.).

Операции различаются также в зависимости от применяемых средств труда:

ручные - выполняемые без применения машин, механизмов и механизированного инструмента;

машинно-ручные - выполняемые с помощью машин или ручного инструмента при непрерывном участии рабочего;

машинные - выполняемые на станках, установках, агрегатах при ограниченном участии рабочего (например, установка, закрепление, пуск и остановка станка, раскрепление и снятие детали и т.д.);

автоматизированные - выполняемые на автоматическом оборудовании или автоматических линиях.

Аппаратурные процессы характеризуются выполнением машинных и автоматических операций в специальных агрегатах (печах, установках, ваннах и т.д.).

Общая системная модель производственного процесса показана на рис. 1.1.1. Место производственного процесса в общей схеме воспроизводства отражено на рис. 1.1.2.

Рис. 1.1.1 Модель производственного процесса

Рис. 1.1.2 Роль производственного процесса в системе воспроизводства

В зависимости от назначения и роли в производстве, процессы подразделяются на основные, вспомогательные и обслуживающие.

Основные производственные процессы - процессы, в ходе которых осуществляется изготовление основной продукции, выпускаемой предприятием.

К вспомогательным относятся процессы, обеспечивающие бесперебойное протекание основных процессов. Их результатом является продукция, используемая на самом предприятии.

Обслуживающими называются процессы, в ходе реализации которых выполняются услуги, необходимые для нормального функционирования и основных, и вспомогательных процессов. К ним относятся, например, процессы транспортировки, складирования, подбора и комплектования деталей и т.д.

Совокупность основных процессов образует основное производство. Стадией производственного процесса называется комплекс процессов и работ, выполнение которых характеризует завершение определенной части производственного процесса и связано с переходом предмета труда из одного качественного состояния в другое.

Состав и взаимные связи основных, вспомогательных и обслуживающих процессов образуют структуру производственного процесса.

В организационном плане производственные процессы подразделяются на простые и сложные. Простыми называются производственные процессы, состоящие из последовательно осуществляемых действий над простым предметом труда. Например, производственный процесс изготовления одной детали или партии одинаковых деталей. Сложный процесс представляет собой сочетание простых процессов, осуществляемых над множеством предметов труда. Например, процесс изготовления сборочной единицы или всего изделия.

Для рациональной организации производства, организация производственного процесса должна соответствовать определенным требованиям. Принципы организации производственного процесса представляют собой исходные положения, на основе которых осуществляются построение, функционирование и развитие производственных процессов, они представлены в таблице 1.

Таблица 1. Принципы организации процессов производства

№ п/п

Принципы

Основные положения

Рассчитываемые коэффициенты

1

Пропорциональности

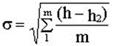
Пропорциональная производительность в единицу времени всех производственных подразделений предприятия (цехов, участков) и отдельных рабочих мест.

Степень пропорциональности производства а может быть охарактеризована величиной отклонения пропускной способности (мощности) каждого передела от запланированного ритма выпуска продукции:  где m - количество переделов или стадий изготовления продукта; h - пропускная способность отдельных переделов; h2 - запланированный ритм выпуска продукции (объем производства по плану).

2

Дифференциации

Разделение производственного процесса изготовления одноименных изделий между отдельными подразделениями предприятия (например, по технологическому)


3

Комбинирования

Объединение всех или части разнохарактерных процессов по изготовлению определенного вида изделия в пределах одного участка, цеха, производства

Определения экономического эффекта от комбинирования производства может быть выражено:  где Э - экономический эффект от комбинирования производства; Зтр - транспортные расходы на единицу продукции до и после комбинирования; Vк - объем выпуска продукции за счет комбинирования производства; К - экономия капитальных вложений, необходимых на развитие добывающих отраслей

4

Концентрации

Сосредоточение выполнения определенных производственных операций по изготовлению технологически однородной продукции или выполнению функционально однородных работ на отдельных участках и рабочих местах


5

Специализации

Формы разделения труда на предприятии, в цехе. Закрепление за каждым подразделением предприятия ограниченной номенклатуры работ, операций, деталей, изделий

Уровень специализации рабочих мест определяется специальным показателем - коэффициентом закрепления операций Кз.о, который характеризуется количеством деталеопераций, выполняемых на рабочем месте за определенный промежуток времени. Так, при Кз.о = 1 имеет место узкая специализация рабочих мест, при которой в течение месяца, квартала на рабочем месте выполняется одна деталеоперация.

6

Универсализации

Определенное рабочее место или производственное подразделение занято изготовлением изделий и деталей широкого ассортимента или выполнением различных производственных операций


7

Стандартизации

Под принципом стандартизации в организации производственного процесса понимают разработку, установление и применение однообразных условий, обеспечивающих наилучшее его протекание


8

Параллельности

Одновременное выполнение технологического процесса на всех или некоторых его операциях. Реализация данного принципа существенно сокращает производственный цикл изготовления изделия

Уровень параллельности производственного процесса может быть охарактеризован при помощи коэффициента параллельности Кn, исчисляемого как соотношение длительности производственного цикла при параллельном движении предметов труда Тпр.ц и фактической его длительности Тц:  где n - количество переделов.

9

Прямоточности

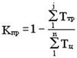
Требование прямолинейности движения предметов труда по ходу технологического процесса, то есть по кратчайшему пути прохождения изделием всех фаз производственного процесса без возвратов в его движении

Прямоточность характеризуется коэффициентом Кпр, представляющим соотношение длительности транспортных операций Ттр к общей продолжительности производственного цикла Тц:  где j - количество транспортных операций.

10

Непрерывности

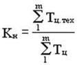
Сведение к минимуму всех перерывов в процессе производства конкретного изделия

Степень непрерывности производственного процесса исчисляется как соотношение длительности технологической части производственного цикла Тц.тех и продолжительности полного производственного цикла Тц:  где m - общее количество переделов.

11

Ритмичности

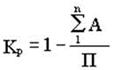
Выпуск в равные промежутки времени равного количества изделий

Уровень ритмичности может быть охарактеризован коэффициентом Кр, который определяется как сумма отрицательных отклонений достигнутого выпуска продукции от заданного плана  где еA - сумма ежедневно недоданной продукции; n - длительность планового периода, дни; П - плановый выпуск продукции.

Автоматичности

Максимально возможное и экономически целесообразное освобождение рабочего от затрат ручного труда на основе применения автоматического оборудования



Принципы организации производства на практике действуют не изолированно, они тесно переплетаются в каждом производственном процессе. При изучении принципов организации следует обратить внимание на парный характер некоторых из них, их взаимосвязь, переход в свою противоположность (дифференциация и комбинирование, специализация и универсализация). Принципы организации развиваются неравномерно: в тот или иной период какой-нибудь принцип выдвигается на первый план либо приобретает второстепенное значение. Так, уходит в прошлое узкая специализация рабочих мест, они становятся все более универсальными. Принцип дифференциации начинает все больше заменяться принципом комбинирования, применение которого позволяет строить производственный процесс на основе единого потока. В то же время в условиях автоматизации возрастает значение принципов пропорциональности, непрерывности, прямоточности.

2. Технологические процессы, используемые при производстве продукции (услуг)


Технологический процесс - последовательность технологических операций, необходимых для выполнения определенного вида работ. Технологические процессы состоят из технологических (рабочих) операций, которые, в свою очередь, складываются из технологических переходов.

Технологический процесс - это часть производственного процесса, содержащая целенаправленные действия по изменению и (или) определению состояния предмета труда.

В зависимости от применения в производственном процессе для решения одной и той же задачи различных приёмов и оборудования различают следующие виды техпроцессов:

-       единичный технологический процесс (ЕТП)

-       типовой технологический процесс (ТТП)

-       групповой технологический процесс (ГТП).

Для описания технологического процесса используют маршрутные и операционные карты:

-       технологическая карта - документ, в котором описан: процесс обработки деталей, материалов, конструкторская документация, технологическая оснастка

-       операционная карта - перечень переходов, установок и применяемых инструментов

-       маршрутная карта - описание маршрутов движения по цеху изготовляемой детали.

Технологический процесс - это целесообразное изменение формы, размеров, состояния, структуры, положения, места предметов труда. Технологический процесс можно также рассматривать как совокупность последовательных технологических операций, необходимых для достижения цели производственного процесса (или одной из частных целей).

Трудовой процесс - совокупность действий исполнителя или группы исполнителей по преобразованию предметов труда в его продукт, выполняемых на рабочих местах.

Технологические процессы по источнику энергии, необходимой для их осуществления можно разделить на:

-       естественные (пассивные)

-       активные.

Первые происходят как природные процессы и не требуют дополнительной преобразованной человеком энергии для воздействия на предмет труда (сушка сырья, остывание металла в обычных условиях и т.п.). Активные технологические процессы протекают в результате непосредственного воздействия человека на предмет труда, либо в результате воздействия средств труда, приводимых в движение энергией, целесообразно преобразованной человеком.

Производство объединяет трудовые действия людей, естественные и технические процессы, в результате взаимодействия которых создается продукт или услуга. Такое взаимодействие осуществляется с помощью технологий, то есть способов последовательного изменения состояния, свойств, формы, размеров и других характеристик предмета труда.

Все технологические процессы принято делить на:

-       основные

-       вспомогательные

-       обслуживающие.

Основные подразделяются на заготовительные, обрабатывающие, сборочные, отделочные, информационные. В их рамках происходит создание товаров или услуг в соответствии с целями фирмы. Для мясокомбината это, например, производство колбасы, пельменей, тушенки; для банка - прием и выдача ссуд, продажа ценных бумаг и т.п. Но на самом деле основные процессы образуют лишь «верхушку айсберга», а его «подводную часть», невидимую для глаз, составляют обслуживающие и вспомогательные процессы, без которых ни одно производство невозможно.

Цель вспомогательных процессов состоит в создании условий, необходимых для осуществления основных. В их рамках происходит, например контроль за техническим состоянием оборудования, его обслуживание, ремонт, изготовление необходимых для работы инструментов и т.п.

Обслуживающие процессы связаны с размещением, хранением, перемещением сырья, материалов, полуфабрикатов, готовой продукции. Они осуществляются силами складских и транспортных подразделений. К обслуживающим процессам можно также отнести оказание работникам фирмы различных социальных услуг, например обеспечение их питанием, медицинским обслуживанием и пр.

Особенностью вспомогательных и обслуживающих процессов является возможность выполнения их силами других специализированных организаций, для которых они являются основными. Поскольку специализация, как известно, ведет к повышению качества и снижению издержек, приобретать такого рода услуги на стороне чаще бывает более выгодно, особенно для небольших фирм, чем налаживать собственное производство.

Табл. 2. Сущность частных понятий, входящих в структуру системного понятия «производственный процесс»

Наименование понятия

Сущность понятия

Примеры по некоторым отраслям

1. Предмет труда

Предмет, над которым работает человек для создания промежуточного или конечного продукта с целью удовлетворения определенных потребностей

Книга - для читателя. Нормативы конкурентоспособности будущего объекта, информация, методы - для исследователя. Техническое задание на разработку, чертеж - для конструктора. Заготовка - для токаря. Информация, методика - для экономиста. Строящийся дом - для строителя. Перевозимый груз - для шофера. Болезнь человека для врача

2. Орудие труда

Часть средств производства или основного капитала, с помощью или посредством которых человек воздействует на предмет труда

Лабораторное оборудование, компьютер - для исследователя. Графопостроитель, компьютер, система автоматизированного проектирования - для конструктора. Станок - для токаря. Стол, компьютер - для экономиста. Подъемный кран - для строителя. Машина - для шофера. Скальпель - для хирурга

3. Живой труд

Непосредственно работник, оказывающий с помощью орудия труда воздействие на предмет труда с целью его преобразования и удовлетворения определенных потребностей

Исследователь. Конструктор. Токарь. Экономист. Строитель. Шофер. Врач

4. Пространство

Место протекания производственного процесса, одна из форм диалектического единства пространства и времени

Лаборатория - для исследователя. Рабочее место - для токаря. Территория и маршрут движения - для шофера. Операционная - для хирурга

5. Время

Длительность производственного процесса, одна из форм диалектического единства пространства и времени

Длительность лабораторных испытаний надежности двигателя. Штучное время обработки детали. Время нахождения машины в пути. Длительность хирургической операции

6. Удовлетворение потребностей

Изготовление продукции, оказание услуги или выполнение работы для удовлетворения определенных потребностей в соответствии с плановым документом или личной идеей

Работа ученого над новой идеей, монографией. Выполнение научно-исследовательской организацией программы повышения конкурентоспособности машины. Выполнение строительной организацией оперативно-календарного плана. Выполнение токарем сменно-суточного задания. Выполнение консалтинговой фирмой контракта по анализу конкурентных преимуществ организации


Все технологические процессы принято в настоящее время классифицировать по шести основным признакам:

-       способу воздействия на предмет труда

-       характеру связи исходных элементов и результата

-       типу используемого оборудования

-       уровню механизации

-       масштабам выпуска продукции

-       прерывности и непрерывности.

Воздействие на предмет труда в рамках технологического процесса может осуществляться как при непосредственном участии человека - неважно, идет ли речь о прямом воздействии, или только о регулировании, так и без него. В первом случае, примером которого является обработка деталей на станке, составление компьютерной программы, ввод данных и т.п. такое воздействие называется технологическим; во втором, когда действуют только природные силы (брожение, закисание и пр.) - естественным.

По характеру связи исходных элементов и результата выделяется три типа технологических процессов:

-       аналитические,

-       синтетические,

-       прямые.

В аналитических из одного вида сырья получают несколько продуктов. Их примером является переработка молока или нефти. Так, из последней можно извлечь бензин, керосин, солярку, масла, дизельное топливо, мазут, битум. В синтетических - наоборот, из нескольких исходных элементов создается один продукт, например из отдельных деталей собирается сложный агрегат. В прямом технологическом процессе происходит преобразование одной изначальной субстанции в один же конечный продукт, скажем из чугуна выплавляется сталь.

По типу используемого оборудования технологические процессы принято подразделять на открытые и аппаратурные.

Первые связаны с механической обработкой предмета труда - резанием, сверлением, ковкой, шлифовкой и т.п. Примером вторых является химическая, термическая и иная обработка, протекающая уже не открыто, а изолированно от внешней среды, например в различного рода печах, ректификационных колоннах и т.п.

В настоящее время выделяется пять уровней механизации технологических процессов. Там, где она отсутствует вовсе, например при рытье канавы с помощью лопаты, речь идет о ручных процессах. При механизации основных операций и выполнении вручную вспомогательных имеют место машинно-ручные процессы; например, обработка детали на станке, с одной стороны, и ее установка, с другой. Когда оборудование функционирует самостоятельно, а человеку остается лишь нажимать кнопки, говорят о частично автоматизированных процессах. Наконец, если без участия человека осуществляются не только производство, но оперативный контроль и управление, например, с помощью компьютеров, имеют место комплексно автоматизированные процессы.

Относительно самостоятельным элементом любого технологического процесса является операция, выполняемая над определенным предметом труда одним рабочим или бригадой на одном рабочем месте.

Операции различаются по двум основным признакам:

-       назначению

-       степени механизации.

По степени механизации операции делятся на ручные, механизированные, машинно-ручные (комбинация механизированных и ручных работ); машинные (выполняемые всецело машинами, управляемыми людьми); автоматизированные (выполняемые машинами под управлением машин при общем наблюдении и контроле со стороны человека); аппаратурные (естественные процессы, стимулируемые и контролируемые работником, протекающие в замкнутой искусственной среде).

Сами производственные операции, в свою очередь, можно разделить на отдельные элементы - трудовые и технологические. К первым относятся трудовые движения (однократные перемещения корпуса, головы, рук, ног, пальцев исполнителей в процессе осуществления операции); трудовые действия (совокупность движений, производимых без перерыва); трудовые приемы (совокупность всех действий над данным объектом, в результате которых достигается поставленная цель); комплекс трудовых приемов - их совокупность, объединенная либо по технологической последовательности, либо по общности факторов, влияющих на время выполнения.

К технологическим элементам операций относятся: установка - неизменное закрепление обрабатываемой заготовки или сборочной единицы; позиция - фиксированное положение, занимаемое неизменно закрепленной заготовкой или собираемой сборочной единицей совместно с приспособлением относительно инструмента или неподвижной части оборудования; технологический переход - законченная часть операции обработки или сборки, характеризуемая постоянством применяемого инструмента; вспомогательный переход - часть операции, не сопровождаемая изменением формы, размеров, состояния поверхностей, например установка заготовки, смена инструмента; проход-повторяющаяся часть перехода (например, при обработке детали на токарном станке переходом можно считать весь процесс полностью, а проходом однократное перемещение резца по всей ее поверхности); рабочий ход - законченная часть технологического процесса, состоящая из однократного перемещения инструмента относительно заготовки, сопровождаемая изменением формы, размеров чистоты поверхности или свойств заготовки; вспомогательный ход-то же, не сопровождаемое изменениями.

Вывод: Технологический процесс - последовательность технологических операций, необходимых для выполнения определенного вида работ. Технологические процессы состоят из технологических (рабочих) операций, которые, в свою очередь, складываются из технологических переходов. Технологический процесс - это целесообразное изменение формы, размеров, состояния, структуры, положения, места предметов труда.

Все технологические процессы принято делить на основные, вспомогательные и обслуживающие. Основные подразделяются на заготовительные, обрабатывающие, сборочные, отделочные, информационные и пр. Цель вспомогательных процессов состоит в создании условий, необходимых для осуществления основных. Обслуживающие процессы связаны с размещением, хранением, перемещением сырья, материалов, полуфабрикатов, готовой продукции.

Все технологические процессы классифицируются по шести основным признакам: способу воздействия на предмет труда, характеру связи исходных элементов и результата, типу используемого оборудования, уровню механизации, масштабам выпуска продукции и прерывности либо непрерывности.

По источнику энергии, необходимой для их осуществления технологические процессы можно разделить на естественные (пассивные) и активные.

По типу используемого оборудования технологические процессы принято подразделять на открытые и аппаратурные.

По степени механизации операции делятся на ручные, механизированные, машинно-ручные, машинные, автоматизированные, аппаратурные.

3. Организация управление производственным процессом на ОАО «Белорецкий хлебокомбинат»

ОАО «Белорецкий хлебокомбинат» образован в 1993 г. В состав компании «СИТНО» вошел в 2000 г. За 80 лет своего существования превратился в крупнейшее перерабатывающее предприятие города Белорецка, своего региона, стал одним из ведущих производителей компании «СИТНО».

Сегодня в сутки Белорецкий хлебокомбинат выпускает более 8 тонн хлебобулочных и кондитерских изделий. Ассортимент выпускаемой продукции составляет 148 наименований.

Основная продукция хлебокомбината: различные виды хлеба, булочные изделия, более ста наименований кондитерских изделий (торты, пирожные, рулеты, печенье и восточные сладости, мармелад и пироги).

Адрес: 453510, Россия, Республика Башкортостан, г. Белорецк, ул. Тюленина, 3.

В ОАО «Белорецких хлебокомбинат» все обязанности и полномочия разделены по функциональному признаку и в соответствии с ними определены должностные инструкции каждого работника. Отношения работника и предприятия, возникающие на основе трудового договора, контракта, регулируются законодательством РФ о труде. Формы, системы и размер оплаты труда работников, а также другие виды их доходов устанавливаются в соответствии с действующим законодательством и результатами хозяйственной деятельности предприятия. Оно обеспечивает гарантированный законом минимальный размер оплаты труда, условия труда, и меры социальной защиты работников.

Предприятие обеспечивает социальное развитие, улучшение условий труда, обязательное медицинское страхование и социальное обеспечение работников предприятия. Предприятие обязано обеспечить своим работникам безопасные условия труда, и несет ответственность за ущерб, причиненной их здоровью и трудоспособности.

На каждого из сотрудников предприятия возложены определенные функции и обязанности, что облегчает контроль над соблюдением. Данные обязанности четко определены в должностных инструкциях.

На предприятии на каждую должность имеется инструкция по охране труда. А при приеме на работу работники проходят инструктаж по технике безопасности, и после ознакомления расписываются в специальном журнале.

ОАО «Белорецким хлебокомбинатом» в лице Генерального директора принята декларация о соответствии хлеба в ассортименте, хлебобулочных и макаронных и кондитерских изделий в ассортименте на основании Протокола испытаний Управления Госторгхлебинспекции по Республики Башкортостан. Таким образом, имеющееся оборудование позволяет в существующих условиях производить качественные товары.

Бизнес-процесс выпечки хлеба и производства тортов начинается с поступления сырья для производства. Отдел снабжения обеспечивает поставку ингредиентов в достаточном количестве от поставщиков. Мастер смены формирует заявку по мере использования ингредиентов. Производственный учет автоматизирован во всех основных цехах. Налажен учет выработки готовой продукции и полуфабрикатов, их перемещения в экспедицию. В системе также формируются и отрабатываются акты списания и оприходования готовой продукции и составляются отчеты для бухгалтерии. В планово-экономическом отделе полностью автоматизирован учет готовой продукции.

Подпроцесс производства хлеба начинается с получения ингредиентов, их дозировки, рассчитанной в соответствии с технологической картой продукта.

Изготовление закваски можно выделить отдельным подпроцессом - это еще не тесто, уже не ингредиенты. Закваска изготовляется из дрожжей, сбраживается.

Изготовление теста включает процесс замешивание оставшихся ингредиентов - мука, пищевые добавки и др. на данном этапе технологически определяется сортность хлеба.

Подпроцесс формования обеспечивает выкладку хлеба в формы для выпечки. Термическая обработка - это и есть непосредственно выпечка. Важно выбрать оптимальный температурный режим. На рисунке 3.1.1 представлена схема процесса производства хлеба и хлебобулочных изделий.

Рис. 3.1.1. Технологическая схема приготовления хлеба

Хранение и подготовка сырья к производству. Муку сохраняют в емкостях (силосах) или мешках. Перед подачей на производство при необходимости отдельные партии смешивают для улучшения хлебопекарных свойств, просеивают через сита для отделения посторонних примесей и пропускают через устройство для удаления металломагнитных примесей.

Соль сохраняют в мешках или насыпью в отдельном помещении. Перед использованием ее растворяют в воде в солерастворителе. На современных хлебозаводах соль сохраняют в виде концентрированного раствора. Раствор фильтруют, отстаивают и подают на производство.

Прессованные дрожжи сохраняют в холодильнике. Перед использованием их измельчают. В специальной дрожжемешалке готовят суспензию дрожжей в теплой воде, которую используют для приготавливания теста.

Вода сохраняется в баках холодной и горячей воды. Перед приготавливанием теста холодную и горячую воду смешивают в определенной пропорции для доведения к необходимой температуре.

Сахар сохраняют в мешках. При подготовке к производству его растворяют в воде и фильтруют.

Твердые жиры сохраняют в ящиках или бочках, жидкие - в емкостях. Перед использованием твердые жиры растапливают и процеживают через сита определенного размера. Процеживают также жидкие жиры и масла.

Яйца дезинфицируют, разбивают и процеживают через сито.

Приготовление теста. Из подготовленного сырья по установленной рецептуре готовят тесто. Пшеничное тесто готовят в одну (безопарный способ) или в две фазы (опарный способ).

При безопарном способе тесто замешивают сразу из всего сырья. В месильный аппарат согласно рецептуре дозируется мука, вода, дрожжевая суспензия, соль, другое сырье и проводится смешивание до получению однородной массы. Приготовленное тесто определенное время бродит.

При опарном способе сначала из части муки, воды, всех дрожжей готовят опару. После созревания к ней прибавляют остаток муки и воды, соль, а также другое сырье и замешивают тесто. Во время брожения дрожжевые клетки сбраживают сахар муки с образованием спирта и диоксида углерода, который разрыхляет тесто, оно увеличивается в объеме, приобретает необходимые физические свойства, в нем накапливаются ароматические вещества.

Ржаные сорта хлеба готовят в основном двухфазным способом. Сначала готовят закваску, потом на ней замешивают тесто.

Выпекание. После выстаивания тестовые заготовки выпекают в хлебопекарных печах разной конструкции. Во время выпекания вследствие теплофизических, микробиологических, биохимических, коллоидных, химических процессов тестовая заготовка превращается в хлеб с окрашенной корочкой и ароматным ароматом.

Остывание и хранение. Испеченный хлеб укладывают в ящики или лотки, которые размещают на вагонетках или в контейнерах, при этом отбраковывают изделия, которые не отвечают стандартам. Вагонетки с хлебом транспортируют в хлебохранилища для остывания и реализации.

Также как и процесс изготовления хлеба, процесс изготовления тортов начинается с получения ингредиентов, каких используется гораздо больше, чем для изготовления хлеба. Снабжение также обеспечивает специально созданный отдел. Заявку формирует начальник кондитерского цеха.

Следующим этапом является замешивание ингредиентов в соответствии с технологией производства и выпечка коржей. Параллельно данному процессу происходит процесс изготовления прослойки. Далее прослойка и коржи соединяются, украшаются. Схематично этот процесс представлен на рисунке 1.3.2.

Рис. 1.3.2. Блок-схема изготовления тортов и кондитерских изделий

Макаронные изделия «СИТНО» производятся на современном итальянском оборудовании фирмы TECALIT, данная технология производства макарон - плод многолетнего труда лучших итальянских мастеров. Оборудование ориентировано на международные стандарты качества. Процесс производства классически прост, поэтому легко контролируется каждый этап, начиная с подготовки сырья до сушки и упаковки готовой продукции. Для изготовления макарон «СИТНО» используется только мука собственного производства из высоких сортов пшеницы без добавления добавок, красителей, генномодифицированных составляющих. Технологический процесс изготовления макаронных изделий представлен на рисунке 1.3.3.




Рис. 1.3.3. Технологический процесс производства макаронных изделий

Контроль качества должен производиться на каждом этапе производства продукции. Неоптимально выбранный температурный режим для выпечки обусловит разломы на корочке, непопекание, непривычный цвет, вкус, неправильное формование - мы не увидим хлеба привычной формы и веса, закваска и замес - технологическая основа, благодаря которой хлеб имеет вкус, цвет, пищевую и энергетическую ценность, пористость.

Таким образом, в процессе выпечки хлеба контролируемыми параметрами, подлежащими мониторингу, определяющими качество продукции, являются масса, объем, время и температура.

Производство хлеба, хлебобулочных и кондитерских изделий может осуществляться как на оборудовании ведущих зарубежных фирм «Бэпэкс - ХУТТ», «Антон Олерт» (Германия), «Реон» (Япония), так и на отечественном оборудовании.

Вывод: ОАО «Белорецкий хлебокомбинат» образован в 1993 г. В состав компании «СИТНО» вошел в 2000 г. Основная продукция хлебокомбината: различные виды хлеба, булочные изделия, более ста наименований кондитерских изделий. Бизнес-процесс выпечки хлеба и производства тортов начинается с поступления сырья для производства. Отдел снабжения обеспечивает поставку ингредиентов в достаточном количестве от поставщиков. Мастер смены формирует заявку по мере использования ингредиентов. Производственный учет автоматизирован во всех основных цехах. Налажен учет выработки готовой продукции и полуфабрикатов, их перемещения в экспедицию. В системе также формируются и отрабатываются акты списания и оприходования готовой продукции и составляются отчеты для бухгалтерии. В планово-экономическом отделе полностью автоматизирован учет готовой продукции. Контроль качества производится на каждом этапе производства продукции. Параметры, подлежащие мониторингу: масса, объем, время и температура.

Заключение

Производственный процесс представляет собой совокупность всех действий людей и орудий труда, осуществляющих на предприятии процесс превращения сырья, материалов, полуфабрикатов и других предметов труда в готовую продукцию, отвечающую потребностям общества. Он состоит из, так называемых, технологических процессов, которые, в свою очередь состоят из последовательно выполняемых над данным предметом труда технологических действий - операций.

В зависимости от назначения и роли в производстве, процессы подразделяются на основные, вспомогательные и обслуживающие. Совокупность основных процессов образует основное производство. Состав и взаимные связи основных, вспомогательных и обслуживающих процессов образуют структуру производственного процесса.

Для рациональной организации производства, организация производственного процесса должна соответствовать определенным принципам. Таких принципов двенадцать: пропорциональности, дифференциации, комбинирования, концентрации, специализации, универсализации, стандартизации, параллельности, прямоточности, непрерывности, ритмичности и автоматичности.

В курсовой работе также рассмотрены вопросы: понятие производственного процесса, разновидности производственных процессов и принципы организации процессов производства.

ОАО «Белорецкий хлебокомбинат» образованный в 1993 г. специализируется на изготовлении различных видов хлеба, булочных и кондитерских изделий. Бизнес-процесс выпечки хлеба и производства тортов начинается с поступления сырья для производства. Отдел снабжения обеспечивает поставку ингредиентов в достаточном количестве от поставщиков. Мастер смены формирует заявку по мере использования ингредиентов. Производственный учет автоматизирован во всех основных цехах. Налажен учет выработки готовой продукции и полуфабрикатов, их перемещения в экспедицию.

производственный технологический хлебокомбинат управление

Список источников


1.     Волков О.И. Экономика предприятия (фирмы) / О.И. Волков. - М.: Инфра-М, 2009. - 401 с.

2.      Казакова Ф.К. Экономика и социология труда. Учебное пособие. / Ф.К. Казакова, И.В. Белянина. - М.: МГИУ, 2009. - 44 с.

.        Корсаков М.Н. Экономика предприятия / М.Н. Корсаков. - СПб.: Питер, 2009. - 298 с.

.        Омаров А.М. Экономика производственного объединения (предприятия). / А.М. Омаров. - М.: Экономика, 2010. - 421 с.

.        Ребрин Ю.И. Основы экономики и управления производством / Ю.И. Ребрин. - Таганрог: ТРТУ, 2010. - 329 с.

.        Производственный и операционный менеджмент, 10-е издание / Пер. с англ. под ред. Н.А. Коржа. - М.: Издательский дом «Вильямс», 2012. - 704 с.

.        Производственный менеджмент: учебник для вузов по направлению 521500 «Менеджмент» / В.А. Козловский, А.К. Казанцев, В.В. Кобзев, Б.И. Кузин; под ред. В.А. Козловского; С.-Петерб. гос. ун-т, Фак. менеджмента; Саратов. гос. политехн. ун-т; РАН, С.-Петерб. ин-т информатики. - М.: ИНФРА-М, 2011. - 574 с.

.        Производственный менеджмент: учебник для вузов / С.Д. Ильенкова, А.В. Бандурин, Г.Я. Горбовцов, Н.Д. Ильенкова; под ред. С.Д. Ильенковой. - М.: ЮНИТИ, 2010. - 583с

.        Фатхутдинов Р.А. Производственный менеджмент: учебник для вузов по спец. и направлению «Менеджмент» / Р.А. Фатхутдинов. - 6-е изд. - СПб.: Питер, 2012. - 490 с.

Похожие работы на - Экономика хлебокомбината

 

Не нашли материал для своей работы?
Поможем написать уникальную работу
Без плагиата!
Без нейросетей!