Реконструкция системы электропривода моталки пятиклетьевого стана 630 ЛПЦ №8

  • Вид работы:
    Курсовая работа (т)
  • Предмет:
    Эктеория
  • Язык:
    Русский
    ,
    Формат файла:
    MS Word
    163,15 Кб
  • Опубликовано:
    2014-05-03
Вы можете узнать стоимость помощи в написании студенческой работы.
Помощь в написании работы, которую точно примут!

Реконструкция системы электропривода моталки пятиклетьевого стана 630 ЛПЦ №8

Министерство образования Российской Федерации

Магнитогорский государственный технический

университет им.Г.И.Носова

Кафедра экономики, коммерции и налогообложения







ПОЯСНИТЕЛЬНАЯ ЗАПИСКА

по курсу "Экономика, организация и планирование производства"

Тема: Реконструкция системы электропривода моталки пятиклетьевого стана 630 ЛПЦ №8










Магнитогорск

г.

Содержание

Введение

1. Анализ технико-экономических показателей цеха

2. Расчёт производственной программы ЛПЦ №8

2.1 Расчёт фактического годового фонда рабочего времени

.2 Расчёт производительности непрерывного стана

3. Расчёт сметы капитальных затрат

3.1 Расчёт стоимости приобретённого и демонтируемого оборудования

.2 Расчёт затрат на монтаж оборудования

.3 Расчёт величин транспортных, заготовительно-складских, затрат на запчасти, расходов на комплектацию оборудования и затрат на проектирование

.4 Расчет затрат на демонтаж оборудования, величины остаточной стоимости и ликвидационной стоимости

4. Расчёт затрат на эксплуатацию системы электропривода

4.1 Расчет потерь электроэнергии

.2 Расчет амортизационных отчислений

.3 Расчет затрат на ремонты и обслуживание электрооборудования

5. Расчет себестоимости продукции для реконструкции

. Расчёт показателей прибыли предприятия

7. Организация и планирование ремонтов электрооборудования

7.1 Расчет трудоемкости ремонтных работ

.2 Расчёт численности ремонтного персонала

.3 Расчет годового планового фонда заработной платы

8. Оценка экономической эффективности реконструкции

.1 Метод чистой текущей стоимости

.2 Метод внутренней нормы прибыли

8.3 Дисконтный метод окупаемости проекта

9. Сводная экономическая характеристика проектируемой системы электропривода

Заключение

Библиографический список

производительность стоимость затрата оборудование

Введение

Курсовое проектирование представляет собой важный этап самостоятельной работы, в процессе которой не только закрепляем свои теоретические знания, но и приобретает практические навыки экономического обоснования принимаемых технических и организационных решений. Типовой темой курсовой работы по экономике, организации, планированию и управлению производством предприятий черной металлургии является технико-экономическое обоснование и оценка экономической эффективности мероприятия, разработанного в курсовом проекте по дисциплине "Электропривод".

Исходные данные для проектирования должны быть собраны на предприятии.

В данном разделе проекте необходимо привести краткий анализ работы цеха, в котором проектируется система электропривода, в базовом году. Необходимо сравнить плановые и отчетные показатели по прибыли, себестоимости, объему производства, производительности труда, простоям оборудования, а так же рассчитать процент выполнения по анализируемым показателям.

В курсовом проекте также необходимо описать проблему, которая решается. В работе должно быть отражено, на каком предприятии, цехе, участке и агрегате будет решена поставленная задача; в чем конкретно выражается предлагаемое мероприятие. Затем необходимо показать, каким образом будет решена поставленная проблема; строительство нового объекта, реконструкция или модернизация, внедрение новой техники. Далее следует количественно оценить результаты предлагаемых мероприятий, т.е. показать в чем и на сколько, по сравнению с имеющимся вариантом, выразится улучшение работы предприятия или его подразделения, а именно:

1в увеличении выпуска продукции за счет сокращения простоев, брака, снижения расходного коэффициента, увеличения производительности агрегата;

2в улучшении качества продукции или расширения ее сортамента;

-в уменьшении численности обслуживающего, дежурного и ремонтного персонала;

3в сокращении расходов на ремонты оборудования;

4в экономии электроэнергии.

В конечном итоге необходимо оценить экономическую эффективность принятых мероприятий и сделать соответствующие выводы.

1. Анализ технико-экономическихпоказателей цеха

В данном курсового проекте приводится краткий анализ работы листопрокатного цеха №8 ОАО ММК, в котором производится реконструкция системы главного электропривода моталки непрерывного пятиклетевого стана 630 холодной прокатки. Целью реконструкции является замена тиристорного преобразователя и возбудителя серии КТЭУ на тиристорный преобразователь и возбудитель серии КТЭ.

Затраты на реконструкцию должны быть скомпенсированы приростом прибыли, получаемой за счет сокращения простоев, брака, увеличения производительности агрегата.

2. Расчёт производственной программы ЛПЦ № 8

Производственная программа или годовой объем производства продукции цеха ЛПЦ №8 определяется производительностью стана в единицу рабочего времени и фондом рабочего времени. Производственная программа ЛПЦ №8 ОАО ММК за 2004 г. представлена в таблице.2.1.

Таблица 2.1 - Производственная программа ЛПЦ-8

Наименование показателей

До реконструкции

После реконструкции

 Масса рулона, т

15

15

 Календарные сутки, сут

365

365

 Планово-предупредительные ремонты, сут

25

25

 Такт прокатки, с

310

310

 Номинальное время, сут

340

340

 Текущие простои, сут

63

56,7

 Фактическое время, сут

277

283,3

 Коэффициент использования агрегата

0,95

0,95

 Средняя часовая производительность, т/ч

174,68

174,68

 Годовая производительность, т/год

1161273

1187684


.1 Расчёт фактического годового фонда рабочего времени

Расчёт производственной программы цеха начинается с сопоставления баланса времени работы стана. При этом рассчитывается календарное, номинальное и фактическое время работы.

Календарным временем считается всё время нахождения стана в эксплуатации, независимо от времени ремонтов и технологических простоев.

Номинальное время определяется исключением из календарного времени простоев стана на капитальных и технологических ремонтах.

Фактическое время находится исключением из номинального времени внеплановых текущих простоев стана. Фактическое время работы стана за год и производительность его в единицу времени.

Годовой фонд рабочего времени прокатного стана до реконструкции:

 (2.1)

где Ткал = 24·365 = 8760 ч - календарное время работы, ч;

Ткр = 0 - время, затраченное на капитальные ремонты, ч;

Ттр = 24·25 = 600 ч - время, затраченное на текущие ремонты, ч;

Тпр = 24·63 = 1512 ч - время, затраченное на текущие простои, ч.

После реконструкции продолжительность простоев уменьшится на 10%

Тпр = 0,9·1512 = 1360,8 ч. (2.2)

Тогда годовой фонд рабочего времени прокатного стана после реконструкции

ТФ = Ткал - Ткр - Ттр - Тпр = 8760 - 600 - 1360,8 = 6799,2 ч. (2.3)

Баланс рабочего времени прокатного стана представлен в таблице 2.2.

Таблица 2.2 - Баланс рабочего времени прокатного стана

Календарное время Ткал = 365 суток = 8760ч.

Плановые ремонты (ППР)

Номинальное время Тном = 340 суток = 8160 ч.

Капитальные ремонты Ткр

Текущие ремонты Ттр

Текущие простои

Фактическое время работы ТФ

ППР = 25 суток = 600 ч.

Внеплановые ремонты и простои

Аварии


До реконструкции После реконструкции

Тпр=1512 ч. Тпр=1360,8 ч.

ТФ = 6648 ч. ТФ = 6799,2 ч.


2.2 Расчёт производительности непрерывного стана

Среднечасовая производительность непрерывного стана определяется по формуле

т/ч (2.4)

где t = 310 с - такт прокатки;

q =15 т - масса прокатываемого металла, т.;

Kг = 1 - коэффициент выхода годного;

КИ = 0,95 - коэффициент использования стана, учитывающий скрытые простои стана.

Производственная программа или годовой объем производства продукции определяется производительностью агрегата в единицу рабочего времени и фондом рабочего времени.

Годовой объем производства продукции до реконструкции:

Г = V1 = Р·ТФ = 174,68·6648 = 1161273 т/год. (2.5)

Годовой объем производства продукции после реконструкции:

Г = V2 = Р·ТФ = 174,68·6799,2 = 1187684 т/год. (2.6)

где Wг - производственная мощность (годовой выпуск продукции), т/год;

P - производительность стана, т/ч;

Tф - годовой фактический фонд рабочего времени оборудования, ч.

3. Расчёт сметы капитальных затрат

Для определения экономической эффективности намеченных мероприятий необходимо определить сумму капитальных затрат на их внедрение.

Капитальные первоначальные затраты на реконструкцию оборудования:

Крек.об. = О + М + Тр + ЗС + ЗЧ + ЗК+Д ± Сост - Л, (3.1)

где О - затраты на приобретение оборудования (руб);

М - затраты на монтаж (руб.) ;

Тр - транспортные расходы (руб.) ;

Зс - заготовительно-складские расходы (руб.);

Зч - резерв средств на запасное оборудование и запасные части;

Зк - затраты на комплектацию оборудования (руб.);

Д - затраты на демонтаж ликвидируемого оборудования (руб.);

Сост - остаточная стоимость демонтируемого оборудования (руб.);

Л - стоимость реализации демонтируемого оборудования, направляемого в лом (руб.);

.1 Расчёт стоимости приобретённого и демонтируемого оборудования

Расчёт стоимости приобретённого оборудования выполняется в форме, представленной в таблице. 3.1. Расчёт стоимости демонтируемого оборудования представлен в таблице 3.2.

Прочее неучтённое оборудование: кабеля, электропроводка и прочее, берётся в размере 10% от стоимости учтённого оборудования.

Таблица 3.1 - Расчёт стоимости приобретённого оборудования

Наименование оборудования

Количество, шт.

Оптовая цена за 1шт., т.р.

Общая стоимость т.р.

1. Преобразователь КТЭ-2500/826 2. Преобразователь КТЭ-2500/440

1 1

4695 2500

4695 2500

Итого учтенное оборудование


7195

Прочее неучтённое оборудование (10% от стоимости учтённого оборудования)


719,5

Итого стоимость оборудования


7914,5


Таблица 3.2 - Расчёт стоимости демонтируемого оборудования

Наименование оборудования

Количество, шт.

Оптовая цена за 1шт., т.р.

Общая стоимость т.р.

1. Преобразователь КТЭУ-2500/930 2. Преобразователь КТЭУ-2500/440

1 1

1500 710

1500 710

Итого учтенное оборудование


2210

Прочее неучтённое оборудование (10% от стоимости учтённого оборудования)


221

Итого стоимость оборудования


2431


Таким образом: О = 7914,5 тыс. руб. (стоимость приобретенного оборудования).

О/ = 2431 тыс. руб. (стоимость демонтируемого оборудования).

3.2 Расчёт затрат на монтаж оборудования

Расчёт затрат выполняется по форме представленной в таблице 3.3. Значения затрат на монтаж демонтируемого оборудования аналогичны.

Используя ценники на монтаж оборудования, расчет стоимости монтажа электрических агрегатов определяется суммированием цен отдельных работ:

- установка преобразователя;

- присоединение к электрической сети;

ревизия преобразователя.

Графы 2 - 4 таблицы 3.3. заполняются на основе сборника расценок на монтаж оборудования и коэффициента инфляции.

Графы 5 и 6 заполняются с учётом районного коэффициента (15%).

Косвенные расходы начисляются в размере 40% от стоимости зарплаты по эксплуатации машин. Расчёт косвенных расходов ведётся в следующем порядке:

Графа (9) = (Графа 4 + Графа 6)*0,4.

В том случае, если к заработной плате рабочих по эксплуатации машин начисляется доплата за стесненность и вредные условия труда, то сумма косвенных расходов не рассчитывается.

Накладные расходы на электромонтажные работы определяются в размере 87% от скорректированной заработной платы монтажников. Это расходы, связанные с управлением и обслуживанием:

Графа(10)={Графа(3)+Графа(5)+Графа(7)}*0,87.

В графе 11 рассматривается себестоимость монтажа по ценнику с учётом доплат косвенных и накладных расходов:

Графа(11)= Графа (2)+ Графа (5)+ Графа (6)+ Графа (7)+ +Графа(8)+Графа (9)+Графа(10).

Плановые накопления образуют прибыль строительно-монтажных организаций и определяются в размере 8% от себестоимости монтажных работ:

Графа(12)=0,08* Графа(11);

Графа(13)= Графа(11)+ Графа(12);

Графа(14) = Графа(13)*n,

где n - количество монтируемых единиц оборудования. При расчете затрат на монтаж оборудования необходимо учесть затраты на монтаж неучтенного оборудования, они определяются в размере 10% от затрат на монтаж учтённого оборудования.

.3 Расчёт величин транспортных, заготовительно-складских, затрат на запчасти, расходов на комплектацию оборудования и затрат на проектирование

Затраты на запасные части берутся в размере 3% от стоимости оборудования

На приобретенное оборудование:

 т.р. (3.2)

Не демонтируемое оборудование:

 т.р. (3.3)

Транспортные расходы берутся в размере 3,3 % от стоимости оборудования и запасных частей

На приобретенное оборудование:

т.р. (3.4)

Не демонтируемое оборудование:

т.р. (3.5)

Заготовительно-складские расходы берутся в размере 1,2% от стоимости оборудования и запасных частей, включая транспортные расходы

На приобретенное оборудование:

т.р. (3.6)

Не демонтируемое оборудование:

т.р. (3.7)

Затраты на комплектацию оборудования берутся в размере 1% от стоимости оборудования и запасных частей

На приобретенное оборудование:

т.р. (3.8)

Не демонтируемое оборудование:

т.р. (3.9)

Все расчеты сведены в таблицу 3.4.

Таблица 3.4 - Расчет расходов

Наименование затрат

Монтируемое оборудование

Демонтируемое оборудование

Зч, тыс.руб.

237,44

72,93

Тр, тыс.руб.

269,01

82,63

Зс, тыс.руб.

101,05

31,04

Зк, тыс.руб.

81,52

25,04


.4 Расчет затрат на демонтаж оборудования, величины остаточной стоимости и ликвидационной стоимости

Ценников на демонтаж оборудования не имеется. Затраты на демонтаж оборудования определяются как соответствующая часть от затрат на его монтаж. Эта часть составляет:

% - если демонтируемое оборудование предназначено для дальнейшего использования;

% - если демонтируемое оборудование отправляется в лом.

Д = 0,3·М = 0,3·83,43 = 25,03 тыс. руб (3.10)

Так как демонтируемое оборудование не отслужило свой срок и будет эксплуатироваться как резервное, то Сост = 0 и Л = 0.

Величина капитальных затрат на реконструкцию оборудования составит:

Крек = О + М + Тр + Зс + Зч + Зк + Д =(3.11)

= 7914,5 + 83,43 + 269,01 + 101,05 + 237,44 + 81,52 + 25,03 = 8711,98 тыс. руб.

4. Расчёт затрат на эксплуатацию системы электропривода

В данном разделе определяется состав и размер эксплуатационных расходов, связанных с работой электрооборудования.

Эксплуатационные расходы, связанные с работой электрооборудования, состоят, как правило, из следующих видов затрат:

а) потерь электроэнергии (Эi);

б) амортизационных отчислений (Ai);

в) затрат на ремонты и обслуживание электрооборудования (Cтрi).

Таким образом, затраты на эксплуатацию системы электропривода (Ci) можно рассчитать по формуле:

Ci = Эi + Ai + Стрi. (4.1)

Эксплуатационные расходы определяются за год.

.1 Расчет потерь электроэнергии (Эi)

Расчет потерь электроэнергии определяется умножением себестоимости 1кВт×ч энергии на количество теряемой энергии в течение года.

Стоимость потерь электроэнергии (Эi) для электропривода рассчитывается по формуле:

Эi = Pi (1 - ηi) × Тф × Цэ, (4.2)

где РУ = 3000 кВт - мощность на входе установки (согласно паспортным данным);

 - КПД установки;

КПД установки (системы ТП-Д):

η = ηТП·ηД = 0,96·0,95 = 0,89 (4.3)

где - КПД ТП;

 - КПД двигателя.

Себестоимость 1 кВт×ч энергии: Цэ = 0,62 руб.

Таким образом, стоимость потерь электроэнергии определится

) для базового варианта:

фактическое время работы электрооборудования за год ТФ = 6648 ч.

Стоимость потерь электроэнергии для демонтируемого оборудования

Эдем = 3000 × (1 - 0,89) × 6648 × 0,62 = 1360,181 тыс. руб. (4.4)

) для предлагаемого варианта:

фактическое время работы электрооборудования за год ТФ = 6799,2 ч.

Стоимость потерь электроэнергии для монтируемого оборудования

Эмонт = 3000 × (1 - 0,89) × 6799,2 × 0,62 = 1391,116 тыс.руб. (4.5)

.2 Расчет амортизационных отчислений (Ai)

Годовая сумма амортизации (А) определяется по форме, представленной в таблице 4.1.

Для расчёта годовой суммы амортизации необходимо определить первоначальную стоимость оборудования, рассчитывающуюся по каждому виду оборудования по формуле

Спер = О + М + Тр + Зс + Зч + Зк, (4.6)

где О - оптовая цена оборудования по прейскуранту, тыс.руб.;

М- затраты на монтаж единицы оборудования;

Тр, Зс, Зч, Зк - рассчитываются по каждой единице оборудования.

Таблица 4.1 - Расчет годовой суммы амортизации

Наименование оборудования

Первонача-льная стоимость (СПЕР), тыс. руб.

Количество, шт.

Общая стоимость (СО) тыс. руб.

Норма амортизации (На), %

Сумма амортизации ( А ), тыс. руб.

Демонтируемое оборудование

Преобразователь КТЭУ-2500/930

1680

1

1680

7,1

119,285

Преобразователь КТЭУ-2500/440

798,171

1

798,171

7,1

56,67

Прочее неучтенное оборудование



247,82

7,1

17,595

Итого





193,55

Монтируемое оборудование

Преобразователь КТЭ-2500/826

5153,23

1

5153,23

7,1

365,88

Преобразователь КТЭ-2500/440

2744,01

1

2744,01

7,1

194,82

Прочее неучтенное оборудование



789,72

7,1

56,07

Итого





616,77


Первоначальная стоимость демонтируемого преобразователя серии КТЭУ-2500/930:

Спер = 1500 + 49,486 + 45 + 50,985 + 19,152 +15,45 = 1680 тыс.руб.

Первоначальная стоимость демонтируемого преобразователя серии КТЭУ-2500/440:

Спер = 710 + 26,36 +21,3 + 24,133 + 9,065 + 7,313 = 798,171 тыс.руб.

Общая стоимость неучтенного демонтируемого оборудования:

Спер = 221 + 7,5846 + 6,63 + 7,51 + 2,82 + 2,2763 = 247,82 тыс.руб.

Первоначальная стоимость монтируемого преобразователя серии КТЭ-2500/826:

Спер = 4695 + 49,486 + 140,85 + 159,58 + 59,95 +48,36 = 5153,23 тыс.руб.

Первоначальная стоимость монтируемого преобразователя серии КТЭ-2500/440:

Спер = 2500 + 26,36 + 75 + 84,975 + 31,92 + 25,75 = 2744,01 тыс.руб.

Общая стоимость неучтенного монтируемого оборудования:

Спер = 719,5 + 7,5846 + 21,585 + 24,456 + 9,186 + 7,41 = 789,72 тыс.руб.

Норма амортизации (На) берется по каждому виду оборудования из справочника норм амортизации.

Сумма амортизации определяется по следующей формуле

 (4.7)

где На% - норма амортизации, %;

Спер - первоначальная стоимость оборудования, тыс. руб.

А - сумма амортизационных отчислений, тыс. руб.

.3 Расчет затрат на ремонты и обслуживание электрооборудования

Величина затрат на ремонты и обслуживание складывается из большого количества элементов, а именно:

стоимость энергии всех видов;

запасных частей;

инструмента и инвентаря;

заработной платы ремонтного и дежурного персонала.

Из множества этих элементов прямому счету поддается только заработная плата. Поэтому расчет величины Стр производится в виде средней, фактически сложившейся доли их от стоимости основных средств. Для этого необходимо определить эту долю из годовой калькуляции по цеху в виде отношения статьи "Текущий ремонт" и "Содержание основных средств" и "Амортизация". Далее производится пересчет для системы привода с учетом этого коэффициента и суммы амортизации из таблицы 4.1.

Годовые затраты на текущий ремонт электрооборудования

 (4.8)

где Стр - годовые затраты на текущий ремонт электрооборудования, тыс. руб.;

А- годовая сумма амортизаций оборудования (таблица 4.1.), тыс.руб. ;

К = 0,9 - доля затрат на текущий ремонт от первоначальной стоимости оборудования;

До реконструкции (базового):

 (4.9)

После реконструкции (предлагаемого):

 (4.10)

Годовые расходы на эксплуатацию системы электропривода определятся

До реконструкции (базового):

C1 = 1360,181 + 193,55 + 174,195 = 1727,93 тыс. руб. (4.11)

После реконструкции (предлагаемого):

C2 = 1391,116 + 616,77 + 555,093 = 2562,98 тыс. руб. (4.12)

5. Расчет себестоимости продукции для реконструкции

Базовой для расчета является отчетная калькуляция себестоимости единицы продукции за отчетный год. Калькуляция себестоимости продукции приведена в таблице 5.1.

В результате реконструкции происходит увеличение объема выпускаемой продукции. Для определения себестоимости продукции необходимо статьи расходов по переделу пересчитать с учетом доли условно-постоянных расходов по формуле:

 (5.1)

где E1j и Е2j - сумма затрат по j-ой статье калькуляции соответственно по базовому и предлагаемому вариантам, руб/т;

Вj - доля условно-постоянной части в затратах по j-ой статье калькуляции;

V1 и V2 - годовой объем производства по базовому и предлагаемому вариантам, т/год.

P1j и P2j - следует учесть изменения эксплуатационных расходов по статьям "Электроэнергия", "Амортизация основных средств", "Текущий ремонт" и ''Содержание основных средств" и другим, которые подвержены изменению в результате проведения реконструкции, руб./год.

Пересчет статей расходов по переделу по формуле (5.1)

1)      пар

 руб.;

2)     
вода

 руб.;

3)      основная заработная плата

 руб.;

4)      дополнительная заработная плата

 руб.;

) отчисления на социальные страхования

 руб.;

6) сменное оборудование

 руб.;

) электроэнергия

руб.;

8) текущий ремонт


) амортизация основных средств


) прочие расходы

 руб.

) общезаводские расходы

 руб.

6. Расчёт показателей прибыли предприятия

Расчёт прироста чистой прибыли предприятия сводится в таблицу 6.1.

Таблица 6.1 - Расчёт прироста чистой прибыли предприятия

Показатель

Формула расчёта

1. Прирост прибыли от реализации продукции за счет снижения себестоимости

∆Пр = (С1 - С2)*V2 = = (8723,45 - 8713,564)*1187684 = 11741,44 тыс.руб., где C1 и С2 - себестоимость единицы продукции до и после реконструкции; V2 = 1187684 т/год - объём продукции после реконструкции;

2. Прирост чистой прибыли

∆Пч = ∆Пр - Н = 11741,44 - 2817,95 = 8923,49 тыс.руб., где Н - налог на прирост прибыли,  где В = 24% - налоговая ставка.


7. Организация и планирование ремонтов электрооборудования

В основу организации ремонтов оборудования положена система ТО и Р (техническое обслуживание и ремонты электрооборудования), представляющая собой совокупность организационных и технических мероприятий по уходу за оборудованием, надзору за ним, его обслуживанию и ремонту, проводимых по заранее составленному плану в профилактических целях, т.е. для предупреждения неожиданных выходов оборудования из строя.

Планирование ремонтов включает:

а) составление календарных планов ремонтов;

б) определение трудоемкости ремонтов и численности ремонтного персонала, материалов и ремонтных средств;

в) планирование себестоимости ремонтов.

Основой календарного планирования ремонтов (годового графика ремонтов) служит структура ремонтного цикла, длительность ремонтного цикла, межремонтные периоды, нормы простоя оборудования в ремонтах.

Правильная организация ремонтных работ требует составления плана вывода оборудования в ремонт на протяжении всего года. Чтобы наиболее полно и равномерно загрузить ремонтный персонал ежегодные объёмы ремонтных работ должны быть, по возможности равными. На основе ТО и Р осуществляется определение объёма ремонтных работ.

.1 Расчет трудоемкости ремонтных работ

Расчет среднегодовой трудоемкости ремонтных работ представлен в таблице 7.1. Данные о группе режима работы, габарите, структуре ремонтного цикла и его продолжительности, а также трудоемкости ремонтов различного вида, принимаются на основе ТОи Р.

Таблица 7.1 - Расчет среднегодовой трудоемкости ремонтных работ

Наименование оборудования

Количество

Группа режима работы

Структура ремонтного цикла

Продолжительность ремонтного цикла, лет (tц)

Трудоёмкость, чел/ч

Среднегодовая трудоёмкость, чел/ч (Тср.год)






Средний ремонт (tс)

Текущий ремонт (tт)









Единиц. оборудо-вания

Общая

Преобразователь КТЭ - 2500/826

1

3

К-Т-С-Т- -С-Т-С-Т- -С-Т-С-Т- -К

6

340,3

79,6

363,2

363,2

Преобразователь КТЭ-2500/440

1

3

К-Т-С-Т- -С-Т-С-Т- -С-Т-С-Т- -К

6

192

44,9

204,9

204,9

Прочее неучтённое оборудование








56,81

ИТОГО, Т








624,91


Вышеназванные исходные данные позволяют определить среднегодовую трудоемкость ремонта одной единицы оборудования по формуле

, (7.1)

где Tсp.год - среднегодовая плановая трудоемкость ремонта единицы оборудования, чел·ч;

tс и tт - средняя трудоемкость соответственно одного среднего и текущего ремонта, чел·ч;

tц - продолжительность ремонтного цикла, лет;

nс и nт - количество средних и текущих ремонтов в течение ремонтного цикла.

Среднегодовая трудоемкость ремонта преобразователя серии КТЭ - 2500/826:

 чел. ч. (7.2)

Среднегодовая трудоемкость ремонта преобразователя серии КТЭ - 2500/440:

 чел. ч. (7.3)

7.2 Расчёт численности ремонтного персонала

Базовой для расчета численности ремонтного персонала является величина суммарной трудоемкости ремонтных работ, рассчитанная в таблице 7.1.

Численность ремонтного персонала:

,(7.4)

где Тср. год. - среднегодовая трудоемкость чел/ч;

Квн = 1;

Фпл = 2004 ч - количество рабочих часов.

Ксп - коэффициент списочного состава, определяется по формуле:

 (7.4)

где Д= 365 - Субб. - Воскр. - Празд = 365 - 10 - 104 = 251 день - годовой фонд рабочего времени одного работника;


- коэффициент списочного состава,

где t1, t2, t3 - средне годовая продолжительность отпуска, болезни и выполнения государственных и общественных обязанностей, в днях.

Численность ремонтного персонала

 чел.

Помимо штата электромонтеров по ремонту электрооборудования необходимо предусмотреть в штатном расписании персонал, осуществляющий обслуживание электрооборудования, то есть штат электромонтеров по обслуживанию электрооборудования.

Численность дежурного персонала определяется по нормам обслуживания по формуле

деж. = П × Нобс. ×Ксп × К,  (7.5)

где П - количество пунктов обслуживания;

Нобс - норматив численности дежурного персонала на один пункт обслуживания в течение одной рабочей смены;

КСП - коэффициент списочного состава;

К - количество бригад.

7.3 Расчет годового планового фонда заработной платы

Определим месячную заработную плату одного работника. Расчет ведется путем заполнения таблицы 7.2.

Таблица 7.2 - Расчет ЗП на одного рабочего по ремонтному персоналу моталки

№ п/п

Наименование показателей

Электрик 1Н

Электромонтер 4б - П

1

Отношение к производству

СО

ТР

2

Разряд работы или оклад

6

5

3

Тарифная сетка

№2

№2

4

Тарифная ставка, руб.час

7,98

6,94

5

Система оплаты труда

СП

ПП

6

График работы

4б-П

7

Количество работающих (с подменой) согласно штатному расписанию

4

4

8

Планируемое выполнение норм выработки, %

100 %

-

9

Фонд рабочего времени, чел*час

182,5

167,33

9.1

Работа в праздничные дни, чел*час

5

-

9.2

Переработка по графику, чел*час

10,5

-

9.3

Работа в ночное время, чел*час

60,83

-

9.4

Работа в вечернее время, чел*час

60,83

-

10

Основная заработная плата, руб./мес.

2444,7

1669,33

10.1

Оплата по тарифу, руб./мес.

1456,35

1161,27

10.2

Сдельный приработок, руб./мес.

-

-

10.3

Производственная премия, руб./мес.

364,09

290,32

10.4

Доплата за работу в праздничные дни, руб./мес.

79,8

-

10.5

Доплата за переработку по графику, руб./мес.

31,42

-

10.6

Доплата за работу в ночное время, руб./мес.

145,63

-

10.7

Доплата за работу в вечернее время, руб./мес.

48,54

-

10.8

Доплата по районному коэффициенту, руб./мес.

318,87

217,74

11

Дополнительная ЗП, руб./мес.

321,07

228,7

12

Всего ЗПср, руб./мес.

2765,77

1898,03


Годовой фонд заработной платы можно определить следующим образом для электрика:

ФОТГОД = NРЕМ∙4∙ЗПср∙12 = 0,35∙4∙2765,77∙12 = 46464,94 руб/год. (7.6)

для электромонтера:

ФОТГОД = NРЕМ∙4∙ЗПср∙12 = 0,35∙4∙1898,03∙12 = 31886,9 руб/год. (7.7)

В строке 1 таблицы 7.2. записывается символ

CO - рабочие, занятые на содержание оборудования.

ТР - рабочие, занятые на текущем ремонте оборудования

В строке 2 указывается заданный разряд работы.

В строке 3 указывается номер тарифной сетки, в соответствии с которой определяется тарифная ставка работника.

В строке 4 записывается размер часовой тарифной ставки согласно разряду, указанному в строке 2, и тарифной сетке, указанной в строке 3.

В строке 5 указывается шифр системы оплаты труда:

СП - сдельно-премиальная;

ПП - повременно-премиальная.

В строке 6 указывается шифр заданного графика работы:

Н - непрерывный круглосуточный четырех бригадный трехсменный с продолжительностью смены 8 часов, с работой в праздничные дни;

б-П - прерывный однобригадный односменный с выходными днями в неделю, с продолжительностью смены 8 часов.

В строке 7 указывается количество работников, по которым ведется расчет.

В строке 8 указывается заданный процент выполнения норм выработки - для рабочих повременщиков ставится прочерк.

В строке 9 записывается величина фонда рабочего времени, который необходимо рассчитать по формуле для графика работы 1Н:

 (7.8)

для графика работы 4б-П:

 (7.9)

где τМЕС - месячный фонд рабочего времени в расчете на одного работника, ч/мес;

- количество суток в год;

τСМ - продолжительность одной смены, час;

ССУТ - количество смен в сутках согласно графику работы;

- количество месяцев в году;

δ - количество бригад, согласно графику работы.

В строке 9.1 записывается продолжительность работы в праздничные дни, для графика 1Н:

 (7.10)

для графика работы 4б-П:

В строке 9.2 записывается продолжительность переработки по графику: для графика работы 1Н:

 (7.11)

В строке 9.3 записывается продолжительность работы в ночное время:

для графика работы 1Н:

 (7.12)

для графика работы 4б-П:

В строке 9.4 записывается продолжительность работы в вечернее время:

для графика работы 1Н:

 (7.13)

для графика работы 4б-П:

В строке 10.1 записывается сумма оплаты труда по тарифу, которая определяется по формуле:

для графика работы 1Н:

 (7.14)

для графика работы 4б-П:

 (7.15)

где tЧАС - часовая тарифная ставка работника соответствующего разряда, руб/час.

В строке 10.2 записывается сумма сдельного приработка

 (7.16)

для графика работы 4б-П и 1Н: ставится прочерк.

В строке 10.3 записывается сумма производственной премии

для графика работы 1Н:

 (7.17)

для графика работы 4б-П:

 (7.18)

где ΔрОБЩ - общий размер премии за выполнение условий премирования и перевыполнение установленных показателей,%

В строке 10.4 записывается сумма доплат за работу в праздничные дни,

для графика работы 1Н:

 (7.19)

для графика работы 4б-П : ставится прочерк.

В строке 10.5 записывается сумма доплат за переработку по графику. Оплата переработки по графику осуществляется в размере 37,5 % тарифной ставки рабочего:

для графика работы 1Н:

 (7.20)

для графика работы 4б-П : ставится прочерк.

В строке 10.6 записывается сумма доплат за работу в ночное время,

для графика работы 1Н:

 (7.21)

где кНОЧН - коэффициент, учитывающий размер доплат за работу в ночное время,%

для графика работы 4б-П : ставится прочерк.

В строке 10.7 записывается сумма доплат за работу в вечернее время,

для графика работы 1Н:

 (7.22)

где кВЕЧ - коэффициент, учитывающий размер доплат за работу в вечернее время,%

для графика работы 4б-П : ставится прочерк.

В строке 10.8 записывается сумма доплат по районному коэффициенту, которая определяется по формуле для графика работы 1Н:


для графика работы 4б-П :


В строку 11 записывается сумма дополнительной заработной платы, оценка которой осуществляется с использованием формулы для графика работы 1Н:

 (7.24)

для графика работы 4б-П :


В строку 10 записывается сумма основной заработной платы, определяемая по формуле:

для графика работы 1Н:


для графика работы 4б-П:


В строку 13 записывается сумма среднемесячной заработной платы бригады по среднегодовому расчету, определяемая по формуле:

для графика работы 1Н:

 (7.26)

для графика работы 4б-П:


8. Оценка экономической эффективности реконструкции

Для оценки принятия решений инвестиционного характера могут быть использованы различные методы:

.Метод чистой текущей стоимости;

.Метод внутренней нормы прибыли;

.Дисконтный метод окупаемости.

Для того чтобы воспользоваться описанными методами, необходимо определить годовой доход от проведения реконструкции. Так как в результате проведения реконструкции произойдет снижение себестоимости продукции, то определим чистый годовой доход по формуле:

Р = ΔПЧ  ΔАГ,(8.1)

где ΔПЧ - прирост чистой прибыли; ΔАГ - разница между годовыми амортизационными отчислениями после реконструкции и до нее.

Прирост чистой прибыли

∆Пч = ∆Пр - Н = 11741,44 - 2817,95 = 8923,49 тыс.руб., (8.2)

где  тыс.руб., - налог на прирост прибыли

Разница амортизационных отчислений

ΔАГ = ΔАГ2 - ΔАГ1 = 616,77 - 193,55 = 423,22 тыс. руб.  (8.3)

Чистый годовой доход

Р = ΔПЧ + ΔАГ = 8923,49 + 423,22 = 9346,71 тыс. руб

8.1 Метод чистой текущей стоимости

Этот метод основан на сопоставлении величины исходных инвестиций (IC) с общей суммой дисконтированных чистых денежных поступлений, генерируемых ею в течение прогнозируемого срока (Р).

Чтобы адекватно оценить проект нужно чистый доход будущих поступлений привести в сопоставимый вид с учетом влияния фактора времени. Пересчет на "сегодняшний" момент времени производится с помощью коэффициента приведения (фактор дисконтирования, г), может устанавливаться инвестором, исходя из ежегодного процента возврата, который он хотел бы иметь на инвестируемый капитал. При расчете можно воспользоваться коэффициентом рентабельности цеха. Полагая что инвестиции осуществляются из прибыли цеха, они не должны уменьшить рентабельность цеха в течение всей жизни проекта.

Длительность жизни проекта ограничиваем сроком его физической и моральной годности, т.е. исходя из нормы амортизации электрооборудования.

 (8.4)

Для удобства расчетов можно воспользоваться таблицей 8.1.


 (8.5)

где к - год жизни проекта, для которого определяется чистый доход;

Рк - годовой чистый доход;  г = 10% - ставка дисконтирования.

Общая накопленная величина дисконтированных доходов определяется по следующей формуле:

 (8.6)

Чистая текущая стоимость на каждый год жизни проекта NPVк рассчитывается по формуле:

 (8.7)

где IСк - инвестиционные издержки на каждый год жизни проекта.

Если они имели разовый характер на первом году жизни, то они не дисконтируются и в последующие годы, по строке инвестиционные издержки (табл.8.1) ставится прочерк. Считаем, что инвестиционные издержки равны сумме капитальных вложений на реконструкцию.

Суммарная чистая текущая стоимость проекта равна

 (8.8)

Сумма чистой текущей стоимости имеет положительное значение, следовательно, проект реконструкции привода моталки экономически выгоден.

Таблица 8.1 - Расчет чистой текущей стоимости


.2 Метод внутренней нормы прибыли

Под внутренней нормой прибыли (или нормой рентабельности инвестиций, IRR) понимают значение коэффициента дисконтирования, при котором NPV проекта равно нулю.

Под внутренней нормой прибыли или нормой рентабельности инвестиций IRR понимают значение коэффициента дисконтирования при котором NPV проекта равен нулю:

= r, при котором NPV = f ( г ) = 0.(8.9)

Данные для построения зависимости NPV = f ( r ) приведены в таблице 8.2

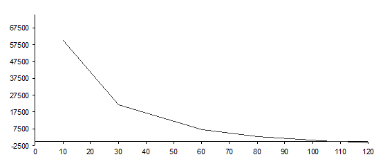
Таблица 8.2 - Зависимость NPV = f ( r )

r, %

10

30

60

80

107

110

120

NPV, тыс.руб

60142,3

21652,4

6844,25

2968,3

0

-215,2

-923,18


В нашем случае NPV = f(r) = 0 при IRR = г=107%. На рисунке 8.1. приведена зависимость NPV=f(r).

Рисунок 8.1. - Зависимость NPV=f(r)

При г = 107% сумма дисконтированных притоков равна сумме дисконтированных оттоков, т.е. кривая пересечет ось абсцисс. Это есть внутренняя норма прибыли проекта.

Экономический смысл этого показателя заключается в следующем: предприятие может принимать любые решения инвестиционного характера, уровень прибыльности которых не ниже текущего значения цены источника средств (СС).

Получили: IRR = 107% > СС=10%, т.е. реконструкция выгодна.

8.3 Дисконтный метод окупаемости проекта

Определяется момент, когда дисконтированные денежные доходы сравнивается с инвестиционными издержками.

Т=2года при этом

Срок окупаемости проекта равен двум годам, поэтому реконструкцию можно принять.

9. Сводная экономическая характеристика проектируемой системы электропривода

Сводная экономическая характеристика проектируемой системы электропривода сводится в таблицу 9.1.

Таблица 9.1 - Технико-экономические показатели системы электропривода


Заключение

В данном курсовом проекте был произведен расчет по реконструкции электропривода моталки пятиклетьевого стана 630 холодной прокатки ЛПЦ№8.

Можно с уверенностью сказать, что предложенная реконструкция достаточна выгодна, после реконструкции была снижена себестоимость единицы продукции. Проект окупается за два года.

Библиографический список

1.Нормы амортизационных отчислений.

2. Прейскурант № 15-02. Оптовые цены на машины электрические большой мощности, М.,1980.

3. Немцев. В.Н. и др. Методические указания по расчету  прибыли коммерческих организаций. Магнитогорск: МГМА, 1997. 75 с.

. Бахольская Л.И. Методические указания по дипломному и курсовому проектированию для студентов специальности 180400. Магнитогорск: МГТУ, 2001. 66 с.

Приложение

Таблица 1 - Калькуляция себестоимости продукции

№ п/п

Наименование статьи

До реконструкции

После реконструкции



Сумма на одну тонну руб.

Сумма на одну тонну руб.

1

Полуфабрикаты

7544,79

7544,79

2

Отходы и брак

310,6

310,6


ИТОГО за вычетом отходов и брака

7234,18

7234,18


Расходы по переделу



3

Электроэнергия

61,92

61,95

4

Тепло

2,25

2,22

5

Вода техническая

0,7

0,684

6

Сжатый воздух

2,83

2,83


ИТОГО

67,7

67,684

7

Вспомогательные материалы

52,45

54,45

8

Осн. з/пл.рабочим

131,66

130,2

9

Доп. з/пл.рабочим

7

6,92

10

Отч. на соц. страх.

51,53

50,96

11

Смен.оборудование

61,05

60,91

12

Текущий ремонт

169,3

166,61

13

Аморт.осн.средств

25,68

25,47

14

Работа транс.цех.

14,92

14,92

15

Прочие расходы

35,82

35,18


ИТОГО по переделу

549,41

545,62

16

Потери от брака, списанные на др. цеха

-28,36

-28,36

17

Расходы по травл.

214,52

214,52

18

Расходы на упак.

163,87

163,87

19

Расходы на терм.

248,94

248,94

20

Общезаводские расходы

273,19

267,11


ИТОГО по расходам

872,16

866,08


ИТОГО по себестоимости

8723,45

8713,564


Таблица 2 - Расчет затрат на монтаж оборудование

Похожие работы на - Реконструкция системы электропривода моталки пятиклетьевого стана 630 ЛПЦ №8

 

Не нашли материал для своей работы?
Поможем написать уникальную работу
Без плагиата!
Без нейросетей!