Экономика предприятия
Некоммерческое акционерное общество
«АЛМАТИНСКИЙ УНИВЕРСИТЕТ ЭНЕРГЕТИКИ И
СВЯЗИ»
Кафедра Экономика,
организация и управление производством
<#"724819.files/image001.gif">
Где ФН..Г. - стоимость основных фондов на начало года,
ФВВ - стоимость вводимых основных фондов,
ФВЫБ - стоимость выбывающих фондов,
nВВ - количество месяцев
функционирования вновь введенных фондов,
mВЫБ - количество месяцев изъятия фондов
из эксплуатации.
Далее рассчитаем такие показатели как, фондоотдача, фондоемкость и
фондовооруженность.
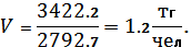
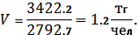
Фондовооруженность:

Покажем
взаимосвязь между данными показателями:
Между
показателем производительности труда (Птр.) и показателями Ки и V существует
прямая зависимость. Изменение производительности труда зависит как от улучшения
использования ОПФ (Ки), так и от увеличения количества ОПФ в расчете на одного
работника (V). Производительность труда можно рассчитать по формуле:
Птр
= Ки*V.
Рост
производительности труда за счет первого фактора (Ки) соответствует
интенсивному пути развития экономики, за счет второго фактора (V) -
экстенсивному пути.
Задача
№3
экономический телефонный станция инвестиционный
Рассчитать
показатели использования оборотных средств на междугородной телефонной станции,
а также высвобождение оборотных средств из оборота. Дать сравнительную оценку полученным
результатам.
Таблица
3
|
|
Текущий год
|
Планируемый год
|
Абсол. изм.
|
Относит. изм.
|
|
Доходы от реализации услуг, млн.тг
|
1 808,30
|
1 904,60
|
96,30
|
105,33
|
|
Среднегодовая величина оборотных средств, млн. тг
|
235,40
|
264,29
|
28,89
|
112,27
|
|
Коэффициент оборачиваемости
|
7,68
|
7,21
|
- 0,48
|
93,81
|
|
Длительность одного оборота
|
46,86
|
49,96
|
3,09
|
106,60
|
|
Коэффициент загрузки
|
0,13
|
0,14
|
0,01
|
106,60
|
Решение:
В этом задании я рассчитала различные показатели эффективности
использования оборотных средств предприятия связи за 2 года. То есть,
определила коэффициент оборачиваемости, коэффициент длительности, коэффициент
загрузки и высвобождения средств из оборота. А также сравнила эти показатели.
Коэффициент оборачиваемости рассчитываем по формуле:
Коэффициент длительности, то есть промежуток времени в днях, в течении
которого оборотные средства вернутся на предприятие в виде части стоимости
созданных услуг, определим по формуле:
Коэффициент загрузки:
Для оценки эффективности использования оборотных фондов, определим размер
высвобождения ОС из оборота и сумму дополнительных доходов.
Так
как 
, то
данные показатели не рассчитываются.
Чем
выше значение коэффициента оборачиваемости, тем эффективнее используются
оборотные средства. В моем случае значение этого коэффициента в отчетном году
уменьшилось по сравнению с предыдущим почти на 9%. Коэффициент длительности
одного оборота в отчетном году повысился (109,02%) по сравнению с предыдущим
годом, это говорит о том, что для получения данного объема услуг потребуется
больше оборотных средств. Коэффициент загрузки также увеличился, относительные
изменения составили 109,02%.
Задача
№4
Определить
общую сумму эксплуатационных затрат, себестоимость 100 тенге доходов услуг
связи и их изменение, а также структуру себестоимости по годам.
|
|
Текущий год
|
Планируемый год
|
Абсол. изм.
|
Относ. изм.
|
|
Доходы от реализации услуг, млн.тг
|
1 808,30
|
1 904,60
|
96,30
|
105,33
|
|
З.п. основного производственного персонала, млн.тг
|
342,40
|
318,43
|
- 23,97
|
93,00
|
|
Амортизационные отчисления, млн.тг
|
114,49
|
120,90
|
6,41
|
105,60
|
|
Материалы и запасные части, млн.тг
|
36,38
|
35,36
|
- 1,02
|
97,20
|
|
Электроэнергия производственная, млн.тг
|
19,26
|
20,17
|
0,91
|
104,70
|
|
Прочие расходы, млн.тг
|
246,10
|
225,18
|
- 20,92
|
91,50
|
|
Эксплуатационные затраты предприятия
|
758,63
|
720,04
|
- 38,59
|
94,91
|
|
Себестоимость 100 тенге доходов услуг связи
|
41,95
|
37,81
|
- 4,15
|
90,11
|
Решение:
Для начала необходимо определить полную себестоимость, то есть сумму всех
затрат предприятия.
Далее определим себестоимость 100 тенге доходов услуг связи:
Далее рассчитаем структуру себестоимости предприятия, то есть соотношение
отдельных элементов затрат в процентах к общей сумме затрат в денежной форме.
Таблица 5
|
Уд.вес за текущий год
|
Уд. вес за планируемый год
|
|
З.п. основного производственного персонала, млн.тг
|
45,13
|
44,22
|
|
Амортизационные отчисления, млн.тг
|
15,09
|
16,79
|
|
Материалы и запасные части, млн.тг
|
4,80
|
4,91
|
|
Электроэнергия производственная, млн.тг
|
2,54
|
2,80
|
32,44
|
31,27
|
Рисунок 1 - График структуры себестоимости предприятия на текущий год
Рисунок 2 - График структуры себестоимости предприятия на плановый год
В данном задании мы рассчитывали эксплуатационные затраты, себестоимость
доходов услуг связи и их изменение. Рассматривая относительные изменения по
данным показателям, можно сказать, что расходы предприятия увеличились на
1,54%, а себестоимость 100 тенге доходов снизилась до 94,52%.
Рассматривая структуры себестоимости за два года можно заметить, что
некоторые из показателей выросли, а некоторые уменьшились. Большую часть
составляет заработная плата основного производственного персонала, а меньшую -
электроэнергия предприятия. Удельный вес заработной платы в отчетном году
составил 52,01%, в отличие от предыдущего - 51,52%. Также повысился удельный вес
по производственной электроэнергии (с 2,08% до 2,16%) и по прочим расходам (с
28,8% до 29,36%). Уменьшились показатели амортизационных отчислений (12,94%),
материалов и запасных частей (3,54%).
Задача №5
Определить основные показателей эффективности производства: балансовую
прибыль, чистую прибыль, общую рентабельность и рентабельность затрат,
себестоимость 100 тг. доходов, основные показатели использования ОПФ и
оборотных средств, производительность труда. Рассчитать абсолютные и
относительные изменения показателей по годам.
Таблица 6
|
|
Предыдущий год
|
Отчетный год
|
Абсолют. изм.
|
Относит. изм.
|
|
Доходы от реализации услуг основной деятельности, млн.тг
|
830,32
|
1 055,02
|
224,70
|
127,06
|
|
Численность работников основной деятельности, чел.
|
177,62
|
201,16
|
23,54
|
113,25
|
|
Среднегодовая стоимость ОПФ, млн.тг
|
2 944,64
|
3 871,26
|
926,62
|
131,47
|
|
Оборотные средства, млн.тг
|
107,00
|
147,66
|
40,66
|
138,00
|
|
Эксплуатационные расходы, млн.тг
|
737,23
|
880,61
|
143,38
|
119,45
|
|
Балансовая прибыль
|
3 037,73
|
4 045,67
|
1 007,94
|
133,18
|
|
Корпоративный налог, 20%
|
607,55
|
809,13
|
201,59
|
133,18
|
|
Чистая прибыль
|
2 430,18
|
3 236,54
|
806,35
|
133,18
|
|
Рентабельность продукции
|
82,51
|
85,14
|
2,63
|
103,19
|
|
Рентабельность продаж
|
11,21
|
16,53
|
5,32
|
147,45
|
|
Себестоимость 100 тг доходов
|
88,79
|
83,47
|
- 5,32
|
|
Фондоотдача
|
0,28
|
0,27
|
- 0,01
|
96,65
|
|
Фондоемкость
|
3,55
|
3,67
|
0,12
|
103,47
|
|
Фондовооруженность
|
16,58
|
19,24
|
2,67
|
116,08
|
|
Производительность труда
|
4,67
|
5,24
|
0,57
|
112,19
|
|
Коэффициент оборачиваемости
|
7,76
|
7,14
|
- 0,62
|
92,07
|
|
Длительность одного оборота
|
46,39
|
50,39
|
3,99
|
108,61
|
|
Коэффициент загрузки
|
0,13
|
0,14
|
0,01
|
108,61
|
Решение:
Первым делом определяем балансовую прибыль:
Далее нам нужно рассчитать корпоративный налог в 20%:
Рассчитаем чистую прибыль по формуле:


Теперь
нужно рассчитать рентабельность продукции и рентабельность продаж.
Воспользуемся формулами:
Для
рентабельности продукции:
(5.3)
Для
рентабельности продаж:
(5.4)
Далее
определим себестоимость 100 тенге доходов услуг связи:
Далее
рассчитаем такие показатели как, фондоотдача, фондоемкость и
фондовооруженность.
Фондоемкость:
Фондовооруженность:


Рассчитаем
показатель производительности труда:

Коэффициент
оборачиваемости:
Коэффициент
длительности:
Коэффициент
загрузки:
Далее
для всех значений рассчитываем абсолютные и относительные изменения.
Абсолютные
изменения: Отчет.год - Пред.год.
Относительные
изменения: (Отчет.год / Пред.год.)*100%.
Делая
вывод по полученным результатам, можно сказать, что балансовая и чистая
прибыли, а также отчисления корпоративного налога в отчетном году увеличились
на 2,37%. Рентабельность продукции и продаж снизилась. Изменения для
рентабельности продукции составили 94,92%, для рентабельности продаж - 68,9%.
Это говорит о том, что доходы предприятия могут быть снижены. Изменения
себестоимости 100 тенге доходов составили 12,64%. Показатели фондоотдачи и
фондовооруженности в отчетном году выросли, а значит, повысилась
производительность труда. Изменения фондоотдачи составили 110,51%,
фондовооруженности - 2,35%, производительности труда - 13,11%. Чем выше
значение коэффициента оборачиваемости, тем эффективнее используются оборотные
средства. В моем случае значение этого коэффициента в отчетном году уменьшилось
по сравнению с предыдущим, изменения составили 92,38%. Коэффициент длительности
одного оборота в отчетном году повысился (108,25%) по сравнению с предыдущим
годом, это говорит о том, что для получения данного объема услуг потребуется
больше оборотных средств. Коэффициент загрузки также увеличился, относительные
изменения составили 108,25%.
Задача
№6
Выбрать
наиболее эффективный вариант строительства предприятия связи, если сроки ввода
в действие объекта (мощностей) одинаковые. Обосновать сделанный выбор.
Таблица
7
|
|
Капитальные вложения, млн.тг
|
Эксплуатационные вложения, млн.тг
|
Приведенные затраты
|
|
1 проект
|
660,19
|
513,60
|
645,64
|
|
2 проект
|
653,77
|
740,44
|
871,19
|
|
3 проект
|
549,98
|
877,40
|
987,40
|
Решение:
Методика оценки сравнительной экономической эффективности используется
тогда, когда стоит необходимость выбора одного варианта из нескольких.
Приведённые затраты по каждому из сравниваемых вариантов представляют собой
сумму текущих годовых расходов и капитальных вложений.
Рассчитаем приведенные затраты для трех проектов по формуле:
Где Эр - сумма текущих годовых эксплуатационных затрат по
каждому варианту;
К - сумма капитальных вложений по тому же варианту;
Ен - нормативный (плановый) коэффициент сравнительной
экономической эффективности, принимается равным 0.2.
Наиболее эффективный вариант строительства предприятия в моем случае, это
1 проект. Я выбрала именно его, потому что он имеет самые минимальные приведенные
затраты.
Задача №7
Определить экономическую эффективность инвестиционного проекта
предприятия при единовременных капитальных затратах (I) в первом году проекта и поступлении доходов (Рt) в течение всего периода проекта.
Жизненный цикл проекта - 5 лет. Норма дисконта (r) - 20%. Рассчитать дисконтированный срок окупаемости (DPB), чистый дисконтированный доход (NPV), индекс прибыльности проекта (PI). Внутреннюю норму доходности (IRR). Построить график окупаемости
проекта. Обосновать полученные результаты и сделать заключение о принятии
решения по проекту.
Таблица 8
|
Проектный период
|
|
|
1 год
|
2 год
|
3 год
|
4 год
|
5 год
|
|
Чистый денежный поток (CF), млн.тг
|
58,85
|
65,27
|
69,55
|
72,76
|
69,55
|
|
Инвестиционные затраты (I), млн.тг
|
133,75
|
|
Норма дисконта (E),%
|
20
|
20
|
20
|
20
|
20
|
|
Коэффициент дисконтирования (б)
|
0,83
|
0,69
|
0,48
|
0,40
|
|
Чистая текущая стоимость (PV), млн.тг
|
49,04
|
45,33
|
40,25
|
35,09
|
27,95
|
|
Чистый дисконтированный доход (NPV), млн.тг
|
63,91
|
|
|
|
|
|
Индекс доходности (PI)
|
1,48
|
|
|
|
|
|
Внутренняя норма доходности (IRR),%
|
39,48
|
|
|
|
|
|
Чистая текущая стоимость с нарастающим итогом, млн.тг
|
- 84,71
|
- 39,38
|
0,87
|
35,96
|
63,91
|
|
Коэффициент экономической эффективности
|
0,44
|
|
|
|
|
|
Срок окупаемости проекта
|
2,27
|
|
|
|
|
Решение:
Первым делом определим коэффициент дисконтирования:

, (7.1)





Рассчитаем
чистую текущую стоимость:

, (7.2)





Далее
рассчитываем чистый дисконтированный доход:

, (7.3)
Вычислим
индекс доходности:

, (7.4)

Рассчитаем внутреннюю норму доходности. Внутренняя норма
доходности инвестиций (IRR)
представляет собой ту норму дисконта (r вн.) при которой дисконтированные доходы от проекта равны инвестиционным
затратам. IRR = r, при котором NPV = f(r) = 0.

Последним
действием рассчитаем чистую текущую стоимость с нарастающим итогом:
Также
рассчитаем коэффициент экономической эффективности:
Рассчитаем
срок окупаемости проекта: 
.
Рисунок
3 - График окупаемости проекта
Делая вывод по заданию, можно сказать, что данный
проект окупится, спустя четыре года. Чистый дисконтированный доход составил
19.13 млн. тг., а индекс доходности или рентабельности - 1,14, это говорит о
том, что данный проект следует принять. Внутренняя норма доходности определяет
максимально приемлемую ставку дисконта, при которой можно инвестировать средства
без каких-либо потерь для собственника. В моих расчетах она составила 25,99%.
Коэффициент экономической эффективности составил 0,37, то есть ежегодно с
каждого тенге единовременных капитальных затрат может быть получено 0,37 млн.
тг. Срок окупаемости без дисконтирования составил 2,71, то есть почти 3 года.
За данный период эффект, полученный в результате осуществления капитальных
вложений, может возместить сумму этих вложений.
Заключение
Проделав данную работу, я еще больше укрепила свои знания в экономике.
В первом задании я рассчитала оббьем продукции оператора связи.
Во втором задании были рассчитаны основные показатели использования ОПФ
оператора связи, а также производительность труда.
В третьем задании я вычислила показатели использования оборотных средств
на междугородной телефонной станции.
В четвертом задании расчетно-графической работы были произведены расчеты
эксплуатационных затрат, себестоимости 100 тенге доходов услуг связи и их
изменения. Также была рассчитана структура себестоимости по годам.
В пятом задании я определила основные показатели эффективности
производства, такие как, балансовую прибыль, чистую прибыль, рентабельность
предприятия и продаж, себестоимость и различные показатели использования ОПФ и
оборотных средств.
В шестом задании мною был выбран наиболее эффективный вариант
строительства предприятия связи.
В последнем задании работы, я определила экономическую эффективность
инвестиционного проекта предприятия.
экономический
телефонная станция инвестиционный
Список литературы
. Голубицкая Е.А., Жигульская Г.М. Экономика связи. - Москва:
Радио и связь, 2000.
. Основы менеджмента: Учебное пособие для вузов /Научный ред.
А.А. Радугин.- М.: Центр, 1997.
. http://www.aup.ru/books/m182/2_7.htm
.
http://finance4people.ru/index.php/investment/investment-dpb