Организация и планирование информационных вычислительных сетей предприятия
Министерство
образования и науки РФ
федеральное
государственное бюджетное образовательное учреждение
высшего
профессионального образования
"Санкт-Петербургский
государственный технологический институт"
Факультет
Информационных технологий и управления
Кафедра
Экономика и организация производства
Курсовой
проект
Тема: Организация
и планирование ИВС предприятия
Студент М.В.Кузенкова
Руководитель А.И. Борзов
Санкт-Петербург
2014
Оглавление
Исходные
данные
Введение
1. Определение
конфигурации, вычислительного ресурса (ВР) и базового сервера ИВС
. Уточнение
типов и количества технических средств ИВС
2.1 Расчет
модуля пакетной обработки
.2 Расчет
модуля коллективного пользования (МКП)
.2.1 Задачи
сбора - распределения информации
.2.2 Задача в
режиме "запрос - ответ"
2.3 Определения
количества PC в локальной сети ИВС
3.
Планирование работы ИВС предприятия
.1 Расчет
производственной мощности
.2 Расчет
производственной программы ИВС
.2.1 План
реализации услуг сервера
.2.2 План
подготовки и обработки данных
.2.3 План
разработки программного обеспечения
.2.4 План по
труду и заработной плате
. Расчет
производственных площадей ИВС предприятия
. Расчет
затрат на создание и эксплуатацию ИВС
.
Экономическая эффективность проекта ИВС
.1 Выбор и
построение ЛВС
.2 Расчет
капитальных затрат на ИВС
.3 Расчет
годовых эксплуатационных затрат ИВС
Выводы по
проекту
Список
использованной литературы
Исходные данные
1. Проценты изменения значения исходных данных.
Таблица 1 - Проценты изменения значения исходных данных
|
Изменение объема информации
на 1 запуск (+), %
|
|
Вводимой с МД
|
Вводимой с АП
|
Выводимой с АП
|
|
+30
|
+35
|
+30
|
2. Исходные данные для расчета категории предприятия и
быстродействия сервера в режиме МКП.
Таблица 2 - Исходные данные для расчета категории предприятия
|
Наименование основных
параметров
|
Условное обозначение
|
Значение
|
|
1. Численность ППП, тыс.
чел.
|
m1
|
15
|
|
2. Количество наименований
выпускаемых изделий, тыс.
|
m2
|
0,005
|
|
3. Количество наименований
деталей собственного производства, тыс.
|
m3
|
20
|
|
4. Количество наименований
основных материалов в производстве, тыс.
|
m4
|
100
|
|
5. Удельный вес типов
производств, %
|
|
|
|
- единичное
|
ρe
|
0
|
|
- мелкосерийное
|
ρмс
|
25
|
|
- серийное
|
ρс
|
25
|
|
- крупносерийное
|
ρкс
|
15
|
|
- массовое
|
ρм
|
35
|
|
6. Количество абонентов,
подключенных к РТО
|
n0
|
800
|
|
7. Среднее число абонентов
одного узла
|
k
|
7
|
|
8. Суточный объем вводимой
информации в режиме МКП (с-р), Кбайт
|
V
|
3000
|
|
9. Требуемое быстродействие
для МКП (з-о), тыс.оп./с.
|
|
34000
|
в)
Численность проектировщиков и программистов для разработки ПО 5 человека. Срок
разработки ПО 1 год.
г) Среднее
количество тактов сервера на одну операцию q=110 тактов.
Введение
Основным организационным направлением использования прогрессивных
информационных технологий является создание на предприятии ИВС на базе
локальных вычислительных сетей (ЛВС).
Реализация возможностей, заложенных в аппаратурных и программных
средствах современной вычислительной техники, во многом зависит от организации
и планирования обработки информации в ИВС.
В наше время практически не осталось таких отраслей, которые бы
обходились без применения современной вычислительной техники. Компьютеры,
применяемые при обработке больших ресурсов данных, требуют правильного подбора
топологии сети, устройств маршрутизации и хорошо квалифицированного персонала.
Невыполнение этих условий повлияет на прибыльность и окупаемость проекта. Кроме
того требования к оборудованию производства и к системам управления
производством постоянно возрастают, поэтому приходится искать и использовать
новые средства управления на базе новейших достижений науки и техники.
Весомыми факторами, определяющими преимущество сетевого использования ПК
на предприятиях, являются:
· устранение дублирования информации и проблем, связанных с
актуализацией данных для отдельных пользователей на предприятии;
· более экономичное коллективное использование в сети
относительно дорогих ресурсов, таких как программное обеспечение, принтеры,
дисковые массивы памяти большого объема и т.п.;
· общесистемное повышение производительности за счет введения в
ЛВС специализированных компонентов (файл-серверов, серверов баз данных и т.п.);
· наличие дополнительных сетевых услуг (электронная почта,
Интернет и т.п.);
· большая надежность обработки данных;
· потенциальная возможность расширения самой сети.
Но внедрение компьютерной техники в систему управления может привести к
негативным результатам, если, например, работники не готовы к изменению
технологии своего труда. При этом необходимо рассчитать параметры ИВС,
определить задачи, решаемые с помощью ИВС, спланировать работу ИВС.
Важно отметить, что реализация возможностей, заложенных в аппаратных и
программных средствах современных ЭВМ, в значительной степени зависит от
организации производственного процесса в ИВС.
Использование технико-экономических показателей для оценки эффективности
выполненного проекта, позволяет в обобщенном виде охарактеризовать в том числе:
· капитальные затраты на разработку ИВС и ее эксплуатацию на
предприятии;
· эффективность и окупаемость затрат на ИВС;
· себестоимость обработки информации;
· тарифы на информационные услуги ИВС и их рыночную конъюнктуру
для потребителей;
· качество используемой вычислительной техники и ее загрузку и
др.
1.
Определение конфигурации, вычислительного ресурса (ВР) и базового сервера ИВС
Определение категории предприятия производится путем подсчета
соответствующей суммы баллов, которая рассчитывается по формуле:
, (1)
где
(2)
Методы расчета переменных, входящих в формулы (1) и (2), приведены в
таблице 1.
Таблица 1 - Расчет показателей для определения категории предприятия
|
Наименование основных
параметров
|
Показатель
|
Значение показателя
|
|
1. Численность ППП, тыс.
чел.
|
|
α
= 15
|
|
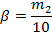
2. Количество наименований
выпускаемых изделий, тыс.
|
|
β
= 0.0005
|
|
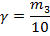
3. Количество наименований
деталей собственного производства, тыс.
|
|
γ
= 2
|
|
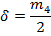
4. Количество наименований
основных материалов в производстве, тыс.
|
|
δ
= 50
|
|
5. Удельный вес типов
производств, %
|
|
|
|
- единичное
|
|
Ме = 0
|
|
- мелкосерийное
|
|
Ммс = 0.75
|
|
- серийное
|
|
Мс = 0.5
|
|
- крупносерийное
|
|
Мкс = 0.225
|
|
- массовое
|
|
Мм = 0.35
|
В итоге получим М = 0 + 0.75 + 0.5 + 0.225 + 0.35 = 1.825
B =
(15 + 0.0005 + 2 + 50)∙1.825 = 122,28 баллов
Таблица 2 - Категория предприятия
|
Категория предприятия
|
Сумма баллов - В
|
|
1
|
Более 200
|
|
2
|
От 70 до 200
|
|
3
|
Менее 70
|
Руководствуясь таблицей 2 мы определили, что категория предприятия - 2.
Определим вычислительный ресурс узла. Под узлом ИВС понимается комплекс
технических средств, расположенный на одном из уровней управления предприятием
и предназначенный для решения связанного набора задач по его управлению или
конструкторско-технологическому проектированию.
Вычислительный ресурс узла R является безразмерным показателем,
определяемым в условных единицах (усл. ед.) на основе эмпирической зависимости
вида:
усл.ед., (3)
где V - суммарное значение операционной
производительности узла, тыс.оп./с;
QОП - общий объем основной памяти, Мбайт;
QБД - объем базы данных узла, Мбайт;
К - коэффициент для приведения в соответствие единиц измерения;
m,n - эмпирические величины степенных
показателей QОП и QБД , отражающих их взаимосвязь со
значениями показателя R узла.
Значение R узла определим по данным таблицы 3, в которой приведены
типовые варианты конфигурации архитектуры ИВС и отражена эмпирическая
взаимосвязь между общим значением R системы и категорией предприятия, в состав
которой входит рассматриваемая ИВС.
Таблица 3 - Конфигуратор типовых архитектур ИВС
|
Тип архитектуры
|
Количество узлов по уровням
ИВС
|
Вычислительный ресурс ИВС
|
Распределение ресурса по
уровням ИВС
|
Категория предприятия
|
|
1
|
2
|
3
|
4
|
|
1
|
2
|
3
|
4
|
|
|
ТА1
|
600
|
100
|
10
|
1
|
24000
|
1000
|
3000
|
6000
|
14000
|
1
|
|
ТА2
|
450
|
75
|
8
|
1
|
16000
|
1000
|
2000
|
3000
|
1000
|
1
|
|
ТА3
|
300
|
50
|
6
|
1
|
1000
|
600
|
1000
|
2000
|
6400
|
1
|
|
ТА4
|
200
|
25
|
5
|
1
|
7200
|
200
|
400
|
1400
|
5000
|
1,2
|
|
ТА5
|
200
|
30
|
1
|
-
|
7200
|
1000
|
1200
|
5000
|
-
|
2
|
|
ТА6
|
100
|
10
|
2
|
1
|
5200
|
200
|
200
|
1000
|
3800
|
2
|
|
ТА7
|
50
|
6
|
1
|
-
|
4000
|
250
|
450
|
3300
|
-
|
3
|
Совокупность узлов, обеспечивающих решение задач управления одного
уровня, составляет ярус распределенного технического обеспечения ИВС. Число
ярусов (уровней) -
в ИВС может быть определено по формуле:
, (4)
где
- количество абонентов (источников данных), подключенных к
ИВС;
k -
среднее количество абонентов одного узла.
В нашем случае
Из структурных соображений ориентировочное число узлов обработки
рассчитывается по формуле:
(5)
При выборе типовой архитектуры приоритет параметров устанавливается в
следующей последовательности: число ярусов, общая сумма узлов на всех ярусах,
категория предприятия. Для наших значений подходит архитектура ТА4.
Исходя из типа требуемой по проекту конфигурации архитектуры ИВС мы по
данным таблицы 4 и значению R (R=
5000) верхнего уровня (яруса) определяем требуемое быстродействие базового
сервера.
В таблице 4, исходя из приводимого в задании значения показателя q (hz.oп.), по формуле 6
определяется
- требуемое или
- принятое быстродействие сервера в
единицах тактовой частоты (mhz/c).
(в mhz./c.) или
(в млн.оп/с.), (6)
где f -требуемое (принятое) быстродействие
сервера для данного значения R
(таблица 4) в млн.оп./с.;
q - среднее число тактов сервера, требуемое для выполнения одной операции -
hz./оп.(по заданию q = 110 hz./oп).
Таблица 4 - Выбор базового сервера для верхнего уровня типовой
конфигурации ИВС
|
Тип конфигурации
архитектуры ИВС
|
R сервера верхнего уровня ИВС (усл. ед.)
|
Быстродействие сервера по
проекту
|
Примечание
|
|
|
Требуемое
|
Принятое
|
|
|
|
fтр (млн.
оп./с.)
|
f'тр (mhz/c)
|
fпр (млн.
оп./с.)
|
f'пр (mhz/c)
|
|
|
ТА 7
|
до 3500
|
80
|
|
|
|
|
|
ТА 6
|
3501-4000
|
100
|
|
|
|
|
|
ТА 4,5
|
4001-5000
|
150
|
16500
|
414
|
45600
|
Intel® Xeon®
Processor 3.80 GHz, 800 MHz FSB
|
|
ТА 3,4,5
|
5001-6500
|
170
|
|
|
|
|
|
ТА 2,3
|
6501-10000
|
200
|
|
|
|
|
|
ТА 1,2
|
10001-14000
|
250
|
|
|
|
|
|
ТА 1
|
Свыше 14000
|
300
|
|
|
|
|
Таким образом fтр=150 (млн. оп./с.). Тогда
В этом разделе я определил:
· категорию предприятия - вторая;
· тип конфигурации архитектуры ИВС - ТА 4;
· вычислительный ресурс - 5000;
· требуемое быстродействие сервера по проекту - 16500 МГц;
· принятое быстродействие сервера по проекту - 45600 МГц.
2.
Уточнение типов и количества технических средств ИВС
В этом разделе уточняется марка выбранного базового сервера ИВС,
определяется необходимое количество рабочих станций (РС) в сети. Результаты
расчетов в дальнейшем используются при определении производственной программы и
мощности ИВС.
Определим среднесуточный объем обрабатываемой в ИВС информации по всем
задачам АСУП по формуле:
где i - номер задачи АСУП;
j - вид носителя информации (MD или РС) по задаче i;
- объем вводимой (выводимой) информации за один запуск задачи
ij по базовому варианту проекта, Кбайт;
Ni - число запусков i-ой задачи в сутки;
+
- изменение значения объема вводимой
(выводимой) информации по номеру варианта проекта;
Результаты расчетов оформлены в виде таблицы 5.
Таблица 5 - Расчет среднесуточного объема вводимой/выводимой информации
по проекту
|
Вид подсистемы и название
задачи АСУП
|
Группа сложности задачи
|
Число запусков задачи за
сутки, N
|
среднесуточный объем
вводимой информации на 1 запуск, Кбайт
|
среднесуточный объем
выводимой на РС информации на 1 запуск, Кбайт
|
|
|
|
МД
|
РС
|
|
|
1
|
ТЭП, формирование годового
плана предприятия
|
1
|
1/60
|
4.875
|
0.788
|
1.083
|
|
2
|
ТЭП, определение
численности рабочих на годовую программу предприятия
|
2
|
1/60
|
2.383
|
0.45
|
-
|
|
3
|
ОУП, формирование месячных
планов работы цехов основного производства
|
1/30
|
10.617
|
1.575
|
0.867
|
|
4
|
ОУП, выпуск сменных заданий
по участкам
|
1
|
3
|
916.5
|
141.75
|
156
|
|
5
|
БУ, расчет заработной платы
работников
|
2
|
1/30
|
2.6
|
3.15
|
-
|
|
6
|
БУ, учет затрат на
производство
|
2
|
1/30
|
5.2
|
0.9
|
1.3
|
|
7
|
МТС, Определение
потребности в материалах на год. Программу
|
2
|
1/60
|
2.167
|
0.9
|
-
|
|
8
|
МТС, выпуск сводных
ведомостей материалов на месячный план работы цехов основного производства
|
2
|
1/30
|
4.55
|
1.35
|
-
|
|
9
|
ТПП, выпуск водных
ведомостей комплектации
|
2
|
3
|
409.5
|
121.5
|
156
|
|
10
|
ТПП, выпуск ведомостей норм
расхода материалов
|
2
|
3
|
429
|
81
|
117
|
|
11
|
Кадры, определение дефицита
рабочих в разрезе основных специальностей
|
2
|
1/30
|
2.167
|
4.05
|
1.3
|
|
12
|
Кадры, наличие рабочих
основных специальностей
|
2
|
1/15
|
8.667
|
2.7
|
0.867
|
|
13
|
НСХ, формирование и ведение
номенклатуро-ценника на материалы
|
2
|
1
|
149.5
|
27
|
26
|
|
14
|
НСХ, формирование и ведение
массива оборудования
|
2
|
1
|
156
|
27
|
52
|
|
15
|
РЭС, учет расхода
электроэнергии на предприятии
|
3
|
1/30
|
10.183
|
1.575
|
2.167
|
|
16
|
РЭС, потребность в
инструменте на годовую программу предпприятия
|
2
|
1/60
|
2.925
|
-
|
0.65
|
|
Итого:
|
|
|
2116.83
|
415.69
|
515.23
|
|
По группе 1
|
-
|
-
|
931.99
|
144.113
|
157.95
|
|
По группе 2
|
-
|
-
|
1174.658
|
270
|
355.117
|
|
По группе 3
|
-
|
-
|
10.183
|
1.575
|
2.167
|
На основе сводных данных таблицы 5 выполняется расчет требуемого
быстродействия и коэффициентов загрузки сервера по двум основным видам
обработки информации - "пакетному" режиму (для задач АСУП) и
"коллективного пользования" (для задач типа "сбор и
распределение информации" и "запрос - ответ"). Общий коэффициент
загрузки сервера является суммой коэффициентов загрузки для соответствующих
видов обработки информации.
Техническое и программное обеспечение ИВС рассматривается в виде
совокупности трех основных функциональных модулей:
· модуль обработки информации в режиме пакетного
мультипрограммирования (МПО);
· модуль обработки информации в режиме коллективного
пользования (МКП);
· модуль подготовки информации (МПИ, в т.ч. баз данных,
документации и т.д.).
2.1 Расчет
модуля пакетной обработки
Все задачи АСУП разбиваются на три группы, характеризующиеся
коэффициентами алгоритмической сложности вычислительного процесса Пj. Эти
коэффициенты измеряются числом операций, необходимых для обработки одного байта
вводимой информации. Они принимают следующие значения:
· для первой группы сложности П1=3 млн.оп./байт;
· для второй группы сложности П2=0.8 млн.оп./байт;
· для третьей группы сложности П3=0.1 млн.оп./байт;
Для определения значения загрузки сервера задачами АСУП, решаемыми в
пакетном режиме, вначале рассчитывается суточный объем вычислительных работ
(млн.оп. в сутки), необходимый для
решения этих задач. Эта величина складывается из среднесуточного объема работ
для каждой из трех групп задач АСУП, обрабатываемых в пакетном режиме, и
определяется по формуле:
где Vij - среднесуточный объем вводимой
информации по j-ой группе сложности обработки i-ой задачи АСУП, байт в сутки;
N -
число задач АСУП в j-ой группе сложности.
QМПО=(931.99+144.113)*3*1024+(1174.658+270)*0,8*1024+(10.183+1.575)*0,1*1024=4.49046*10^6
млн. оп./сутки
Требуемая производительность сервера
где Р - коэффициент, характеризующий неравномерность поступления
информации от абонентов на обработку в ИВС за расчетный период времени. Для
режима пакетной обработки Р=1;
Ксп - коэффициент системных потерь на организацию
мультипрограммной обработки, диагностики, динамического распределения памяти,
обработки в режиме разделения времени и т.п. Ксп=2-2.5;
Тр - планируемое суточное время работы сервера в часах, принимается 20
часов (2.5 смены в день);
Кг - коэффициент готовности сервера к работе, принимается 0.9-0.95;
Кнз - коэффициент, учитывающий непроизводственные затраты машинного
времени сервера (профилактические работы, несвоевременное поступление исходных
данных и др.) Кнз=0.8;
Км - коэффициент, учитывающий увеличение производительности сервера при
решении задач в мультипрограммном режиме, Км=1.
Коэффициент загрузки сервера ИВС определяется по формуле:
2.2 Расчет
модуля коллективного пользования (МКП)
Для ИВС в режиме коллективного пользования характерным является решении
задач основных типов:
· сбор-распределение информации;
· запрос-ответ (обработка справок).
2.2.1 Задачи
сбора- распределения информации
Суточный объем вычислительных работ вычисляется по формуле (8).
Коэффициент алгоритмической сложности задач Пj берется равным 0.3 млн.оп./байт.
вычислительный пакетный мультипрограммирование сервер
QМПО(с-р)=0.3*1024*3000
=921600 млн. оп./с.
Требуемая производительность сервера рассчитывается по формуле (9), при
этом принимается значение коэффициента Р=2, а периода времени Тр=8 часам.
Таким образом, загрузка сервера
2.2.2 Задачи
в режиме "запрос-ответ"
Организация данного режима работы сервера осуществляется в ИВС с помощью
удаленных устройств ввода-вывода.
Коэффициент загрузки сервера в режиме "запрос-ответ"
определяется по формуле:
где
- требуемая по варианту проекта производительность сервера в
режиме "запрос-ответ", млн.оп. в секунду.
Коэффициент загрузки сервера по всем режимам обработки информации и общее
требуемое для этого его быстродействие, по рассматриваемому варианту расчетов,
определяется по формулам:
Таким образом К<=1, следовательно выбор подтвержден и мы оставляем
последний процессор.
2.3
Определение
количества РС в локальной сети ИВС
Расчет количества РС по проекту производится исходя из объема информации,
обрабатываемой в ИВС за месяц
и среднемесячной производительности (выработке) одной РС при
2-х сменном режиме ее работы
где Тмес - количество рабочих дней в среднем за месяц (21
день);
- среднесуточный объем вводимой с МД для обработки на РС
информации (30% от соответствующих данных таблицы 4), байт;
- среднесуточный объем вводимой с РС информации по задачам
АСУП, байт;
- среднесуточный объем выводимой с РС информации по задачам
АСУП, байт;
- плановая норма выработки оператора на РС, 6000 байт/час;
- номинальный месячный фонд времени одной РС в смену, 165
часов;
- плановая сменность РС в день, 2;
- коэффициент повторной передачи искаженной информации, 1.1;
- коэффициент ненадежной передачи информации, 1.1;
- коэффициент контроля ежедневно обрабатываемой информации,
1.5.
3.
Планирование работы
ИВС предприятия
3.1 Расчет
производственной мощности
Расчеты производственной мощности ИВС предприятия выполняются по двум
основным видам технических средств - РС и серверу. Расчеты производятся, исходя
из двухсменной работы РС и 2,5сменной (20 часов в сутки) работы сервера и его
коэффициента загрузки.
Анализ использования указанных видов технических средств ИВС производится
с учетом потребного количества машино-часов на выполнение годовой
производственной программы.
Таблица 6 - Производственная мощность технических средств ИВС
|
Оборудование
|
|
Рабочие станции (РС)
|
Сервер
|
|
Потребный годовой фонд
времени на выполнение запланированного объема работ (Fpcпот, Fcерпот), маш.-ч.
|
122239
|
6176,6
|
|
Расчетное количество, шт.
|
30.8
|
-
|
|
Принятое количество, шт.
|
31
|
1
|
|
Плановая сменность работы
|
2
|
2
|
|
Коэффициент загрузки
|
0.994
|
0.89
|
|
Коэффициент сменности
|
1.988
|
1.78
|
|
Эффективный годовой фонд
времени в одну смену единицы оборудования (FЭф), маш.-ч.
|
1980
|
2776
|
|
Эффективный годовой фонд
времени всего оборудования в одну смену, маш.-ч.
|
61380
|
33312
|
|
Производственная мощность,
маш.-ч.
|
122760
|
6940
|
|
Коэффициент использования
производственной мощности
|
0.99
|
0,89
|
Заполнение строк производится следующим образом:
· Строка 1.
Для всех РС:
Для сервера:
где
- производственная мощность или общее реализуемое время
сервера за год (строка 9 таблицы 6);
· Строка 2. Для РС берется значение, полученное по формуле
(15);
· Строка 3. Получается путем округления значений строки 2 в
большую сторону;
· Строка 4. Тоже значение, что и в формуле (15);
· Строка 5. Для РС определяется путем деления данных строки 2
на значения строки 3.
Для сервера - по результатам расчетов по формуле (14).
· Строка 6. Рассчитывается путем умножения данных строки 4 на
данные строки 5.
· Строка 7. Для РС - 1980 часов, для сервера - 2776 часов в год.
· Строка 8. Определяется путем умножения данных строки 7 на
данные строки 3.
· Строка 9. Определяется путем умножения данных строки 4 на
данные строки 8.
· Строка 10. Определяется путем деления данных строки 1 на
данные строки 9.
3.2 Расчет
производственной программы ИВС
3.2.1 План
реализации услуг сервера
При проведении расчетов по этому разделу плана заполняется таблица 7.
Таблица 7 - Годовой план реализации услуг сервера ИВС
|
I кв.
|
II кв.
|
III кв.
|
IV кв.
|
Итого
|
|
Количество календарных дней
|
90
|
91
|
92
|
92
|
365
|
|
Время на профилактику, час
|
90
|
90
|
90
|
90
|
360
|
|
Общее реализуемое время,
час
|
1710
|
1730
|
1750
|
1750
|
6940
|
|
Коэффициент загрузки
сервера
|
0.89
|
0.89
|
0.89
|
0.89
|
0.89
|
|
Время, реализуемое
подразделениям предприятия, час
|
1522
|
1540
|
1558
|
1558
|
6178
|
|
Время, реализуемое
сторонним заказчикам, час
|
188
|
190
|
192
|
192
|
762
|
|
Общие затраты времени, час
|
1800
|
1820
|
1840
|
1840
|
7300
|
|
Среднесуточная загрузка
сервера, час
|
20
|
20
|
20
|
20
|
20
|
Порядок заполнения таблицы 6:
· Строки 1 и 2 заполняются на основе нормативных данных;
· Строка 3 рассчитывается на основе нормативной среднесуточной загрузки сервера,
годового фонда времени работы сервера за вычетом времени на его профилактику
(строка8*строка1 - строка2);
· Строка 4 принимается по данным расчета по формуле (14);
· Строка 5 рассчитывается умножением данных строки 3 на данные строки 4;
· Строка 6 определяется как разность показателей строк 3 и 5;
· Строка 7 определяется как сумма показателей строк 2 и 3;
· Строка 8 рассчитывается путем деления данных строки 7 на данные строки 1.
3.2.2 План
подготовки и обработки данных
После расчета производственной мощности необходимо определить годовой
план подготовки и обработки данных в ИВС и необходимую численность работников
для его выполнения.
Содержание работ, состав показателей плана приведены в таблице 7.
Таблица 7 - Годовой план подготовки и обработки данных
|
Вид работ и их исполнители
|
Планируемый объем работ в
машино-часах
|
Плановый коэффициент
производительности труда
|
Объем работ в нормо-часах
|
Плановая численность
операторов, чел.
|
|
Подготовка и обработка
данных - операторы (Лрс)
|
122239
|
1,05
|
128351
|
64,8
|
|
Прием и выпуск документации
- операторы (Лдок)
|
-
|
-
|
6011,28
|
3.3
|
|
Ведение базы данных -
операторы (Лбаз)
|
-
|
-
|
12386,88
|
6.8
|
Заполнение таблицы происходит следующим образом:
· Графа 2 заполняется на основании данных строки 1 таблицы 5;
· Графа 3 для операторов РС принимается равным 1.05;
· Графа 4
строка 1 определяется умножением данных графы 2 на показатель графы 3;
строки 2 и 3 определяются умножением годового фонда времени одного
оператора (1980 часов) на численность операторов и на коэффициент - 0.92,
учитывающий потери рабочего времени оператора;
· Графа 5
строка 1 рассчитывается делением объема работ на РС графы 4 на годовой фонд
времени одного оператора;
строка 2 определяется по формуле (18), исходя из количества вводимых с МД и РС
данных (символов) за месяц без учета их контроля, месячной нормы выработки
одного оператора
(5-6 млн. символов (байт)) и коэффициента
, учитывающего, какая часть всей
вводимой с МД или РС информации подлежит подготовке или обработке по данному
виду работ (принимается равным 0.3):
Строка 3 рассчитывается по формуле (19) без учета времени контроля данных
(символов), вводимых с МД за месяц:
где
- месячная норма выработки одного оператора, составляющая
2-2.5 млн. символов (байт).
3.2.3 План
разработки программного обеспечения
План включает расчет трудоемкости и себестоимости разработки ПО и
определяется на основе общей численности проектировщиков и программистов и
времени на разработку ПО, приводимых в задании на курсовой проект.
Стоимость одного человеко-дня работы программиста и проектировщика
принимается 360 рублей, а число рабочих дней для ИТР за год принимается равным
228 (или в среднем 19 рабочих дней в месяц).
На основании этих данных и нормативов, приводимых в таблице 8,
составляется план разработки и расчет себестоимости ПО по проекту.
Таблица 8 - План разработки и расчет себестоимости ПО
|
Показатели
|
Единица измерения
|
Значение
|
|
Трудоемкость ПО
|
|
|
|
Количество проектировщиков
и программистов
|
чел
|
5
|
|
Время заработки ПО
|
месяцы
|
12
|
|
Общая трудоемкость
разработки ПО
|
чел.-дни
|
1140
|
|
Себестоимость ПО
|
|
|
|
Основная заработная плата
|
410,4
|
|
Дополнительная заработная
плата (12% от основной)
|
тыс. руб.
|
49,2
|
|
Отчисленная на социальные
цели (30% от основной и дополнительной заработной платы)
|
тыс. руб.
|
137,88
|
|
Накладные расходы (50% от
основной заработной платы)
|
тыс. руб.
|
205,2
|
|
Итого (себестоимость ПО):
|
тыс. руб.
|
802,68
|
Заполнение таблицы 8:
· Строки 1 и 2 заполняются в соответствии с заданием;
· Строка 3 рассчитывается путем умножения данных строки 1 на данные строки 2 и на
среднее число рабочих дней в месяце (19);
· Строка 4 определяется умножением данных стоки 3 на стоимость их одного
человеко-дня работы (360 рублей в день);
· Себестоимость по проекту в целом составляет итог всех статей
на его разработку (сумма строк 4 -7 таблицы).
3.2.4 План
по труду и заработной плате
При расчете численности персонала ИВС различных категорий заполняется
таблица 9. Годовой фонд заработной платы по категориям определяется путем умножения
численности рабочих на среднемесячную заработную плату и на 12.
Таблица 9 - Годовой план по труду и заработной плате ИВС
|
Наименование категории
|
Численность, чел.
|
Среднемесячная зарплата,
тыс. руб.
|
Годовой фонд зарплаты, тыс.
руб.
|
|
Руководство
|
1
|
12
|
144
|
|
АХО
|
3
|
6
|
216
|
|
Бухгалтерия
|
2
|
8
|
192
|
|
Отдел разработки ПО
|
5
|
7.66
|
459,6
|
|
Участок подготовки данных
на РС
|
65
|
8
|
6240
|
|
Участок приема и выпуска
документации
|
4
|
8
|
384
|
|
Участок ведения базы данных
|
7
|
8
|
672
|
|
Операторы сервера ИВС
|
5
|
8
|
480
|
|
Электронщики сервера ИВС
|
5
|
8
|
480
|
|
Электромеханики ИВС
|
4
|
8
|
384
|
|
Итого:
|
101
|
81,66
|
9651.6
|
Численность АУП по строкам 1-3 таблицы 9 берется заданной.
Численность проектировщиков и программистов определяется из задания на
курсовой проект. Среднемесячная заработная плата одного разработчика ПО в
таблице 9 (строка 4) рассчитывается по данным таблицы 8, исходя из отношения
суммы основной и дополнительной заработной платы к общей численности
разработчиков ПО. Численность операторов по участкам подготовки данных на РС,
приема и выпуска документации и ведения базы данных берутся из их расчета.
Численность операторов, электронщиков и электромехаников по техобслуживанию
сервера и технических средств ИВС рассчитывается на основе нормативов для
указанных категорий и с учетом коэффициента сменности. Для техобслуживания
севера в одну смену (при Ксерсм= 2,5 смены в день)
необходимо иметь два электронщика и два оператора.
Численность электромехаников для обслуживания РС и всех других
технических средств ИВС определяется по формуле
чел.
где
- общее кол-во РС в ИВС;
- плановый коэффициент сменности работы электромехаников;
- норма обслуживания РС одним электромехаником в смену.
При расчёте численности электромехаников для обслуживания всех РС и
других технических средств ИВС принимается норма обслуживания 12-15 РС на
одного электромеханика в смену и
их работы равным 2 сменам.
4.
Расчет производственных площадей предприятия
Для размещения оборудования и работников ИВС предприятия в курсовом
проекте предполагается выбор оптимального варианта строительства помещения для
персонала сервера, а для остальных работников - аренда необходимых для их
работы площадей.
При расчете площади серверного участка предполагается, что все
технические средства и оснащение (кроме шкафов) имеют двух стороннее
обслуживание, а величина прохода между устройствами и их расстояние от стен
l=0.8 м.
Площадь помещения для серверного участка рассчитывается по формуле:
где L - максимальная длина серверного
участка;
где
-количество проходов, которые включаются в длину участка;
- длина устройства i-того типа;
- количество устройств i-того типа, длина которых включается
в L;
- ширина устройства j-того типа;
- количество устройств j-того типа, ширина которых включается в L;- максимальная
ширина серверного участка.
где
-количество проходов, которые включаются в ширину участка;
- длина устройства j-того типа;
- количество устройств i-того типа, длина которых включается
в Z;
- ширина устройства i-того типа;
- количество устройств j-того типа, длина которых включается в Z;
Исходные данные для расчета производственных площадей серверного участка
представлены в таблице 10.
Таблица 10 - Исходные данные для расчёта площади
серверного участка ИВС
|
Состав оснащения серверного
участка ИВС
|
Кол-во, шт.
|
Марка, модель
|
Размеры
|
Цена, тыс. руб.
|
|
|
|
длина, м
|
ширина, м
|
За шт. руб.
|
Всего
|
|
1. Плоттер
|
1
|
HP DesignJet 110+nrC7796E, A1
|
1.5
|
1
|
54.2
|
54.2
|
|
2. Сканер
|
1
|
Epson Perfection
3590 Photo
|
-
|
-
|
3.1
|
3.1
|
|
- сервер
|
1
|
Dual Server
Pedestal 2xXeon-5680, Samsung S19C200BW
|
1.5
|
1
|
75
|
75
|
|
- стол компьютерный
|
1
|
Стол компьютерный
|
2
|
1
|
5
|
5
|
|
- ПК
|
2
|
HP Pro 3520,
D5S10EA Intel Core i3-3240
|
-
|
-
|
22.8
|
45.6
|
|
- принтер
|
2
|
Canon LBP-1120
|
-
|
-
|
4.2
|
8.4
|
|
- стол компьютерный
|
2
|
Стол компьютерный
|
2
|
1
|
4
|
8
|
|
5. Рабочее место
электронщика
|
2
|
|
2
|
1
|
25
|
50
|
|
6. Шкаф
|
2
|
Шкаф стенной
|
2
|
1
|
3.5
|
7
|
|
7. Блок бесперебойного питания
|
1
|
PowerMan Back
Pro 600 Plus
|
-
|
-
|
1.4
|
1.4
|
|
ИТОГО
|
|
|
|
|
|
257,7
|
Составим различные варианты размещения комплекта ЭВМ и выберем вариант,
требующий минимальных затрат.
1 - плоттер, 2 - сервер, 3, 4 - ПК, 5, 6 - место электронщика, 7, 8 -
шкаф
1. Максимальная длина помещения сервера: L = 3*0,8+2*2+1 = 7,4м
Максимальная ширина участка: Z = 4*0.8+3*1 = 6.2м
Тогда площадь помещения для размещения работников в одну смену составит:
Bмз = 7.4*6.2 = 45.9 м2
2. L =5*0.8+4*1 = 8 м
Z
=3*0.8+2*1+2 = 6.4 м
Bмз = 8*6.4 = 51.2 м2
3. L = 4*0.8+3*1+1 = 7.2 м
Z =
3*0.8+2*2 = 6.4 м
Bмз = 7.2*6.4 = 46.1 м2
Занимаемая площадь минимальна при первой схеме размещения оборудования.
Эта площадь и используется при дальнейших расчетах.
Стоимость строительства помещения серверного участка рассчитывается по
формуле:
тыс. руб.
где Цстр - стоимость строительства 1м2 помещения
для ИВС
Площадь помещения Bар, необходимая для размещения
остального персонала ИВС, кроме работников серверного участка определяется по
формуле
(м2)
где Ч1 - численность персонала ИВС (кроме сервера),
работающего в две смены; Ч2 - численность персонала, работающего в
смену;
Нпл - норма площади на одного работника (кроме руководителя)
5м2;
Нрук - норматив площади помещения для руководителя ИВС 10-15м2.
Помещения Вар для персонала берутся на правах аренды.
Стоимость арендуемой площади для ИВС за год составит:
(тыс. руб.),
где Цар - стоимость аренды 1м2 помещения.
5.
Расчет затрат на
создание и эксплуатацию ИВС
ИВС предприятия реализуется в идее локальной вычислительной сети (ЛВС).
Основными составными частями ЛВС являются рабочие станции (РС), сервер и
кабельная сеть, объединяющая их в единое целое.
5.1 Выбор
и построение ЛВС
Выберем топологическую схему "звезда" для построения ЛВС.
В локальных сетях такого вида основные устройства сети объединены между
собой через концентратор.
В этом случае каждое сетевое устройство начнет обращаться к среде
передачи данных независимо. ЛВС такого типа обладает значительной гибкостью,
возможностью дальнейшего расширения и относительно низкой стоимостью по
сравнению с более сложными локальными сетями со строго регламентируемыми
методами доступа у среде передачи данных.
Рисунок 4 - Схема ЛВС предприятия
Количество линий связи - 4 (360 м), количество РС - 31 шт., количество
принтеров - 5 шт.
Звезда дна из наиболее распространённых топологий, поскольку проста в
обслуживании. В основном используется в сетях, где носителем выступает кабель
витая пара UTP категории 3 или 5.
Достоинства:
· выход из строя одной рабочей станции не отражается на работе всей сети в
целом;
· хорошая масштабируемость сети;
· лёгкий поиск неисправностей и обрывов в сети;
· высокая производительность сети (при условии правильного
проектирования);
· гибкие возможности администрирования.
Недостатки:
· выход из строя центрального концентратора обернётся неработоспособностью
сети (или сегмента сети) в целом;
· для прокладки сети зачастую требуется больше кабеля, чем для
большинства других топологий;
· конечное число рабочих станций в сети (или сегменте сети)
ограничено количеством портов в центральном концентраторе.
5.2 Расчет
капитальных затрат на ИВС
В состав капитальных затрат в ИВС предприятия включают:
· стоимость ЛВС, включающей в себя затраты на кабель, сетевые
карты, концентраторы и т.п. - КЛВС;
· стоимость технических средств серверного участка - Ксер;
· стоимость РС и принтеров сети - КРС;
· стоимость неучтенного и вспомогательного оборудования и оснащения
- Кво;
· затраты на транспортировку, монтаж и наладку всех
перечисленных видов оборудования Ктм (принимается 5-8% от их
стоимости);
· стоимость проектирования и разработки ПО - КПО;
· стоимость строительства помещения серверного участка - Кстр;
Капитальные затраты КЛВС, Ксер, КРС вычисляются
по формуле:
где
- капитальные затраты по каждому виду оборудования и
оснащения ИВС;
- количество оборудования и оснащения i-того вида;
- цена за единицу оборудования и оснащения i-того вида;
Расчет капитальных затрат на оборудование и оснащение ИВС по их основным
видам выполняется в виде таблицы 11.
Таблица 11 - Расчет капитальных затрат на оборудование и оснащение ИВС
|
Вид, марка и модель
оборудования
|
Количество единиц, шт.
|
Цена за единицу, тыс. руб.
|
Сумма затрат на
приобретение, тыс. руб.
|
Затраты на монтаж и
доставку
|
Всего капитальных затрат,
тыс. руб.
|
|
|
|
|
в %
|
в тыс. руб.
|
|
|
1. Затраты на ЛВС 1.1. Кабель
|
360 (м)
|
0.01
|
3,60
|
5
|
0.18
|
3,78
|
|
1.2. Концентратор
|
1
|
8,26
|
8,36
|
5
|
0,418
|
8,778
|
|
1.3. Сетевая карта
|
31
|
0.25
|
7,75
|
5
|
0.387
|
8,13
|
|
Итого КЛВС
|
|
|
19,71
|
|
0,985
|
20,695
|
|
2. Затраты на оборудование
серверного участка 2.1. Сервер
|
1
|
75
|
75
|
5
|
3,75
|
78,75
|
|
2.2. Сканер
|
1
|
3.1
|
3,1
|
5
|
0,155
|
3,255
|
|
2.3. Плоттер
|
1
|
54.2
|
54,2
|
5
|
2,71
|
56,91
|
|
2.4. Принтер
|
2
|
4.2
|
8,4
|
5
|
0,42
|
8,82
|
|
2.5. ПК
|
2
|
22.8
|
45,6
|
5
|
2,28
|
47,88
|
|
Итого Ксер
|
|
|
186,3
|
|
9,315
|
195,615
|
|
3. Затраты на РС и принтеры
3.1. РС
|
31
|
20,5
|
635,5
|
5
|
31,78
|
667,28
|
|
3.2. принтеры
|
5
|
4,5
|
27
|
5
|
1,35
|
28,35
|
|
Итого КРС
|
|
|
662,5
|
|
33,13
|
695,63
|
|
4. Затраты не неучтенное и
вспомогательное оборудование КВО
|
|
|
35,83
|
5
|
1,79
|
37,6
|
|
Всего на ИВС
|
|
|
904,34
|
|
45,22
|
949,56
|
В целом капитальные затраты ИВС определяются как сумма всех ее
составляющих по формуле:
(28)
5.3 Расчет
годовых эксплуатационных затрат ИВС
В состав годовых эксплуатационных затрат ИВС входят:
· Годовой фонд оплаты труда персонала ИВС: Эз=9651.6
тыс.руб.;
· Отчисления на социальные нужды:
9651,6*0,3=2895,48 тыс. руб.;
· Амортизационные отчисления
где
- средняя норма амортизации всех видов капитальных затрат в
ИВС, 12-15%;
- норма амортизации помещения серверного участка, равная
2-3% его стоимости.
· Стоимость электроэнергии

· Стоимость расходных материалов определяется исходя из общего
количества и типа магнитных дисков, установленных в ИВС, их цены и годовой
нормы износа дисков, составляющей 50% их стоимости
Эм=31*2,7 *0,5=41,85
· Годовая оплата арендуемых помещений
· Стоимость содержания всех помещений ИВС
где Цп - стоимость содержания одного м площади ИВС за
год и принимается в проекте равной 350-400 руб. за м2.
· Прочие расходы определяются в размере 2% от разности (
Эпр=0.02*(
(33)
Эксплуатационные затраты ИВС за год в целом составят:
=13456,65 тыс.руб.
6.
Экономическая
эффективность проекта ИВС
Для обобщенной экономической оценки эффективности капитальных вложений в
ИВС предприятия и формулирования выводов по проекту необходимо составить
сводную таблицу 12 его основных технико-экономических показателей. По значению
этих показателей делаются выводы о целесообразности инвестирования капитальных
вложений в ИВС предприятие.
Оценка экономической эффективности инвестиций в ИВС выполняется на основе
расчета и анализа в первую очередь таких показателей как состав и величина
капитальных вложений и эксплуатационных затрат по проекту, коэффициента
использования по мощности РС и сервера системы, годовая прибыль и срок
окупаемости проекта и других.
К числу оценочных показателей эффективности проекта ИВС относятся:
· годовой объем вычислительных работ/операций в ИВС:
где 252 - число рабочих дней в году;
· себестоимость обработки единицы информации:
где k - коэффициент перевода операций в
байты, (0.8-1.2)*106 оп./байт;
· удельные капитальные затраты на единицу информации
где КИВС - капитальные затраты на ИВС
предприятия;
· себестоимость одного машино-часа работы РС:
где
- потребный
годовой фонд времени всех PC сети
на выполнение запланированного объема работ (маш.-ч);
· отпускная цена одного машино-часа работы на РС:
где Рн=20% - нормативная рентабельность информационных услуг
ИВС;
· годовая прибыль от внедрения проекта ИВС при принятом в
расчетах значении Рн и коэффициенте загрузки сервера от реализации
работ и услуг для подразделений предприятия:
· расчетный срок окупаемости капитальных вложений по проекту:
где Тн - нормативный срок окупаемости капитальных вложений в
ИВС, 3-5 лет.
Таблица 12 - Основные технико-экономические показатели проекта
|
Наименование показателя
|
Единица измерения
|
Значение
|
|
1. Тип и топология вычислительной
системы
|
-
|
ТА4
|
|
2. Модель сервера ИВС
|
-
|
|
|
3. Коэффициент загрузки
сервера
|
-
|
0,89
|
|
4. Время ИВС, реализуемое
подразделениям предприятия за год
|
ч
|
6178
|
|
5. Время ИВС, реализуемое
сторонним заказчикам за год
|
ч
|
762
|
|
6. Себестоимость одного
машино-часа РС
|
руб./час
|
|
|
7. Отпускная цена
машино-часа РС
|
руб./час
|
|
|
8. Стоимость разработок
алгоритмов и программ
|
тыс.руб.
|
802,68
|
|
9. Численность персонала
ИВС
|
чел.
|
101
|
|
10. Годовой фонд зарплаты
персонала
|
тыс.руб.
|
9651.6
|
|
11. Средняя годовая
зарплата одного работника
|
тыс.руб.
|
81,66
|
|
12. Годовые
эксплуатационные затраты ИВС
|
тыс.руб.
|
13456,65
|
|
13. Капитальные вложения в
ИВС
|
тыс.руб.
|
|
|
14. Себестоимость обработки
байта информации
|
руб./байт
|
|
|
15. Удельные
капиталовложения на один байт информации
|
руб./байт
|
|
|
16. Годовой объем
вычислительных работ ИВС
|
оп. в год
|
|
|
17. Нормативная
рентабельность услуг ИВС
|
%
|
20
|
|
18. Годовая прибыль ИВС
|
тыс.руб.
|
|
|
19. Расчетный срок
окупаемости капитальных вложений в ИВС
|
лет
|
0,85
|
|
20. Нормативный срок
окупаемости ИВС
|
лет
|
3
|
Выводы по
проекту
вычислительный пакетный мультипрограммирование
сервер
В ходе курсового проекта были выполнены следующие задачи:
· определена структура распределенного технического обеспечения
и ее параметры (тип архитектуры ИВС - ТА4, топология ЛВС - "звезда");
· определен состав и количество необходимой вычислительной
техники (31 рабочая станция);
· рассчитан план работы ИВС (производственная мощность
технических средств ИВС, планы реализации услуг сервера, подготовки и обработки
данных, разработки ПО, план по труду и заработной плате);
· определена площадь помещений для размещения ИВС;
· рассчитаны затраты на создание и эксплуатацию ИВС;
· рассчитана годовая прибыль от внедрения проекта ИВС.
В том числе были определены основные технико-экономические показатели
функционирования ИВС, а именно:
· себестоимость обработки единицы информации;
· себестоимость и отпускная цена одного машино-часа ИВС;
· капитальные вложения в ИВС;
На основе полученных данных можно сделать вывод о том, что капитальные
вложения в ИВС предприятия целесообразны, поскольку:
· срок окупаемости проекта, равный 0,85 года, значительно ниже
нормативного срока окупаемости ИВС (3-5 лет);
· отпускная цена одного машино-часа
рублей в час, которая является
вполне конкурентно способной на рынке информационных услуг;
· годовая прибыль ИВС составит
млн. рублей;
· коэффициент загрузки сервера 0,89
Таким образом, внедрение ИВС является экономически обоснованным.
Список используемых источников
1. Курс
лекций по дисциплине "Основы менеджмента" Мартынов В.И.
. Мартынов
В.И. Организация и планирование ИВС предприятия: методические указания /
Мартынов В.И., Борзов А.И. - СПб.: СПбГТИ(ТУ), 2005 - 40с.
. Компьютерный
интернет-магазин. ЮЛМАРТ. [Электронный ресурс] - Режим доступа:
http://www.ulmart.ru, свободный. - Яз. рус.
. Магазин
офисной мебели. ОМИС. [Электронный ресурс] - Режим доступа:
http://www.omist.spb.ru, свободный. - Яз. рус.