Тепловой расчет двигателя 1G

  • Вид работы:
    Курсовая работа (т)
  • Предмет:
    Физика
  • Язык:
    Русский
    ,
    Формат файла:
    MS Word
    342,79 Кб
  • Опубликовано:
    2014-04-13
Вы можете узнать стоимость помощи в написании студенческой работы.
Помощь в написании работы, которую точно примут!

Тепловой расчет двигателя 1G

ФГАОУ ВПО «Северо-Восточный федеральный университет

им. М.К. Аммосова»

Автодорожный факультет

Кафедра «машиноведение»







КУРСОВАЯ РАБОТА

по курсу «Термодинамика»

на тему «Тепловой расчет двигателя 1G»












г.Якутск, 2013г

Оглавление

Введение

Глава 1. Серии двигателей 1G

.1 Характеристика двигателей

.2 Двигатель 1G и его модификации

.3 Достоинства и недостатки двигателей 1G-EU и 1G-GEU

Глава 2. Тепловой расчет двигателя 1G-FE

.1 Наполнение

.2 Сжатие

.3 Сгорание

.4 Расширение

Глава 3. Построение индикаторной диаграммы

.1 Индикаторные показатели

.2 Эффективные показатели

Заключение

Список используемых источников и литературы

Введение

В настоящее время двигатель внутреннего сгорания является основным видом автомобильного двигателя. Двигателем внутреннего сгорания (сокращенное наименование - ДВС) называется тепловая машина, преобразующая химическую энергию топлива в механическую работу. Тепловой расчет двигателя служит для определения параметров рабочего тела в цилиндре двигателя, а также оценочных показателей рабочего процесса, для оценки мощностных и экономических показателей, позволяющих оценить мощность и расход топлива.

На наземном транспорте наибольшее распространение получили двигатели внутреннего сгорания. Эти двигатели отличаются компактностью, высокой экономичностью, долговечностью и применяются во всех отраслях народного хозяйства.

В настоящее время особое внимание уделяется уменьшению токсичности выбрасываемых в атмосферу вредных веществ и снижению уровня шума работы двигателей.

Специфика технологии производства двигателей и повышение требований к качеству двигателей при возрастающем объеме их производства, обусловили необходимость создания специализированных моторных заводов. Успешное применение двигателей внутреннего сгорания, разработка опытных конструкций и повышение мощностных и экономических показателей стали возможны в значительной мере благодаря исследованиям и разработке теории рабочих процессов в двигателях внутреннего сгорания.

Выполнение задач по производству и эксплуатации транспортных двигателей требует от специалистов глубоких знаний рабочего процесса двигателей, знания их конструкций и расчета двигателей внутреннего сгорания.

Рассмотрение отдельных процессов в двигателях и их расчет позволяют определить предполагаемые показатели цикла, мощность и экономичность, а также давление газов, действующих в над поршневом пространстве цилиндра, в зависимости от угла поворота коленчатого вала. По данным расчета можно установить основные размеры двигателя (диаметр цилиндра и ход поршня) и проверить на прочность его основные детали. Актуальность. Одним из наиболее энерго­емких этапов производства двигателей внутреннего сгорания (ДВС) являются стендовые испытания. В процессе их проведения с помощью электрических нагружающих уст­ройств имитируется реальная нагрузка ДВС, производится отладка, экспериментально определяются качественные и количественные характеристики испытуемых двигателей. При полезном использовании энергии ДВС современные испытательные станции могут стать дополнительной электрогенерирующей составляющей в энергетическом балансе моторостроительных предприятий. Особенностью испытательных стендов является то, что основным регулируемым параметром является нагрузочный момент, точность измерения, задания и стабилизации которого определяет качество испытаний и количественные показатели настройки выпускаемых ДВС, в частности, удельный расход топлива.

Глава 1. Серия двигателей 1G (TOYOTA)

.1 Характеристика двигателей

Большое семейство рядных шестицилиндровых двигателей, которое ставилось на задне - и полноприводные автомобили TOYOTA. Первый представитель семейства - 1G-EU (единственный из серии с 2 клапанами на цилиндр) появился еще в 1979 году, максимальный же "расцвет" этого семейства двигателей пришёлся на конец 80-х годов, когда одновременно выпускалось четыре модификации этого двигателя. Особенностью серии является то, что все двигатели принадлежащие к ней, оснащались электронной системой распределённого (многоточечного) впрыска топлива (EFI - Electronical Fuel Injection).

Вернёмся к 1G-EU. Этот двигатель обладал весьма скромными, по нынешним меркам, характеристиками: мощность 105 л.с. при частоте вращения 5200 об/мин, максимальный крутящий момент составлял 160 Н м при 4400 об/мин. Ставили его на различные модификации TOYOTA CROWN (кузова GS 110/120); MARK II/CHASER/CRESTA (GX 60/70); SOARER (GZ10/20), из всей серии 1G, он отличается наибольшей надёжностью, а также простотой в обслуживании и ремонте. Сняли его с производства в 1988 году, когда на смену ему пришёл 1G-FE.

Параллельно с производством 1G-EU, концерн TOYOTA в 1983 году начал выпуск нового более "оборотистого" двигателя - 1G-GEU, который стал первым серийным тойотовским двигателем с четырьмя клапанами на цилиндр . В головке блока этого двигателя было два распределительных вала (один для впускных, а другой для выпускных клапанов), каждый из которых приводился через собственное зубчатое колесо от общего ремня газораспределения. Естественно, что такая конструкция предполагала существенные отличия от 1G-EU - двигатели имели несовместимые клапанные механизмы, ремни ГРМ, головки блоков и.т.д. Благодаря форсировке и 4-м клапанам на цилиндр, мощность двигателя составила от 140 л.с.при 6200 об/мин (для CROWN) до 160 л.с. при 6400 об/мин (для MARK II/CHASER/CRESTA), крутящий момент возрос до 186 Н м при 5200 об/мин. Устанавливали его на более дорогие модификации тех - же автомобилей, где ставили и 1G-EU (обычно машины с таким двигателем имели надпись TWIN CAM 24 на крышке багажника и решётке радиатора). Правда на TOYOTA CROWN GS110 его не было (так как эту машину сняли с производства в 1983 году), зато поставили на новую SUPRA в кузове GA70, выпуск которой начался в 1986 году. Выпуск этого двигателя прекратили в 1988 году, когда начали выпускать 1G-GE.

В 1986 году началось производство сразу двух новых двигателей, причём оба были с наддувом: 1G-GZE имел наддув с приводом компрессора от коленчатого вала двигателя, а 1G-GTEU был оснащён турбокомпрессором (выхлопные газы вращали турбину).

Как уже говорилось выше, 1G-GZE оснастили механическим компрессором - нагнетателем воздуха, который имел привод от коленчатого вала двигателя через ремень. Данная система наддува обладает как достоинствами, так и недостатками по сравнению с газотурбинным наддувом. К достоинствам таких систем наддува можно отнести большую надёжность (ведь нет - же турбины со скоростью вращения до 200000 об/мин), лучшую тяговитость на "низах" (турбина эффективно работает в достаточно узком диапазоне частот вращения двигателя: примерно от 3000 до 6000 об/мин). К недостаткам систем механического наддува относится, прежде всего более низкий КПД двигателя, оборудованного такой системой по сравнению с турбонаддувным двигателем (полезная энергия выхлопных газов никак не используется, а на привод компрессора затрачивается энергия самого двигателя). Мощность 1G-GZE составила солидные 160 л.с. при 6000 об/мин (с 1988 года - 170 л.с. при 6000 об/мин), а крутящий момент возрос до 230 Н м при 4000 об/мин. Предназначался этот двигатель, в первую очередь, для тяжёлого CROWN (оснащали им "люксовые" варианты GS120 и GS130), которому не хватало тяги безнаддувных 1G-EU/FE и 1G-GEU/GE. Однако кроме CROWN, было принято решение устанавливать такие двигатели на новую серию MARK II/CHASER/CRESTA (кузов GX80, начало выпуска - 1988 г.), где он просуществовал до августа 1990 г. На CROWN же, его ставили до 1992 г. Все автомобили с этим двигателем отличаются хорошей "тяговитостью" и имеют шильдик SUPER CHARGER (обычно в дополнение к надписи TWIN CAM 24) на крышке багажника и решётке радиатора, кроме того, все двигатели 1G-GZE агрегатировались только с автоматической коробкой передач.

Перейдём к 1G-GTEU. Этот турбонаддувный двигатель был первым из японских двигателей, сочетавшим в себе 4 клапана на цилиндр и турбонаддув, что и предопределило его высокую отдачу: мощность 185 л.с. при 6200 об/мин, крутящий момент 245 Н м при 3200 об/мин. Особенностью этого двигателя было то, что он имел две турбины (TWIN TURBO), которые различались по оптимальным частотам вращения двигателя, благодаря чему зона эффективной работы турбонаддува была расширена. Предназначались эти двигатели для "горячих" модификаций MARK II/CHASER/CRESTA в кузове GX70 и для SOARER GZ10/20, а также SUPRA GA70 . На автомобилях оснащённых этими двигателями ставили шильдик GT TWIN TURBO. Выпуск этого двигателя был прекращён в 1988 году, когда на смену ему пришёл 1G-GTE.

В 1988 году, вместе со сменой поколений MARK II/CHASER/CRESTA произошла и смена поколений двигателя 1G. Из производственной программы TOYOTA исчезли двигатели, имеющие букву U после тире. Рассмотрим первого представителя нового семейства - 1G-GE. Этот двигатель предназначался для модификаций "средней навороченности" MARK II/CHASER/CRESTA в кузове GX80, для CROWN в кузове GS130, ставили его также на SOARER GZ20 и SUPRA GA70.Как ни странно, но по сравнению со своим предшественником, коим являлся 1G-GEU, этот двигатель потерял в мощности, которая составила 150 л.с., что вполне объяснимо, так как она достигается при 6200, а не при 6400 об/мин как было раньше. Крутящий момент остался тем - же и составил 186 Н м, но уже при 5600 об/мин, т.е. он достигался при более высоких оборотах. Впускали 1G-GE по 1993 год, когда была снята с производства SUPRA в 70-м кузове. На всех машинах с этим двигателем, как и в случае с 1G-GEU также был шильдик TWIN CAM 24.

Самым мощным за всю историю 1G стал 1G-GTE, который сменил в производственной программе TOYOTA своего предшественника - 1G-GTEU. Мощность 1G-GTE достигла 210 л.с. при 6200 об/мин, крутящий момент составил 280 Н м при 3800 об/мин. Устанавливали его на "горячие " модификации MARK II/CHASER/CRESTA в кузове GX80 (выпусков 1988 - августа 1990 г.), а также на SOARER GZ20 и SUPRA GA70 (выпусков 1988 - 1991 г.). Машины с этим двигателем имели надпись - GT TWIN TURBO.

Наконец мы добрались до 1G-FE, который выпускается с 1988 года по настоящее время (правда с довольно большими конструктивными изменениями). Двигатель этот пришёл на смену 1G-EU, ставили его на "стандартные" модификации MARK II/CHASER/CRESTA в кузовах GX80/90, также им оснащали "самые слабые" SOARER GZ20 и CROWN GS130/140. Особенностью конструкции двигателя является то, что он имеет 4 клапана на цилиндр, однако от ремня ГРМ приводится только один распределительный вал, другой же вал имеет привод от первого вала через шестерню (у 1G-GE, например, каждый рапредвал приводится через своё зубчатое колесо от ремня ГРМ). Благодаря такой конструкции, головка блока имеет несколько меньшую ширину (так называемый "твин кам с узкой головкой"). Мощность двигателя составила 135 л.с при 5600 об/мин, крутящий момент 180 Н м при 4400 об/мин. Автомобили семейства MARK II/CHASER/CRESTA в кузове GX80 на заднем стекле обычно имели надпись: 24 VALVE EFI.

В 1996 году, с приходом новых MARK II/CHASER/CRESTA (кузов GX100) 1G-FE несколько модернизировали. Его мощность составила 140 л.с, а крутящий момент возрос до 185 Н м. Однако в 1998 году этот двигатель опять подвергли модернизации: тогда начался выпуск новой спортивной модели - TOYOTA ALTEZZA. Под стать машине сделали и двигатель, теперь он оснащён газораспределительным механизмом с изменяемыми фазами (фирменное обозначение - VVTi) и входит в число двигателей под общим названием BEAMS. Благодаря этим техническим ухищрениям, а также повышенной частоте вращения, мощность двигателя возросла до 160 л.с. при 6200 об/мин, а крутящий момент составил 200 Н м при 4400 об/мин. Естественно той простоты в ремонте и обслуживании, что была у 1G-EU и в помине нет... Кроме модели ALTEZZA, этот двигатель продолжали ставить на MARK II/CHASER/CRESTA в кузове GX100, и новая модель - MARK II (GX110), выпуск которой начался в 2000 году, также получила этот двигатель для установки на самые дешёвые модификации автомобиля. В 2001 году начался выпуск TOYOTA ALTEZZA GITA (универсал на базе TOYOTA ALTEZZA), которая также оснащается этим двигателем.

Вся серия 1G весьма надёжна в эксплуатации. К достоинствам этих двигателей можно отнести: очень низкие шумность и вибрацию при работе, большой ресурс (правда к турбонаддуву это не относится). К недостаткам этих двигателей относится повышенная чувствительность к качеству моторного масла. Из характерных дефектов было отмечено частое "умирание" датчика давления масла на 1G-FE (особенно 88 - 92 годов выпуска), т.е. когда с системой смазки всё в порядке, а лампа датчика постоянно горит при заведённом двигателе, из - за чего многие владельцы машин с 1G-FE были не на шутку перепуганы, рассчитывая на предстоящий серьёзный ремонт. Больше слабых мест у этих двигателей нет.

Таблица 1.1. Сводная таблица с данными по серии 1G

Модель двигателя

Годы выпуска

Мощность (л.с.)/при оборотах

Крут.момент (Н*м)/при оборотах

Степень сжатия

Клапанов на цилиндр

1G-EU

1979-88

105/5200

160/4400

9.2

2

1G-GEU

1983-88

140/6200 -160/6400

186/5200

9.1

4

1G-GZE

1986-92

160/6000 -170/6000

230/3600

8.0

4

1G-GTEU

185/6200

245/3200

8.5

4

1G-GE

1988-92

150/6200

186/5400

9.5

4

1G-GTE

1988-91

210/6200

280/3800

8.5

4

1G-FE

1988-96

135/5600

180/4400

9.6

4

-

1996-98

140/5750

185/4400

9.6

4

1G-FE VVT-i

1998-2001

160/6200

200/4400

10.0

4


Данные, которые могут помочь при ремонте и поиске запчастей для двигателя 1G-FE, приведены в таблице (часть характеристик может быть общей с другими двигателями серии):

Таблица 1.2. Параметры двигателя 1G-FE

Параметр

Значение параметра

Основные данные (общие для всей серии)

диаметр цилиндра, мм

75

ход поршня, мм

75

число цилиндров

6

рабочий объём, см3

1988

Поршневой палец

диаметр, мм

 20

длина, мм

 61

Поршневые кольца

высота первого компрессионного кольца, мм

 1,5

высота второго компрессионного кольца, мм

 1,5

высота маслосъёмного кольца, мм

 4,0

Коренные подшипники

диаметр шейки вала, мм

55,001

диаметр постели, мм

58,999

ширина вкладыша, мм

19,2

толщина вкладыша, мм

1,994

Шатунные подшипники

диаметр шейки вала, мм

диаметр постели, мм

45

ширина вкладыша, мм

19

толщина вкладыша, мм

1,491

Сальник коленчатого вала передний

диаметр наружный, мм

62

диаметр внутренний, мм

45

ширина, мм

8

Сальник коленчатого вала задний

диаметр наружный, мм

100

диаметр внутренний, мм

75

ширина, мм

13

Сальник распределительного вала

диаметр наружный, мм

50

диаметр внутренний, мм

38

ширина, мм

8

Сальник масляного насоса

диаметр наружный, мм

30

диаметр внутренний, мм

18

ширина, мм

7

Тепловые зазоры в клапанах (на холодном двигателе)

тепловой зазор впускного клапана, мм

 0,20

тепловой зазор выпускного клапана, мм

 0,25

Ремень газораспределительного механизма (ГРМ)

количество зубьев

111

шаг зубьев, мм

9,525

ширина ремня, мм

25,4


.2 Двигатель 1G и его модификации

Все двигатели этой серии - рядный шестицилиндровый мотор. Рабочий объём - 1988cc, ход поршня равен диаметру цилиндра - 75мм.

G-EU и 1G-E первые варианты этого двигателя. С одним верхним распредвалом, двумя клапанами на цилиндр и гидрокомпенсаторами зазоров клапанов. Привод распредвала - зубчатым ремнем. Начало выпуска прим. конец 1980 - начало 1981г. Устанавливались на Марк II, Чейзер, Кресту, GX-61, GX-71, Краун GS-121, GS-131, Соарер GZ-10.

G-GE, 1G-GZE, 1G-GTE - более мощные модификации с двумя распредвалами и четырьмя клапанами на цилиндр. Привод распредвалов зубчатым ремнем. Приносящие проблемы гидрокомпенсаторы заменены на стаканы с регулировочными шайбами. Двигатель приобретает современные черты. Вариант 1G-GZE - c суперчарджером - агрегатом, который осуществляет наддув входящего воздуха. Сам агрегат вращается приводным ремнём от коленчатого вала через электромагнитную муфту, как на компрессоре кондиционера. При небольшом нажатии на газ муфта не включается и всё работает в обычном экономичном режиме. При резком нажатии на газ включается суперчарджер и происходит значительное ускорение движения. Вариант 1G-GTE - c турбонаддувом. Разные версии выпускались с 1982 по примерно. 1990г. Устанавливались на Марк II, Чейзер, Кресту GX-61, GX-71, GX-81, Краун GS 121, GS-131.

Более современная версия - 1G-FE. Имеет четыре клапана на цилиндр, два распределительного вала. Зубчатый ремень приводит во вращение один распределительный вал, а между собой распределительные валы связаны шестернями с без зазорным зацеплением. Это не самая мощная версия -135 л.с. ,но ,пожалуй, самая тихая. Очень аккуратный и компактный мотор. Устанавливается на Марк II, Чейзер, Кресту GX-81, GX-90, Краун GS-14#, GS-15#. Ни одна версия 1G не гнёт клапана при обрыве ГРМ. 1G-FE это один из самых удачных , надежных и без проблемных двигателей. Пожалуй только масляный насос лучше было бы расположить на коленчатому валу спереди (как на серии JZ), а так, масляный насос приводится зубчатым ремнём и ,соответственно, имеются лишний шкив и обводной ролик, которых можно избежать. Зато есть и положительные моменты: ГРМ не имеет автоматического натяжителя и ремень подтягивается по старинке вручную. И, хотя на Тойотах мне пока не встречался дефект автонатяжителя (на Маздах, например, конченый натяжитель - обычное дело, хотя производитель натяжителя один и тот же), всё-таки болтом натягивать - поспокойней будет. Аналогично и с остальными ремнями. На JZ применяется один ремень, который охватывает все вспомогательные агрегаты и имеет опять же автонатяжитель, который к тому же АМЕРИКАНСКОГО (!) производства и ,соответственно, имеет хронические дефекты. Подшипник ролика шумит и рассыпается, а сам ролик постоянно перекашивается. Описываемый 1G-FE в приводе вспомогательных агрегатов имеет несколько независимых друг от друга ремней, которые натягиваются каждый отдельно. При отказе какого-нибудь агрегата (например, кондиционера) можно снять один ремень и продолжить путешествие.

Все версии, кроме GZE и GTE имеют трамблёр с выносной катушкой и провода, что упрощает поиск дефектов, если они вдруг образуются.

В остальном - это обычный тойотовский мотор. По моему, это самый удачный и приятный мотор.

.3 Достоинства и недостатки двигателя 1G-EU и 1G-GEU

Двигатель Toyota серии «1G-EU»

Рядный шестицилиндровый двигатель объёмом два литра, с порядком работы цилиндров 1-5-3-6-2-4.

Достоинства:

Этот двигатель устанавливается на различные варианты Toyota Mark-II и Toyota Crown. Он оборудован гидрокомпенсаторами клапанных зазоров так же, как и двигатель 1S. Они, взаимозаменяемы. Аналогичны все их достоинства (низкий шум) и недостатки (критичность к состоянию распредвала и качеству моторного масла). Хотя к маслу 1G более требователен: при плохом его качестве забивается масляная магистраль (трубка, расположенная над распредвалом), и распредвал, лишаясь смазки, очень быстро изнашивается, после чего гидрокомпенсаторы выходят из рабочей точки, и цилиндр, обслуживаемый этим гидрокомпенсатором, не работает.

«Не любит» плохой бензин. Хотя и может выдержать 2-3 заправки бензином А-76, но это сильно зависит от манеры езды.

Недостатки:

Очень часто эти двигатели попадают в ремонт из-за того, что поддоном картера двигателя "касаются" неровностей дороги. Этих "касаний" трудно избежать, потому что автомобили с этим двигателем, как правило, достаточно длинные, и зацепить дорогу поддоном на Toyota Crown гораздо проще, чем, например, Toyota Corolla, хотя дорожные просветы у них примерно одинаковые. При "касании" поддоном какого-нибудь камня поддон легко гнётся, и сетка маслоприёмника в нём деформируется, что сразу садит двигатель на бедный масляный "паёк" или давление масла в системе смазки двигателя вообще пропадает, что приводит к разрушению всего двигателя.

Система зажигания выходит из строя с той же частотой, что и у других двигателей, но ремонтировать её гораздо проще, чем у двигателей серии "S" и "А". Все элементы - коммутатор, катушка, высоковольтные провода и т.п. расположены порознь, поэтому легко диагностируются и заменяются на другие. Причём, другие могут быть и от Honda и от Mazda, и даже от новых "Жигулей".

Помпы на этих двигателях слабее, чем у 1S и поэтому чаще выходят из строя. У этих двигателей часто засоряется магистраль вентиляции картера на холостом ходу и плохо работает система поддержания прогревных оборотов.

сальник коленвала передний

45*62

сальник коленвала задний

75*100

зубчатый ремень

Z 131 или 111, в зависимости от года выпуска

сальник распредвала


Двигатель Toyota серии «1G-GEU»

Двигатель с двойной головкой, имеющий 4 клапана на каждый цилиндр: 2 впускных и 2 выпускных. Клапаны, вернее, клапанные зазоры, регулируются круглыми прокладками, но регулировать их требуется очень редко.

Некоторые двигатели с турбинами (тогда они называются 1G-GTEU) оборудуются устройством, называемым японцами <Интеркуллер|INTERCOOLER>, которое служит для охлаждения сжатого турбиной воздуха. Это нужно для того, чтобы попала большая масса воздуха (объём воздуха, засасываемого в цилиндр, всегда одинаков).

У Toyota обычно представляет собой теплообменник, через который проходит сжатый турбиной воздух. В этот теплообменник так же заливается охлаждающая жидкость типа <Тосол> и вся система имеет свой радиатор охлаждения, свою систему трубок и отдельную помпу, обычно электрическую.

Недостатки:

Вообще-то, турбина - самая слабая часть всего двигателя. У двигателей с пробегом более 70000 км турбины уже никуда не годятся: в них изнашиваются подшипники и уплотнения, и масло, которое смазывает валик турбины при работе двигателя от его системы смазки, проникает во впускной коллектор или в выхлопную трубу. Автомобиль при этом, естественно, дымит.

На сравнительно новых двигателях, и это относится не только к двигателям серии , применяют охлаждение турбины жидкостью из системы охлаждения двигателя, поэтому можно встретить двигатель с пробегом около 100000 км и ещё живой турбиной.

Двигатели 1G-GEU попадают в ремонт из-за течи помпы, прогорания выпускных клапанов, разрушения прокладок, которыми регулируются клапанные зазоры. Хотя последнее могло произойти из-за того, что перед этим регулировали клапаны, и вновь установленные прокладки были из плохой стали или их не подвергли термообработке.

Иногда в двигателях 1G-EU и 1G-GEU выходит из строя система поддержания прогревных оборотов и система холодного пуска двигателя.

Особенности:

Особенностью двигателя является наличие <твинкамовских> свечей зажигания. Это те же обычные свечи зажигания, но размер под ключ у них не 21, а 17, и расположены они в специальных углублениях (под крышкой) на головке блока цилиндров. Удалить из этих углублений воду (после промывки двигателя) или масло (если есть течь клапанных крышек) достаточно сложно. Свечи под слоем воды сразу не работают, а под слоем масла не работают, но не сразу, а через 1-2 месяца, когда масло проникнет вовнутрь свечи и будет пробит подсвечник. Эта особенность отличает двигатель E1G-F, тоже «твинкамовский», но у него привод распредвалов от одного зубчатого колеса: оба вала связаны между собой зубчатым зацеплением.

При ослаблении резинового зубчатого ремня у двигателей 1G-GEU возникает стук в зацеплении распредвал - вал тумблера. На первый взгляд кажется, что слишком большой люфт в зацеплении, но стоит натянуть зубчатый ремень как надо - всё проходит.

Кроме варианта с турбонаддувом (1G-GTEU), есть вариант этого двигателя с объёмным нагнетателем (1G-GZEU), который приводится во вращение ремнём от коленчатого вала. У двигателя 1G-GZEU крутящий момент меньше зависит от оборотов двигателя, в отличие от двигателя 1G-GTEU, т.е. он более <тяговитый>, особенно на малых оборотах (1500-2500 об/мин).

зубчатый ремень

Z 146



Глава 2. Тепловой расчет двигателя 1G

В курсовом проекте рассматривается четырехтактный, шестицилиндровый японский двигатель 1G-FE.

Рабочий объем двигателя W = 1988 см3.

Количество цилиндров i = 6;

Диаметр цилиндра D = 75 мм = 0,075 м;

Ход поршня S = 75 мм = 0,075 м;

Наклон цилиндров 15° к вертикали;

Обороты максимальной мощности: n = 5600 об/мин

Геометрическая степень сжатия: εi = 9,6

Доля хода, занятая продувочными окнами: ψп = 0,3

Выбор и обоснование исходных данных:

Давление и температура окружающей среды:

 = 290К;

Коэффициент избытка воздуха для сгорания: .

Коэффициент остаточных газов - отношение количества оставшихся в цилиндре от предыдущего цикла газов к количеству поступившего свежего заряда. Для четырехтактного двигателя с петлевой продувкой.

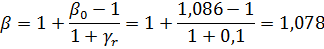
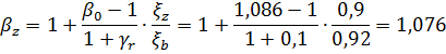
,06 ≤  ≤ 0,16 Двигатели большей быстроходности характеризуются большим значением  

Принимаем:  = 0,1

Давление и температура остаточных газов:

; ;

Подогрев заряда от стенок - температура подогрева за счет тепла стенок цилиндра,

которых касается, газ при наполнении цилиндра, и температуры остаточных газов.

Для инжекторных двигателей 10K ≤ ∆T ≤ 30K

Принимаем: ∆T = 20K.

Коэффициент скругления индикаторной диаграммы: 0,92 ≤ φ ≤ 0,98

меньшие значения выбирают для дизелей, большие - для двигателей с электрическим зажиганием). Принимаем: φ = 0,97

Средняя молекулярная теплоемкость газов при постоянном объеме:

топливная смесь


остаточные газы .


Механический к.п.д.:

Предварительный расчет:

Действительная степень сжатия:

εd = εi - ψn  (εi - 1) = 9,6 - 0,3(9,6 - 1) = 7,02

В дальнейшем при расчетах будем пользоваться действительной степенью сжатия.

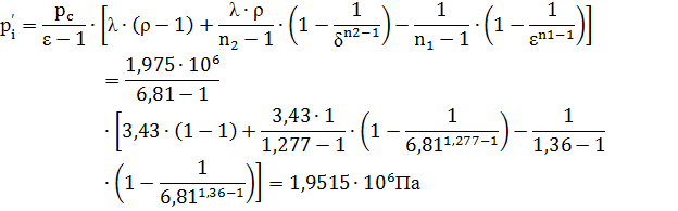
Давление продувки (после компрессора - кривошипной камеры):

Па

Показатель политропы сжатия в нагнетателе: m=1,5;

Коэффициент, учитывающий неодинаковость теплоемкостей смеси и остаточных газов:


.1 Наполнение

Температура воздуха перед впускными органами:


Давление в начале сжатия:

.


Коэффициент наполнения:

=

0,75797

Коэффициент наполнения, отнесенный к полному ходу поршня:

0,532

Температура рабочего тела в начале сжатия:

.2 Сжатие

Находим показатель политропы сжатия  из уравнения:

где

используя программу MathCAD.

Давление в конце сжатия:


Температура в конце сжатия:


Средняя теплоемкость при сжатии:


.3 Сгорание

Количество воздуха, теоретически необходимое для сгорания:

тепловой двигатель сгорание

где С, Н, О определяются из среднего элементарного состава 1 кг бензина (кг) или количество воздух в кг:


Молекулярный вес топлива:


Количество свежего заряда:


Количество продуктов сгорания (при ):


Теоретический коэффициент молекулярного изменения:


Действительный коэффициент молекулярного изменения:


Коэффициент молекулярного изменения в точке z:


Низшая теплотворная способность бензина:


Потери от неполноты сгорания:


Находим среднюю мольную теплоемкость и температуру продуктов сгорания (при ) из системы уравнений:

где

используя программу MathCAD ;

;

Степень повышения давления:

Теоретическое максимальное давление:


 - действительное значение давления, в дальнейшем при расчетах будем брать.

.4 Расширение

Степень предварительного расширения для инжекторных двигателей:.

Степень последующего расширения для инжекторных двигателей:.

Показатель политропы расширения определяем по формуле НАТИ:


Температура в конце расширения:


Давление в конце расширения:


Проверка по формуле Е.К. Мазинга: температура остаточных газов (относительная ошибка должна быть менее 15%):


- ошибка составила 1,7%.

Глава 3. Построение индикаторной диаграммы

Площадь поршня:


Часть рабочего хода занята продувочными окнами (). Полный ход поршня S = 75 мм. Тогда угол поворота, соответствующий открытию продувочного окна найдем из уравнения:

, используя программу MathCad получим , тогда:

 - расширение;

 - выпуск

 - впуск

 - сжатие

А) процесс впуска:


Б) процесс сжатия:

 - действительная степень сжатия;

где  - рабочий объем цилиндра;

 - полный объем цилиндра;

 - объем камеры сгорания;

В) сгорание:

.

Г) расширение:

.

По результатам расчетов строим индикаторную диаграмму в координатах

.1 Индикаторные показатели

Среднее индикаторное давление теоретического цикла:


Среднее индикаторное давление действительного цикла для четырехтактного двигателя:


Индикаторный к.п.д.:

 

Удельный индикаторный расход топлива:


.2 Эффективные показатели

Среднее эффективное давление и к.п.д.:


Удельный эффективный расход топлива:

Эффективная номинальная мощность:


где  в МПа; W в л; m - коэффициент тактности (для четырехтактных двигателей m = 4).


Внешние скоростные характеристики:

Максимальные развиваемые обороты двигателя




Заключение

В настоящее время двигатель внутреннего сгорания является основным видом автомобильного двигателя. Двигателем внутреннего сгорания (сокращенное наименование - ДВС) называется тепловая машина, преобразующая химическую энергию топлива в механическую работу.

Во время написания курсовой работы были систематизированы научные и практические знания в области эксплуатации двигателя. В данном курсовой работе был произведен тепловой расчет японского двигателя внутреннего сгорания 1G. При выполнении теплового расчета были определены параметры рабочего тела в цилиндре двигателя, а также оценочные показатели процесса, позволяющие определить размеры двигателя и оценить его мощностные и экономические показатели.

В ходе написания курсовой работы изучено характеристика двигателей, его достоинство и недостатки, для того чтобы ясно представлять его работу и быстро и качественно устранять неисправности и правильно ее эксплуатировать. Были рассмотрены серии двигателей 1G и его модификации. Ознакомились с большим семейством рядных шестицилиндровых двигателей, которое ставилось на задне - и полноприводные автомобили TOYOTA. В итоге создана возможно быстрая адаптацию на работе по специальности.


Список используемых источников и литературы

.Автомобильные и тракторные двигатели. Ч.II. Конструкция и расчет двигателей. Под ред. Ленина И.М.. Учебник для втузов. Изд. 2-е, доп. и перераб. М.: «Высшая школа», 1976. - 280с.

. Двигатели внутреннего сгорания: Теория поршневых и комбинированных двигателей. Учебник для втузов по специальности «Двигатели внутреннего сгорания» / Вырубов Д.Н., Иващенко Н.А., Ивин В.И. и др.; Под ред. Орлина А.С., Круглова. М.Г. - 4-е изд., перераб. и доп. - М.: «Машиностроение», 1983. - 372с.

. Моргулис Ю.Б. Двигатели внутреннего сгорания (теория, конструкция и расчет). - М.: «Государственное научно-техническое издательство машиностроительной литературы», 1959. - 344с.

. Теория двигателей внутреннего сгорания. Под ред. проф. д-ра техн. наук Дьяченко Н.Х. Л.: «Машиностроение», 1974. - 552с.

. Хачиян А.С., Морозов К.А., Луканин В.Н. Двигатели внутреннего сгорания: Учебник для вузов. - М.: «Высшая школа», 1978. - 280с.

Похожие работы на - Тепловой расчет двигателя 1G

 

Не нашли материал для своей работы?
Поможем написать уникальную работу
Без плагиата!
Без нейросетей!