Энергообеспечение населенного пункта со свиноводческим комплексом на 1000 голов свиней
МИНИСТЕРСТВО СЕЛЬСКОГО ХОЗЯЙСТВА
РОССИЙСКОЙ ФЕДЕРАЦИИ
ФЕДЕРАЛЬНОЕ ГОСУДАРСТВЕННОЕ БЮДЖЕТНОЕ
ОБРАЗОВАТЕЛЬНОЕ УЧРЕЖДЕНИЕ ВЫСШЕГО ПРОФЕССИОНАЛЬНОГО ОБРАЗОВАНИЯ
«СМОЛЕНСКАЯ ГОСУДАРСТВЕННАЯ
СЕЛЬСКОХОЗЯЙСТВЕННАЯ АКАДЕМИЯ»
Кафедра механизации
Инженерно-технологический факультет
Курсовая работа
по дисциплине: « Энергетические
средства в с/х производстве»
на тему: «Энергообеспечение
населенного пункта со свиноводческим комплексом на 1000 голов свиней»
Выполнил:
студент инженерно-технологического
факультета 45 группы
Миненков А.В.
Проверил: Никифоров А.Г.
Смоленск 2014
Содержание
Введение
. Технологические требования к строительным решениям основных
производственных зданий и сооружений
. Определение тепловых потерь дома
. Определение тепловых потерь свинокомплекса
. Определение тепловых потерь ограждения свинарника
. Определение тепловых потерь поселка
. Выбор тепловой схемы котельной и схемы тепловых сетей
Приложение
Введение
Энергетика является ведущей отраслью современного индустриально развитого
народного хозяйства страны. Понятием энергетики охватывается широкий круг
установок для производства, транспорта и использования электрической и тепловой
энергии, энергии сжатых газов и других энергоносителей.
Тепловое потребление - одна из основных статей топливно-энергетического
баланса нашей страны. На удовлетворение тепловой нагрузки страны расходуется
ежегодно более 600 млн. т. условного топлива, т.е. около 30 % всех используемых
первичных топливно-энергетических ресурсов. Значительная часть тепла производится
в районных, квартальных и более мелких котельных. Кроме того, старение
теплогенерирующих мощностей и возрастающие потери рабочего тела в теплосетях
приводит к неоправданно высоким издержкам в ЖКХ и высокой стоимости
энергоресурсов.
Тепловое хозяйство России в течение длительного периода развивается по
пути концентрации тепловых нагрузок, централизации теплоснабжения и
комбинированной выработки тепловой и электрической энергии.
Широкое развитие получила теплофикация, являющаяся наиболее рациональным
методом использования топливных ресурсов для тепло- и электроснабжения.
Развитие теплофикации способствует решению многих важных
народнохозяйственных и социальных проблем таких, как повышение тепловой и общей
экономичности электроэнергетического производства, обеспечение экономичного и
качественного теплоснабжения жилищно-коммунальных и промышленных комплексов,
улучшение экологической обстановки в городах и промышленных районах, снижение
трудозатрат в тепловом хозяйстве.
Наряду с теплофикацией используется теплоснабжение от экономичных
котельных установок, а также от тепло-утилизационных промышленных установок.
Каждый из этих источников теплоснабжения имеет свою область экономически
целесообразного применения.
В системах централизованного теплоснабжения по тепловым сетям подается
теплота различным тепловым потребителям. Несмотря на значительное разнообразие
тепловой нагрузки, ее можно разбить на две группы по характеру протекания во
времени:
) сезонная;
) круглогодичная.
Изменения сезонной нагрузки зависят главным образом от климатических
условий:
температуры наружного воздуха,
направления и скорости ветра,
солнечного излучения, влажности воздуха и т.п.
Основную роль играет наружная температура.
1. Технологические требования к строительным решениям основных
производственных зданий и сооружений
Строительные конструкции зданий и сооружений свиноводческих предприятий
должны быть достаточно прочными, долговечными, огнестойкими и экономичными.
Здания для содержания свиней следует проектировать, как правило, одноэтажными
прямоугольной формы в плане с пролетами одинаковой ширины и высоты. По
габаритам здания должны отвечать требованиям технологического процесса.
Рекомендуемая ширина зданий - до 18,0 м.
Многоэтажные и широкогабаритные здания /шириной более 18,0 м/ допускается
проектировать только после рассмотрения и утверждения экспертными органами
технико-экономического расчета эффективности данного решения и согласования с
органами Государственного надзора.
В помещениях для содержания животных необходимо обеспечивать параметры
внутреннего воздуха в соответствии с требованиями настоящих норм.
Строительные конструкции стен, перегородок, перекрытий, покрытия и полов
должны быть устойчивыми к воздействию дезинфицирующих веществ и к повышению
влажности, не выделять вредных веществ, а антикоррозийные и отделочные покрытия
быть безвредными.
Полы должны быть нескользкими, трудноистираемыми, водонепроницаемыми,
беспустотными и малотеплопроводными, стойкими против воздействия сточной
жидкости и дезинфицирующих веществ, не выделять вредных веществ.
В местах содержания поросят допускается устройство несгораемых полов с
пустотами для воздушного обогрева пола.
Лоток теплоты от лежащих животных в пол /средний за первые 2 ч контакта/,
не должен превышать следующих значений:
для свиней на откорме - 200 Вт/м2 /170 ккал/м2×ч/
для остальных групп - 170 Вт/м2 /145 ккал/м2×ч/.
Показатель теплоусвоения щелевых полов для содержания животных на
подстилке не нормируется.
Входы в здания в районах с расчетной температурой наружного воздуха ниже минус
20 °С, а также в районах с сильными
ветрами делают с тамбурами. Тамбуры должны иметь ширину на 100 см более ширины
ворот и дверей и глубиной на 50 см более ширины полотнища. Ширина полотен ворот
и дверей принимается с превышением габаритных размеров транспортных средств не
менее, чем на 40 см.
В районах с перепадами расчетных температур внутреннего и наружного
воздуха в холодный период года более 25 °С окна свинарников должны иметь двойное остекление. Не менее
половины окон делают с открывающимися створками. Высоту от пола до низа окон
принимают не менее 120 см.
Внутренняя высота помещений для содержания свиней должна быть не менее
240 см от пола до низа выступающих конструкций покрытий /перекрытия/ и не менее
2 м до низа технологического оборудования в проходах.
Нормы площадей и размеры основных технологических элементов зданий,
сооружений и помещений
Нормы
площадей и размеры технологических элементов помещений основного назначения
/для непосредственного содержания свиней/ принимают по табл. <#"723428.files/image001.gif">
· 1. тамбур/прихожая-4,5 м²
· 2. Коридор-6,5 м²
· 3. Котельная-4,4 м²
· 4. Кухня-8,9 м²
· 5. Гостиная-23,9 м²
· 6. Спальня-10,1 м²
· 7. Спальня-14,9 м²
· 8. Ванная-6,0 м²
· 9. Террасa-8,7 м
· Сумма-126,3 м²
Фасады дома
Таблица 2. -Исходные данные для определения тепловых потерь
|
Поверхности
|
Материалы
|
δ,мм
|
λ,Вт/м∙к
|
|
Стены
|
Газобетоные блоки Кирпич
Гипсокартон
|
350 150 15
|
0.12 0.44 0.35
|
|
Утеплитель стен
|
Пенопласт ПС-1
|
50
|
0.037
|
|
Пол
|
Бетон на песке Плитка
напольная термоизоляционная
|
150 15
|
0.7 0.036
|
|
Окна
|
Стекло
|
5
|
1.15
|
|
Потолок
|
Хвойная доска
|
50
|
0.15
|
|
Двери
|
Доска тверд. пород
|
50
|
0.2
|
Влажностный режим помещения нормальный, относительная влажность воздуха в
помещении 50-60%. Температура внутри помещения равна (220С), а наружная
(-260С). Термическое сопротивление при теплопроводности поверхностей: Rвн=0.115 м2К/Вт; Rн=0,043 м2К/Вт.
Определяем площади поверхностей:
стены Fст= (10,1+12,5)∙2,8·2=126,6 м2
окна Fок =(1,3*1,5*4)+(0,8*1,5)= 8 м2
двери Fдв =2·1·2=4 м2
пол Fпол =74,8 м2
потолок Fпот =74,8 м2
стены без окон и дверей Fст=126,6-(8+4)=114,6
м2
1) Стены:
Термическое сопротивление стен:
Rст=Rвн+δг.б./λг.б.+δкир./λкир.+δгипс./λгипс.+δпен./λпен..+Rн=
=0.115+0.35/0.12+0.15/0.44+0.015/0.35+0.05/0.037+0.043=3.96 м2К/Вт,
где λ-коэффициент теплопроводности, Вт/м·К
δ-ширина материала, м
Тепловые потери стен
Qст=(tвн-tн)/Rст·Fст=(22-(-26))/3.96·114,6 =1389 Вт
Добавляем 15% к потерям, т.к. наружные вертикальные и наклонные стены,
обращены на север, восток, северо-восток и северо-запад, тогда
Qст=1389+208=1597
Вт
) Окна:
Термическое сопротивление окон
Rок=Rвн+R2-го стеклопак.+ Rн=0.115+0.44+0.043=0.598 м2К/Вт
Тепловые потери окон:
Qок=(tвн-tн)/Rок·Fок=(22+26)/0.598·8=642 Вт
Добавляем 15% к потерям, т.к. окна обращены на север, восток,
северо-восток и северо-запад, тогда
Qок=642+96,3=738,3
Вт
) Двери:
Термическое сопротивление дверей
Rдв=Rвн+δд./ λд.+Rн=0.115+0.05/0.2+0.043=0.408 м2К/Вт
Тепловые потери дверей
Qдв.1=(tвн-tн)/Rдв·Fдв=(22+26)/0.408·4= 470,6 Вт
4) Пол:
Термическое сопротивление пола
Ryп=Rну+δб./ λб+ δп./ λп.+Rн=0.115+0.15/0.7+0.015/0.036+0.043=0.917 м2К/Вт
Ry1=2.15
м2К/Вт ; Ry2=4,3 м2К/Вт ; Ry3=8,6 м2К/Вт ; Ry4=14,2 м2К/Вт
Ry1=0,917+2.15=3,06
м2К/Вт
Ry2=0,917+4,3=5,21
м2К/Вт
Ry3=0,917+8,6=9,51
м2К/Вт
Ry4=0,917+14,2=
15,11 м2К/Вт
Тепловые потери пола
Qпол..=(tвн-tн)/Rпол·Fпол
Qпол1..=(tвн-tн)/Rпол·Fпол =(22-(-26))/3,06*82,4=1292 Вт
Qпол2..=(tвн-tн)/Rпол·Fпол =(22-(-26))/5,21*66,4=611,7 Вт
Qпол3..=(tвн-tн)/Rпол·Fпол =(22-(-26))/9,51*48,8=246,3 Вт
Qпол.полное.=
Qпол1+ Qпол2+ Qпол=
1292+611,7+246,3=2150
) Потолок:
Термическое сопротивление потолка
Rпот=Rвн+δд./ λд.+Rн=0.115+0.05/0.15+0.086=1.124 м2К/Вт
Тепловые потери потолка
Qпот..=(tвн-tн)/Rпот.·Fпот.=(22+26)/1.124·126=5380,8 Вт
Тепловые потери дома составляют:
Q=Qст+Qок+Qдв+Qпол+Qпот=1597+738,3+470,6+2150+5380=10,3 кВт
. Определение тепловых потерь свинокомплекса
Свинарник рассчитан на 1000 голов, размер 95×20 м, окон 40 размером 1.2×0.8
м.
количество поросят 1000
влажность φн=0.8 и φвн=0.7,
температура tн=-260С и tвн=180С,
объем помещения V=95×20×3=5700 м3
Количество выделяемого воздуха в расчете на одну голову:
свободного тепла 271Вт,
углекислоты 48,9 л/ч,
водяных паров 155 л/ч.
1) Рассчитаем часовой объем приточного воздуха, необходимого для
понижения концентрации углекислоты :
Lco2 = (nж*Cж)/(C1-C2) =
(1000*48,9)/(2-0,3)=28764 м3/ч
где
Lсо2 - часовой
объем вентиляции, т.е. количество чистого воздуха, выраженное в кубометрах
(м3/ч),
- количество животных;
-
количество углекислоты, выделяемое одним животным, л/ч;
-
предельнодопустимая концентрация углекислоты в помещении,
;
-
концентрация углекислоты в атмосферном воздухе, равная 0,3
;
2)Рассчитаем воздухообмен, обеспечивающий допустимое содержание в воздухе
водяных паров:
Lw=W/(ρ(dвн - dн)),
где
W-влаговыделение,
г/ч
ρ-плотность воздуха равна 1.2 кг/м3
dвн-
внутреннее влагосодержание воздуха равно 9.4 г/кг сух.возд.
dн-
наружное влагосодержание воздуха равно 0.4 г/кг сух.возд.
Влаговыделения в животноводческих помещениях находят по формуле:
=
100750+20150=120900 г/ч
Влагу, выделяемую животными определяют по формуле:
Wж=155*1000=155000 г/ч
где
-
выделение влаги одним животным данного вида, г/ч;
- число
животных данного вида в помещении;
тогда
W=
100750+20150=120900 г/ч
Рассчитав все необходимые значения, определим воздухообмен,
обеспечивающий допустимое содержание в воздухе водяных паров: Lw=186000/(1.2(9.4-0.4))=17222 м3/ч
Влага, испаряющаяся с мокрых поверхностей помещения(пола, поилки,
кормушки и т.д.).
Wисп=0,2*155000=31000
г/ч
где
0,1...0,3
- для свинарников.
Выбор вентилятора производится по расходу и по напору.
n=Lco2/V=28764/4200=6,8≈7
Рассчитываем по со2 , т.к.его выброс больше , чем влаговыделение.
) Расчет шахты:
Принимаем высоту h=3м
Скорость в шахте
Vш=2.2
√h(tвн-tн)/273=2.2√3(18+26)/273=0,7
м/с
Принимаем шахту размером 0.6×0.6=0.36 м2
Суммарная площадь шахт
Fш=Lсо2/(3600·Vш)= 28764/(3600·0,7)=11,4 м2
Число шахт N=Fш/0.36=11,4/0,36≈32 шахты.
. Определение тепловых потерь ограждения свинарника
Исходные данные для определения тепловых потерь таблица 2
|
Поверхности
|
Материалы
|
δ,мм
|
λ,Вт/м∙к
|
|
Стены
|
Сплошной кирпич
|
250
|
0,6
|
|
Утеплитель стен
|
Пенопласт ПС-1
|
50
|
0.037
|
|
Пол
|
Бетон на гравии Хвойная
доска
|
150 60
|
2.04 0.17
|
|
Окна
|
Стекло
|
5
|
0,345
|
|
Потолок
|
Хвойная доска Опилки
|
40 100
|
0.17 0.095
|
|
Двери
|
Доска тверд. пород
|
50
|
0.2
|
Определяем площади поверхностей:
стены Fст= (95+20)∙3·2=690 м2
окна Fок =40·1.2·0.8=38,4 м2
двери Fдв =4·3·2=24 м2
пол Fпол =94,4·19,4=1831 м2
потолок Fпот =94,4·19,4=1831 м2
стены без окон и дверей Fст=690-(38,4+24)=624
м2
Масса животного на 1 м2 пола 1000·150/1831=81,9 кг/м2. Так как масса
приходится на 1 м2 меньше 80 кг/м2, то Rвн=0.115 м2К/Вт.
1) Стены:
Термическое сопротивление стен
Rст=Rвн.+ δкирп./ λкирп.+ δпен./ λпен.+Rн =0.115+0.25/0.6+0.05/0.037+0.043=1,9 м2К/Вт
λ-коэффициент теплопроводности, Вт/м·К
δ-ширина материала, м
Тепловые потери стен
котельная тепловой потеря
здание
Qст=(tвн-tн)/Rст·Fст=(18-(-26))/1,9·690=15978 Вт
Добавляем 15% к потерям, т.к. наружные вертикальные стены, обращены на
север, юг, запад и восток
Qст=15978+2396=18374
Вт
) Окна:
Термическое сопротивление окон
Rок=Rвн+R2-го стеклопак.+ Rн=0.115+0,345+0.043=0.503 м2К/Вт
Тепловые потери окон:
Qок=(tвн-tн)/Rок·Fок=(18+26)/0.503·38,4=3359 Вт
Добавляем 15% к потерям, т.к. наружные вертикальные стены, обращены на
север, юг, запад и восток
Qок=3360+503=3863
Вт
) Двери:
Термическое сопротивление дверей
Rдв=Rвн+δд./ λд.+ Rн=0.115+0,05/0,2+0.043=0.45 м2К/Вт
Тепловые потери дверей
Qдв.=(tвн-tн)/Rдв·Fдв=(18+26)/0.45·24=2346 Вт
4) Потолок:
Термическое сопротивление потолка
Rпот=Rвн+δд./ λд.+ δопил./ λопил.+Rн = =0.115+0.04/0.176+0.1/0.095+0.086=1.5м2К/Вт
Тепловые потери потолка
Qпот..=(tвн-tн)/Rпот.·Fпот.=(18+26)/1.5·1831=85733 Вт
) пол:
Разобьем площадь пола на четыре зоны F1 F2 F3F4
F1=(95·2)·2+(16·2)·2=444
м2
F2=(91·2)·2+(12·2)·2=412
м2
F3=(87*2)*2+(8*2)*2=372
м2
F4=Fобщ-(F1+F2+ F3)=1900-1228=672 м2
Термическое сопротивление пола
Rу= Rу+Σδ/λ,
м2 К/Вт
Rу1=2.15,
Rу2=4.3, Rу3=8.6 м2К/Вт Ry4=14,2
м2К/Вт
Rу1=2.15+0.15/2.04+0.06/0.17+0.115=2.15+0.541=2.69
м2К/Вт
Rу2=4.3+0.541=4.84
м2К/Вт
Rу3=8.6+0.541=9.14
м2К/Вт
Rу4=14.2+0.541=14.74
м2К/Вт
Qпол.=(tвн-tн)/Rпол.·Fпол.,Вт
Qпол.1=44/2.69·444=7262
Вт
Qпол.2=44/4.84·412=3745Вт
Qпол.3=44/9.14·372=1790
Вт
Qпол.4=44/14.2·672=2082Вт
Qпол.=7262+3745+1790+2082=44879
Вт
Тепловые потери ограждения составляют:
Qогр=Qст +Qок +Qдв +Qпот +Qпол=15978+3359+2346+85733+44879=152295 Вт
Общие тепловые потери свинарника:
Qсвинарника=Qогр.+Qв.+Qисп.-Qж.=
152295+422209+34720-281000=328224кВт
Qв=0.278·L·ρ·Cp·(tвн-tн)=0.278·28764*1.2·1·44=422209Вт
Qисп=0.692·Wисп *2,49=0.692·2,49*20150=34720 Вт
Qж=Σqi·ni=1000·281=281000 Bт
L -
расчетный воздухообмен помещения, м/ч
ρ -плотность наружного воздуха при tн, кг/м
Qогр-
тепловые потери ограждений
Qв -
тепловые потери на вентиляцию
Qисп -
тепловые потери на испарение влаги
. Определение тепловых потерь поселка
|
Наименование
|
tвн, C
|
V,м3
|
Q,кВт
|
|
Школа 52×45×20
Магазин 20×20×3 Мастерская 50×30×5 Ферма 95×20×4
Жилые 1-эт здания (18) 6×9×2,5 Почта 20×20×3 Жилые 1-эт здания(16) 10,1x12,5x3
|
16 15 10 18 22 18 22
|
7750 1200 7500 7600 125
1200 379
|
140 23,4 24,62 146,1 130
28,5 17
|
Расчет теплопотерь поселка делаем по укрупненному расчету.
Потери частных жилых домов(Старых)
Приказ госстроя РФ от 06.05.2000 n 105 "об утверждении методики
определения количеств тепловой энергии и теплоносителей в водяных системах
коммунального теплоснабжения"
Qд.1=q·V·(tвн-tн)·α/3600=(3,43·125·(22+26)·1.08)/3600=6,5 кВт
Объем одного дома V=125
м3, а домов в поселке 18
Qд.=6,5·18=117
кВт.
.Тепловые потери свинарника.
Qсвинарника=Qст +Qок +Qдв +Qпот +Qпол=18374+3863+2346+85733+44879=155195 Вт = 155,6 кВт
. Потери частных жилых домов(Новых)
Тепловые потери дома составляют:
Q=Qст+Qок+Qдв+Qпол+Qпот=1597+738,3+470,6+2150+5380=10,3 кВт
Домов в поселке 16, значит Qд.=
10,3*16=164,8 кВт.
.Тепловые потери магазина
Qм.=q·V·(tвн-tн)·α/3600=(1.59·1200·(15+26)·1.08)/3600=23,4 кВт
V=20*20*3=1200
м3
.Тепловые потери школы
Qш.=q·V·(tвн-tн)·α/3600=(1.42·7750·(16+26)·1.08)/3600=140 кВт
V=(30*30*5)+(65*20*2.5)=7750
м3
6.Тепловые потери почты
Qп.=q·V·(tвн-tн)·α/3600=(1.8·1200·(18+26)·1.08)/3600=28,5
кВт
V=20*20*3=1200
м3
.Тепловые потери детского сада
Qд.сад=q·V·(tвн-tн)·α/3600=(2,18·2250·(20+26)·1,08)/3600=67,7
кВт
Наружный строительный объем V=25*15*6=2250 м3
.Тепловые потери мастерской
Qмаст..=q·V·(tвн-tн)·α/3600=(1.9·1200·(10+26)·1.08)/3600=24.62
кВт
V=50*30*5=7500
м3
Тепловые потери поселка
Qпоселка=
Qд+ Qсвинар+ Qд+ Qм+ Qш+Qмас+Qд.сад +Qп=
=117+67,7 +155,6 +164,8 +23,4+24,62 +140+28,5 =721 кВт
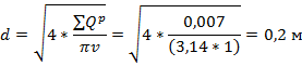
Расчет мощности насоса
Рассчитаем мощность насоса, который необходим для циркуляции воды в
системе отопления.
Мощность насоса определим по формуле:
где ρ- плотность воды 1000 кг/м3 ;
Н=hтр- напор воды м;

- расход
воды м3/с;
N - мощность
насоса Вт.
g- ускорение
свободного падения.
Определим
диаметр трубопровода:
где
v=1…1,5 м/с - экономичная скорость.
Qp=ΣQ/(C*ρ*Δt)=721/(4190*1000*25)=0,007 м3/с
ΣQ-суммарное
потребление тепла поселком Вт.
С-
удельная теплоемкость воды Дж/кг.
Δt-разность температур на входе и на выходе оС.
Суммарная
протяженность труб от ЦТП (прямая и обратная) 2736 м

2736/0,2*1/(2*9,81)=14,4
м
Определяем
мощность насоса
. Выбор тепловой схемы котельной и схемы тепловых сетей
Мощность котельной составляет 1,5 МВт. Установим котел Термотехник, а
именно ТТ-100 с единичной теплопроизводительностью 2 МВт.
|
Показатели
|
ТТ-100
|
|
Тепловая мощность, кВт
|
2000
|
|
Давление воды, МПа
|
0,6
|
|
Температура воды на выходе,
°С
|
До 115
|
|
Расчетное топливо
|
газ/дизель/мазут
|
|
КПД, %
|
От 92
|
|
Габариты (LxBxH), м
|
3,5 х 1,74 х 2,07
|
|
Масса котла, кг
|
5 240
|
Приложение
Таблица 1. - Расчетная температура воздуха в отапливаемых зданиях
|
Наименование здания
|
Расчетная температура
воздуха в здании t 0C
|
|
Жилое здание
|
18
|
|
Гостиница, общежитие,
административное
|
18 - 20
|
|
Детский сад, ясли,
поликлиника, амбулатория, диспансер, больница
|
20
|
|
Высшее, среднее специальное
учебное заведение, школа, школа - интернат предприятие общественного питания,
клуб
|
16
|
|
Театр, магазин, пожарное
депо
|
15
|
|
Кинотеатр
|
14
|
|
Гараж
|
10
|
|
Баня
|
25
|
Таблица
2. - Поправочный коэффициент
для
жилых зданий
|
tнр 0С
|
0
|
-5
|
-10
|
-15
|
-20
|
-25
|
-30
|
-35
|
-40
|
-45
|
-50
|
-55
|
|
2,051,671,451,291,171,0810,950,90,850,820,8
|
|
|
|
|
|
|
|
|
|
|
|
|
Таблица 3. - Удельная отопительная характеристика жилых зданий
|
Наружный строительный
объем, V, м3
|
Удельная отопительная
характеристика q0 , ккал/(м3 ч К) / кДж/(м3 ч К)
|
Наружный строительный
объем, V, м3
|
Удельная отопительная
характеристика q0 , ккал/(м3 ч К) / кДж/(м3 ч К)
|
|
Постройка до 1958 г.
|
Постройка после 1958 г.
|
|
Постройка до 1958 г.
|
Постройка после 1958 г.
|
|
100
|
0,74 (3,1)
|
0,92 (3,85)
|
4000
|
0,4 (1,67)
|
0,47(1,97)
|
|
200
|
0,66 (2,76)
|
0,82 (3,43)
|
4500
|
0,39 (1,63)
|
0,46 (1,93)
|
|
300
|
0,62 (2,6)
|
0,78 (3,27)
|
5000
|
0,38 (1,59)
|
0,45 (1,88)
|
|
400
|
0,6 (2,51)
|
0,74 (3,1)
|
6000
|
0,37 (1,55)
|
0,43 (1,8)
|
|
500
|
0,58 (2,43)
|
0,71 (2,97)
|
7000
|
0,36 (1,51)
|
0,42 (1,76)
|
|
600
|
0,56 (2,34)
|
0,69 (2,89)
|
8000
|
0,35 (1,46)
|
0,41 (1,72)
|
|
700
|
0,54 (2,26)
|
0,68 (2,85)
|
9000
|
0,34 (1,42)
|
0,4 (1,67)
|
|
800
|
0,53 (2,22)
|
0,67 (2,8)
|
10000
|
0,33 (1,38)
|
0,39(1,63)
|
|
900
|
0,52 (2,18)
|
0,66 (2,76)
|
11000
|
0,32 (1,34)
|
0,38 (1,59)
|
|
1000
|
0,51 (2,14)
|
0,65 (2,72)
|
12000
|
0,31 (1,31)
|
0,38 (1,59)
|
|
1100
|
0,5 (2,09)
|
0,62 (2,6)
|
13000
|
0,3 (1,26)
|
0,37 (1,55)
|
|
1200
|
0,49 (2,05)
|
0,6 (2,51)
|
14000
|
0,3 (1,26)
|
0,37 (1,55)
|
|
1300
|
0,48 (2,01)
|
0,59 (2,47)
|
15000
|
0,29 (1,21)
|
0,37 (1,55)
|
|
1400
|
0,47 (1,97)
|
0,58 (2,43)
|
20000
|
0,28 (1,17)
|
0,37 (1,55)
|
|
1500
|
0,47 (1,97)
|
0,57 (2,39)
|
25000
|
0,28 (1,17)
|
0,37 (1,55)
|
|
1700
|
0,46 (1,93)
|
0,55 (2,3)
|
30000
|
0,28 (1,17)
|
0,36 (1,51)
|
|
2000
|
0,45 (1,88)
|
0,53 (2,22)
|
35000
|
0,28 (1,17)
|
0,35 (1,46)
|
|
2500
|
0,44 (1,84)
|
0,52 (2,18)
|
40000
|
0,27 (1,13)
|
0,34 (1,42)
|
|
3000
|
0,43 (1,8)
|
0,5 (2,09)
|
45000
|
0,27 (1,13)
|
0,34 (1,42)
|
|
3500
|
0,42 (1,76)
|
09,48 (2,01)
|
50000
|
0,26 (1,09)
|
0,34 (1,42)
|
Таблица 4. - Удельная тепловая характеристика административных лечебно и
культурно-просветительных зданий, детских учреждений
|
Наименование зданий
|
Объем зданий V, м3
|
Удельные тепловые
характеристики
|
|
|
для отопления q0
, ккал/(м3 ч К) / кДж/(м3 ч К)
|
для вентиляции q0
, ккал/(м3 ч К) / кДж/(м3 ч К)
|
|
Административные здания,
конторы
|
до 5000
|
0,43 (1,8)
|
0,09 (0,38)
|
|
до 10000
|
0,38 (1,59)
|
0,08 (0,33)
|
|
до 15000
|
0,35 (1,46)
|
0,07 (0,29)
|
|
более 15000
|
0,32 (1,34)
|
0,18 (0,75)
|
|
Клубы
|
до 5000
|
0,37 (1,55)
|
0,25 (1,05)
|
|
до 10000
|
0,33 (1,38)
|
0,23 (0,96)
|
|
более 10000
|
0,3 (1,26)
|
0,2 (0,84)
|
|
Кинотеатры
|
до 5000
|
0,36 (1,51)
|
0,43 (1,8)
|
|
до 10000
|
0,32 (1,34)
|
0,39 (1,63)
|
|
более 10000
|
0,3 (1,26)
|
0,38 (1,59)
|
|
Магазины
|
до 5000
|
0,38 (1,59)
|
|
|
до 10000
|
0,33 (1,38)
|
0,08 (0,33)
|
|
более 10000
|
0,31 (1,3)
|
0,27 (1,13)
|
|
Детские сады и ясли
|
до 5000
|
0,38 (1,59)
|
0,11 (0,46)
|
|
более 5000
|
0,34 (1,42)
|
0,1 (0,42)
|
|
Школы и высшие учебные
заведения
|
до 5000
|
0,39 (1,63)
|
0,09 (0,38)
|
|
до 10000
|
0,35 (1,46)
|
0,08 (0,33)
|
|
более 10000
|
0,33 (1,38)
|
0,07 (0,29)
|
|
Больницы
|
до 5000
|
0,4 (1,67)
|
0,29 (1,21)
|
|
до 10000
|
0,36 (1,51)
|
0,28 (1,17)
|
|
до 15000
|
0,32 (1,34)
|
0,26 (1,09)
|
|
более 15000
|
0,3 (1,26)
|
0,25 (1,05)
|
|
Бани
|
до 5000
|
0,28 (1,17)
|
1,0 (4,19)
|
|
до 10000
|
0,25 (1,05)
|
0,95 (3,98)
|
|
более 10000
|
0,23 (0,96)
|
0,9 (3,77)
|
|
Прачечные
|
до 5000
|
0,38 (1,59)
|
0,8 (3,35)
|
|
до 10000
|
0,33 (1,38)
|
0,78 (3,27)
|
|
более 10000
|
0,31 (1,3)
|
0,75 (3,14)
|
|
Предприятия общественного
питания, столовые
|
до 5000
|
0,35 (1,46)
|
0,7 (2,93)
|
|
до 10000
|
0,33 (1,38)
|
0,65 (2,72)
|
|
более 10000
|
0,3 (1,26)
|
0,6 (2,51)
|
|
Лаборатории
|
до 5000
|
0,37 (1,55)
|
1,0 (4,187)
|
|
до 10000
|
0,35 (1,46)
|
0,95 (3,98)
|
|
более 10000
|
0,33 (1,38)
|
0,9 (3,77)
|
|
Пожарные депо
|
до 2000
|
0,48 (2,01)
|
0,14 (0,59)
|
|
до 5000
|
0,46 (1,93)
|
0,09 (0,38)
|
|
более 5000
|
0,45 (1,88)
|
0,09 (0,38)
|
|
Гаражи
|
до 2000
|
0,7 (2,93)
|
|
|
до 3000
|
0,6 (2,51)
|
|
|
до 5000
|
0,55 (2,3)
|
0,7 (2,93)
|
|
более 5000
|
0,5 (2,09)
|
0,65 (2,72)
|
|
Театры
|
до 10000
|
0,29 (1,21)
|
0,41 (1,72)
|
|
до 15000
|
0,27 (1,13)
|
0,4 (1,67)
|
|
до 20000
|
0,22 (0,92)
|
0,38 (1,59)
|
Таблица 5. - Значения термического сопротивления тепловосприятию
|
м2 К/Вт
|
|
Внутренние поверхности
стен, полов, потолков
|
0,115
|
|
Потолки с ребристой
поверхностью h/a = 0, 2 - 0,3 (h - высота
ребер, а -расстояние между ребрами)
|
0,123
|
|
Потолки с ребристой
поверхностью h/a = 0, 2 - 0,3 (h - высота
ребер, а -расстояние между ребрами)
|
0,132
|
|
Наружные стены,
бесчердачные перекрытия
|
0,043
|
|
Поверхности, выходящие на
чердак
|
0,086
|
|
Поверхности над подпольями
и подвалами
|
0,172
|
|
Внутренние поверхности стен
при более 80 кг живой массы на 1 м2 пола
|
0,085
|
|
Внутренние поверхности стен
при менее 80 кг живой массы на 1 м2 пола
|
0,115
|
|
Чердачные перекрытия или
покрытия
|
0,115
|
Таблица 6. - Коэффициенты теплопроводности λ Вт/(м К) некоторых строительных
материалов и конструкций
|
Материалы и конструкции
|
Расчетное значение при
условии эксплуатации ограждения
|
|
А
|
Б
|
|
Асбоцементные плиты
|
0,52
|
0,58
|
|
Железобетон
|
1,92
|
2,04
|
|
Бетон на гравии или щебне
|
1,75
|
1,86
|
|
Шлакобетон на топливных
(котельных) шлаках
|
0,81
|
0,93
|
|
Керамзитобетон
|
0,64
|
0,76
|
|
Кирпичная кладка из обыкновенного
кирпича
|
0,70
|
0,81
|
|
Кирпичная кладка из
силикатного кирпича
|
0,76
|
0,83
|
|
Штукатурка из
цементно-песчаного раствора
|
0,76
|
0,93
|
|
Штукатурка из
известково-песчаного раствора
|
0,70
|
0,81
|
|
Асфальтобетон
|
1,05
|
1,05
|
|
Хвойные породы дерева
поперек волокн
|
0,14
|
0,17
|
|
Лиственные породы дерева
поперек волокн
|
0,17
|
0,23
|
|
Плиты древесно-волокнистые
и древесно-стружечные
|
0,23
|
0,29
|
|
Стекло оконное
|
0,81
|
0,81
|
|
Рубероид, толь
|
0,15
|
0,17
|
|
Вата минеральная
|
0,05
|
0,05
|
|
Гравий керамзитовый
|
0,21
|
0,23
|
|
Условия эксплуатации А и Б
принимаются по данным табл. 3
|
Таблица 7. - Данные для выбора расчетных значений коэффициента
теплопроводности λ, приведенных в табл. 2, в зависимости от условий
эксплуатации ограждающих конструкций
|
Влажностный режим помещений
|
Относительная влажность
воздуха помещений, %
|
Условия эксплуатации в
зависимости от зон влажности местности
|
|
|
сухая
|
нормальная
|
влажная
|
|
Сухой
|
50
|
А
|
А
|
Б*
|
|
Нормальный
|
50 - 60
|
А
|
Б
|
Б*
|
|
Влажный
|
61 - 75
|
Б
|
Б*
|
Б*
|
|
Мокрый
|
более 75
|
Б*
|
Б*
|
Б*
|
|
* Расчетные значения
коэффициента теплопроводности следует увеличить на 10% для наружных
ограждающих конструкций, выполняемых из медленно высыхающих материалов
|
Таблица 8. - Добавочные тепловые потери через ограждающие конструкции
|
Ограждающие конструкции
|
Qдоб , %
|
|
Наружные вертикальные и
наклонные стены, двери и окна, обращенные на север, восток, северо-восток и
северо-запад
|
10
|
|
Наружные вертикальные и
наклонные стены, двери и окна, обращенные на запад и юго-восток
|
5
|
|
Наружные вертикальные и
наклонные стены, двери и окна в местности с расчетной зимней скоростью ветра
до 5 м/с, до 10 м/с, более 10 м/с, защищенные от ветра другими зданиями и
сооружениями
|
5; 10; 15
|
|
Наружные вертикальные и
наклонные стены, двери и окна в местности с расчетной зимней скоростью ветра
до 5 м/с, до 10 м/с, более 10 м/с на открытой местности
|
10; 20; 30
|
|
Наружные стены и окна
помещений, имеющие две и более наружных стен
|
5
|
|
Наружные двери при
открывании их на короткое время для n - этажных зданий:
|
|
Двойные двери без тамбура
|
100 n
|
|
Двойные двери с тамбуром
между ними
|
80 n
|
|
Одинарные двери
|
65 n
|