Спектры поглощения и люминесценции алюмоборофосфатного стекла, легированного висмутом
ФЕДЕРАЛЬНОЕ
АГЕНТСТВО ПО ОБРАЗОВАНИЮ
МОСКОВСКИЙ
ГОСУДАРСТВЕННЫЙ ИНСТИТУТ РАДИОТЕХНИКИ,
ЭЛЕКТРОНИКИ
И АВТОМАТИКИ (ТЕХНИЧЕСКИЙ УНИВЕРСИТЕТ)
Факультет
Электроники
Форма
обучения очная
Кафедра
Нанотехнологий
ДИПЛОМНАЯ
РАБОТА
Тема:
Структура спектра поглощения и люминесценции алюмоборофосфатного стекла,
легированного висмутом
Исполнитель Савченко Виктория
Викторовна
Группа ЭН-12-05 , шифр ЭН-051229
Руководитель работы д.ф.-м.н., проф.
Конов В.И.
к.ф.-м.н., с.н.с. Кононенко В.В.
Консультант по спецчасти м.н.с.
Комленок М.С.
Консультант по
организационно-экономической части
ассист. каф. «Экономика
промышленности» Рогова В.А.
Рецензент к.ф.-м.н., с.н.с.
Кононенко Т.В.
МОСКВА -
2010
Содержание
Введение
. Обзор литературы
.1 Состав стекла, легированного висмутом
.2 Усиление и лазерная генерация в
стеклах, легированных висмутом
.3 Физическая природа поглощения и
люминесценции
.4 Структурирование висмутовых
стекол с помощью фемтосекундного лазера
. Эксперимент
. Результаты и обсуждение
.1 Люминесценция
.2 Поглощение
. Организационно-экономический
раздел
.1 Введение
.2 Основные элементы бизнес-плана
.2.1 Резюме
.2.2 Характеристика продукта
.2.3 Характеристика предприятия
.2.4 Оценка рынков сбыта и
конкуренции
.2.5 Планирование работ
.3 Расчет сметной стоимости работы
.3.1 Сырье и материалы
.3.2 Заработная плата
.3.3 Амортизация
.3.4 Накладные расходы
.3.5 Полная себестоимость
.4 Оценка экономической
целесообразности работы
.5 Заключение
Заключение
Список литературы
Приложения
Введение
В настоящее время в науке очень высок интерес к
различным стеклам, легированным висмутом. Причиной тому являются неоднократные
сообщения о наблюдении широкополосной люминесценции в ближней ИК-области
спектра (1.1 - 1.7 мкм) в ряде стекол (силикатных, германатных, фосфатных, боратных)
[1, 3, 9, 10, 11]. Эта их особенность может быть использована для усиления и
лазерной генерации в ближнем ИК-диапазоне. Развитие приборов и оптоволоконных
материалов для этого диапазона отвечает возрастающим потребностям
телекоммуникации.
В процессе реализации супервысокоскоростных и
высокоемких технологий в телекоммуникации, технология спектрального уплотнения
каналов (англ. Wavelength-division multiplexing, WDM), в частности, играет
ключевую роль, так как позволяет одновременно передавать несколько
информационных каналов по одному оптическому волокну на разных несущих длинах
волн. Для WDM систем
необходимы гораздо более широкополосные оптоволоконные усилители, чем
существующие, чтобы получить больше передающих каналов. Существует две главных
рабочих телекоммуникационных длины волны: 1.55 мкм с наименьшим затуханием
излучения в оптоволокне (третье телекоммуникационное окно прозрачности), и 1.3
мкм, на которой затухание выше, однако для нее характерна нулевая дисперсия в
кварцевом волокне (второе телекоммуникационное окно прозрачности). Легированные
эрбием оптоволоконные усилители в значительной мере использовались в WDM
системах для третьего телекоммуникационного окна, и было получено
широкополосное усиление. Однако, для второго телекоммуникационного окна
прозрачности не было сделано существенного прорыва. Хотя легированные
празеодимом оптоволоконные усилители, особенно легированные празеодимом
ZrF4-BaF2-LaF3-AlF3-NaF (ZBLAN)
оптоволоконные усилители, заслуживают внимания, но ZBLAN-стекло
является слабым как в отношении химической устойчивости, так и в отношении
механической прочности. Кроме того, достаточно сложно соединить легированные
празеодимом оптоволоконные усилители с кварцевым волокном методом поточечной
сплавки. Также, применялись рамановские оптоволоконные усилители, но у них
имелись такие проблемы, как узкая ширина полосы на длине волны 1.3 мкм и низкая
производительность.
Таким образом, стекло, легированное висмутом,
является наиболее перспективным в технологическом отношении, а также в отношении
предъявляемых требований к ширине полосы и производительности.
Большой интерес представляет возможность
создания различных структур, в которых можно получать усиление, волноводов (как
макро-, так и микро- и нано-масштабных) в объеме и на поверхности легированного
висмутом стекла с помощью фемтосекундных лазеров [16, 18, 21]. В процессе их
создания имеют место некоторые особенности, которые связаны, предположительно,
с локальным изменением температуры стекла, и влияние этого фактора на свойства
материала требует изучения.
Итак, свойства легированного висмутом стекла
нуждаются во всестороннем изучении и, в соответствии с этим, целью данной
работы является исследование влияния температуры на структуру спектров
поглощения и люминесценции.
1.
1.
Обзор литературы
.1
Состав стекла, легированного висмутом
Спектры поглощения и люминесценции в разных
видах стекол довольно похожи. Но все эти стекла имеют существенный недостаток -
низкую технологичность. Для формирования оптического волокна нужны стекла
хорошего оптического качества для сердцевины волокна и для его оболочки.
Производство оптического волокна представляет собой многоступенчатую
технологию, включающую химическое осаждение из газовой фазы и последующее
пропитывание слоя пористого стекла раствором висмутовой соли. Поэтому нужен
оптимальный состав стекла, отвечающий всем требованиям, а также необходимо,
чтобы технология его производства была как можно более простой.
Впервые, широкополосная люминесценция на 1.3 мкм
была обнаружена в силикатном стекле, а затем был реализован усилитель для 1.3
мкм с возбуждающей длиной волны 0.8 мкм [1, 6]. Позже были получены и
исследованы германатные стекла, легированные висмутом [12]. Однако сообщалось о
том, что волокно, основанное на германатном стекле, показывает гораздо более
низкую интенсивность полос поглощения и их сдвиг в коротковолновую область, по
сравнению с алюмосиликатными образцами [4]. Важно отметить, что люминесценция
наблюдается только при одновременном присутствии висмута и алюминия (или
тантала) в образце [4, 13]. Также есть сообщения о люминесценции в ближнем
ИК-диапазоне в барий-алюминий-боратных стеклах, легированных висмутом, при этом
концентрация BaO в составе
исходной смеси сказывалась существенным образом на их характеристиках - с
ростом концентрации увеличивались поглощение и интенсивность люминесценции
[14].
Хорошо известно, что фосфатные стекла являются
хорошей основой для легирования редкоземельными элементами, а также имеют много
приложений в оптоэлектронике. По этой причине появились исследования различных
алюмофосфатных стекол [3, 11]. Алюмоборофосфатные стекла, легированные висмутом
имеют наилучшие технологические характеристики, а именно необходимую
механическую прочность и химическую устойчивость. Люминесценция в них
наблюдалась на 0.68, 1.15 и 1.3 мкм. При накачке длиной волны 0.53 мкм спектр
испускания состоял из двух широких полос в видимом и ближнем ИК-диапазонах. При
накачке излучением с длиной волны 0.8 и 0.98 мкм наблюдалась одна полоса
люминесценции в ближнем ИК [3].
Таким образом, открываются перспективы для
широкомасштабного производства оптических усилителей и лазеров для второго
телекоммуникационного окна.
1.2 Усиление
и лазерная генерация в стеклах, легированных висмутом
В ряде работ подробно рассматриваются вопросы
усиления и лазерной генерации, а также реализации конкретных устройств.
В силикатном стекле, легированном висмутом,
усиление наблюдалось на длине волны 1310 нм при возбуждении полупроводниковым
лазером с длиной волны 810 нм [2]. В качестве пробного луча использовался InGaAsP/InP
лазерный диод с пиком на 1310 нм. Эти 2 луча были сколлимированы линзами. Они
были наложены друг на друга и сфокусированы на образце. Усиленный пробный луч
направлялся на германиевый детектор. Было обнаружено, что коэффициент усиления
линейно возрастает с ростом энергии возбуждающего излучения (Рис.1.1).
Рис.1.1. Коэффициент усиления в образце толщиной
0.24 см
Стекло, легированное висмутом, имеет несколько
преимуществ, например большое время жизни люминесценции, что позволяет
накапливать энергию возбуждения и это может иметь применение для
высокоэнергетичных лазеров. Во-вторых, так как поглощение существует в видимой
области спектра, то можно использовать импульсные лампы или полупроводниковые
лазеры для накачки, например широкораспространенный GaAlAs
лазер (800 нм). В-третьих, это материал, который можно легко преобразовывать в
оптическое волокно, и соединять с телекоммуникационным оптоволокном.
В-четвертых, у него наблюдается полоса
люминесценции на 1250 нм шириной на полувысоте 300 нм, что шире в 5-6 раз, чем
у стекла, легированного эрбием. И, наконец, квантовый выход в стекле ~60-70% ,
и поэтому усилители на его основе более эффективны, чем, рамановский волоконный
усилитель.
Первый волоконный лазер на основе висмута был
получен в силикатном стекле и работал в диапазоне 1.15 - 1.3 мкм при накачке на
1.064 мкм. Волокно было длиной 80 м, коэффициент поглощения на длине волны
накачки составлял 55 дБ. Максимальная выходная мощность, полученная при
мощности накачки около 5 Вт, была равна 460 мВт на длине волны 1146 нм, и 400
мВт на длине волны 1215 нм. Генерация наблюдалась в широкой полосе (порядка 100
нм), которую можно использовать для перестройки длины волны лазерного излучения
[7]. На Рис.1.2 приведена схема этого лазера.
Рис.1.2. Лазерная схема с резонатором,
образованным брэгговскими решетками
В другом эксперименте, где также была низкая
концентрация висмута, тоже использовалось волокно длиной 80 м [19]. В связи с
потерями и нелинейностями, более короткое волокно предпочтительнее, однако,
начинает наблюдаться концентрационное тушение люминесценции даже при
сравнительно небольших концентрациях висмута, а это мешает дальнейшему
укорачиванию волокна. Концентрация Bi
0.005% соответствующая 0.3 дБ/м поглощению на 1070 нм была установлена как
верхний порог лазерной генерации. Есть два возможных препятствия для увеличения
концентрации висмута. 1) ИК люминесценция наблюдается только когда ионы висмута
занимают соответствующие положения рядом с алюминием. Следовательно, превышение
концентрацией висмута числа подходящих мест может вызвать только ненасыщаемое
поглощение, или, в лучшем случае, не дать никакого эффекта. 2) Так как лазерная
длина волны находится в хвосте полосы поглощения, высокая концентрация висмута
дает рост дополнительных потерь сигнала. Учитывая зависимость от времени жизни
возбужденного состояния это может вести к высоким пороговым значениям в длинных
волокнах с высокой концентрацией. Несмотря на эти преграды, необходимо увеличивать
эффективную концентрацию висмута для коротко-волоконной лазерной генерации,
чтобы избежать нежелательных нелинейных эффектов для висмутовых волоконных
лазеров с внешней накачкой. Авторы исследования [15] сообщают о
высоколегированных висмутом волокнах, на основе германий-алюмосиликатного
стекла, дающих лазерную генерацию на 1.16 мкм длиной 25 м при комнатной
температуре.
Усиление было получено не только в оптических
волокнах, но и в волноводах, сформированных в объеме силикатного стекла,
легированного висмутом [16]. Состав исходной смеси для изготовления стекла
включал BiO (1%), SiO
(92%), AlO (7%).
Волновод был сформирован с помощью фемтосекундного лазера. Лазерный луч был
сфокусирован внутри материала на глубине примерно 100 мкм. Образец перемещался
перпендикулярно направлению лазерного луча. После этого, грани были
отполированы и конечная длина волновода составила 5 мм.
Было продемонстрировано значительное внутреннее
усиление, которое открывает перспективы для производства компактных
широкополосных усилителей и широкополосных фемтосекундных лазеров. Важно
отметить, что накачка осуществлялась на 980нм, так же как в эрбий-легированных
системах. Величина усиления составила 2.7 дБ, что довольно много для волновода
длиной 5 мм.
Итак, различные приборы и устройства на основе
легированного висмутом стекла уже реализованы, однако физическая природа
лежащих в их основе явлений до сих пор четко не определена.
1.3
Физическая природа поглощения и люминесценции
В литературе предлагается достаточно много
различных моделей, описывающих природу люминесцентных центров в стекле,
легированном висмутом.
Фуджимото и др. (авторы открытия
ИК-люминесценции в висмутовых стеклах) приписывали люминесценцию и поглощение
электронным переходам в ионах Bi5+
между основным и возбужденными уровнями энергии. Так как ионы алюминия Al3+
в матрице замещают ионы Si4+,
могут формироваться отрицательные дефекты AlSi
и электрически компенсироваться дефектами BiSi
- ионами Bi5+,
замещающими Si4+.
Однако некоторые исследователи считают, что висмут
в стекле существует в низковалентном состоянии (Bi+
или кластер). Поглощение и люминесценция обусловлена электронными переходами в
ионах Bi+ между
основным и возбужденным уровнями энергии [4, 11, 14].
В пользу этого говорит тот факт, что CeO2-
содержащий образец не имел обусловленного висмутом цвета и люминесценции в
ближнем ИК. Хорошо известно, что CeO2 - хороший окислитель. Этот факт, так же
как слабая окраска стекла (т.е. отсутствие поглощения в видимой области),
синтезированного на воздухе, позволяет предполагать, что цвет стекла и свойства
ближней ИК-люминесценции - характерная черта низковалентных состояний висмута
[10].
Недавно обнаружено также, что ИК-люминесценция
характерна не только для стекла, легированного висмутом, но и для Sb-,
Pb-, Sn-,
In-, Te-легированного;
точечные дефекты в стекле предлагались в качестве кандидатов для объяснения
ИК-люминесценции [20]. В работе [5] выдвигается предположение, что висмут и
похожие атомы формируют в стекле особый новый вид оптических центров, в которых
происходят переходы между уровнями валентных электронов, которые меняют
распределение заряда и ионное состояние центрального и окружающих атомов. Этими
центрами являются BiO4-тетраэдры
(с центральным атомом висмута и 4-мя ближайшими атомами кислорода в качестве
лиганды). Эта модель также применяется для объяснения спектральных
характеристик других атомов с похожей конфигурацией валентных s,
p, d
электронов (эти элементы можно назвать изовисмутовыми, с конфигурацией
оптических центров MO4,
где М - атомы Sb, Pb,
Sn, In,
Te). Динамика
поглощения и люминесценции в МО4 центрах в стекле объясняется эффектом
внутримолекулярного переноса заряда, когда поглощенный свет приводит к переходу
электрона с лиганды на металлический уровень и наоборот.
Данная теория имеет несколько основных выводов:
1. Длина волны и время жизни ИК-переходов в
основном зависит от волновых функций тетраэдра О4, и гораздо слабее зависит от
М атома.
2. В случае, когда число внешних электронов
М-атома отличается от стеклообразующих атомов (Si4+ или Ge4+)
необходимо долегировать стекло А-атомами. Атомные пары М-А должны удовлетворять
правилу компенсации заряда: т.е. сумма внешних электронов спаренных атомов
должна быть равна 8 (например, Bi-Al).
. В качестве активных пар можно
предложить комбинацию двух изовисмутовых атомов MIIIMV, MIVMIV(т.е., In-Bi,
Ga-Bi, Tl-Bi, Ga-As, In-Sb, and Pb-Sn)
. Состав самого стекла (Si и Ge или Si и
Ge, P, B, и т.д.) дает вклад в спектры поглощения и люминесценции - может
возрастать величина и спектральная ширина оптического усиления и волоконной
лазерной генерации.
Недавно было сделано предположение, что
ИК-люминесценция вызвана электронными переходами в отрицательно заряженных
междоузельных димерах Bi2−. Авторы работы [8] представили
квантово-химические расчеты спектроскопических характеристик димеров Bi2−
и Bi22− и смоделировали их в алюмосиликатной матрице стекла.
Квантово-химическое моделирование Bi2,
Bi2− и Bi22− димеров в алюмосиликатной матрице проводилось в
приближении кластеров. Кластеры состояли из одного или двух шестичастичных
колец, сформированных 4-мя тетраэдрами SiO4
и 2-мя тетраэдрами AlO4
слабо связанными с остальными атомами О и, находящимися среди них, атомами Н.
Висмутовые димеры сначала помещались в центр кластера, выполнялась
геометрическая оптимизация.
Нейтральный висмутовый димер в алюмосиликатной
матрице выравнивался вдоль оси кольца, с атомами висмута по обеим сторонам
плоскости кольца. Один и два дополнительных электрона добавленные к кластеру
локализовались на атомах висмута, образуя отрицательно заряженные димеры Bi2−
и Bi22− соответственно. Равновесная конфигурация висмутовых димеров в
междоузлии, сформированном кольцами, показана на рис.1.3. Атомы висмута не
формируют связи с атомами кольца, и возвращаются в эти позиции даже после того,
как димер значительно сместится из положения равновесия.
Рис.1.3. Bi2− и Bi22− димеры в
алюмосиликатной матрице стекла
Чтобы отрицательно заряженные висмутовые димеры
сформировались, в матрице должны присутствовать свободные электроны. В
алюмосиликатном стекле трехкоординированные атомы О могут давать электроны.
Такие атомы необходимы в стекле, чтобы обеспечивать связи. Атомы алюминия 6-
или 4-кратно координированы. 6-кратно-координированные атомы алюминия не могут
быть встроены в непрерывную силикатную матрицу, как отдельные одноатомные
примесные центры, они должны формировать группы из не менее чем 4-6 атомов, и
такие группы должны быть связаны с силикатным окружением только
трехкоординированными О-атомами. Так, эта модель согласуется с экспериментом, в
котором висмутовая ИК-люминесценция наблюдалась только в присутствии
шестикратно-координированнных атомов. В стеклах, содержащих оксиды алкалоидов,
или алкалоидово-редкоземельных элементов, свободные электроны обеспечивались положительными
ионами этих элементов.
Однократно заряженные Bi2− димеры имеют
неспаренный электрон и могут быть исследованы с помощью
электронно-парамагнитного (спинового) резонанса. Аксиальный (осевой) ЭПР сигнал
с g=2.20 приписываемый
как раз димеру Bi2− по аналогии с Se2−
был обнаружен в стекле, легированном висмутом. Был рассчитан ЭПР g-фактор
димера Bi2−, используя тот же базис и эффективные потенциалы, и
получилось g=2.1940. С другой
стороны, отсутствие ЭПР-сигнала, вызываемого ИК-люминесцентными центрами, было
особо подчеркнуто в [1]. Это противоречие может объясняться тем, что число
димеров Bi2− или Bi22- может меняться довольно значительно в зависимости
от состава стекла и технологических особенностей, часто оба димера имеют
одинаковые спектры ИК-люминесценции, но димеры Bi22- не дают ЭПР-сигнала
соответствующего спину Ѕ.
Чтобы проверить данную модель ИК-люминесценции в
алюмосиликатном стекле, легированном висмутом, были исследованы люминесцентные
свойства магнезиум кордиерита (2MgO·2Al2O3 ·5SiO2) содержащего примерно 2%
висмута. В этом кристалле атомы висмута могут занимать два кристаллографических
положения, в направлениях междоузельных каналов, сформированных шестигранными
кольцами из тетраэдров SiO4 и AlO4. Два атома висмута, занимающих смежные положения
могут формировать димеры. Как обсуждалось ранее, димеры должны переходить в
отрицательно заряженные состояния, Bi2− и Bi22-, захватывая один или 2
электрона из матрицы. В таком случае ИК-люминесценция должна наблюдаться и в
легированном висмутом кордиерите, что и было продемонстрировано при накачке на
514 нм либо на 808 нм.
На энергетической диаграмме низковалентного
состояния висмутовых димеров Bi2− были показаны разрешенные переходы с
основного на возбужденные уровни энергии, соответствующие оптическому
поглощению в полосах на 860, 720, 460 и менее 400 нм. Аналогично, на
энергетической диаграмме димеров Bi22- были показаны разрешенные переходы,
соответствующие поглощению в полосах 880, 715, 470 и менее 400 нм.
Полученные результаты подтвердили предположения,
и позволяют развивать модель широкополосной люминесценции в стекле,
легированном висмутом, в соответствии с которой междоузельные отрицательно
заряженные димеры - это центры ИК-люминесценции. Расчет показал, что
отрицательно заряженные димеры висмута устойчивы в алюмосиликатной матрице
стекла, и подтвердил что их спектры поглощения, люминесценции находятся в
хорошем согласии с экспериментальными данными.
Итак, среди ученых нет единого мнения о причинах
ИК-люминесценции и поглощения в легированных висмутом стеклах, и этот вопрос
требует дальнейшего исследования. В частности необходимо тщательно изучить их
спектральные зависимости. В связи с этим, целью данной работы является
исследование влияния температуры на структуру спектров поглощения и люминесценции.
1.4
Структурирование висмутовых стекол с помощью фемтосекундного лазера
Фемтосекундная лазерная печать может широко
применяться для создания различных микро- и наноструктур в стеклах,
легированных висмутом. Используя фемтосекундные лазеры можно создавать в стекле
активированные области, в которых можно получать усиление, и которые кроме того
будут являться волноводами [21].
Научная группа, в которой выполнялась данная
работа, занимается исследованием этого вопроса и были получены следующие результаты:
наблюдалось увеличение интенсивности люминесценции в видимом диапазоне при
сканировании фемтосекундным лазером; в спектре поглощения наблюдалось появление
и рост новой полосы на 550 нм (2.25 эВ), а также рост уже имевшейся полосы на
460 нм (2.76 эВ), (рис. 1.4):
Рис. 1.4. Увеличение поглощения при облучении
фемтосекундным лазером
При создании активированных областей
использовались различные режимы облучения: с частотой 10 Гц, и с частотой 1000
Гц. Предпочтительнее использовать частоты 1000 Гц и более, чтобы сократить
время структурирования. При частоте 10 Гц наблюдался рост поглощения в
зависимости от количества импульсов на точку, и был достигнут максимум
поглощения, после которого оно выходило на насыщение. А при частоте 1000 Гц
после достижения некого максимума, при дальнейшем облучении была обнаружена
деградация поглощения (рис.1.5).
Рис.1. 5. Поведение поглощения образца на 550 нм
при различных частотах лазера, в зависимости от количества импульсов на точку
Было сделано предположение, что это связано с
нагреванием материала образца под воздействием лазера. Предполагается, что
область локального воздействия лазера не успевает остыть после единичного
импульса, и следующий импульс приходит в уже нагретую область, в результате
температура постепенно повышается. Это предположение подтверждает и оценка,
суть которой в том, что если размер области r,
в которую успевает передаться тепло после локального нагрева, и размер самой
области локального нагрева l
соизмеримы,
то считается, что материал не успевает остыть в промежутке между импульсами. l
в эксперименте была равна 10 мкм, а r
можно оценить:
, где χ
- теплопроводность
материала, τ - промежуток времени
межу импульсами. Для исследуемого стекла χ = 0,36·10-2 см2/с,
для частоты 1000 Гц τ = 10-3 с,
тогда r
~ 20
мкм, то есть в этом случае размер областей соизмерим, и материал не успевает
остыть. В случае, когда частота 10 Гц, то есть τ = 10-1
с, эта оценка дает r
~ 200 мкм, в этом случае размеры отличаются на порядок и можно считать, что
область остывает.
Однако, несмотря на это, ответить на вопрос о
причинах наблюдаемого поведения поглощения можно, только проведя дополнительные
исследования.
Итак, чтобы развивать структурирование
висмутовых стекол с помощью фемтосекундного лазера необходимо понять, какие
процессы происходят при воздействии лазерного излучения. В связи с этим, целью
данной работы является изучение влияния температуры на структуру спектров поглощения
и люминесценции в стеклах, легированных висмутом.
2.
Эксперимент
В качестве исследуемого образца использовалась
квадратная пластина из алюмоборофосфатного стекла, легированного висмутом, с
полированными гранями, размером 10Ч10 мм и толщиной 4 мм. Исходное стекло
состояло из смеси: LiF
- 17%, Al2O3 - 6%, La2O3 - 5%, P2O5 - 59%, B2O3 - 12%, Bi2O3 - 1%.
Спектры поглощения и люминесценции измерялись
при различных температурах. Для нагревания образца использовалась подвижная
система, позволяющая достигать температуры 550°С, и измерять ее. Основой
системы являлся плоский керамический нагревательный элемент от паяльника,
который приводился в непосредственный контакт с образцом. Нагревательный
элемент был подключен к трансформатору для плавного изменения температуры. Для
измерения температуры использовалась термопара, подключенная к цифровому
вольтметру. Термопара хромель-алюмель имела градуировку, проведенную в печи с
электронным заданием температуры [П1]. Образец закреплялся между двумя
нагревательными элементами, а термопара помещалась между образцом и
нагревательным элементом (рис.2.1).
Рис.2.1. Положение образца при нагревании
а. - направление лазерного луча при измерении
люминесценции; б. - направление потока света от лампы при измерении поглощения
Таким образом, обеспечивался плотный контакт
термопары и поверхности нагреваемого стекла.
Для измерений использовался монохроматор МДР-206
Ломо Фотоника с фотоприемником ФЭУ, дифракционной решеткой 1200 штр./мм.
Нагреватели вместе со стеклом и термопарой
зажимались в тиски держателя, который устанавливался на микрометрический
столик. Это необходимо для точной установки образца относительно всей
оптической системы в целом и входной щели спектрометра в частности.
При измерении поглощения источником света
являлась ксеноновая лампа с непрерывным спектром, излучение которой было
пропущено для фокусировки через зеркальный конденсор и направлено
перпендикулярно бульшей грани стеклянной пластины. Прошедшее через образец, а
затем через фильтр для обрезания высших порядков дифракции, излучение поступало
на входную щель монохроматора, и записывался спектр по длинам волн в трех
диапазонах с разными фильтрами: а) 180-350 нм, б) 280-650 нм, в)540-910 нм.
Светофильтр необходим, чтобы отсекать излучение, которое дает вклад во второй,
третий и т.д. порядки дифракции, накладываясь на излучение, идущее от
дифракционной решетки в направлении первого дифракционного порядка. Затем в
этих же диапазонах снимался спектр излучения лампы, прошедшего только через
соответствующий фильтр. Также, для каждого диапазона измерялись значения темнового
сигнала, то есть записывался спектр рассеянного света при закрытой лампе.
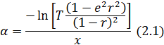
Показатель поглощения вычислялся по формуле, являющейся следствием закона
Бугера-Ламберта, с учетом потерь на отражение [П2]:
где r
- коэффициент отражения на границе раздела сред с разным показателем
преломления, вычисляемый по формуле Френеля [П2], x
- толщина образца, T
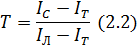
- коэффициент пропускания образца, непосредственно измеряемый в эксперименте:
где IС
- значение сигнала излучения, прошедшего через образец, IЛ
- значения сигнала от лампы, IТ
- значение темнового сигнала.
Оптимальная величина раскрытия входной и
выходной щелей монохроматора была найдена эмпирическим путем и составила 40мкм,
при такой величине наблюдался меньший шум в спектре поглощения. Таким образом
при постепенном нагревании от комнатной температуры до 500°С был получен набор
спектров поглощения.
Схема оптической установки для измерения
поглощения выглядит следующим образом:
Рис.2.2. Схема оптической установки для
измерения поглощения
Л - лампа с зеркальным конденсором, МС -
микрометрический столик, О - образец, Ф- фильтр, С - спектрометр с приемником
ФЭУ, В - цифровой вольтметр, Т - трансформатор, Н - нагреватель, К - компьютер
При этом, вся схема сначала была отъюстирована
измерением пропускания кварца до совпадения полученного экспериментального
спектра со справочным. Полученный спектр представлен на рис.2.3:
Рис.2.3. Спектр пропускания кварца
Для измерения спектров люминесценции
использовалась 2-ая гармоника генерации твердотельного лазера на кристалле
Nd:YAP с диодной накачкой с рабочей длиной волны 532 нм, и мощностью 50 мВт.
Луч лазера направлялся на торцевую грань образца, так, чтобы входить и выходить
через полированные стенки, и чтобы максимальная область наблюдаемой в объеме
люминесценции могла быть спроецирована на входную щель монохроматора с помощью
собирающей линзы. При постепенном нагревании снимались спектры люминесценции.
Схема оптической установки в данном случае такова:
Рис.2.4. Схема оптической установки измерения
люминесценции
В - цифровой вольтметр, О - образец, Л1 - лазер,
Л2 - собирающая линза, С - спектрометр с приемником ФЭУ, Т - трансформатор, Н -
нагреватель, К - компьютер
3.
Результаты и обсуждение
.1
Люминесценция
С помощью описанной выше схемы были получены
спектры люминесценции при температурах 20°С, 100°С, 300°С (рис.3.1). При накачке
на 532 нм наблюдалась полоса люминесценции с центром на 660 нм (1.89 эВ), и
шириной на полувысоте 100 нм (0.27 эВ).

При нагревании от комнатной температуры до 300°С
интенсивность полосы люминесценции снижалась в 2 раза при практически
неизменной ее ширине. Таким образом, наблюдается температурное тушение
люминесценции, то есть с ростом температуры растет вероятность безызлучательных
переходов.
3.2.
Поглощение
При изготовления висмутовых стекол было
обнаружено, что легированные висмутом образцы с характерным поглощением в
видимом диапазоне, и люминесцирующие в ближнем ИК-диапазоне, получаются только
при определенных технологических условиях [3]. Такие стекла условно можно
назвать активированными.
В ходе выполнения данной работы были измерены
спектры поглощения трех образцов: А) стекла, легированного висмутом и имеющего
характерное поглощение («активированного» - основного образца, который
нагревался), Б) стекла без висмута, но того же состава, что и легированный
образец, В) стекла, легированного висмутом, но не имеющего характерного
поглощения в видимом диапазоне, отвечающего за ИК-люминесценцию
(«неактивированого»).
Рис.3.2. Спектры поглощения образцов А, Б, В
На графике видна разница показателей поглощения
безвисмутового и легированного висмутом стекла. Добавка висмута значительно
увеличивает поглощение, учитывая то, что концентрация его на несколько порядков
ниже концентрации атомов матрицы стекла. Можно выделить спектр поглощения
висмутовой составляющей, если вычесть из спектра образца А спектр образца Б,
результат представлен на рис.3.3:
Рис.3.3. Разложение спектра поглощения
висмутовой составляющей
После вычитания, спектр поглощения висмутовой
составляющей был разложен на отдельные пики, используя функцию Гаусса (в
программном пакете Origin).
Были найдены 4 полосы поглощения:
) пик с центром на 2.76 эВ, шириной на полувысоте
0.74 эВ, и максимумом 0.16 см-1,
) пик с центром на 4.39 эВ, шириной на
полувысоте 0.19 эВ, и максимумом 0.62 см-1,
) пик с центром на 4.56 эВ, шириной на
полувысоте 0.42 эВ, и максимумом 1.43 см-1,
) пик с центром на 4.93 эВ, шириной на
полувысоте 1.1 эВ и максимумом на 1.31 см-1.
Вероятнее всего, полоса поглощения на 2.76 эВ
соответствует одной из модификаций висмутовых кластеров в стекле [8], а
остальные 3 полосы соответствуют ионам.
Основной образец (А) нагревался последовательно
до 20°С, 100°С, 300°С, 500°С. Спектры поглощения нагреваемого образца
представлены на рис.3.4:
Рис. 3.4. Спектры поглощения образца при
температурах 20°С, 100°С, 300°С, 500°С
Таким образом, образец нагревался вплоть до
температуры размягчения (которая составляет для фосфатного стекла величину
порядка 600°С). При этом не наблюдалось заметного уменьшения поглощения на 2.76
эВ с ростом температуры.
А ультрафиолетовая граница фундаментального
поглощения стекла имеет экспоненциальную форму и может быть описана
эмпирическим правилом Урбаха:
где α0, Е0,
Т0 - эмпирические параметры, Т - температура в кельвинах.
Экспериментальный спектр поглощения может быть
аппроксимирован этой формулой:
Рис. 3.5. Аппроксимация поглощения формулой
Урбаха
На рис.3.4 наблюдается температурный сдвиг
«хвоста» Урбаха, характерный для стекол.
Выражение (3.2) отражает смещение края
поглощения с ростом температуры в длинноволновую область без изменения
параметра наклона Е0. Второе слагаемое в показателе экспоненты (3.2)
отражает линейную температурную зависимость ультрафиолетового края поглощения,
которая непосредственно наблюдалась в эксперименте:
Рис.3.6. Температурный сдвиг ультрафиолетового
края фундаментального поглощения стекла (положение края поглощения на уровне α
= 5 см-1)
Были определены эмпирические константы сдвига
хвоста Урбаха: α0 = 0,061 см-1,
Е0 = 1 эВ, Т0= 2990 К.
На сегодняшний момент общепризнанно, что наличие
урбаховского «хвоста» непосредственно связано с присутствующим в системе
структурным беспорядком.
Итак, получено несколько основных
экспериментальных результатов:
1) Получены спектры легированного висмутом
активированного и неактивированного стекла, а также безвисмутового стекла того
же состава, и был выделен спектр поглощения висмутовой составляющей. В нем были
выделены 2 группы полос поглощения - соответствующие ионам полосы и отдельная
полоса 2.76 эВ, соответствующая одной из модификаций висмутовых кластеров.
) Исследована температурная зависимость
спектрального коэффициента поглощения. Обнаружен сдвиг «хвоста Урбаха», вид
которого характерен для стекол. Обнаружено, что температура образца не влияет
на интенсивность полосы поглощения на 2.76 эВ. Экспериментально показано, что
при нагреве исследуемого стекла вплоть до температуры его размягчения (около
600°С) не наблюдалось заметного изменения поглощения в этой полосе. Это
означает, что причиной деградации поглощения является не нагрев матрицы стекла,
а другие факторы воздействия лазерного излучения на материал.
) При исследовании поведения
люминесценции в зависимости от температуры обнаружено температурное тушение:
интенсивность люминесценции при нагревании от комнатной температуры до 300°С
снизилась в 2 раза.
4.
Организационно-экономический раздел
.1
Введение
Дипломная работа посвящена исследованию
спектральных характеристик алюмоборофосфатного стекла, легированного висмутом.
В последнее время такие стекла рассматриваются в качестве основы для создания
эффективных перестраиваемых лазеров и усилителей на основе активных световодов.
На данный момент соответствующие лазеры уже построены. Одна из важных областей
их применения - волоконно-оптические линии связи, так как существует
необходимость расширения спектрального диапазона, в частности, освоения второго
телекоммуникационного окна прозрачности (1.20 - 1.35 мкм). Это происходит в
связи с тем, что объемы передаваемой информации растут, и существующих
возможностей для первого телекоммуникационного окна прозрачности уже не
хватает.
Фундаментальная цель работы - разработка новых
активных оптических сред для производства современных оптоэлектронных приборов.
Частная цель работы - исследование влияния температуры на структуру спектров
поглощения и люминесценции алюмоборофосфатного стекла, содержащего нанокластеры
висмута.
Перспективы применения этих оптических сред
довольно широки, основная область - телекоммуникации.
Основными целями организационно-экономической
части работы являются:
а) обоснование экономической целесообразности
проводимого исследования, для чего необходимо оценить его стоимость,
б) составление оптимального плана работ,
учитывающего особенности каждого этапа.
4.2
Основные элементы бизнес-плана
.2.1
Резюме
Цель данной научно-исследовательской работы -
изучение влияния температуры на структуру спектров поглощения и люминесценции
исследуемого материала. Проводится измерение спектров при непосредственном
нагревании образца. Договорная цена научно-исследовательской работы составила 81457.05р.
4.2.2
Характеристика продукта
Полученный в итоге набор спектров поглощения и
люминесценции является конечным продуктом работы. На его основе можно делать
выводы о физической природе спектральных свойств материала, о температурной
зависимости характеристик, что позволит оценивать возможности изготовления и
работы приборов. При сравнении спектров между собой можно наблюдать их
различия, вследствие чего может быть выделена висмутовая составляющая
поглощения. Также обнаружено, что интенсивность полосы поглощения,
ответственной за люминесценцию, не зависит от температуры. Таким образом, этот
набор спектров имеет высокую информативность, научную и практическую ценность.
4.2.3
Характеристика предприятия
Кафедра нанотехнологий находится на базовом
предприятии Институт общей физики РАН имени А.М. Прохорова. Кафедра была
создана в 2008 году, заведующий кафедрой Конов Виталий Иванович, чл.-корр. РАН,
д.ф.-м.н., профессор.
Институт общей физики им. А.М. Прохорова
Российской академии наук был организован в 1982 г. на базе Отделения
Физического института им. П.Н. Лебедева АН СССР.
Институт обладает научно-экспериментальной
базой, которая дает возможность проводить фундаментальные и прикладные
исследования в различных областях физики. Результаты этих исследований во
многих случаях привели к разработке и внедрению в практику целого ряда
оборудования и приборов для промышленности, медицины и экологии, не имеющих
аналогов в отечественном и зарубежном приборостроении.
В настоящее время институт состоит из 14 научных
отделов, 2 научных центров: Центра естественнонаучных исследований (ЦЕНИ),
Научного центра лазерных материалов и технологий (НЦЛМиТ) и 3 филиалов:
Научного центра волновых исследований (НЦВИ ИОФ РАН), Центра физического
приборостроения(ЦФП) и Тарусского филиала ИОФ РАН.
На 1 сентября 2009 г. в Институте работают 771
человек.
4.2.4
Оценка рынков сбыта и конкуренции
Поскольку работа является
научно-исследовательской, ее результаты могут применяться в научной среде для
сравнения свойств, в технической среде для оценки возможностей применения
материала.
Помимо исследований, проводящихся в ИОФ РАН,
данной тематикой занимаются также многие научные группы в мире: в Японии, Китае,
США. Исследования, проводимые в ИОФ РАН имеют то преимущество, что сами образцы
изготавливаются в Научном центре волоконной оптики - недавно отделившемся
подразделении ИОФ РАН. Научный коллектив имеет большой опыт и достаточно
большое количество публикаций в международных научных журналах.
4.2.5
Планирование работ
Данная научно-исследовательская работа
производится на кафедре Нанотехнологий МИРЭА на базе ИОФ РАН им. Прохорова. В
состав рабочей группы входят:
научный руководитель - организует и
координирует выполнение работ (оклад 16000р.)
дипломник - изучает литературу по
данной тематике, занимается разработкой и построением схемы эксперимента,
снимает спектры (оклад 4000р.)
Этапы научно-исследовательской работы
представлены в таблице 4.1:
Таблица 4.1
|
№
этапа
|
Название
этапа
|
Исполнители
|
Трудоёмкость
(раб. дни)
|
Продолжительность
этапа
|
Выбор
темы, составление плана научной работы
|
Научн.
рук.
|
2
|
2
|
|
2
|
Подбор
и обзор научных статей
|
Научн.
рук.
|
2
|
17
|
|
|
Дипломник
|
17
|
|
|
3
|
Разработка
схемы эксперимента
|
Дипломник
|
6
|
6
|
|
4
|
Установка
схемы эксперимента
|
Дипломник
|
6
|
6
|
|
5
|
Измерение
спектров и анализ их особенностей
|
Дипломник
|
21
|
21
|
|
6
|
Составление
и написание отчета о выполнении дипломной работы
|
Дипломник
|
20
|
20
|
|
7
|
Проверка
и прием отчета
|
Научн.
рук.
|
3
|
3
|
|
ИТОГО
|
2
чел
|
7
|
75
|
|
|
70
|
|
График проведения научно-исследовательской
работы представлен в таблице 4.2:
Таблица 4.2
|
Этапы
|
Раб.
дни
|
|
1
|
2
|
|
|
2
|
|
2
|
|
|
|
|
17
|
|
|
3
|
|
6
|
|
|
4
|
|
6
|
|
|
5
|
|
21
|
|
|
6
|
|
20
|
|
|
7
|
|
3
|
|
|
|
|
|
|
|
|
|
|
|
|
4.3
Расчет сметной стоимости работы
Расчет производится по статьям калькуляции:
4.3.1
Сырье и материалы
Для выполнения работы необходимо закупить
расходные материалы и канцелярские принадлежности:
Таблица 4.3
|
№
п\п
|
Наименование
|
Кол-во
|
Цена
за 1шт.
|
Всего
|
Картридж
132 для принтера HP vivera 1513
|
2
шт.
|
1090р.
|
2180р.
|
|
2
|
Тетрадь
А5
|
1 шт.
|
100р.
|
100р.
|
|
3
|
Бумага
А4
|
1
уп.
|
400р.
|
400р.
|
|
4
|
Ручки
шариковые
|
5
|
30р.
|
150р.
|
Итого: 2830р.
Транспортные расходы учитываются в процентном
соотношении 15% от стоимости сырья и материалов*: 2830р.*0.15=424.5р. Итого на
сырье и материалы требуется 2830р.+424.5р.=3254.5р.
4.3.2
Заработная плата
Основная заработная плата научного руководителя:
(16000р./22 раб.дня)*7=5091р.
Основная заработная плата дипломника: (4000р.
/22 раб.дня)*70=12727.3р.
Дополнительная заработная плата рассчитывается в
размере 20% от основной заработной платы*:
.2*5091р.=1018.2р.
.2*12727.3=2545.5р.
Итого: 21382р.
4.3.3
Амортизация
1) Компьютер Flextron
Optima 8755р.
рассчитан на 10 лет, используется 37 дней. Рассчитываем амортизацию:
(8755р./3650дн)*37дн = 88.8р.
) Монитор NEC
LCD72VM
4000р.
рассчитан на 10 лет, используется 37 дней. Рассчитываем амортизацию:
(4000р./3650дн)*37дн = 40.6р.
) Компьютер Hewlett Packard Compaq 500B MT 13760р.
рассчитан на 10 лет, используется 21 день. Рассчитываем амортизацию:
(13760р./3650дн)*21дн = 79.2р.
) Монитор LG
LG TFT
W1934S
BN 5205р.
рассчитан на 10 лет, используется 21 день. Рассчитываем амортизацию:
(5205р./3650дн)*21дн = 30р.
) Монохроматор Ломо Фотоника МДР 206 169
060.00 р. рассчитан на 15 лет, используется 27 дней. Рассчитываем амортизацию:
(169060р./5475дн)*27дн = 833.7р.
) Осветитель с ксеноновой лампой и источником
питания ОЛГ 20 010.00 р. рассчитан на 10 лет, используется 27 дней.
Рассчитываем амортизацию: (20010р./3650дн)*27дн = 148р.
) Микрометрический столик Micro
controle
TL78 65000.00р.
рассчитан на 20 лет, используется 27 дней. Рассчитываем амортизацию:
(65000р./7300дн)*27дн = 240.4р.
) Вольтметр цифровой 22000.00р. рассчитан
на 10 лет, используется 27 дней. Рассчитываем амортизацию:
(22000р./3650дн)*27дн = 162.8р.
) Термопара 826.00 р. рассчитана на 5
лет, используется 27 дней. Рассчитываем амортизацию: (826р./1825дн)*27дн =
12.2р.
) Нагреватель 580.00р. рассчитан на 3
года, используется 27 дней. Рассчитываем амортизацию: (580р./1095дн)*27дн =
14.3р.
Итого: 1650р.
4.3.4
Накладные расходы
Накладные расходы представляют собой расходы на
организацию, управление и обслуживание производства. Сумма накладных расходов
определяется процентом от суммы основной заработной платы персонала предприятия
и составляет 250%*. Таким образом, сумма накладных расходов составила:
2.5*[осн. з/п] = 2.5*17818.3 = 44545.75р.
4.3.5
Полная себестоимость
Таблица 4.4
|
Статья
калькуляции
|
Сумма
|
|
Сырье
и материалы
|
3254.5р.
|
|
Заработная
плата
|
21382р.
|
|
Амортизация
|
1650р
|
|
Накладные
расходы
|
44545.75р.
|
|
Итого:
|
70832.25р.
|
Прибыль рассчитывается в размере 15% от
себестоимости*:
.25р.*0.15 = 10624.8р.
Данная разработка не облагается НДС, так как
производится по госзаказу.
Отпускная цена
представляет собой сумму себестоимости и прибыли:
.25р.+10624.8р. = 81457.05р.
4.4
Оценка экономической целесообразности работы
Оценка будет производиться, используя методику
оценки инновационного проекта. Для этого составляем таблицу характеристик:
Таблица 4.5
|
Характеристика
|
Вес
|
Балл
(по 10-бальной шкале)
|
Итог
|
|
Новизна
исследований
|
0.2
|
1.6
|
|
Практическая
применимость данных
|
0.3
|
8
|
2.4
|
|
Научная
важность данного вопроса в рамках рассматриваемой тематики
|
0.2
|
9
|
1.8
|
|
Характеристика
|
Вес
|
Балл
|
Итог
|
|
Цена
научной работы (невысокая стоимость)
|
0.3
|
9
|
2.7
|
|
Итого:
|
1
|
|
8.5
|
|
|
|
|
|
Разработка получила 8.5 балла по 10-ти бальной
шкале, что равно 85%, следовательно, разработку можно признать экономически
целесообразной.
4.5
Заключение
Проведенная научно-исследовательская работа
отвечает поставленным целям, так как исследование свойств стекла, легированного
висмутом, открывает широкие перспективы его применения для производства
оптоэлектронных приборов и для телекоммуникации. Исследование также помогает
пролить свет на физическую природу люминесцирующих центров, что само по себе
является важной научной задачей. В ходе работы был получен важный результат:
обнаружено, что интенсивность полосы поглощения 2.76 эВ не зависит от
температуры. Также экспериментально обнаружено температурное гашение
люминесценции. Полученные результаты углубляют знания по данной тематике и
могут быть полезны в дальнейших исследованиях.
В данной работе рассмотрены основные элементы
бизнес-плана, показано, что разработка на данном предприятии имеет преимущества
с научной точки зрения и с точки зрения конкурентоспособности, распланированы и
оптимизированы работы по данному проекту, рассчитана договорная цена, которая
составила 81457.05р., и доказано, что проект экономически целесообразен.
стекло висмут поглощение
люминесценция
Заключение
Большой интерес для оптоэлектроники представляет
структурирование легированного висмутом стекла с помощью фемтосекундных
лазеров, в его процессе имеют место некоторые проблемы, которые необходимо
изучить для успешного развития этого направления. В связи с этим, целью данной
работы являлось изучение влияния температуры на структуру спектров поглощения и
люминесценции в стеклах, легированных висмутом.
Итак, было получено несколько основных
результатов:
1) Разработана и реализована установка для
измерения поглощения с высокой чувствительностью. При этом была проведена
процедура ее градуировки, создана и обоснована процедура учета френелевского
отражения. Все это позволило измерять спектральный коэффициент поглощения с
точностью менее 3% в диапазоне от 200 до 900 нм. Также разработана и получена
установка для измерения люминесценции в видимом диапазоне.
) Получены спектры поглощения
легированного висмутом активированного и неактивированного стекла, а также
безвисмутового стекла того же состава, и выделен спектр поглощения висмутовой
составляющей. В нем выделены 2 группы полос поглощения - полосы соответствующие
возбуждению ионов и отдельная полоса 2.76 эВ, соответствующая одной из
модификаций висмутовых кластеров.
) Исследована температурная зависимость
спектрального коэффициента поглощения. Обнаружен сдвиг «хвоста Урбаха», вид
которого характерен для стекол. Обнаружено, что температура образца не влияет
на интенсивность полосы поглощения на 2.76 эВ. Экспериментально показано, что
при нагревании исследуемого стекла вплоть до температуры его размягчения (около
600°С) не наблюдалось заметного изменения поглощения в этой полосе. Это
означает, что скорее всего причиной деградации поглощения является не нагрев
матрицы стекла, а другие факторы воздействия лазерного излучения на материал.
) При исследовании поведения
люминесценции в зависимости от температуры обнаружено температурное тушение:
интенсивность люминесценции при нагревании от комнатной температуры до 300°С
снижалась в 2 раза.
Так как первоначальное предположение о
температурной причине деградации поглощения не подтвердилось, данный вопрос
требует дальнейшего изучения, так же как и физическая природа люминесцирующих
центров.
Список
литературы
1. Y. Fujimoto and M.
Nakatsuka, Infrared Luminescence from Bismuth-Doped Silica Glass // Jpn. J.
Appl. Phys. - 2001 - 40, L279-L281
2. Y.-S. Seo, Y. Fujimoto,
M. Nakatsuka, Amplification in a bismuth-doped silica glass at second
telecommunication windows // Conference on Lasers and Electro-optics, OSA
Technical digest - 2005 - paper CThR6
. B. Denker et al. Luminescent
properties of Bi-doped boro-alumino-phosphate glasses // Appl. Phys. - 2007 - B
87, 135-137
4. V. V. Dvoyrin, V. M.
Mashinsky, L. I. Bulatov, I. A. Bufetov, A. V. Shubin, M. A. Melkumov, E. F.
Kustov, and E. M. Dianov. Bismuth-doped-glass optical fibers-a new active
medium for lasers and amplifiers // Opt. Lett. - 2006 - Vol.
31, No. 20, 2966-2968
5. E. F. Kustov, L. I.
Bulatov, V. V. Dvoyrin, and V. M. Mashinsky. Molecular orbital model of optical
centers in bismuth-doped glasses // Opt. Lett. - 2009 - Vol.
34, No. 10, 1549-1551
. Y. Fujimoto, M.
Nakatsuka, Optical amplification in bismuth- doped silica glass // Appl. Phys.
Lett. - 2003 - 82, 3325-3326
7. Е. М. Дианов и др.
Непрерывный висмутовый волоконный лазер // Квантовая электроника - 2005 - 35,
№12, 1083-1084
8. V. O. Sokolov, V. G.
Plotnichenko, and E. M. Dianov. Origin of broadband near-infrared luminescence
in bismuth-doped glasses // Opt. Lett. - 2008 - Vol. 33, No.
13,1488-1490
9. A. Al Choueiry, A.M.
Jurdyc, B. Jacquier, L. Bigot, V.G. Truong, M. Douay, I. Razdobreev.
Spectroscopic study of bismuth-doped silica glass // The European conference on
Lasers and Electro-optics - 2007 - paper CE_23
10. Denker B., Dianov E.,
Galagan B., Osiko V., Sverchkov S. Spectral-luminescent properties of Bi- and
Bi -Yb- doped phosphate-based glasses // Advanced Solid-State Photonics, OSA
technical digest - 2008 - paper WE10
11. Xian-geng Meng,
Jian-rong Qiu, Ming-ying Peng et al. Near infrared broadband emission of
bismuth-doped aluminophosphate glass // Opt. Express - 2005 - Vol. 13, No.
5, 1628-1634
. M. Peng, J. Qiu, D.
Chen, X. Meng, L. Yang, X. Jiang and C. Zhu. Bismuth- and aluminum co-doped
germanium oxide glasses for super-broadband optical amplification // Opt. Lett.
- 2004 - 29, 1998-2000
13. M. Peng, J. Qiu et al.
Superbroadband 1310 nm emission from bismuth and tantalum codoped germanium
oxide glasses // Opt. Lett. - 2005 - Vol. 30, No. 18, 2433-2435
. X. Meng
et al. Infrared broadband emission of bismuth-doped barium-aluminum-borate
glasses // Opt. Express - 2005 - Vol. 13, No. 5,
1635-1642
15. S. Yoo, M. P. Kalita, J.
Sahu, J. Nilsson, and D. Payne. Bismuth-doped Fiber Laser at 1.16 m
// Conference on Lasers and Electro-Optics, OSA Technical digest - 2008 - paper
CFL4
16. N. Psaila, R.R.
Thomson, H.T. Bookey, A.K. Kar, Y. Fujimoto, M. Nakatsuka, N. Chiodo, R.
Osellame, G. Cerullo. Ultra Broadband Gain from a Bismuth-doped Glass Waveguide
Fabricated Using Ultrafast Laser Inscription // Conference on Lasers and
Electro-Optics, OSA Technical digest - 2008 - paper JThA47
17. I. Razdobreev, V. Yu.
Ivanov, L. Bigot, M. Godlewski, and E. F. Kustov. Optically detected magnetic
resonance in bismuth-doped silica glass // Opt. Lett. - 2009 - Vol.
34, No. 17, 2691-2693
. N. D. Psaila, R. R.
Thomson, H. T. Bookey, A. K. Kar, N. Chiodo, R. Osellame, G. Cerullo, G. Brown,
A. Jha, and S. Shen. Femtosecondlaser inscription of optical waveguides in
Bismuth ion doped glass // Opt. Express - 2006 - 14, 10452-10459
. A. B. Rulkov, A. A.
Ferin, S. V. Popov, J. R. Taylor, I. Razdobreev, L. Bigot, and G. Bouwmans.
Narrow-line, 1178 nm CW bismuth-doped fiber laser with 6.4 W output for direct
frequency doubling // Opt. Express - 2007 - 15,
5473-5476
. M. Yu. Sharonov, A. B.
Bykov, V. Petricevic, and R. R. Alfano. Spectroscopic study of optical centers,
formed in Bi-, Pb-, Sb-, Sn-, Te- and In-doped germinate glasses // Opt. Lett.
- 2008 - 33, 2131-2133
. Mingying Peng,
Quanzhong Zhao, Jianrong Qiu, Lothar Wondraczek. Generation of Emission Centers
for Broadband NIR Luminescence in Bismuthate Glass by Femtosecond Laser
Irradiation // Journal of the American Ceramic Society - 2009 - vol. 92, no. 2,
542-544
22. Экономика предприятия:
Учебник для вузов. 2-е изд., перераб. и доп., под ред. А. Карлика, М.
Шухгальтер, - С.-Петербург: Питер, 2010, 464с
. Организация и планирование
машиностроительного производства (производственный менеджмент): учебник, под.
ред. Скворцова, Некрасова - М.: Высшая школа, 2003 - 470с
24. Цены и ценообразование:
Учебник для вузов, под редакцией В. Е. Есипова, - С.-Петербург: Питер, 2007 г.,
560 с
. Управление затратами на
предприятии: Учебник для вузов, Гомонко Э.А., Тарасова Т.Ф., - М.: КноРус,
2009г, 313с
Приложение
1
Градуировка термопары
Приложение
2
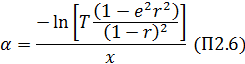
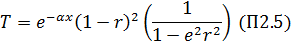
Вывод формулы для коэффициента
поглощения
При прохождении света через слой стекла часть
его проходит, а часть теряется на поглощение и многократное отражение от
стенок:
Здесь t
- коэффициент прохождения света через границу сред с разным показателем
преломления, r
-
коэффициент отражения от границы раздела сред с разным показателем преломления,
причем t
+ r
= 1.
r
вычисляется по формуле Френеля:
Показатель преломления воздуха n2
=
1, показатель преломления стекла n1
= 1.5, и тогда r
= 0.04.
Полное пропускание, учитывая многократное
отражение и поглощение можно записать в виде суммы:
которая является геометрической прогрессией:
со знаменателем прогрессии q
= e2r2,
причем q<1, тогда
сумма прогрессии равна:
b1
- первый член прогрессии, тогда, учитывая что t
=1
- r, полное
пропускание запишется в виде:
откуда можно выразить показатель поглощения: