Физика полупроводников с пониженной размерностью
Физика
полупроводников с пониженной размерностью
1. Энергетический
спектр электронов и плотность электронных состояний в низкоразмерных объектах
1.1 Важнейшие квантовомеханические
характеристики тел
Энергетический спектр электронов Е и плотность
квантовых состоянии n(Е)-важнейшие
характеристики объекта, определяющие его электронные свойства и реакцию на
внешние воздействия. Энергетический спектр - это совокупность возможных
значений энергий частицы в данных условиях. Если энергия квантуется, то
энергетический спектр называется дискретным (квантовым), если может принимать
непрерывный ряд значений - спектр называется сплошным (непрерывным).
Плотность состоянии n(Е)-
это число квантовых состояний электронов на единицу объема, площади или длины (в
зависимости от размерности объекта), отнесенные к единичному интервалу энергии,
т.е.
где dn(E)
- число возможных состоянии в интервале от Е до Е+ dЕ
.2 Энергетический спектр неограниченного
кристалла 3D-электронного газа
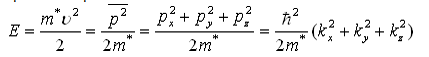
Электроны в таком кристалле могут двигаться
свободно в любом направлении. Кинетическая энергия электрона
где px,
py,
pz
и kx,
ky,
kz
- пространственные компоненты импульса и волнового вектора соответственно. В
пределах зоны проводимости величина Е может принимать непрерывный ряд значений.
Расстояние между соседними уровнями в энергетической зоне ~ 10-22эВ.
Зависимость Е от составляющих волнового вектора (kx,
ky,
kz)
вблизи дна проводимости представлена на (рис.1).
График функции n(Е)
на (рис.2) - парабола
В пределах одной энергетической зоны функции Е(kx,
ky,
kz)
и n(Е) непрерывны.
Поэтому электронные свойства неограниченного кристалла под влиянием внешних
воздействий изменяются непрерывно.
.3 Энергетический спектр КЯ (2D-электронного
газа)
Движение электронов в КЯ ограничено в одном
направлении (вдоль оси y)
и оно может рассматриваться как движение в бесконечной яме (рис.3).
Если ширина ямы вдоль оси у равна а,
то в области 0<y<а
электрон имеет нулевую потенциальную энергию. Бесконечно высокий потенциальный
барьер делает невозможным нахождение электрона за границами этой области. Т.
о., волновая функция электрона должна обращаться в нуль на границах
потенциальной ямы, т. е. при у = 0 и у = а. Такому условию
отвечают стоячие волны с длиной волны (n
= 1,2,..) (4).
Тогда разрешенные значения волнового вектора
будут дискретны
Как следствие, энергии разрешенных
энергетических состояний электрона в яме тоже будут дискретными. Спектр этих
состояний имеет вид
Целое число n
является квантовым числом, обозначающим квантовое состояние.
Т.о., электрон, помещенный в ограниченную
область пространства, может занимать только дискретные энергетические уровни.
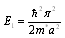
Самое низкое состояние имеет энергию
которая всегда > 0. Е1 -
энергия основного состояния. Ненулевая минимальная энергия отличает
квантово-механическую систему от классической, для которой энергия частицы,
находящейся на дне потенциальной ямы, тождественно = 0. Значение Е1=0
нарушало бы принцип неопределенности Гейзенберга - .
Для КЯ в нашем случае энергия движения электрона
квантуется и имеет вид:
Величины En
называются
квантоворазмерными уровнями. Т.к. движение электронов не ограничено
вдоль осей x,y,z,
то энергия эта не квантуется и полную энергию электрона можно представить в
виде:
m*
- const
для движения во всех направлениях Следовательно, энергетический спектр
электрона в КЯ двухмерного нанообъекта дискретно-непрерывный. Каждому
размерному уровню En
соответствует
множество возможных значений Е (подзона) за счет свободного движения электрона
вдоль осей x и z.
Эта совокупность энергии называется двухмерной подзоной размерного квантования.
График зависимости E(kx, kz)
-
система параболоидов.

Можно пока сказать, что функция плотности
состояний по энергии в подзоне определяется формулой
n2D(E)
от энергии не зависит и имеет ступенчатый характер т.к. каждая размерная
подзона вносит одинаковый вклад равный
1.4 Электронный газ в квантовой проволоке (1D-газ)
В отличие от КЯ, квантовая проволока имеет не
один а два нанометровых размера. Электроны могут свободно двигаться только в
одном направлении вдоль оси х. Т.о. вклад в энергию дают кинетическая
составляющая вдоль оси х и квантованные значения в двух других направлениях у и
z:
где
-
энергия размерных уровней. Зона проводимости в КП разбивается на одномерные
подзоны (рис.6).

энергетический
квантовомеханический электронный газ
1.5 Электронный газ в квантовой точке (0D-газ)
В КТ энергия свободных электронов должна
квантоваться для движений во всех трех направлениях x,y
и z. Энергетический
спектр электронов в квантовой точке полностью дискретен, как у отдельного атома
и энергия определяется формулой
где n1n2n3
= 1,2,3,… dx,dy,dz
-размеры области в трех измерениях.

Квантовая точка может содержать до 104…106
атомов, сохраняя наномасштабы во всех измерениях.