Проектирование сетевой конфигурации на основе NGN решений
МОСКОВСКИЙ
ГОСУДАРСТВЕННЫЙ ТЕХНИЧЕСКИЙ УНИВЕРСИТЕТ им. Н.Э. БАУМАНА
Курсовой
проект
По
дисциплине:
«Системы
и сети связи»
На тему:
«Проектирование
сетевой конфигурации на основе NGN решений»
Студент группы ИУ 10-82:
Азаров Александр Игоревич
Руководитель курсового
проекта:
Богомолова Наталья
Егоровна
г. Москва,
2013
Оглавление
Введение
. Исходные данные
. Схема организации связи объектов проектируемой сети
. Расчет характеристик резидентных шлюзов доступа (RAGW)
. Расчет производительности коммутаторов транспортной сети
. Расчёт производительности Softswitch
Заключение
Список литературы
Введение
Сети следующего поколения (NGN)
отражают процесс слияния двух отраслей - телекоммуникационной и информационной,
проще говоря, телефонной и компьютерной. Благодаря этому обеспечивается широкий
набор услуг, начиная с классических услуг телефонии и кончая различными
услугами передачи данных или их комбинацией.
На самом деле сети нового поколения - это плод столетнего эволюционного
развития телекоммуникаций, в котором масштабируемость и надежность телефонной
сети общего пользования сочетаются с охватом и гибкостью сети Интернет.
Согласно простейшему определению, сеть нового поколения - это открытая,
стандартная пакетная инфраструктура, которая способна эффективно поддерживать
всю гамму существующих приложений и услуг, одновременно обеспечивая необходимую
масштабируемость, чтобы принять завтрашнюю нагрузку по IP-трафику, и гибкость,
позволяющую быстро реагировать на новые требования. Обязательным условием
является конвергенция, причем применительно ко всем аспектам: от конвергенции
приложений (например, передачи речи и данных) до конвергенции инфраструктур
(например, оптики и IP).
Сеть следующего поколения становится универсальной телекоммуникационной инфраструктурой,
способной обеспечить все потребности связи и передачи данных. Она соединяет
между собой Интернет, обычные телефонные и беспроводные сети. Более того, у
пользователей появилась возможность «конструировать» коммуникационные сервисы в
соответствии со своими потребностями. NGN имеет степень надежности, характерную
для ТфОП, и обеспечивает низкую стоимость передачи в расчете на единицу объема
информации, приближенную к стоимости передачи данных по Интернету. открывает
массу возможностей построения наложенных сервисов поверх универсальной
транспортной среды - от пакетной телефонии (VoIP) до интерактивного телевидения
и WEB-служб. Сеть нового поколения отличается доступностью сервисов вне
зависимости от местоположения пользователя и используемых им интерфейсов
(Ethernet, xDSL, Wi-Fi и т. д.). Пользователь сети имеет доступ к любым
сервисам.
Преимущества сети NGN
· Во-первых, надежность и безопасность. Привычные нам кольцевые
волоконно-оптические сетевые структуры (к примеру, сети SDH), в которых производится
дублирование информационных потоков по схеме 1+1, продолжают функционировать
при обрыве кабеля. Зато двойной обрыв - уже трагедия. Сеть NGN имеет гораздо
большую живучесть благодаря функции MPLS Fast Reroute, которая оперативно
реагирует (менее чем за 50 мс) на обрывы связи и перенаправляет информационные
потоки на неповрежденные участки сети.
· Во-вторых, управление, гибкость и масштабирование. Системный
администратор сети управляет своей сетью, состоящей из фрагментов в различных
офисах, вводя новых пользователей или манипулируя с выделенной клиенту
телефонной номерной емкостью через простой WEB-интерфейс в реальном времени.
После запроса пользователя изменение параметров услуг происходит практически
мгновенно. К тому же обеспечиваются регулирование скорости доступа к сети NGN
для каждой конкретной услуги, назначение класса обслуживания (CoS) для
конкретного типа трафика, изменение критериев соответствия типа трафика классу
обслуживания и другие.
· В-третьих, развитый телефонный сервис, прежде всего набор
услуг IP-Centrex. Эти услуги сеть NGN предоставляет в рамках организации
виртуальной IP-PBX. При этом обеспечивается поддержка функциональности
современных систем корпоративной IP-телефонии. IP-Centrex подразумевает также
организацию полнофункционального Call-центра.
· В-четвертых, операторы могут использовать возможности
классификации трафика для предоставления услуг, требующих высокого приоритета,
например, передачи голоса по IP. Этим с успехом могут пользоваться и клиенты,
оперативно изменяя параметры соединения через Web-интерфейс.
· В-пятых, обеспечиваются высокое качество (QoS) и соблюдение
соглашений об уровне обслуживания (SLA). Сеть NGN способна гибко управлять
трафиком, учитывая резервирование полосы пропускания, пропускную способность и
текущую нагрузку каналов, приоритезацию трафика и другое.
В структуре сетей NGN присутствует несколько элементов, представляющих
собой отдельные устройства или произвольные комбинации в интегрированном
устройстве. Наиболее важными элементами сети NGN являются:
Медиа-шлюз (MG) терминирует голосовые вызовы из телефонной сети, сжимает
и пакетирует голос, передает сжатые голосовые пакеты в сеть IP, а также
проводит обратную операцию для голосовых вызовов из сети IP. В случае вызовов
ISDN/POTS передает данные сигнализации контроллеру медиа-шлюза или же
преобразования сигнализации в сообщения Н.323 производится в самом шлюзе.
Наряду с вышеописанным медиа-шлюз может также включать функциональность
для удаленного доступа, маршрутизации, виртуальных частных сетей, фильтрования
трафика TCP/IP и тому подобное.
Шлюз сигнализации (SG) служит для преобразования сигнализации и
обеспечивает ее прозрачную передачу между коммутируемой и пакетной сетью. Он
терминирует сигнализацию и передает сообщения через сеть IP контроллеру медиа-шлюза
или другим шлюзам сигнализации.
Контроллер медиа-шлюза (MGC) выполняет регистрацию и управляет пропускной
способностью медиа-шлюза. Через медиа-шлюз обменивается сообщениями с
телефонными станциями.
1.
Исходные данные
В зону проектирование входят:
· Три резидентных шлюза (RAGW1, RAGW2, RAGW3), каждый из
которых обслуживает свою группу пользователей телефонии, ISDN, сетей доступа,
PBX и LAN (количество пользователей указано в таблице 1.1)
· Три магистральных шлюза (TGW1, TGW2, TGW3,), обеспечивающих
подключение трех существующих в регионе сетей связи общего пользования (ССОП)
· SoftSwitch
· Транспортная пакетная сеть из трех коммутаторов (SW1, SW2,
SW3)
Таблица 1.1 Исходные данные количества источников
|
Шлюз доступа
|
Число терминалов PSTN, подключаемых к сетям доступа
пакетной сети
|
Число терминалов ISDN, подключаемых по BRA к сетям
доступа пакетной сети
|
Число подключаемых PBX и количество потоков типа E1
от каждой
|
Число подключаемых LAN и количество абонентов в
каждой
|
Число подключаемых сетей доступа и количество
потоков типа E1 от каждой
|
|
RAGW 1
|
7000
|
120
|
5 PBX по 12 потоков E1
|
1 LAN по 500 абонентов
|
2 AN по 3 потока E1
|
|
RAGW 2
|
5000
|
100
|
1 PBX по 2 потока E1
|
__
|
3 AN по 5 потоков E1
|
|
RAGW 3
|
2500
|
50
|
2 PBX по 5 потоков E1
|
2 LAN по 1500 абонентов
|
4 AN по 7 потоков E1
|
|
Число существующих ССОП, подключаемых к
проектируемой транспортной сети (*)
|
3
|
* - межсетевые потоки существующих сетей общего пользования
(ССОП) не проходят через проектируемую пакетную транспортную сеть
Таблица 1.2 Нагрузка при взаимодействии абонентов пакетной
сети друг с другом и существующими ССОП
|
Взаимодействующие объекты
|
Доля общей нагрузки
|
|
ССОП 1 « абоненты пакетной сети
|
25 % (*)
|
|
ССОП 2 « абоненты пакетной сети
|
20 % (*)
|
|
ССОП 3 « абоненты пакетной сети
|
15 % (*)
|
|
абоненты пакетной сети « абоненты пакетной сети
|
40 % (*)
|
* - доля в общей нагрузке, создаваемой пользователями
пакетной сети
Таблица 1.3 Значения удельной нагрузки и интенсивности
вызовов
|
Объекты
|
Удельная нагрузка yi, Эрл
|
Интенсивность вызовов, обслуживаемых одним каналом
E0 (V=64 Кбит/с), выз./чнн
|
Средняя длина сигнальных сообщений, октетов
|
Среднее количество сигнальных сообщений при
обслуживании вызова
|
|
Абоненты PSTN
|
0,1
|
5
|
50
|
10
|
|
Абоненты ISDN
|
0,2
|
10
|
50
|
10
|
|
Абоненты H.323, SIP, MEGACO
|
0,1
|
5
|
50
|
10
|
|
Потоки E1 от существующих ССОП
|
0,7
|
40
|
-
|
-
|
|
Потоки E1 от PBX
|
0,7
|
40
|
-
|
-
|
|
Потоки E1 от сетей доступа
|
0,7
|
40
|
-
|
-
|
Большинство потоков информации пользователей будут подвергаться
компрессии в шлюзах с помощью кодека G.729 (скорость выходного потока
).
По указанным данным:
· Разработать схему организации связи объектов транспортной
сети
· Рассчитать характеристики абонентских концентраторов и
транспортной шлюзов мультисервисной сети
· Рассчитать характеристики SoftSwitch
· Рассчитать характеристики коммутаторов транспортной сети
· Обосновать выбор типов интерфейсов
· Определить маршруты передачи потоков информации в
транспортной сети
· Разработать схему резервирования ресурсов транспортной
пакетной сети
. Схема организации
связи объектов проектируемой сети
Рассмотрим схему организации связи объектов проектируемой сети (Рис.
2.1). В центре лежит транспортная пакетная сеть, основанная на трех
коммутаторах (SW1, SW2, SW3). Коммутаторы включены по схеме «кольцо» для обеспечения
резервирования маршрутов в случае отказа линии между парой коммутаторов. К ним
подключается три резидентных шлюза (RAGW1, RAGW2, RAGW3), обслуживающих группы
пользователей PSTN, ISDN, AN, PBX, LAN. Сети связи общего пользования
подключаются с помощью транзитных шлюзов (TGW1, TGW2, TGW3). Управление в сети
обеспечивает Media Gateway Controller (MGC) - SoftSwitch. Возможно подключение
различных серверов на уровне услуг (SCP, E-mail, FTP и т.д.).
Рис. 2.1 Схема проектируемой сети
сеть шлюз интерфейс коммутатор
3. Расчет
характеристик резидентных шлюзов доступа (RAGW)
К шлюзам доступа мультисервисной сети, в которой используются принципы
NGN, могут быть подключены следующие источники нагрузки:
· Терминалы, подключаемые по аналоговым абонентским линиям
· Терминалы ISDN, подключаемые по базовому доступу BRA
· Терминалы SIP
· Терминалы H.323
· Теримналы MGCP/MEGACO
· Локальные вычислительные сети, в которых используются
терминалы SIP, H.323, MGCP/MEGACO
· Учережденческие телефонные станции (PBX) с функциями ISDN,
подключаемые по схеме первичного доступа RPA
· Оборудование сети доступа, подключаемое по интерфейсу V5.2
Определим количество терминалов каждой категории, подключенных к
резидентным шлюзам доступа RAGW.
Для первого шлюза доступа RAGW1:
Общее количество каналов, подключенных к RAGW1:
Для второго шлюза доступа RAGW2:
Общее количество каналов, подключенных к RAGW2:
Для третьего шлюза доступа RAGW3:
Общее количество каналов, подключенных к RAGW3:
В общем виде нагрузка, создаваемая пользователями RAGW, рассчитывается
как:
Здесь
удельная нагрузка от соответствующей категории
пользователей, ЭРЛ
количества абонентов соответствующей категории.
Суммарная нагрузка, создаваемая пользователями RAGW1:
Из этой нагрузки, нагрузка от терминалов PSTN к RAGW1 равна:
Нагрузка от терминалов ISDN к RAGW1 равна:
Нагрузка от абонентов LAN к RAGW1 равна:
Нагрузка от абонентов PBX к RAGW1 равна:
Нагрузка от абонентов сетей доступа к RAGW1:
Суммарная нагрузка, создаваемая пользователями RAGW2:
Из этой нагрузки, нагрузка от терминалов PSTN к RAGW2 равна:
Нагрузка от терминалов ISDN к RAGW2 равна:
Нагрузка от абонентов PBX к RAGW2 равна:
Нагрузка от абонентов сетей доступа к RAGW2:
Суммарная нагрузка, создаваемая пользователями RAGW3:
Из этой нагрузки, нагрузка от терминалов PSTN к RAGW3 равна:
Нагрузка от терминалов ISDN к RAGW3 равна:
Нагрузка от абонентов LAN к RAGW3 равна:
Нагрузка от абонентов PBX к RAGW3 равна:
Нагрузка от абонентов сетей доступа к RAGW3:
В таблице 3.1 представлена входящая нагрузка от различных
абонентов соей сети на резидентный шлюз доступа.
Таблица 3.1 Входящая нагрузка от абонентов каждого шлюза
|
Номер шлюза Источник нагрузки
|
RAGW1
|
RAGW2
|
RAGW3
|
|
Нагрузка от терминалов PSTN, Эрл
|
700
|
500
|
250
|
|
Нагрузка от терминалов ISDN, Эрл
|
24
|
20
|
10
|
|
Нагрузка от абонентов LAN, Эрл
|
50
|
--
|
300
|
|
Нагрузка от абонентов PBX, Эрл
|
1260
|
42
|
210
|
|
Нагрузка от абонентов сетей доступа, Эрл
|
126
|
315
|
588
|
|
Суммарная нагрузка, Эрл
|
2160
|
877
|
1358
|
Распределим нагрузку, создаваемую пользователями пакетной сети, между
объектами сети. Для этого найдем для каждого шлюза долю внутренней нагрузки
пользователей, подключенных к шлюзу, по формуле:
% нагрузки от RAGW1 идет к абонентам других пакетных сетей, т.е. на шлюзы
RAGW2 и RAGW3 пропорционально их емкости:
% нагрузки от RAGW2 идет к абонентам других пакетных сетей, т.е. на шлюзы
RAGW1 и RAGW3 пропорционально их емкости:
% нагрузки от RAGW3 идет к абонентам других пакетных сетей, т.е. на шлюзы
RAGW1 и RAGW2 пропорционально их емкости:
В таблице 3.2 представлено распределение исходящей нагрузки между
объектами сети.
Таблица 3.2 Распределение нагрузки в
сети
|
Номер шлюза Направление нагрузки
|
RAGW1
|
RAGW2
|
RAGW3
|
|
Внутренняя нагрузка абонентов, подключенных к одному
шлюзу, Эрл
|
|
|
|
|
Исходящая нагрузка к RAGW1, Эрл
|
-
|
165.58
|
236.13
|
|
Исходящая нагрузка к RAGW2, Эрл
|
|
-
|
138.68
|
|
Исходящая нагрузка к RAGW3, Эрл
|
|
115,06
|
--
|
|
Исходящая нагрузка к ССОП1 (TGW1), Эрл
|
|
|
|
|
Исходящая нагрузка к ССОП2 (TGW2), Эрл
|
|
|
|
|
Исходящая нагрузка к ССОП3 (TGW3), Эрл
|
|
|
|
|
Исходящая нагрузка, Эрл
|
2160
|
877
|
1358
|
Изобразим распределение нагрузок на резидентных шлюзах доступа (Рис.
3.1).
Рис. 3.1 Распределение нагрузки на резидентные шлюзы
Учтём, что в шлюзе используется компрессия при передаче информации,
применяемая для экономии ресурсов транспортной сети. Тогда при применении
кодека типа m в шлюзе доступа расчет объема транспортного ресурса
пакетной сети для доставки информации
пользователей выполняется по формуле:
- коэффициент избыточности, который рассчитывается как
отношение общей длины кадара к размеру кадра и зависит от используемого кодека;
- внешняя нагрузка абонентов, подключенных к шлюзу, Эрл;
- скорость выходного потока кодека, кбит/с.
По условию для сжатия применяется кодек G.729, его коэффициент
избыточности:
Формула для расчёта транспортного ресурса пакетной сети для доставки
информации пользователей примет вид:
Тогда транспортный ресурс для передачи пользовательской информации
шлюзами RAGW1, RAGW2 и RAGW3 равен:
Общий транспортный ресурс шлюзов для передачи пользовательской и
сигнальной информации рассчитаем по формуле:
- пользовательский транспортный ресурс;
- транспортный ресурс для передачи сигнальной информации
абонентов PSTN;
- транспортный ресурс для передачи сигнальной информации
абонентов ISDN;
- транспортный ресурс для передачи сигнальной информации
абонентов сетей доступа (AN);
- транспортный ресурс для передачи сигнальной информации
абонентов PBX;
- транспортный ресурс для передачи сигнальной информации
абонентов LAN;
- транспортный ресурс для обмена сообщениями MGCP,
используемого для управления шлюзом.
Транспортный ресурс для передачи сигнальной информации от различных
абонентов рассчитывается по формулам:
- коэффициент использования транспортного ресурса при передаче
сигнальной нагрузки.
, что соответствует нагрузке в 0,2 Эрл;
- удельная интенсивность вызовов от абонентов, использующих
доступ по аналоговой телефонной линии в ЧНН;
- удельная интенсивность вызовов от абонентов, использующих
доступ по базовому доступу ISDN в ЧНН;
- удельная интенсивность вызовов от абонентов, подключаемых к
пакетной сети через сети доступа интерфейса V5 в ЧНН;
- удельная интенсивность вызовов от УПАТС, подключаемых к
пакетной сети;
- удельная интенсивность вызовов от абонентов LAN,
использующих терминалы SIP/H.323;
- средняя длина сообщения (в байтах) протокола MEGACO,
используемого при передаче информации сигнализации по абонентским линиям;
- среднее количество сообщений протокола MEGACO при
обслуживании вызова;
- средняя длина сообщения (в байтах) протокола IUA;
- среднее количество сообщений протокола IUA при обслуживании
вызова;
- средняя длина сообщения (в байтах) протокола V5UA;
- среднее количество сообщений протокола V5UA при обслуживании
вызова;
- средняя длина сообщения (в байтах)
протоколов SIP/H.323;
- среднее количество сообщений протоколов SIP/H.323 при
обслуживании вызовов;
- результат приведения размерностей “байт в час” к “бит в
секунду”
Примем, что средняя длина сообщений сигнализации равна 50 байт, а среднее
количество сообщений в процессе обслуживания вызова равно 10.
Транспортный ресурс для передачи сигнальной информации от
различных абонентов RAGW2:
Транспортный ресурс для передачи сигнальной информации от
различных абонентов RAGW3:
В каждом шлюзе должен быть предусмотрен транспортный ресурс для обмена
сообщениями протокола MGCP, используемого для управления шлюзом, который
определяется формулой:
Транспортный ресурс для обмена сообщениями протокола MGCP,
используемого для управления шлюзом RAGW1:
Транспортный ресурс для обмена сообщениями протокола MGCP,
используемого для управления шлюзом RAGW2:
Транспортный ресурс для обмена сообщениями протокола MGCP,
используемого для управления шлюзом RAGW3:
Сведём полученные значения транспортных ресурсов в таблицу (таблица
3.3)
Таблица 3.3 Транспортный ресурс
|
Номер шлюза Транспортный ресурс
|
RAGW1
|
RAGW2
|
RAGW3
|
|
Транспортный ресурс для передачи пользовательской
информации, мбит/с
|
 47,9
|
|
|
|
транспортный ресурс для передачи сигнальной
информации абонентов PSTN, мбит/с
|
 0,55
|
|
|
|
транспортный ресурс для передачи сигнальной
информации абонентов ISDN, мбит/с
|
0,053
|
0.044
|
0,022
|
|
транспортный ресурс для передачи сигнальной
информации абонентов сетей доступа, мбит/с
|
0,32
|
0,8
|
1,49
|
|
транспортный ресурс для передачи сигнальной
информации абонентов PBX, мбит/с
|
3,2
|
0,1
|
0,53
|
|
транспортный ресурс для передачи сигнальной
информации абонентов LAN, мбит/с
|
0,11
|
--
|
0,66
|
|
транспортный ресурс для обмена сообщениями MGCP, используемого
для управления шлюзом, М=мбит/с
|
5,24
|
2,06
|
3,27
|
|
Общий транспортный ресурс, мбит/с
|
66,873
|
40,004
|
54,422
|
Общий транспортный ресурс шлюзов для передачи
пользовательской и сигнальной информации RAGW1:
Общий транспортный ресурс шлюзов для передачи
пользовательской и сигнальной информации RAGW2:
Общий транспортный ресурс шлюзов для передачи
пользовательской и сигнальной информации RAGW3:
Переведём полученный транспортный ресурс в число потоков E1(V=2,048
Мбит/с) :
4. Расчет производительности
коммутаторов транспортной сети
Нагрузка, создаваемая пользователями резидентных шлюзов на TGW1, TGW2,
TGW3 для выхода к абонентам существующих ССОП, равна:
Найдем количество требуемых трактов типа E1 (
) для связи существующих ССОП с
каждым резидентным шлюзом:
- удельная нагрузка одного канала типа
(
)
При этом учтём условие равенства входящей и исходящей нагрузки:
Количество требуемых трактов типа E1 для соединения ССОП1 с
RAGW1:
Количество требуемых трактов типа E1 для соединения ССОП1 с
RAGW2:
Количество требуемых трактов типа E1 для соединения ССОП1 с
RAGW3:
Общее количество трактов E1 для подключения ССОП1 к
транспортной сети:
Количество требуемых трактов типа E1 для соединения ССОП2 с
RAGW1:
Количество требуемых трактов типа E1 для соединения ССОП2 с
RAGW2:
Количество требуемых трактов типа E1 для соединения ССОП2 с
RAGW2:
Общее количество трактов E1 для подключения ССОП2 к
транспортной сети:
Количество требуемых трактов типа E1 для соединения ССОП3 с
RAGW1:
Количество требуемых трактов типа E1
для соединения ССОП3 с RAGW2:
Количество требуемых трактов типа E1 для соединения ССОП3 с
RAGW3:
Общее количество трактов E1 для подключения ССОП3 к
транспортной сети:
Для обслуживания нагрузки, создаваемой пользователями резидентных шлюзов на TGW1, TGW2,
TGW3 требуется транспортный ресурс (при использовании только кодека типа
G.729):
Примем условие равенства исходящей (от транспортной сети к
существующей ССОП) и входящей (от существующей ССОП к транспортной пакетной
сети) нагрузки. При этом условии объем транспортного ресурса пакетной сети для TGW
рассчитаем по формуле:
Здесь
выбрано из предположения, что в каждой ССОП 7650
абонентов:
Минимальную суммарную производительность коммутаторов транспортной сети
для обслуживания всех потоков RAGW и TGW находим по формуле:
- доля потока пользовательской информации,
замыкающегося на уровне m-го шлюза доступа;
- номер шлюза;
- доля потока пользовательской информации,
поступающего в пакетную сеть;
- средняя длина пакета IP, используемого при
передаче пользовательской и сигнальной информации в пакетной сети;
- количество шлюзов, подключаемых к транспортной
пакетной сети.
Принимая условие отсутствия собственного коммутатора в используемых
шлюзах (
) и длины пакета
, находим необходимую
производительность (
) коммутаторов транспортной сети для обслуживания всех шлюзов
по формуле:
В этой формуле
- минимальный полезный транспортный ресурс, которым SX
должен подключаться к пакетной сети, который определяется как:
Таким образом, необходимая производительность коммутаторов транспортной сети
для обслуживания всех шлюзов:
5. Расчёт производительности
Softswitch
Основные функциями Softswitch состоят в обработке сигнальной информации при
обслуживании вызовов и управлении установлением соединений в шлюзах. Требования
к производительности Softswitch определяются интенсивностью вызовов, требующих
обработки.
Скорость в интерфейсе «Softswitch - SW 1» для обслуживания пользователей
RAGW рассчитаем по формуле, в которой учтены значения интенсивностей вызовов,
количества и средней длины сигнальных сообщений в процессе обслуживания вызова:
При расчете производительности Softswitch, который обслуживает
пользователей пакетной сети, используем формулу:
- общая интенсивность вызовов, поступающих на softswitch от
пользователей проектируемой пакетной сети;
- количество шлюзов доступа, обслуживаемых Softswitch;
- количество интерфейсов типа V5;
- количество PBX.
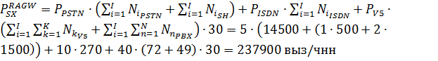
Получим значение производительности Softswitch, обслуживающего
пользователей пакетной сети:
При расчете производительности Softswitch, который обслуживает TGW,
используем формулу:
- количество трактов типа E1 для подключения ССОП к
транспортной сети;
- количество ССОП.
Производительности Softswitch для обслуживания TGW:
Требуемая минимальная производительность Softswitch для обслуживания всех
шлюзов проектируемой сети:
Сведем результаты расчета транспортного ресурса, требуемого для
обслуживания объектов проектируемой сети, в таблицу 5.1.
Таблица 5.1. Транспортный ресурс, требуемый для обслуживания
объектов проектируемой сети
|
Объект сети
|
Необходимый ресурс, мбит/с
|
|
RAGW1
|
66,873
|
|
RAGW2
|
40,004
|
|
RAGW3
|
54,422
|
|
TGW1
|
73,54
|
|
TGW2
|
57,68
|
|
TGW3
|
45,47
|
|
SX
|
20,81
|
В таблицу 5.2 сведем результаты расчета производительности
Softswitch.
Таблица 5.2. Результаты расчета производительности Softswitch
|
Объект сети
|
Производительность Softswitch выз/чнн
|
|
|
|
|
|
|
|
|
|
В таблицу 5.3 сведем результаты расчета нагрузки взаимодействующих
объектов проектируемой сети.
Таблица 5.3. Нагрузка взаимодействующих объектов
проектируемой сети
|
Взаимодействующие объекты
|
Нагрузка, Эрл
|
|
RAGW1 « RAGW1
|
1058,4
|
|
RAGW1 ® RAGW2
|
198,288
|
|
RAGW1 ® RAGW3
|
242,352
|
|
RAGW2 « RAGW2
|
175,4
|
|
RAGW2 ® RAGW1
|
165,58
|
|
RAGW2 ® RAGW3
|
115,06
|
|
RAGW3 « RAGW3
|
420,98
|
|
RAGW3 ® RAGW1
|
236,13
|
|
RAGW3 ® RAGW2
|
138,68
|
|
RAGW1 « TGW1
|
274,4
|
|
RAGW1 « TGW2
|
220,32
|
|
RAGW1 « TGW3
|
165,24
|
|
RAGW2 « TGW1
|
175,4
|
|
RAGW2 « TGW2
|
140,32
|
|
RAGW2 « TGW3
|
105,24
|
|
RAGW3 « TGW1
|
234,25
|
|
RAGW3 « TGW2
|
187,404
|
|
RAGW3 « TGW3
|
140,553
|
Заключение
В результате выполнения курсового проекта спроектирована мультисервисная
сеть на базе концепции NGN. При этом были определены: распределение нагрузки
между узлами сети, транспортный ресурс подключения шлюзов к пакетной сети,
необходимая производительность Softswitch, производительность коммутаторов
транспортной сети. Кроме того, была разработана структурная схема проектируемой
сети.
По полученным результатам можно сделать вывод, что сети NGN помогают
обеспечить различным группам пользователей (домашним, корпоративным) с
разнообразным оконечным оборудованием (телефонными аппаратами ТфОП, УПАТС,
SIP-телефонами, ПК, и т.д.) доступ к огромному набору инфокоммуникационных
услуг (VoIP, Интернет, VPN, IPTV и др.). К преимуществам сетей NGN относится
высокая скорость передачи данных, надежность, гибкость, масштабируемость сети и
резервирование полосы пропускания. Такие сети строятся на основе международных
стандартов и предоставляют доступ по общепринятым интерфейсам (таким, как
Ethernet). Они поддерживают традиционные сетевые технологии, множество
протоколов и большой набор услуг.
Список
литературы
1. Методические
указания по проектированию сетей NGN.
. Семёнов
Ю.В., Проектирование сетей связи следующего поколения. - Спб.: Наука и
Техника,2005.
. http://portal-ngn.ru
- Портал платформы сетей следующего поколения