Принцип работы интерполятора стойки ЧПУ Н-33
Содержание
Введение
.
Конструкторско-технологическая часть
.1 Общие сведения
.2 Конструкция
.3 Технические данные и
характеристика
. Интерполятор
.1 Общие сведения
.2 Интерполяция
. Принцип работы схемы сложения и
вычитания единицы
. Выбор и обоснование элементной
базы
. Расчет эквивалентной передаточной
функции схемы
. Реализация заданной программы в
коде ISO-7bit
. Реализация заданной программы с
помощью Ассемблера
Заключение
Список используемой литературы
Введение
Теория автоматического управления - одна из
важнейших технических наук общего применения. Она дает теоретическую базу для
исследования и практического применения любых автоматизированных систем во всех
областях техники. Автоматизация производственных процессов - одно из основных
направлений технического прогресса, основа повышения производительности труда.
Автоматизация производственных процессов развивалась по пути замены тяжелого
физического труда человека работой механизмов. Механизация ручных операций на
производственных предприятиях создала предпосылки для передачи техническим
регуляторам операций по управлению производственными процессами. Автоматизация
является качественно новым этапом в совершенствовании производства. Основные
обязанности человека в этом случае - наблюдение за параметрами процесса и
выполнение нештатных операций.
На различных этапах развития станкостроения в
России сменялись поколения электронных устройств числового программного
управления (ЧПУ), принципиально изменялись их возможности, что накладывало
отпечаток на конструкцию и функциональность самого объекта управления -
металлорежущего станка. В результате этого возникли высокосовершенные
устройства ЧПУ, построенные по структуре электронно-вычислительных машин (ЭВМ),
а также создано высокопроизводительное технологическое оборудование с ЧПУ, в
том числе технологические (обрабатывающие) модули, автоматизированные
технологические ячейки, автоматические линии, автоматизированные участки и др.
Структурно автоматизированную производственную систему механической обработки можно
представить как совокупность подсистем. Автоматизированная система станков
может быть представлена в виде обрабатывающего модуля, технологической ячейки,
автоматической линии или автоматизированного участка. Автоматизированный станок
- самоуправляемая рабочая машина, которая при выполнении технологического
процесса производит все рабочие и вспомогательные движения данного цикла
обработки. Автоматизированная технологическая ячейка - производственный
комплекс из группы станков одного или различного назначения, но с одинаковыми
приемами обслуживания. Автоматическая линия - комплекс автоматизированных
рабочих машин, расположенных в технологической последовательности, связанных
средствами транспортирования и вспомогательным оборудованием, объединенный
общей системой управления и обеспечивающий полный цикл обработки деталей или
группы однородных деталей.
Автоматизированный участок - производственная
система из нескольких автоматизированных станков, обрабатывающих модулей или
автоматизированных технологических ячеек, которые объединены с помощью
транспортной системы, манипуляторов и других вспомогательных устройств, а также
единой системой группового управления, обеспечивающая комплексную обработку
однотипных деталей с разной последовательностью операций.
Развитие числового программного управления
протекает быстрыми темпами. Повышение эффективности производства и качества
продукции в значительной степени определяется созданием машин, позволяющих
осуществить комплексную автоматизацию технологических процессов в машиностроении.
Комплексная автоматизация предполагает применение автоматических машин для
основных и вспомогательных операций, а также использование средств
вычислительной техники для планирования, организации и управления
производственными процессами. Автоматизация работы оборудования включает:
механизацию тяжелых работ;
дистанционное управление;
автоматизацию непрерывно протекающих процессов
при нормальной работе оборудования;
автоматическое управление по заданной программе.
Основным методом автоматизации
машиностроительного производства является оснащение технологического
оборудования системами программного управления - ПУ, которые позволяют
обеспечить требуемую универсальность и быструю переналаживаемость. Системы ПУ
технологическим оборудованием могут быть цикловыми - ЦПУ, числовыми - ЧПУ,
непосредственными с прямым управлением от электронных вычислительных машин
ЧПУ-ЭВМ. Системы ЧПУ обеспечивают автоматическое программное управление
движения рабочих органов, их скоростью при формообразовании детали, установочными
перемещениями, а также последовательностью цикла, режимами обработки и
вспомогательными функциями, основываясь на цифровых, буквенных и других
символах, которые однозначно определяют информацию управляющего алгоритма.
Характерным для систем ЧПУ является дискретность задания управляющей программы
- УП.
Системы ЧПУ-ЭВМ включают центральную ЭВМ,
выполняющую обработку и распределение данных управляющих программ на несколько
станков или других систем с ЧПУ. Таким образом, эти системы связаны с централизованным
групповым программным управлением производственным оборудованием. Их
особенностью является многоранговый принцип выполнения вычислительно-логических
операций
Поддержание параметров технологического процесса
в диапазоне заданных значений выполняет система автоматического регулирования -
САР. Поскольку задачей САР является управление объектом, то такая система
называется замкнутой системой автоматического управления
Кроме замкнутых систем в промышленности
применяются разомкнутые системы. В этих системах управляющее устройство может
состоять из нескольких звеньев. Каждое звено имеет вход, на который подается
воздействие извне, и выход, который передает воздействие вовне. Для разомкнутых
автоматических систем входом является задающее воздействие и нагрузка, а
выходом - управляемая величина
Система, в которой заданное значение
регулируемой величины поддерживается постоянным, называется системой
стабилизации.
Система, в которой заданное значение
регулируемой величины изменяется по заранее установленной программе, называется
программной.
Система, в которой заданное значение
регулируемой величины не установлено и определяется какой-нибудь другой
величиной, изменяющейся во времени по случайному закону, называется следящей.
Параметр технологического процесса, который
поддерживается постоянным или закономерно меняющимся, называется регулируемой
величиной.
Во всех системах, работающих по принципу
отклонения контролирующего параметра, измеряется разность между текущим и
заданным значениями регулируемой величины. Если в системе несколько
регулируемых величин, то образуется многоконтурная система регулирования.
Во всех этих системах автоматического
регулирования их функции сводятся к поддержанию некоторых величин на заданном
уровне или изменению их по заданному закону. Современные автоматические системы
решают более сложные задачи оптимизации технологического процесса, например
обеспечение максимального КПД объекта регулирования, ведение процесса при
минимуме расхода топлива.
Такие системы являются самонастраивающимися,
автоматически приспосабливающимися к свойствам регулируемого процесса. Они
обладают более сложной структурой
Автоматизированные системы управления -
совокупность человеческих возможностей и механических средств, обеспечивающих
рациональное управление сложным объектом (процессом) в соответствии с заданной
целью. Качественный скачок в развитии автоматического управления был совершен,
когда в системы стали включать быстродействующие ЭВМ, которые выполняют
вычислительные и управляющие функции, успевая производить коррекцию
передаточных функций датчиков и исполнительных механизмов. Классифицировать
системы автоматического управления можно по методу управления и функциональному
признаку. По методу управления все системы делятся на два больших класса:
адаптивные;
неадаптивные (обыкновенные).
Неадаптивные системы подразделяются на три типа:
разомкнутые;
замкнутые;
комбинированные.
Автоматические системы управления, в которых
управляющее воздействие вырабатывается в результате сравнения истинного
значения управляемой величины с заданным имеют обратную связь, по которой
информация о состоянии регулируемого параметра передается на вход. Эти системы
предназначены для выполнения стабилизирующей, программной и следящей функций.
Стабилизирующие системы наиболее распространены. У программных систем при
помощи специальных программных датчиков регулируемый параметр изменяется во
времени по заранее заданной программе или закону, определяемому технологическим
процессом в объекте регулирования. Следящие системы меняют значение
регулируемого параметра во времени в соответствии с изменениями какой-либо
величины, воздействующей на датчик
Адаптивные системы построены таким образом, что
в зависимости от состояния регулируемого параметра может меняться структура
системы управления. Здесь можно привести пример поведения измерительного
комплекса, установленного на борту спутника.
Когда спутник находится в зоне действия
солнечного излучения, адаптивная система управления включает измерительные
датчики, предназначенные для получения информации о состоянии околоземного
пространства, облучаемого солнцем. При перемещении спутника в теневую область
околоземного пространства необходимо изменить набор измерительных датчиков. В
этом случае адаптивная система по командам солнечного датчика перенастраивает
измерительную систему.
В общем случае задача расчета и выбора
оптимальных структур, состава оборудования, устройств ЧПУ, вычислительных
средств ЭВМ и каналов связи систем группового управления заключается в
определении совокупности множеств частных показателей качества, алгоритмов и
параметров, которые удовлетворяют условию наибольшей общей эффективности всего
производственного комплекса.
Стремление увеличить количество продукции
выпускаемой с помощью станков с ЧПУ, ускорить сменяемость изделий в
машиностроении и избежать дефицита операторов станков, привело в восьмидесятые
годы к появлению гибких производственных модуляций и гибких производственных
систем, представляющих собой сочетание многооперационных (многоцелевых) станков
с ЧПУ, роботизированных транспортных средств и микроэлектронных систем
управления, обладающих разветвленной гибкой структурой. Благодаря применению
гибких производственных систем, решается проблема круглосуточного использования
оборудования, открывающая возможность практической реализации «безлюдной
технологии».
1. Конструктивно-технологическая часть
.1 Общие сведения
Данное устройство ЧПУ относятся к устройствам
ЧПУ третьего поколения. Оно построено на базе кремниевых интегральных микросхем
третьего поколения. Такие устройства характеризуются только одним потоком
информации, направленным от программного управления к рабочим органам станка.
Перемещение рабочих органов при этом не контролируется и не сопоставляется с
перемещением, заданным в программе. В принципе они обеспечивают меньшую
точность обработки, по сравнению с замкнутыми устройствами, они имеют ряд
преимуществ:
простота конструкции;
высокая надежность;
наличие быстроходных и надежных шаговых
двигателей.
По своим функциональным возможностям данное
устройство ЧПУ может относиться к классу NC,
то есть происходит запоминание информации только на один кадр. Оно может
обеспечить достаточно большую скорость перемещения рабочих органов станка, а
так же широкий диапазон регулирования скоростей. Это устройство применяется для
управления фрезерными станками средних размеров с автоматической сменой
режущего инструмента, и используется для обработки деталей сложных конструкций.
Устройство может работать в ручном и автоматическом режимах. Оно оснащено
цифровой индикацией и позволяет вводить технологические и вспомогательные
команды, а также коррекцию на длину и радиус режущего инструмента. Устройство
обеспечивает постоянство контурной скорости и осуществляет линейную
интерполяцию (ЛИ) и круговую интерполяцию (КИ) по методу цифровых и
дифференциальных уравнений.
1.2 Конструкция
Данное устройство ЧПУ построено по принципу
цифровых модулей и осуществляет переработку информации аппаратным способом.
Конструктивное устройство ЧПУ, представленное на рисунке 1.1, выполнено в виде
следующих двух частей, размещенных в специальных шкафах:
вычислитель А;
устройство управления шаговым приводом В.
Вычислитель является основной частью устройства
и предназначен для ввода информации с перфоленты или переключений пульта
оператора, для преобразования вводимой информации к виду, необходимому для
интерполирования, к выполнению линейной и круговой интерполяции с выдачей
сигналов в устройство привода, индикации номера кадра, коррекции управления,
техническими операциями станка с других операций.
Вычислитель является одной из основных частей
устройств и предназначен для управления технологическими станками, индикации
геометрической информации, номера кадра и технологических команд и других
функций приведенных ранее. В состав вычислителя входят следующие основные
блоки:
блок входных и выходных реле;
блок индикации;
вычислитель;
БЗС - блок задания скорости;
УВВ - устройство ввода вывода;
ФСУ - фотосчитывающее устройство;
блоки памяти S;
интерполятор;
выходной блок;
блок питания;
устройство управления шаговым двигателем;
Блоки входных выходных реле предназначены для
связи станка с устройством ЧПУ.
Они воспринимают и передают информацию в
двоично-десятичном коде на станок с устройством ввода вывода и со станка в
устройство ввода вывода.
Блок индикации осуществляет индикацию номера
кадра, инструмента, ИНТ и БЗС. Одновременно можно индицировать содержимое
только одного регистра.
Вычислитель имеет несколько пультов управления,
например, пульт оператора, пульт коррекции и другие. Пульт оператора,
расположенный на передней панели вычислителя, задает режим работы. Ряд операций
блок выполняет совместно с блоком режимов. Пульт коррекции набирается
переключателями в виде четырехзначных чисел и поступает в дешифратор. Затем в
двоично-десятичном коде она записывается в регистр ввода-вывода.
БЗС обеспечивает формирование сигналов, частот
следования рабочего органа станка, поддерживающее перемещение по криволинейной
траектории, а также режимов разгонов и торможения. Рабочая подача может
достигать 4800 мм/мин. В блоке задания скорости предусмотрен автоматический
разгон и торможение рабочих органов станка, а также автоматическое вычисление
тормозного пути в соответствии с заданной скоростью. Время разгона в пределах
от 0,1 до 2,1 с.
Устройство ввода-вывода обеспечивает считывание
и дешифрацию управляющей информации, также ее контроль по паритету и структура
кадра, преобразует часть информации в интерполятор и БЗС. В блоке цифровой
индикации технологические команды на блок реле. УВВ включает в себя фотосчитывающее
устройство и блоки регистров ввода, управления и памяти.
Фотосчитывающее устройство обеспечивает
считывание информации с перфоленты, по командам блока управления. Скорость
считывания должна быть не менее 300 ст/с.
Блок регистра ввода предназначен для ввода
информации с одной строки в регистр ввода и запоминание ее до прихода
следующей, контроля введенной строки на четность и дешифровки некоторых команд.
В блоке управления полностью управляет УВВ, фотосчитывающими устройствами и
другими блоками устройства. Блок памяти вспомогательных команд, блок памяти L,
номер и координата коррекции, номер кадра хранит номер кадра, выбирает
необходимую информацию на пульте и выводит ее по соответствующей координате.
Блок памяти:
S - скорость
главного двигателя;
М - вспомогательная функция;
Т - номер инструмента, используется для хранения
информации технологических команд на релейном регистре.
Интерполятор является основной частью
вычислителя. Он автоматически рассчитывает эквидистанту, реализует линейный и
круговой закон интерполяции, осуществляет коррекцию по длине и радиусе режущего
инструмента вдоль всей координаты и задает требуемую последовательность
управляющих воздействий для перемещения рабочих органов станка.
Выходной блок предназначен для синхронизации работы
интерполятора и БЗС, и распределения импульсов интерполятора по координатным
осям с учетом направления перемещения.
Генератор тактов и стропов используется для
синхронизации работы всех узлов вычислителя.
Блок питания предназначен для питания всех устройств
ЧПУ. Выпрямляет и преобразовывает переменное напряжение трехфазной сети
постоянно стабилизированного тока.
Устройство управления шаговым двигателем
содержит пульт контроля, блоки управления шаговым приводом, блоки фиксирования
регистров. Оно предназначено для преобразования, формирования и усиления
сигналов, поступающих из интерполятора в сигналы управления шаговыми приводами
станка
УЧПШ может работать в двух режимах:
«Работа» - по сигналам интерполятора,
используемым при автоматическом управлении станка;
«Проверка» - по сигналу автоматического
генератора, используемого при настройке и проверке работоспособности устройств.
В процессе работы металлорежущего станка
фотосчитывающее устройство осуществляет построчное считывание информации с
перфоленты, закодированной в коде ISO-7bit,
и направляет ее в устройство ввода-вывода. Последние обеспечивают контроль и
предварительную обработку считанной информации. Информация из УВВ поступает, в
зависимости от ее назначения, в блок реле, устройство задания скорости и
интерполятор.
1.3 Технические данные и характеристика
Назначение - управление фрезерными станками,
средних размеров с автоматической, сменой инструмента
Число управляемых координат - 3
Программоноситель - восьмидорожечная перфолента.
4 п п шириной 25,4 мм
Кодирование - системе ISO-7bit
Здание размеров в программе - в приращениях
Интерполяция - линейная и круговая
Точность интерполяции - 0,01мм ± дискрета без
накопления т ошибок
Устройство обеспечивает коррекцию программы с
учетом - длина и радиус инструмента
Форма выдачи S,
M, T
- двоично-десятичном коде
Скорость быстрого перемещения - 4800 мм/мин
Устройство обеспечивает ручное изменение
скорости подач от заданного значения - 20% до 120%
В режиме «Ручное управление» с заданием на ПО
одной из фиксированных скоростей подач - от 3 до 4800 мм/мин
С учетом этих изменений скорость не должна
превышать - 4800 мм/мин.
Привод подач - шаговый
Устройство обеспечивает задание нескольких
режимов работы:
«Установка устройства в исходное состояние»;
СБРОС
«Ручной набор информации по адресам G,
F, I,
J, K,
X, Y,
Z, S,
M, T,
L»; - РУЧНОЙ ВВОД
«Обработка от программы только технологической
информации S, M,
T»; Отработка
технологии
«Автоматический режим работы по программе»;
АВТОМАТ
«Работа по программе в автоматическом режиме с
остановом по концу кадра»; ПОКАДРОВАЯ РАБОТА
«Управление от пульта станки безразмерными
перемещениями и установка рабочего органа в исходное положение»; РУЧНОЕ
УПРАВЛЕНИЕ
«Автоматический поиск номера кадра, набранного
на переключателях ПО»- ПОИСК КАДРА
Устройство функционирует - от 5 до 40оС
Относительная влажность - (65 ± 15)%
Наработка на отказ - 630 часов
Потребляемая мощность - 1 кВт
Двухшкафное исполнение - 450кг
Одношкафное исполнение - 400кг. [5]
Рисунок 1.1 - Структурная схема УЧПУ
класса NC
2. Интерполятор
.1 Общие сведения
Интерполятор - вычислительный блок устройства,
реализующий алгоритм интерполяции.
Интерполятор расположен на втором этаже
вычислителя и включает в себя следующие функциональные узлы:
устройство управления, которое собрано на плате
формирования G и КОК режимов;
плата нормализации;
сумматор коррекции - устройство передачи
геометрической информации из УВВ в регистры буферной памяти интерполятора;
интеграторы Х, состоящие из буферного и рабочего
регистров Х и регистра - накопителя Х;
интегратор У, состоящий из буферного и рабочего
регистров У и регистра - накопителя У;
интегратор Z,
состоящий из буферного и рабочего регистров Z
и регистра - накопителя Z;
буферный и рабочий регистры конца отработки
кадра (КОК).
Интерполятор рассчитывает последовательность
движения по координатам для введения участков интерполяции. Совокупность
движений по осям дает нужный контур обработки.
Геометрическая информация задается по адресам X,
Y, Z,
I, J,
K. Число под этим
адресом соответствует перемещению рабочего органа станка в соответствии с
дискретностью системы, а знак - направлению перемещения. Система координат
прямоугольная. Например: X
+ 152871 при дискретности 0,01 соответствует перемещению 1528,71 мм.
2.2 Интерполяция
При ЛИ вводится функция G01,
приращение и их направления по каждой координате

Для отработки данной траектории необходимо
ввести два кадра геометрической информации.
Приращениям присваиваются знаки в соответствии с
выбранным для станка направлением координат:
перемещение 1-2 +х1+у1,
перемещение 2-3 - х2-у2.
При КИ всегда вводится признак плоскости
обработки, направление движения (по часовой стрелке - функция G02,
против часовой стрелки - G03),
приращения, координаты начальной точки относительно центра окружности
Рисунок 2.2 Круговая интерполяция
Интерполяция проводится по методу ЦДА (цифрового
дифференциального анализатора). При этом в случае ЛИ приращения делятся на N
частей. Полученные таким образом отрезки Х/N;
Y/N;Z/N
должны быть по величине менее одной дискреты перемещения. Интерполяция
заключается в том, что отрезки Х/N;
Y/N;Z/N
суммируются до тех пор, пока не будет пройдена вся прямая. Целые части сумм
используются в качестве дискрет перемещений. Одно сложение производится за один
вычислительный цикл. Интерполяция заканчивается через N
вычислительных циклов.
Разложение приращений на N отрезков
производится без арифметической операции деления. Код приращения представляется
в виде правильной дроби, причем запятая устанавливается перед старшим значащим
разрядом кода приращений. В этом случае N=2
, где n -
порядковый номер старшего разряда перемещений. Например: х=1024, у=32, z=8.
Числа представлены в следующем виде:
х - 0, 1 000 000 0000
у - 0, 0 000 010 0000
z - 0, 0 000
000 1000
Количество сложений N =2
= 2048
При работе по трем координатам в
интерполяторе производится одновременное суммирование приращений в трех
интеграторах. Каждый из них состоит из рабочего регистра(РР), в котором
циркулирует код приращения, сумматора(∑) и накопителя(РН) для
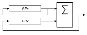
промежуточных результатов суммирования.
Рисунок 2.3 Структурная схема
интегратора
Переносы сумматора соответствующие
старшему значащему разряду приращений, используются в качестве дискрет перемещений.
Число N
записывается в РР КОК.
С каждым циклом сложения из
содержимого РР КОК вычитается «единица». Так как интерполяция начинается за
один цикл до записи числа в РР КОК, равном «единице».
Например: Приращение Х=4; У=2. Числа
Х и У записаны в рабочие регистры в двоичном коде. Старший значащий разряд -
третий. Соответственно указанному выше, в РР КОК должно быть записано число
100.
За первый вычислительный цикл
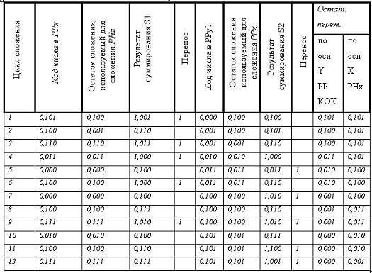
интерполятором рассчитан участок пути АD (таблица 1
и рисунок 2.4). Так как дискретность устройства равна 1, первый «шаг» выдан
интерполятором по оси Х после второго цикла сложения.
Рисунок 2.4 Пример ЛИ
В качестве дискреты перемещения использован
перенос сумматора интегратора Х, который образовался во время сложения третьего
разряда кода числа в рабочем регистре и третьего разряда кода в регистре
накопителе.
После четвертого цикла сложения интерполятором
выдаются «шаги» по осям Х и У одновременно, и так далее. Таким образом, отрезок
АВ аппоксируется ломаной линией ADEFB,
максимальное отклонение которой от отрезка АВ не более 1 дискреты.
Таблица 1 - Вычислительный цикл при ЛИ
|
Сложение
|
Содержимое
регистров - накопителей и переносы
|
Содержимое
РР КОК
|
Рассчитанный
путь
|
|
РНх
|
РНy
|
|
Sx
|
Sy
|
|
1 2 3 4 5 6 7 8
|
000.100 001.000 001.100 010.000
010.100 011.000 011.100 100.000
|
000.010 000.100 000.110 001.000
001.010 001.100 001.110 010.000
|
1000 111 110 101 100 11 10 1
|
1 2 3 4
|
1 2
|
Интерполяция дуги окружности производится двумя
интеграторами X и Y, охваченными обратными связями. В этом случае в РРХ
записывается координата начальной точки дуги I, в РРУ записывается
координата начальной точки дуги J. Перед начальном интерполяции, в целях
повышения точности, в РНХ и РНУ записывается машинная
единица, равная 2n-1,
I или J.
При КИ также как и при ЛИ содержимое РРх складывается с содержимым
РНХ, а содержание РРУ - с содержимым РНУ.
Переносы сумматора интегратора Х,
соответствующие старшему разряду координат, используется в качестве дискрет перемещения
по оси У для изменения кода в РРУ.
Переносу сумматора интегратора У,
соответствующие старшему значащему разряду координат, используется в качестве
дискрет перемещения по оси Х для изменения кода в РРХ.
Коды чисел в РРХ и РРУ
изменяются таким образом, что в этих регистрах при КИ находятся текущие
координаты точки дуги относительно ее центра, причем, если величина координаты
J увеличивается, то I - уменьшается и наоборот. Коды чисел РРХ и РРУ
циркулируют через схемы «±1». При ЛИ числа в РРХ и
РРУ остаются без изменения, так как нет обратной связи (КИ=0).
При КИ схема «±1»
управляется сигналами «КИÙПоЧ», «КИÙПрЧ»
и переносами соседнего интегратора. Сигналы «КИÙПоЧ»,
«КИÙПрЧ»
определяют операции (сложение или вычитание). Схема «±1»
производит операцию только при поступлении на его вход дискреты перемещения.
Приращения при КИ записываются в РР КОК и РНz,
используемые в этом случае в качестве ограничителей перемещения.
Рисунок 2.5 Структурная схема интегратора КИ
При «шаге» по координате Х из содержимого РНZ
вычитается 1, при «шаге» по координате Y из содержимого РР КОК вычитается 1.
Интерполяция прекращения при выработке условий
РР КОК=0 и РНZ=0.
Вычитание «единицы» из содержимого РР КОК производится схемой «±1»
интегратора, из содержимого РНZ
- путем сложения кода числа РНZ
с кодом 111…11 (дополнительным кодом - «единиц») сумматором интегратора Z.
Дополнительный код «единиц» формируется вентилями сумматора коррекции.
Управление схемой ±1 интегратора Z производится вентилями
сумматора коррекции.
Например: G-03;
X-5; У+5; I+5;
J+0.
Значения начальных дуг I
и J записаны в РРх и
РРу и представлены в виде 0,101 и 0,000 (таблица 2 и рисунок 2.6)
Рисунок 2.6 Пример круговой интерполяции
Таблица 2 - Вычислительный цикл при КИ.
Приращения по Х и У записаны в РНz
и РР КОК и представлены в виде 101 и 101. В РНх и РНу записывается Мед=0,100.
За первый цикл сложения произведено сложение
содержимого РРх с РНх и РРу и рассчитан участок пути АС.
Интерполяция закончена, когда коды чисел РР КОК
и РНz равны 0.
Дуга АВ аппроксимируется ломаной линией ACDEFKLMB,
максимальное удаление которой от заданной дуги не более 1 дискреты.
Вычисления в интерполяторе при КИ проводятся для
первого квадранта, без учета плоскости, в направлении по часовой стрелке или
обратном. Приведение к этим условиям производится при записи в регистр буферной
памяти (учитывая плоскость работы) и при выработке сигналов «КИÙПоЧ»
и «КИÙПрЧ»
в выходном блоке и регистре. Обратный переход так же производится в выходном
блоке и регистре.
Работой интегратора управляют подготовительные
G-функции, которые задают вид интерполяции, плоскость обработки, направление
вращения при КИ, паузу времени, знак коррекции геометрических величин. В один
кадр вводится только одна G-функция в начале кадра после его номера. G-функция
G17, G18, G19 вводятся отдельным кадром.
Из УВВ информация о содержимом G-функции
регистра буферной памяти поступает на входы устройства управления. Буферный
дешифратор G-функций вырабатывает сигналы «ЛИ(РБ)», «КИ(РБ)» и формирует сигнал
запись в регистр признака плоскости. Эти сигналы ЛИ(РБ), КИ(РБ) и признаки
плоскости управляют распределением информации, поступающей в устройство
привода.
Перед началом отработки введенного кадра в
интерполяторе выполняются подготовительные операции:
сброс регистров интерполятора;
перепись содержимого регистров буферной памяти в
соответствующие рабочие регистры;
нормализация;
запись числа циклов сложений в РРкок при ЛИ;
запись Мед 1 или Мед 2 в РНх и РНу при КИ;
установка триггеров КИН1 и КИН2 устройства
управления в нулевое состояние; [5]
Операция ±1 необходима для работы в различных
квадрантах.
При прибавлении «1» происходит инвертирование до
первого «0» включительно, при вычитании - инвертирование до первой «1»
включительно.
Пр.
0110100101+1=0110100101=0110100110
-1=0110100110=0110100101
В исходном состоянии Тг D3(11)
и D5(11) установлены в
«0» и в этом случае со схем D9(08)
и D9(06) поступает
прямой код числа на вход схемы ∑РН. Схема запускается сигналом «1→СчТу»,
который поступает с платы нормализации при возникновении переноса в РРу. При
поступлении сигнала «СчТу» по положительному импульсу 1ст 1т Тг D3(11)
и D5(11) установятся в
«1» и схема начинает пропускать обратный код числа.
При наличии сигнала ПоЧ осуществляется операция
+1. Поэтому число инвертируется до первого «0» включительно.
На элементах D1(06),
D1(11) и D3(03)
вырабатывается сигнал сбрасывающий Тг D3(11)
и D5(11) в исходное
состояние 0 и далее число пойдет прямым ходом.
При наличии сигнала ПрЧ осуществляется
операция -1. В этом случае младшие разряды числа инвертируются до первой «1»
включительно. С приходом первой «1» включительно.
Сборка D1(03),
D1(08) и D3(03)
выработает сигнал для сброса Тг D3(11)
и D5(11) и с приходом
положительного импульса 2т v
4т сбросит их.
Если в коде числа необходимо инвертировать
только младший разряд Рх01, то при операции ±1 (наличие сигнала ПоЧ) на ИМС D2(06)
поступит Рх01 равный «1». На выходе её образуется «0». Далее по цепи D7(08),
D6(06)управляющие
сигналы запретят инвертирование Рх02 и он пойдет в ПК. Если происходит операция
-1 (наличие сигнала ПрЧ), то на входе ИМС D2(08)
будет три единицы (ПК Рх01=1, ПрЧ, 1→СчТу), что даст на ее выходе «0» и
далее аналогично через D7(08)
и D6(06) через D9(06)
разряд Рх02 пойдет в прямом коде.
Таким образом, если в младшем разряде «0» (а
нужно выполнить операцию +1) или «1» (а нада выполнить -1) инвертируется только
младший разряд Рх01, а остальные разряды идут без изменения. [5]
4. Выбор и обоснование
Стойка ЧПУ типа NC
собрана на широко распространенных ИМС серии К155. Эта серия микросхем неплохо
зарекомендовала себя, но по мере развития новых технологий микросхемы этой
серии заменили более надежные и экономичные ИМС других серий.
Основным недостатком ТТЛ-схем
является повышенная потребляемая мощность, усложняющая источники питания и
требующая специальных мер по охлаждению устройств. Уменьшение потребляемой
мощности приводит к снижению быстродействия, повышению временной задержки. Для
повышения быстродействия ТТЛ-схем в транзисторы вводят нелинейную обратную
связь с помощью диодов Шотки, структура ТТЛШ. Введенная нелинейная обратная
связь препятствует насыщению транзисторов.
Главным фактором для замены
базы послужило снятие с производства ИМС серии К155. Это связанно с тем, что
развитие микроэлектроники серии 155 не удовлетворяют требованиям к
быстродействию, потребляемой мощности и мощности рассеивания.
Я заменял микросхемы,
соответствующих логических функций, руководствовался тем, что бы ИМС серии К155
были полностью совместимы с теми микросхемами, что я подобрал. Свой выбор я
остановил на ИМС серии КР1533 Эта серия микросхем полностью совместима с серией
К155 и позволяет менять микросхемы без доработки плат УЧПУ. Серия КР1533 лучше
по функциональным возможностям и имеет более лучшие электрические показатели
(таблица 1). В разработанной мной схеме применены ИМС следующей номенклатуры:
- микросхема КР1533ЛАЗ (рисунок
7) представляет собой четыре логических элемента 2И-НЕ. Содержит 88
интегральных элемента и изготавливается на основе ТТЛШ технологии. Микросхема
выпускается в полимерном корпусе типа 201.14-1, масса не более 1г и 4306.14-А.
Назначение выводов микросхемы:
а) 1,2,4,5,9,10,12,13 - входы
логических элементов;
б) 3,6,8,11 - выходы логических
элементов;
в) 7 - вывод общий;
г) 14 - вывод для подключения
источника питания.
- микросхема КР1533ЛА4 (рисунок
8) представляет собой три логических элемента 3И-НЕ. Содержит 75 интегральных
элемента и изготавливается на основе ТТЛШ технологии. Корпус типа 201.14-1,
масса не более 1 г и 4306.14-А.
Назначение выводов микросхемы:
а) 1 - вход информационный 1D.1;
б) 2 - вход информационный 1D.2;
в) 3 - вход информационный 2D.1;
г) 4 - вход информационный 2D.2;
д) 5 - вход информационный 2D.3;
е) 6 - выход 2Q;
ж) 7 - общий;
з) 8 - выход 3Q;
и) 9 - вход информационный 3D.1;
й) 10 - вход информационный 3D.2;
к) 11 - вход информационный 3D.3;
л) 12 - выход 1Q;
м) 13 - вход информационный 1D.3;
н) 14 - напряжение питания.
- микросхема КР1533ЛР1 (рисунок
9) представляет собой два логических элемента 2-2И-2ИЛИ-НЕ. Содержит 36
интегральных элемента. Корпус типа 201.14-1, масса не более 1г и 4306.14-А.
Назначение выводов микросхемы:
а) 1,2,3,4,5,9,10,11,12,13 -
входы информационные;
б) 6,8 - выход;
в) 7 - общий;
г) 14 - напряжение питания.
Рисунок 7 - Микросхема КР1533ЛА3
Рисунок 8 - Микросхема КР1533ЛА4
Рисунок 9 - Микросхема КР1533Л
Таблица 1 - Параметры ИМС
|
ИМС
|
I°потр мА
|
I1потр мА
|
I°вх мА
|
I 1 вх мкА
|
U°вых В
|
U1вых В
|
U пит В
|
Токр
°С
|
|
К155ЛА3
|
22
|
8
|
-1.6
|
40
|
0.4
|
2.4
|
5±0.25
|
от-10
до+70
|
|
КР1533ЛА3
|
0,85
|
-0.2
|
20
|
0.5
|
2.5
|
5±0.5
|
от-10
до+70
|
|
К155ЛА4
|
16.5
|
6
|
-1.6
|
40
|
0.4
|
2.4
|
5±0.25
|
от-10
до+70
|
|
КР1533ЛА4
|
2.2
|
0.6
|
-0.2
|
20
|
0.5
|
2.5
|
5±0.5
|
от
-10 до +70
|
|
К155ЛР1
|
14
|
8
|
-1.6
|
40
|
0.4
|
2.4
|
5±0.25
|
от-10
до+70
|
|
КР1533ЛР1
|
1,25
|
0.75
|
-0.2
|
20
|
0.5
|
2.5
|
5±0.25
|
от-10
до+70
|
5. Расчет эквивалентной передаточной функции
схемы
Представленную мне схему сложения и вычитания
единицы можно представить в следующем структурном виде, представленном на
рисунке 4.1.
Рисунок 4.1
В данном структурном виде в блок W1
входят следующие микросхемы: D1,
D2. Блок W2
состоит из D2, D3,
D4, D5,D6.
Блок W3 включает в себя D6,
D7. W4
- D8, D9.
W5 - D8,D10.
Расчет методом преобразования:
W6=W2+W3;
W7=W6*W4*W1;
W8=W7/(1+W7);
W9=W8*W5=W7*W5/(1+W7)=W1*W4*W6*W5/(1+
W1*W4*W6)=
=W1*W4*W5(W2+W3)
/(1-W1*W4(W2+W3))=
=W1W2W4W5+W1W3W4W5/(1-W1W2W3
-W1W3).
Расчет методом сигнальных графов:
Рисунок 4.2
От входа к выходу идут 2 пути:
P1=W1W2W4W5;
P2=W1W3W4W5.
В графе есть два контура:
L1=W1W2W4;
L2=W1W3W4.
Контур L1
касается L2, поэтому
определитель находится по формуле :
Δ=1-(L1+L2).
Так как контуры касаются всех путей
дополнительные множители путей:
Δ1=Δ2=1.
W(p)=(P1Δ1
+ P2Δ2)/Δ=W1W2W4W5+W1W3W4W5/(1-W1W2W3
-W1W3).
[2]
6. Реализация заданной программы в коде ISO-7bit
Задание на проектирование:
Общие исходные данные:
1. Скорость
подачи 1015 мм/мин;
2. Направление вращения шпинделя по
часовой стрелке
. частота вращения шпинделя 87
. Номер режущего инструмента 58
. Цена дискреты по оси Х - 0,01 мм и по
оси У - 0,01 мм.
Рисунок 6.1
G18 LFF0710 M03 S87 T58 LFG01
X+022700 Y+016900 LFX+047400 LFY+070600 LFX-047400 LFY-070600 LFZ+005000
LFX+023700 Y+035300 LFZ-005000 LFG02 Y-014000 J+014000 I-014000 LFX-014000
J+014000 I+014000 LFY+014000 J-014000 I+014000 LFX+014000 J-014000 K-014000 LF
G01 Z+005000 LF16 Y-046400
X-038200LF
M02
7. Реализация заданной программы с помощью
Ассемблера
Задание:
Составить программу на языке Ассемблера,
учитывающую при вводе текста программы в коде ИСО-7 адрес, при этом изменяется
цвет последующих символов до следующего адреса, и учитывающую цифры, при этом
издаются звуки до появления какого-либо адреса. Программа должна определять и
выводить на экран сумму всех введенных цифр.
perehod macroah,02hdl,1321hdl,1021h
macroah,07h21h
macro xah,09hdx,offset x21h
small256
.datadb 'Введите
адрес$'db
'Ошибка
$'3
db 'Сумма введенных
цифр$'
x db 00001000bdb 0db ?db ?
.codeproc nearal,10110110b
43h,alal,y 42h,alal,y1 42h,alal,61h al,00000011b 61h,al cx,0007h dx,0A120h
ah,86h 15h al,61hal,11111100b 61h,al
endp:ax,@datads,ax:ax,axmes1al,"L"exit1al,39hM2M3:mes2M1:bl,xah,09hcx,1h10hx:ax,axmes1al,13M1al,40hB2B3:mes2B1B3:exit:al,30hB4
al,30hz,alal,30h:bl,xah,09hcx,1h10hy,0dhy1,11hbeepB1:mes3ax,0al,zbl,10blah,chdl,aldl,30hah,02h21hdl,chdl,30h21hah,4ch
21hstart [9]
При вводе моей программы ISO
7bit результат
следующий:
Заключение
В моем курсовом проекте, я проанализировала и
изучила принцип работы интерполятора стойки ЧПУ Н-33, а в частности схемы
сложения и вычитания единицы. Описала ее элементную базу и заменила микросхемы
К155 серии, так как микросхемы данной серии сняли с производства. Я заменила
микросхемы, соответствующих логических функций, руководствуясь тем, чтобы ИМС
серии К155 были полностью совместимы с теми микросхемами, что я подобрала. Свой
выбор я остановила на ИМС серии КР1533. Эта серия микросхем полностью
совместима с серией К155 и позволяет менять микросхемы без доработки плат УЧПУ.
Серия КР1533 лучше по функциональным возможностям и имеет более лучшие
электрические показатели.
Так же в своем курсовом проекте я представила
свою схему в структурном виде и рассчитала ее передаточную функцию методом
сигнальных графов и преобразованием.
Мною была создана программа в коде ISO
7bit и ее реализация на
низкоуровневом языке программирования Ассемблер.
Список используемой литературы
программирование интерполятор
ассемблер
ГОСТ 2.105-95 Общие
требования к текстовым документам
ГОСТ 2.701-81*
Обозначения буквенно-цифровые в электрических схемах
ГОСТ 2.701-84*
Схемы. Виды и типы. Общие требования к выполнению
ГОСТ 2.702-75*
Правила выполнения электрических схем
ГОСТ 2.708-81
Правила выполнения электрических схем цифровой вычислительной техники
ГОСТ 2.721-74*
Обозначения условные и графические в схемах. Обозначения общего применения
1) Аналоговые и
цифровые интегральные микросхемы: Справочное пособие\ Под ред. С.В.
Якубовского. - М.; Радио и связь, 1989. - 281с.
2) Горошков Б.И. Автоматическое
управление: Учебник для студ. учреждений сред. проф. образования. - М.:
Издательский центр «Академия», 2003. - 304 с.
3) Интегральные
микросхемы: Справочник \ Под ред. Б.В. Тарабрина. - М; Энергоавтомиздат, 1985.
- 418с.
) Косовский В.Л. и
др. Программное управление станками и промышленными роботами. - М.; Высшая
школа, 1991. - 217с.
) Паспорт УЧПУ типа
Н33.
6) Попов П.М. Принципы построения
систем автоматического управления. Учебное пособие. - Ульяновск.: УлТГУ, 2002.
- 52с.
7) Сосонкин В.Л.
Микропроцессорные системы числового программного управления станками. - М.;
Машиностроение, 1989. - 480с.
) Сосонкин В.Л.;
Михайлов СП. и др. Программное управление станками. - М.; Машиностроение, 1988.
- 432с.
) Зубков С.В.
Ассемблер под Windows,
DOS и UNIX