Расчет экономических показателей производственной деятельности судостроительного завода
КУРСОВОЙ
ПРОЕКТ
По
дисциплине «Экономика и управление предприятием»
Тема:
Расчет экономических показателей производственной деятельности
судостроительного завода
Введение
В настоящее время в условиях
рыночной экономики на первое место выходит эффективность
производственно-хозяйственной деятельности любого предприятия, в связи с
продолжающейся интеграцией в мировое экономическое пространство показатель
эффективности приобретает первостепенное значение. Важнейшим фактором, влияющим
на эффективность производственно-хозяйственной деятельности, является
планирование численности работников, фонда оплаты труда и стоимости основных
производственных фондов, а также себестоимости продукции, так как именно она
отражает конкурентные преимущества того или иного экономического субъекта по
сравнению с конкурентами.
Планирование основных экономических
показателей деятельности предприятия и анализ себестоимости продукции, работ и
услуг имеет исключительно большое значение. Так как это позволяет выяснить
тенденции изменения и развития предприятия, выполнения плана по их уровню,
определить влияние факторов на их прирост и на этой основе дать оценку работы
предприятия по использованию возможностей и установить резервы снижения
затратных статей предприятия.
Эффективность функционирования
предприятия и его экономический рост во многом зависят от совершенства
управления и организации всех сторон его деятельности.
Целью выполнения курсового проекта
является освоение методов расчета экономических показателей производственной
деятельности судостроительного завода.
Для достижения поставленной цели в
работе следует решить задачи:
- рассчитать затраты
на производство;
- проанализировать
основные экономические показатели деятельности предприятия;
- оценить
экономические результаты деятельности предприятия.
Рассчитываются как промежуточные,
частные показатели (трудоемкость производства продукции, фонд заработной платы
и др.), так и итоговые показатели производственно-хозяйственной деятельности
(прибыль, рентабельность).
1. Исходные данные
.1 Номер варианта и начальные
условия
Вариант Г-1
На начало расчетного года в
постройке находится судно проекта 1412, порядковый номер судна в серии 1,
процент его технической готовности 30.
.2 Характеристика судостроительного
завода
Характеристика судостроительного
завода с индексом, соответствующим варианту задания, приводится в табл.1.
Таблица 1
Характеристика судостроительного
завода «Г»
|
Показатели
|
Условные обозначения
|
Единицы измерения
|
Значение
|
|
Стоимость основных производственных фондов
|
ОФ
|
млн. руб.
|
7730
|
|
Величина собственных оборотных средств
|
ОБ
|
млн. руб.
|
3829
|
|
Размеры построечного места (стапеля): - длина - ширина
|
L B
|
м м
|
130 20
|
.3 Характеристика судов проектов,
входящих в производственную программу в расчетном году
Характеристика судов по проектам,
строительство которых запланировано в расчетном году, приводится в табл.2.
Таблица 2
Номенклатура и характеристики судов,
входящих в портфель заказов предприятия в расчетном году
|
Номер проекта
|
Тип судна
|
Главные размерения, м
|
Цена с НДС за единицу  , млн.
руб.Водоизмещение D, тМощность силовых установок N, кВт
|
|
|
|
1412
|
Сухогруз
|
123,5x15x6,5
|
9000
|
1974
|
1470
|
|
1341
|
Нефтерудовоз ручной
|
119х13,5х5,8
|
7500
|
1515
|
970
|
|
Грузоподъемность грузовых устройств P, т
|
Производительность грузовых насосов Q, м3/ч
|
Знак автоматизации А
|
Численность экипажа К, чел
|
Количество судов в серии n, шт
|
|
14,9
|
-
|
A3
|
-
|
4
|
|
-
|
-
|
А3
|
-
|
3
|
|
|
|
|
|
|
|
|
|
|
В табл.3 заносятся данные о
примерных нормативах постройки судов по проектам в месяцах и в продвижении
технической готовности.
Таблица 3
Примерные нормативы постройки судов
|
Номер проекта
|
Нормативы
|
Периоды постройки судов
|
Весь период постройки
|
|
|
Достапельный
|
Стапельный
|
Достроечный
|
|
|
1412
|
В процентах технической готовности
|
30
|
25
|
45
|
100
|
|
В месяцах
|
2,0
|
3,5
|
1,5
|
7,0
|
|
1341
|
В процентах технической готовности
|
30
|
30
|
40
|
100
|
|
В месяцах
|
2,0
|
3,0
|
1,0
|
6,0
|
|
|
|
|
|
|
|
Формулы, необходимые для
расчета производственной трудоемкости судов 
, затрат на основные и
вспомогательные материалы, покупные полуфабрикаты и комплектующие изделия 
, затрат на контрагентские
поставки и работы 
, вносятся в табл.4 в
соответствии с типом судов выбранных проектов, а также выбирается значение
поправочного коэффициента δ в соответствии с
характеристиками судна и с помощью примечания определяются единицы измерения
основных показателей, фигурирующих в расчетных формулах.
Таблица 4
Необходимые формулы для
расчета
|
Номер проекта
|
Расчетная формула
|
Примечание
|
|
1412
|
Морские транспортные суда
|
|
Сухогрузы
|
|
Ti=136,1+79,7D+371,3/i-320,3δ3
CMi=238,2+261,3D+49,4D/i+ +279,8 δ2+1150,3
δ3 CKi=1344,5+133,4D/i+ +206,6N+4,7P+2889,8
δ1- -2176,8 δ2+1322,9δ3
|
δ1=0
δ2=0
δ3=0
|
|
1341
|
Речные, озерные и смешанного плавания транспортные суда
|
|
Нефтерудовоз речной
|
|
Ti=34,3+0,08D/i+28,1δ1+129δ2+81,6N
CMi=64,4+0,1D+0,09D/i+370,4δ1+163,9δ2
CKi=112,8+0,15D+0,08D/i +325,2δ1+352,0δ2+560,0δ3
|
δ1=0
δ2=1
δ3=0
|
|
|
|
|
При расчете трудоемкости, затрат на
материалы и контрагентские поставки и работы принимать: D - водоизмещение судна
порожнем для морских транспортных судов в тыс. т.. Для проекта 1341 - D в
тоннах.
Для всех судов: Р - грузоподъемность
грузовых устройств, в т; Q - производительность грузовых насосов, в тыс. м3/ч;
N - мощность силовых установок, в тыс. кВт.

- производственная
трудоемкость постройки судов, в тыс. нормо-ч; 
- затраты на материалы,
полуфабрикаты, покупные комплектующие изделия, в млн. руб.; 
- затраты на
контрагентские поставки и работы, в млн. руб.- порядковый номер судна в серии;
j - номер проекта судна.
.4 Платежная таблица
Платежная таблица,
необходимая для расчета выручки от реализации представлена в табл.5.
Таблица 5
Примерная типовая
платежная таблица
|
Номер платежей
|
Наименование платежных моментов
|
Удельное значение платежей, проценты
|
|
I
|
Начало работы на стапеле
|
8
|
|
II
|
Начало монтажных работ (соответствует половине продолжительности
стапельного периода от его начала)
|
12
|
|
III
|
Спуск судна на воду
|
30
|
|
IV
|
Сдача судна по акту
|
50
|
|
Σ
|
|
100
|
2. Годовой график постройки судов
(стапельное расписание)
.1 Построение стапельного расписания
без учета коэффициентов снижения трудоемкости
Годовая производственная программа
судостроительного завода определяется годовым графиком постройки судов
(стапельным расписанием).
Постройка судна делится на следующие
периоды: достапельный, стапельный и достроечный.
Принцип построения стапельного
расписания следующий: стапель должен быть все время загружен, так как это
дорогостоящее сооружение; от загрузки стапеля зависит работа всех цехов и
подразделений предприятия; недогрузка стапеля принесет убытки заводу.
Стапельное расписание без учета
коэффициента снижения трудоемкости представлено на рис. 1.
.2 Расчет производственной
трудоемкости постройки судов и коэффициентов снижения трудоемкости
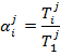
Определение коэффициентов снижения
трудоемкости постройки судов, входящих в годовую производственную программу.
Коэффициент снижения трудоемкости
постройки i-го судна j-го проекта определяется по следующей формуле:
Проект №1341 (3 судна в серии).
) Расчет производственной
трудоемкости постройки судов по формуле из табл.4:
) Расчет коэффициентов
снижения трудоемкости:
Проект №1412 (4 судна в серии).
) Расчет производственной
трудоемкости постройки судов по формуле из табл.4:
2)
Расчет коэффициентов снижения трудоемкости:
.3 Расчет нормативов постройки судов
по периодам в месяцах с учетом коэффициентов снижения трудоемкости
Необходимо соответствующие данные из
табл.3 умножить на коэффициенты снижения трудоемкости.
Таблица 6
Примерные нормативы постройки судов
с учетом коэффициентов снижения трудоемкости
|
Номер проекта
|
Нормативы
|
|
Периоды постройки судов
|
|
|
|
Достапельный
|
Стапельный
|
Достроечный
|
Весь период постройки
|
|
1412 1341
|
В процентах технической готовности
|
-
|
30 30
|
25 30
|
45 40
|
100 100
|
|
1412
|
В месяцах: 1-е судно 2-е судно 3-е судно 4-е судно
|
1,00 0,72 0,63 0,58
|
2,0 1,4 1,3 1,1
|
3,5 2,5 2,2 2,0
|
1,5 1,1 0,9 0,9
|
7,0 5,0 4,4 4,0
|
|
1341
|
В месяцах: 1-е судно 2-е судно 3-е судно
|
1,00 0,83 0,78
|
2,0 1,7 1,6
|
3,0 2,5 2,3
|
1,0 0,8 0,8
|
6,0 5,0 4,7
|
2.4 Построение стапельного
расписания с учетом скорректированных нормативов постройки судов
Построение стапельного расписания с
учетом коэффициентов снижения трудоемкости.
По данным табл.6 и первого графика
строится стапельное расписание, которое определяет годовую производственную
программу завода и лежит в основе расчетов экономических показателей его
производственной деятельности в расчетном году.
На втором графике, представленном на
рис.2, указаны проценты продвижения технической готовности по каждому периоду
постройки по каждому судну в соответствии с данными табл.6.
Таблица 7
Процент продвижения технической
готовности (ПТГ) по судам за расчетный год
|
Номер проекта
|
Номер судна
|
ПТГ на начало года, %
|
ПТГ на конец года, %
|
ПТГ, %
|
|
1412
|
1 2 3 4
|
30 0 0 0
|
100 100 100 100
|
70 100 100 100
|
|
1341
|
1 2 3
|
0 0 60
|
48 9 100
|
48 9 40
|
3. Расчет себестоимости годовой
продукции (смета затрат на производство)
.1 Расчет затрат на основные и
вспомогательные материалы, покупные полуфабрикаты и изделия
Расчет осуществляется с
помощью формул, приведенных в табл.4 по всем судам годовой производительной
программы 
.
Проект №1341 (3 судна в серии).
) Расчет затрат на основные и
вспомогательные материалы, необходимые на полную постройку судов (табл.4):
2) Расчет годовых
затрат на основные и вспомогательные материалы, необходимые для выполнения
работ по каждому судну в расчетном году 
по формуле:
Проект №1412 (4 судна в серии).
) Расчет затрат на основные и
вспомогательные материалы, необходимые на полную постройку судов (табл.4):
2) Расчет годовых
затрат на основные и вспомогательные материалы, необходимые для выполнения
работ по каждому судну в расчетном году 
по формуле:
Годовые затраты
предприятия на основные и вспомогательные материалы, полуфабрикаты и покупные
изделия 
по проектам №1412 и
№1341 по формуле:
.2 Расчет затрат на
контрагентские поставки и работы
Расчет осуществляется с
помощью формул, приведенных в табл.4 по всем судам годовой производительной
программы 
.
Проект №1341 (3 судна в серии).
) Расчет затрат на
контрагентские поставки и работы, необходимые на полную постройку судов
(табл.4):
2) Расчет годовых
затрат на контрагентские поставки и работы, необходимые для выполнения работ по
каждому судну в расчетном году 
по формуле:
Проект №1412 (4 судна в серии).
) Расчет затрат на
контрагентские поставки и работы, необходимые на полную постройку судов
(табл.4):
2) Расчет годовых
затрат на контрагентские поставки и работы, необходимые для выполнения работ по
каждому судну в расчетном году 
по формуле:
Годовые затраты
предприятия на контрагентские поставки и работы 
по проектам №1341 и
№1412 по формуле:
.3 Определение годовых затрат на
топливо и на энергию
Определение годовых
затрат на топливо 
и на энергию 
.
Годовые затраты на
топливо и энергию определяются на основе статистических данных, согласно
которым прямые материальные затраты (ПМЗ) имеют следующую структуру:
- затраты на основные
и вспомогательные материалы и затраты на контрагентские поставки и работы в
сумме составляют 96,5%;
- затраты на топливо
2%;
- затраты на энергию
1,5%.
Годовые затраты на топливо
определяются по формуле
Общая сумма затрат на топливо
распределяется по целям его использования: на технологические цели на
предприятии расходуется 70% топлива, а на бытовые нужды предприятия - 30%.
Годовые затраты на энергию
определяются по формуле
Общая сумма затрат на энергию
распределяется по целям его использования: на технологические цели на
предприятии расходуется 80% энергии, а на бытовые нужды - 20%.
.4 Определение фонда заработной
платы работников предприятия
Определение фонда заработной платы
работников предприятия (промышленно-производственного персонала) ЗПппп.
Общий фонд заработной
платы работников предприятия зависит от численности работников каждой категории
промышленно-производственного персонала 
и средней заработной
платы одного работника данной категории 
.
Численность работников
зависит от объема работ, которые необходимо выполнить в расчетном году, который
в свою очередь определяется суммарной производственной трудоемкостью годовой
производственной программы.
Расчет трудоемкости
работ с учетом продвижения технической готовности судна проекта №1341 за
расчетный год 
Расчет трудоемкости
работ с учетом продвижения технической готовности судна проекта №1412 за
расчетный год 
Расчет суммарной годовой
трудоемкости производственной программы судостроительного завода
по проектам №1341 и №1412
Исходя из
производственной трудоемкости годовой программы 
, годового фонда
рабочего времени одного рабочего (ГФРВ = 1,9 тыс.ч.), среднего процента
выполнения норм времени и выработки (
), определяется
потребная численность производственных рабочих 
:
Численность основных и
вспомогательных рабочих определяется исходя из условия, что основные
производственные рабочие составляют в общей численности рабочих 65%, а
вспомогательные рабочие, соответственно, 35%:
Численность других
категорий рабочих завода определяется из условия, что во всей численности
работников предприятия 
производственные
рабочие 
составляют 74%,
специалисты 
18,3%, руководители 
- 2,5%, а служащие 
- 5,2%:
Средняя заработная плата
одного работника соответствующей категории в месяц (
):
Годовая заработная плата
по категориям работников определяется следующим образом:
Заработная плата всех
работников предприятия в год:
3.5 Определение отчислений от
заработной платы в государственные внебюджетные фонды на социальные нужды
Определение годовых отчислений в
государственный внебюджетные фонды на социальные нужды СС.
Отчисления на социальные нужды
рассчитываются в процентах от начисленной заработной платы работникам
предприятия и составляют 30%:
.6 Определение годовых
амортизационных отчислений
Определение годовых амортизационных
отчислений А.
Годовая сумма
амортизационных отчислений рассчитывается исходя из стоимости основных
производственных фондов завода (ОФ) (см. табл.1) и средней нормы амортизации 
, которая принимается
равной 9,5% годовых:
Активная часть основных фондов
предприятия составляет 22% от их общей стоимости, а пассивная часть
соответственно 78%:
.7 Определение внепроизводственных
(прочих) годовых расходов
. Определение годовых
производственных затрат (ГПЗ).
Годовые производственные затраты
представляют собой сумму всех затрат предприятия, связанных с постройкой судов:
2. Определение себестоимости
годовой продукции 
внепроизводственных
годовых расходов (
.
Внепроизводственные расходы
определяются исходя из условия, что их величина в себестоимости годовой
продукции составляет 11,5%, а годовых производственных затрат соответственно
88,5%:
Величины себестоимости годовой
продукции, определенные сметным способом и рассчитанные суммированием элементов
сметы затрат на производство продукции за год представлены в табл.8.
Таблица 8
Смета затрат на производство
|
Элементы затрат
|
Условные обозначения
|
Сумма, млн.руб.
|
|
1. Затраты на основные и вспомогательные материалы,
полуфабрикаты и покупные изделия
|
СМ
|
3421,90
|
|
2. Затраты на контрагентские поставки и работы
|
СК
|
7578,14
|
|
3. Затраты на топливо, в том числе: 3.1) на технологические цели
3.2) на бытовые цели
|
СТ
|
227,98 159,59 68,39
|
|
4. Затраты на энергию, в том числе: 4.1) на технологические цели
4.2) на бытовые цели
|
СЭ
|
170,99 136,79 34,20
|
|
5. Фонд заработной платы работников предприятия, в том числе:
5.1) основных производственных рабочих 5.2) вспомогательных рабочих 5.3)
руководителей 5.4) специалистов 5.5) служащих
|
ЗПппп ЗПопр ЗПвр ЗПрук
ЗПспец ЗПслуж
|
614,03 339,26 136,94 18,71 102,60 16,51
|
|
6. Отчисления в государственные внебюджетные фонды на социальные
нужды, в том числе: 6.1) от зарплаты основных производственных рабочих 6.2)
от зарплаты вспомогательных рабочих 6.3) от зарплаты руководителей 6.4) от
зарплаты специалистов 6.5) от зарплаты служащих
|
СС ССопр ССвр ССрук ССспец
ССслуж
|
184,21 101,78 41,08 5,61 30,78 4,95
|
|
Элементы затрат
|
Условные обозначения
|
Сумма, млн.руб.
|
|
7. Амортизация основных производственных фондов, в том числе:
7.1) амортизация активной части основных фондов 7.2) амортизация пассивной
части основных фондов
|
А Аакт Апасс
|
734,35 161,56 572,79
|
|
Итого годовые производственные затраты
|
ГПЗ
|
12931,60
|
|
8. Внепроизводственные расходы
|
Внепр.
|
1680,38
|
|
Итого себестоимость годовой продукции
|
СБгод
|
14611,97
|
4. Расчет себестоимости судов
(калькуляция)
Себестоимость каждого судна
определяется калькуляционным способом.
Калькуляция представляет собой
определение размера затрат в денежном выражении, приходящихся на единицу
продукции выполненных работ или оказанных услуг по статьям затрат.
По способу отнесения затрат на
себестоимость они делятся на прямые и косвенные.
Себестоимость i-го судна
j-го проекта 
складывается из:
· прямых затрат, к которым
относятся затраты на основные и вспомогательные материалы, полуфабрикаты и
покупные изделия (
); затраты на
контрагентские поставки и работы (
); заработная плата
основных производственных рабочих (
), так как оплата их
труда производится по сдельной системе;
· косвенных затрат, к
которым относятся расходы на содержание и эксплуатацию оборудования 
и накладные расходы 
.
Прямые затраты рассчитываются
методом прямого счета по каждому судну, а косвенные затраты относятся на
себестоимость судов пропорционально заработной плате основных производственных
рабочих.
.1 Затраты на основные и
вспомогательные материалы и на контрагентские поставки и работы
Расчет затрат на
основные и вспомогательные материалы, полуфабрикаты и покупные изделия и на
контрагентские поставки и работы на постройку каждого судна выполнен в ходе
составления сметы. В калькуляцию должны быть включены затраты 
и 
на постройку всего
судна вне зависимости от процента работ, выполненных в данном расчетном году.
Результаты приведены в табл.9 и табл.10 в соответствии с номерами проектов.
.2 Определение
заработной платы основных производственных рабочих
экономический показатель
судостроительный
Заработная плата
основных производственных рабочих по каждому судну рассчитывается исходя из
трудоемкости постройки этого судна 
и стоимости одного
нормо-часа работы основного производственного рабочего (h = 310 руб. = 0,00031
млн.руб.):
Расчет производственной
трудоемкости 
по судам выполнен при
составлении сметы.
Заработная плата
основных производственных рабочих по каждому судну проекта «1341»:
Заработная плата
основных производственных рабочих по каждому судну проекта «1412»:
4.3 Определение отчислений от
заработной платы основных производственных рабочих в государственные
внебюджетные фонды на социальные нужды
На расчетную величину
заработной платы основных производственных рабочих 
следует начислить сумму
отчислений в государственные внебюджетные фонды на социальные нужды. Процент
отчислений равен 30%.
Отчислений в государственные
внебюджетные фонды на социальные нужды от заработной платы основных
производственных рабочих по каждому судну проекта «1341»:
Отчислений в государственные
внебюджетные фонды на социальные нужды от заработной платы основных
производственных рабочих по каждому судну проекта «1412»:
.4 Определение расходов на
содержание и эксплуатацию оборудования
Расходов на содержание и
эксплуатацию оборудования 
включают в себя:
· затраты на топливо,
расходуемые на технологические цели 
(п.3.1 сметы);
· затраты на энергию,
расходуемые на технологические цели 
(п.4.1 сметы);
· амортизацию активной
части основных производственных фондов предприятия Аакт (п.7.1
сметы).
Определим годовую сумму расходов на
содержание и эксплуатацию оборудования, подлежащих распределению (расчет
производится на основе сметы):
Рассчитаем коэффициент распределения
РСЭО:
где 
(см. п.5.1 сметы).
Сумма расходов на
содержание и эксплуатацию оборудования, подлежащая включению в калькуляцию:
Сумма расходов на
содержание и эксплуатацию оборудования по каждому судну проекта «1341»:
Сумма расходов на
содержание и эксплуатацию оборудования каждому судну проекта «1211»:
.5 Определение накладных
расходов
В общецеховые и
общезаводские (накладные) расходы 
входят:
- заработная плата
вспомогательных рабочих (п.5.2 сметы);
- заработная плата
специалистов (п.5.3 сметы);
- заработная плата
служащих (п.5.4 сметы);
- заработная плата
руководителей (п.5.5 сметы);
- отчисления на
социальное страхование от заработной платы вспомогательных рабочих,
специалистов, служащих и руководителей (п.6.1-6.5 сметы);
- расходы на топливо,
расходуемые на бытовые цели (п.3.2 сметы);
- расходы на энергию,
расходуемую на бытовые цели (п.4.2 сметы);
- амортизационные
отчисления пассивной части основных производственных фондов (п.7.2 сметы);
- внепроизводственные
расходы (п.8 сметы).
Определим годовую сумму накладных
расходов, подлежащих распределению (расчет производится на основе сметы):
Рассчитаем коэффициент распределения
НР:
Сумма накладных расходов, подлежащая
включению в калькуляцию на каждое судно:
Сумма накладных расходов на каждое
судно проекта «1341»:
Сумма накладных расходов на каждое
судно проекта «1412»:
.6 Определение себестоимости судов
Расчет себестоимости судов выполнен
в табл.9 для проекта №1341 и в табл.10 для проекта №1211. Себестоимость судна
определяется как сумма всех шести статей затрат калькуляции.
Калькуляция себестоимости судов
проекта «1341», млн. руб. Таблица 9
|
Статьи затрат
|
Усл. обозначение
|
Номера судов
|
|
|
1
|
2
|
3
|
|
1. Прямые затраты 1.1) Затраты на основные и вспомогательные
материалы 1.2) Затраты на контрагентские поставки и работы 1.3) Заработная
плата основных производственных рабочих 1.4) Отчисления на социальное
страхование
|
|
516,15 813,25 112,73 33,82
|
447,98 752,65 93,95 28,18
|
425,25 732,45 87,68 26,31
|
|
2. Косвенные затраты 2.1) Расходы на содержание и эксплуатацию
оборудования 2.2) Накладные (общецеховые и общезаводские) расходы
|
|
152,16 901,47
|
126,81 751,25
|
118,35 701,17
|
|
Итого: себестоимость судна
|
|
2529,59
|
2200,81
|
2091,22
|
Таблица 10
Калькуляция себестоимости судов
проекта «1412», млн. руб.
|
Статьи затрат
|
Усл. обозначение
|
Номера судов
|
|
|
1
|
2
|
3
|
4
|
|
2. Прямые затраты 2.3) Затраты на основные и вспомогательные
материалы 2.4) Затраты на контрагентские поставки и работы 2.5) Заработная
плата основных производственных рабочих 2.6) Отчисления на социальное
страхование
|
|
851,52 1981,56 206,07 61,82
|
802,76 1849,90 148,51 44,55
|
786,51 1806,01 129,33 38,80
|
778,39 1784,06 119,74 35,92
|
|
3. Косвенные затраты 3.1) Расходы на содержание и эксплуатацию
оборудования 3.2) Накладные (общецеховые и общезаводские) расходы
|
|
278,14 1647,82
|
200,46 1187,61
|
174,57 1034,20
|
161,62 957,50
|
|
Итого: себестоимость судна
|
|
5026,94
|
4233,80
|
3969,42
|
3837,23
|
5. Определение прибыли от продажи
судов, рентабельности продаж и рентабельности затрат по судам
. Определение цен на суда
завода-строителя Цj.
В табл.2 приведены цены продажи
судов, т.е. цены, включающие в себя налог на добавленную стоимость (НДС).
Ставка НДС составляет 18%.
Цена завода-строителя определяется
по формуле:
Цена завода-строителя проекта
«1341»:
Цена завода-строителя проекта
«1412»:
Цена каждого судна одного проекта
является одинаковой.
2. Определение
прибыли от продажи судов 
.
Прибыль от продажи каждого судна
определяется по формуле:
Прибыль от продажи каждого судна
проекта «1341»:
Прибыль от продажи каждого судна
проекта «1412»:
3. Определение
рентабельности продаж судов 
.
Рентабельность продажи судна показывает
долю прибыли от реализации судна в цене завода-изготовителя. Показатель
рассчитывается по каждому судну каждого проекта, входящего в производственную
программу завода:
Показатель рентабельности продаж
каждого судна проекта «1341»:
Показатель рентабельности продаж
каждого судна проекта «1412»:
4. Определение
рентабельности затрат по судам 
Рентабельность затрат по судам
показывает величину прибыли от продажи судна в рублях, приходящуюся на один рубль
затрат, связанных с постройкой судна (себестоимости). Показатель рассчитывается
по каждому судну каждого проекта, входящего в производственную программу
завода:
Показатель рентабельности затрат по
каждому судну проекта «1341»:
Показатель рентабельности затрат по
каждому судну проекта «1412»:
Таблица 11
Цены завода-строителя на суда,
прибыль от продажи судов, рентабельность продаж и рентабельность затрат по
судам
|
№ проект
|
№ судна
|
 , млн.руб. , млн.руб. , % , руб/руб
|
|
|
|
|
1341
|
1 2 3
|
6355,93
|
3826,34 4155,12 4264,71
|
60,2 65,4 67,1
|
1,51 1,89 2,04
|
|
1412
|
1 2 3 4
|
7627,12
|
2600,18 3393,32 3657,70 3789,89
|
34,1 44,5 48,0 49,7
|
0,52 0,80 0,92 0,99
|
6. Определение годовой прибыли
предприятия и показателей экономической эффективности производства
.1 Определение годовой выручки
завода
Годовая выручка (
) от реализации
судостроительной продукции завода определяется на основании цен завода на суда 
и процентов платежей
заказчиков 
.
Цены завода-изготовителя
представлены в табл.11. Для расчета величины процентов платежей заказчиков по
частичной готовности судов необходимо использовать данные из платежной таблицы
(табл.5).
На годовом графике
наносятся моменты платежей с указанием величины каждого платежа в процентах от
цены судна, затем они суммируются по каждому судну и результаты записываются в
табл.12.
Таблица 12
Проценты платежей
заказчиков судов, ожидаемые к получению в расчетном году
|
Номер проекта
|
Номер судна
|
Платежи заказчиков  , %
|
|
1341
|
1 2 3
|
8 + 12 = 20 0 30 + 50 = 80
|
|
1412
|
1 2 3 4
|
8 + 12 + 30 + 50 = 100 8 + 12 + 30 + 50 = 100 8 + 12 + 30 + 50 =
100 8 + 12 + 30 + 50 = 100
|
Величина годовой выручки завода от
реализации судостроительной продукции:
.2 Определение годовой прибыли
завода
Годовая прибыль завода 
рассчитывается как
разница между годовой выручкой от реализации продукции и себестоимостью годовой
продукции (итог сметы):
.3 Определение рентабельности продаж
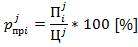
Рентабельность продаж (
) продукции показывает
долю прибыли в выручке завода в расчетном году:
.4 Определение
рентабельности затрат
Рентабельность затрат (
) продукции показывает,
сколько рублей прибыли приходится на один рубль средств, вложенных в
производство судов в расчетном году:
.5 Определение чистой
прибыли
Чистая прибыль (ЧП)
предприятия - это прибыль, остающаяся в его распоряжении, за счет которой
происходит расширение его деятельности, обновление основных фондов,
материальное положение работников, выплаты дивидендов собственникам предприятия
и др.:

, (1)
где 
- налог на прибыль,
рассчитываемый по ставке 20%:

млн.руб.

- плата за кредит,
вычисляемая в случае, если предприятию недостаточно величины собственных
оборотных средств для выполнения производственной программы в расчетном году.
Для определения
потребности предприятия в кредитовании рассчитаем величину оборотных средств,
необходимых для выполнения сформированной годовой производственной программы 
:
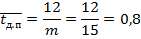
где 
- средний период
денежных поступлений, т.е. период между двумя очередными платежами заказчиков в
среднем в данном расчетном году:
(m - количество платежей
заказчиков по частичной готовности судов в расчетном году, которое определяется
по графику);

- коэффициент
нарастания затрат, для предприятий судостроения составляет 0,6-0,65, в данном
курсовом проекте принимается равным 0,6.
Сравним найденную
величину необходимых оборотных средств с величиной оборотных средств, которыми
располагает предприятие ОБ (см. табл.1).
Предприятие в
кредитовании не нуждается.
Дополнительные расходы в
размере величины платы за кредит 
Результаты подставим в формулу (1)
п.5.5.:
.6 Определение издержек упущенных
возможностей Издержки упущенных возможностей (ИУП) определяются по формуле
где 
= 8,5% - величина
банковской ставки по вкладам.
Значение стоимости
оборотных средств и величины основных фондов предприятия приведены в табл.1.
Так как 
, то вариант является
эффективным.
6.7 Определение чистого дохода
предприятия
Чистый доход (ЧД) предприятия
включает чистую прибыль и начисленный фонд заработной платы работников:
.8 Расчет налогов, перечисляемых
предприятием в доход государства
Расчет величины налога на
добавленную стоимость, подлежащую перечислению в доход государственного бюджета
в расчетном году (НДС).
Ставка НДС 18%. Сумма налога
представляет собой разность между налогом в составе цены продукции предприятия
и налогом, уплаченным предприятием при приобретении материальных ресурсов у
сторонних предприятий:
Значения затрат на материалы, затрат
на контрагентские поставки и работы, на топливо и на энергию рассчитаны при
заполнении сметы.
Заключение
В условиях рыночной экономики каждый
предприниматель крайне заинтересован в эффективном ведении хозяйства. Изучение
использования любого ресурса подразумевает рассмотрение показателей
эффективности их использования.
Эффективность деятельности
предприятия - это соотношение между результатом и затратами или ресурсами,
которые этот результат вызвали.
Обобщающим показателем деятельности
практически любого промышленного предприятия с точки зрения соотношения затрат
и результатов можно назвать показатель соотношения прибыли со стоимостью
реализованной продукции и затрат на производство, т.е. рентабельность.
В результате данной курсовой работы
были рассчитаны основные экономические показатели работы предприятия:
. Стоимость и амортизация
основных фондов
. Объем товарной продукции
. Численность работников
предприятия
. Фонд заработной платы,
показатели производительности труда
. Себестоимость продукции
. Прибыль и рентабельность
Проанализировав рентабельность
продаж и затрат по судам (на основании таблицы 11), видно, что доля прибыли по
судам в выручке завода в расчетном году превышает 34%, а показатель
рентабельности затрат по судам составляет 2,04 и 0,99 руб/руб. Из чего можно
сделать вывод об эффективности данного предприятия.
Предприятие располагает
оборотными средствами в размере 
, что позволяет
полностью покрыть издержки производства.
Рассматриваемое
предприятие при производстве данных судов серий 1341 и 1412 не нуждается в
кредите. Это следует из расчета оборотных средств, необходимых для выполнения
сформированной годовой производственной программы. Налог на прибыль,
рассчитываемый по ставке 20% составил 4450,49 млн.руб. НДС со ставкой 18%
составил 
Годовая прибыль
продукции составляет 
. Издержки упущенных
возможностей (ИУВ) составляют 
Расчет показывает
выгодное использование основных фондов и оборотных средств, используемых в
реализации данной годовой производственной программы. Что ещё раз показывает
эффективность данного производства.
Постройка судов проекта
«1341» выгоднее, чем «1412». Количество судов в серии по каждому проекту 3 и 4
соответственно. Временные рамки строительства больше у проекта «1412», но
рентабельность по каждому судну меньше, чем по судам проекта «1341» (табл.11).
Затраты на контрагентские поставки проекта «1412» больше, в связи с большей
себестоимостью каждого судна проекта «1341» (табл.9, табл.10).
Величина прибыли от
продажи судов проекта «1341» и «1412», отличается не значительно так же как и
доля прибыли от реализации судна в цене завода-изготовителя (см.табл.11). Хотя
цена на судно проекта «1412» (7627,12 млн.руб.) больше, чем цена судна проекта
«1341» (6355,93млн.руб.), постройка 3 судов проекта «1341» принесет больше
прибыли за одинаковый промежуток времени.
Данный курсовой проект
способствовал лучшему изучению и практическому закреплению теоретического
материала, приобретению навыков самостоятельной работы и умения выполнять
конкретные экономические расчеты, выбирая наиболее рациональные пути решения
экономических задач.
Литература
1. Налоговый кодекс РФ. Часть 1 и 2. М.: Эксмо, 2010.
. Выварец А.Д. Экономика предприятия: учебник для студентов
вузов, обучающихся по специальности 080502 «Экономика и управление на
предприятии (по отраслям)». М.: ЮНИТИ-ДАНА, 2007.
. Грузинова В.П. Экономика предприятия
(предпринимательская): учебник для вузов. М.: ЮНИТИ-ДАНА, 2003.
. Зайцев Н.Л. Экономика организации: учебник. 2-е изд., М.:
Экзамен, 2004.
. Петухов Р.М. Экономика предприятия: учебное пособие /
СПбГМТУ: СПб., 2002.
. Чуев И.Н., Чечевицина Л.Н. Экономика предприятия:
учебник. М.: Дашкова и Ко, 2005.
. Ширенбек. Х. Экономика предприятия: учебник для вузов.
СПб.: Питер, 2009.
. Штурмин А.Г. Экономика предприятия: учебное пособие /
СПбГМТУ: СПб., 2006.
. Экономика предприятия: учебник / Под ред. В.Я.Горфинкеля,
В.А.Швандара. М.: ЮНИТИ, 2003.
. Экономика предприятия: учебник / Под ред. А.Е.Карлика,
М.Л.Шухгальтера, М.: ИНФРА-М, 2004.
. Экономика фирмы: учебник / Под ред. В.Я.Горфинкеля,
В.А.Швандара. М.: ЮНИТИ, 2011.
. Экономика предприятия (фирмы): практикум /
Л.П.Афанасьева, Г.И.Болкина, О.Ф.Быстров и др. / Под ред. О.И.Волкова,
В.Я.Позднякова. М.: ИНФРВ-М, 2008.
. Экономика организации (предприятия): практикум / А.М.
Белов, Г.Н. Добрин, А.Е. Карлик. М.: ИНФРА-М, 2009.
. Петухов Р.М. и др. Методические указания к курсовому
проектированию «Расчет экономических показателей производственной деятельности
судостроительного завода». СПб: СПбГМТУ, 2008.