Системы построения изображений в ИК-диапазоне

  • Вид работы:
    Реферат
  • Предмет:
    Физика
  • Язык:
    Русский
    ,
    Формат файла:
    MS Word
    894,91 Кб
  • Опубликовано:
    2014-05-02
Вы можете узнать стоимость помощи в написании студенческой работы.
Помощь в написании работы, которую точно примут!

Системы построения изображений в ИК-диапазоне

Министерство Образования и Науки РФ

Федеральное агентство по образованию

ГОУ ВПО: «Магнитогорский государственный технический университет им. Г.И. Носова»

Кафедра физики








Реферат:

«Системы построения изображений в ИК-диапазоне»


Проверил: Бахматов Ю.Ф.

профессор каф. физики

Выполнил: Щербаков Е.В.

ст. гр. ТС-03-2 Антипова Е.Ю.




Магнитогорск

Содержание

1. СИСТЕМЫ ПОСТРОЕНИЯ ИЗОБРАЖЕНИЙ В ИК-ДИАПАЗОНЕ (ТЕПЛОВИЗОРЫ)

. ПРИЕМНИКИ ОПТИЧЕСКОГО ИЗЛУЧЕНИЯ

. ОПТИКА ТЕПЛОВИЗОРОВ

. ОСНОВНЫЕ ХАРАКТЕРИСТИКИ ТЕПЛОВИЗОРОВ

СПИСОК ИСПОЛЬЗОВАННЫХ ИСТОЧНИКОВ

1. СИСТЕМЫ ПОСТРОЕНИЯ ИЗОБРАЖЕНИЙ В ИК-ДИАПАЗОНЕ (ТЕПЛОВИЗОРЫ)

тепловизор оптика электронный сканирование

Исследование пространственных распределений температуры по одной или двум координатам требует сканирования поверхности объекта, которое осуществляют либо механически (оптико-механически), либо электронным способом.


В течение второй половины ХХ-го века использование принципа оптико-механического сканирования было одной из основных черт, разделявших системы визуализации в видимом (ближнем ИК) и средневолновом ИК-диапазоне. В оптико-механических устройствах отклонение угла зрения про изводят с помощью колеблющихся или вращающихся оптических элементов (призм и зеркал), что требует их прецизионной механической обработки и сборки. В 1970-90-х годах в коммерческих тепловизорах применяли, в основном, две системы оптико-механического сканирования. Первая система, воплощенная в приборах фирм АОЕМА Infrared Systems (Швеция), использовала вращающиеся во взаимно-перпендикулярных направлениях кремниевые призмы, через которые проходил регистрируемый поток ИК-излучения (кремний обладает высоким коэффициентом преломления в ИК-диапазоне и обеспечивает необходимые углы отклонения оптического луча). Вторая система, в которой сканирование осуществлял ось колеблющимися зеркалами, была запатентована и реализована фирмой Inframetrics (США).

Принцип электронного сканирования был реализован в разработанных в конце ХХ-го века матричных фотодетекторах нового поколения. В англоязычной литературе этот тип фотоприемников называют матрицами, размещаемыми в фокальной плоскости объектива (Foca1 Р1апе Array-FPA). Основными преимуществами матричных систем тепловидения являются отсутствие движущихся механических частей и одновременное визирование сцены всеми чувствительными площадками одновременно. Последнее преимущество, которое, реализовано только в устройствах мгновенного визирования (snapshot), позволяет увеличить время экспозиции каждой чувствительной площадки, Т.е. уменьшить шумы, и обеспечить одновременное наблюдение быстроменяющихся тепловых событий (например, при ТК коррозии тонких алюминиевых листов).

Упрощенные схемы тепловизоров, реализующих оптико-механическое и электронное сканирование приведены на рис. 1. Оптико-механические системы содержат большое количество движущихся деталей, тогда как матричные тепловизоры фактически являются передающими телевизионными системами ИК-диапазона.

Современные матрицы используют как фотонные, так и тепловые ИК-приемники. Наиболее доступны по цене показывающие и измерительные тепловизоры, работающие на неохлаждаемых болометрических (ферроэлектрических) матричных детекторах. Для специальных применений, где требуется высокая частота смены термоизображений, повышенное температурное разрешение или спектральная селективность, разработаны тепловизоры на охлаждаемых матрицах. Наиболее распространены матрицы на основе силицида платины (PtSi), антимонида индия (InSb), тройных соединений (HgCdTe) и так называемых квип-материалов (QWIP), в частности арсенида галлия GaAs.

Тепловизоры являются оптико- электронными приборами, состоящими из:

-   ИК-приемника (детектора излучения);

-   объектива;

-   сканера (кроме матричных тепловизоров);

-   устройства охлаждения ИК-приемника (отсутствует в ряде моделей);

-   встроенного эталона температуры;

-   электронного блока;

-   монитора;

-   программного продукта. Коммерческие тепловизионные системы также включают:

-   систему записи и твердого копирования термограмм;

-   систему транспортировки прибора;

-   блок питания и/или аккумулятора.

Тепловизоры разного применения обладают различными техническими характеристиками и стоимостью, однако в основе их работы лежат общие физические принципы, рассмотренные ниже.

. ПРИЕМНИКИ ОПТИЧЕСКОГО ИЗЛУЧЕНИЯ

Приемники, или детекторы излучения, принимающие и преобразующие энергию оптического излучения в энергию других видов, подразделяют на биологические и физические. Среди биологических приемников излучения (ПИ) следует выделить человеческий глаз, который регистрирует видимый свет в диапазоне длин волн от 0,38 до 0,78 мкм и диапазоне яркостей, перекрывающем 11 порядков. После адаптации к темноте глаз воспринимает тепловое изучение объектов, начиная с температуры 450 ºС. Таким образом, при соответствующих условиях, человек может «термографировать» перегретые электрические контакты, горячий металл и другие объекты с температурой выше упомянутого порога.

Физические ПИ генерируют электрический сигнал, пропорциональный мощности оптического излучения, поглощенного их чувствительными площадками. Приёмники ИК-излучения включают:

-   чувствительный элемент (элементы);

-   входное окно, отделяющее внешнюю среду от замкнутого объёма вокруг чувствительного элемента;

-   апертуру, ограничивающую поле зрения (возможно охлаждение и/или термостабилизация апертуры);

-   сосуд Дьюара с хладоагентом (возможна система охлаждения на базе термоэлектрических холодильников или микрокомпрессора Стирлинга; некоторые детекторы работают при температуре окружающей среды).

ПИ разделяют на два основных класса: тепловые и фотонные (фотоэлектрические).

Принцип действия тепловых детекторов основан на одном из четырёх явлений:

) болотометрическом эффекте (изменение электрического сопротивления чувствительного элемента при нагреве поглощенным ИК излучением); 2) термовольтаическом эффекте (выходное напряжение генерируется нагретым спаем разнородным металлов); 3) термопневматическом эффекте (изменение температуры детектора вызывает расширение газового объема); 4) пироэлектрическом эффекте (изменение температуры вызывает модуляцию дипольного момента кристаллического чувствительного элемента).

В фотонных детекторах поглощенные кванты излучения (фотоны) увеличивают число свободных носителей электрического заряда, изменяя электрическое состояние чувствительного элемента. При использовании эффекта фотопроводuмости поглощенное ИК-излучение изменяет электропроводность чувствительного элемента. В рамках фотовольтаuческого эффекта, поглощенное излучение создает электронно-дырочные пары вблизи р-n перехода, генерируя электрический ток. В меньшей степени в детекторах ИКизлучения используют фотоэлектромагнuтный эффект.

Тепловые приемники. Принцип действия болометра основан на изменении электрического сопротивления полупроводника или металла при нагреве чувствительного элемента поглощенным тепловым излучением. Исторически болометры были одними из первых видов ИК детекторов, однако их применение в тепловизорах в течение длительного времени сдерживалось их значительной инерционностью. В конце ХХ-го века появились малоинерционные микроболометрические (ферроэлектрические) матрицы, на основе которых были созданы неохлаждаемые матричные тепловизоры, получившие в настоящее время большое распространение.

Пироэлектрические приемники излучения производят из материалов, называемых сегнетоэлектриками, например титаната бария. Эти материалы обладают постоянной электрической поляризацией, являющейся сильной функцией температуры. В течение длительного времени разрабатывали недорогие ИК-тепловизоры на базе пироэлектрических видиконов (пировидиконов), однако в настоящее время они практически полностью вытеснены тепловизорами с матричными детекторами.

Инфракрасные термометры (пирометры) часто используют тепловые приемники на основе термоэлементов, работающих на принципе термоэффекта Зеебека. В качестве материалов для металлических термоэлементов используют сурьмяно-висмутовые спаи, серебро, железо, теллур, константан, хромель и различные сплавы этих веществ. В полупроводниковых термоэлементах применяют сурьму, кремний, теллур, селен.

Тепловые детекторы имеют плоский характер спектрального хода обнаружительной способности D * Т.е. они являются неселективными и не требуют охлаждения, но сама величина D * при этом значительно хуже, чем у фотонных прием ников (рис. 2).


Фотоэмиссионные детекторы. В этих устройствах поток электронов, создающий электрический ток в первичной цепи, образуется за счет внешнего фотоэффекта, который имеет место на фотокатоде, подверженном воздействию оптического излучения. Максимальная длина волны регистрируемого излучения определяется работой выхода электрона из фотокатода; в частности, для кислородно-серебряно-цезиевого фотокатода она составляет 1,3 мкм. К фотоэмиссионным фотоприемникам относят вакуумные и газонаполненные фотоэлементы (ФЭ) и фотоэлектронные умножители (ФЭУ). В ФЭУ электроны ускоряются в электрическом поле и умножаются за счет вторичной эмиссии на динодах. Коэффициент умножения в десятиступенчатой системе может составлять от 105 до 107. Типичная постоянная времени составляет около 10 нс. Фотоумножители обычно используют для регистрации слабых световых потоков в микроваттном диапазоне мощностей, поскольку большие мощности регистрируемого излучения могут повредить последние диноды.

В тепловизионных системах фотоэмиссионные приемники не используются.

Фотонные детекторы. Фотонные детекторы реализуют явление внутреннего фотоэффекта, при котором носители заряда не покндают материал детектора, а переходят в зону проводимости либо с примесного уровня, либо из валентной зоны. Спектральный ход детектирующей способности распространенных фотонных детекторов показан на рис. 2.

Сульфид свинца PbS был первым практическим детектором, разработанным в Германии перед второй мировой войной. В 50-е г. появление новых фотопроводящих материалов, таких как селенид свинца PbSe, теллурид свинца РЬТе и антимонид индия InSb, позволило освоить спектральный диапазон ИК-излучения до 3…5 мкм. Использование примесных уровней меди, цинка и золота в германии расширило диапазон до 30 мкм.

В конце 50-х годов в Великобритании разработан приемник на тройном соединении HgCdTe, который наряду с приемниками из антимонида индия, длительное время оставался одним из распространенных в силу стабильности свойств и возможности варьировать основные параметры. В начале 1960-х годов появилась технология фотолитографии, которая позволила создавать матричные детекторы, первоначально на основе PbS, PbSe и InSb. К 1970-M г. большинство линейных матричных детекторов военного применения были изготовлены из HgCdTe.

Первые линейные мозаики, включавшие до 200 чувствительных площадок, имели физические выводы от каждой площадки. По мере улучшения параметров детекторов, появились приборы, выполненные по так называемой СПРАЙТ (SPRIТE-Signal Processing In The Element) технологии, которая была предложена И. Бейкером с соавторами.

Охлаждаемые до криогенных температур СПРАЙТ-приемники остаются одними из применяемых детекторов ИКизлучения (рис. 3). Их изготавливают в виде полоски из материала HgCdTe, которую размещают на сапфировой подложке. Сущность технологии состоит в том, что полоска вытянута в направлении сканирования и на нее подано электрическое смещение таким образом, что скорость дрейфа носителей заряда совпадает со скоростью сканирования. По мере того как точка изображения движется вдоль полоски детектора, индуцируемые ею заряды движутся синхронно, накапливаясь к концу полоски.


Таким образом, основным преимуществом СПРАЙТ-детектора является интегрирование сигнала в фокальной плоскости самим детектором, что снижает шумы. При последовательном считывании сигнала скорости сканирования СПРАЙТ и одиночного приемника совпадают. Однако, если множество СПРАЙТ-детекторов собраны параллельным образом, скорость сканирования может быть уменьшена за счет одновременного интегрирования.

Длинноволновые фотонные приемники оптического излучения, как правило, требуют охлаждения до криогенных температур для того, чтобы снизить истощение энергетических уровней за счет теплового возбуждения атомов примесей и подавить излучение чувствительной площадки самой на себя. Поэтому первые фотонные приемники устанавливали внутри сосуда Дьюара, заполняемого жидким азотом с температурой 77 К. В зависимости от размеров и конструкции дьюаров, жидкий азот требовалось доливать каждые 2 ... 8 часов (были предложены также схемы непрерывной подпитки хладоагентом). С целью избежать проблем, связанных с жидким азотом, были разработаны микрохолодильники на основе эффекта ДжоуляТомсона (микрохолодильник Стирлинга), в которых использовалась замкнутая циркуляция жидкого гелия. Такие холодильники применяла известная в 1980-90-х годах американская фирма Inframetrics (в настоящее время фирма FLIR Systems). Наиболее практичными являются термоэлектрические холодильники, однако достигаемая с их помощью степень охлаждения ограничена температурами выше 190 К. Постоянная времени фотонных приемников оптического излучения находится в пределах от 10-11С для сверхбыстрых кремниевых детекторов до нескольких миллисекунд для приемников на основе PbS.

Фотоприемники на основе квантовых ловушек. В последней декаде прошлого века стали коммерчески доступными приемники ИК-излучения, использующие принцип так называемых квантовых ловушек, или ям (quantum wel1). В англоязычной литературе такие приемники получили аббревиатуру QWIP (Quantum Well Infrared Photodetectors). В "квип-детекторах" использован эффект фотовозбуждения электронов (дырок) между основным и первым возбужденным состоянием в зоне проводимости (валентной зоне) квантовой ямы (рис. 4).

Структура квантовой ловушки такова, что фотовозбужденные носители заряда могут "выбираться" из нее и создавать электрический ток. Например, в одном из первых коммерческих матричных квип-детекторов была использована ловушка из GaAs высотой 45А и барьер из AlGaAs высотой 500А (см. рис. 4). Основные состояния электронов в квантовой ловушке создавались примесным кремнием (Si). Квипдетекторы, используюшие GaAs, позволяют регистрировать ИК-излучение с длиной волны более 6 мкм.

В тепловизорах высокого уровня становятся все более популярными матричные КВИП фотоприемники.

Матричные фотоприемники. Матричные фотоприемники (FPA), устанавливаемые в фокальной плоскости объектива, состоят из множества чувствительных элементов, расположенных по рядам и столбцам прямоугольной матрицы. Чувствительные элементы не заполняют всю площадь матрицы, поэтому одним из важных параметров таких детекторов является коэффициент заполнения (fill factor). Чем выше коэффициент заполнения, тем качественнее изображение, особенно при мониторинге температур, близких к температуре окружающей среды, а также при анализе слабых температурных градиентов. В лучших матрицах коэффициент заполнения может достигать 90 %.

Различают две технологии изготовления матричных фотоприемников: монолитную (mono1ithic) и гибридную (hybrid). Монолитные матрицы дешевле и проще в изготовлении, поскольку в них чувствительные площадки и зоны передачи электрического сигнала расположены в подложке из одного материала, однако их коэффициент заполнения не превышает 55 %. В монолитных матрицах труднее реализовать современные алгоритмы встроенной обработки сигнала, например переменное время интегрирования. В гибридных матрицах зона чувствительных площадок и зона считывания сигналов расположены в двух слоях, разделенных индиевыми контактами, через которые происходит мультиплексирование сигналов каждой площадки. Такие фотоприемники обладают максимальным коэффициентом заполнения и обеспечивают наиболее высокое качество изображения с температурным разрешением до 0,02ºС.

Поскольку фотонные ИК-детекторы являются счетчиками фотонов, важной характеристикой приемников, в том числе матричных, является их квантовый выход, или квантовая эффективность (quantum efficiency), которая характеризует способность фотоприемника собирать кванты электромагнитного излучения и преобразовывать их в электрический сигнал. Интересно отметить, что квантовая эффективность одного из наиболее распространенных материалов фотонных матриц силицида платины PtSi составляет менее 1 %. В целом, детекторы с высокой квантовой эффективностью обеспечивают лучшее температурное разрешение и более высокое качество изображения.

Еще одной характеристикой матричных фотоприемников является время интегрирования сигнала (integration time). Во многих случаях оно составляет 16 мс, что соответствует одному полному кадру. Матрицы с переменным временем интегрирования позволяют собирать ИК-фотоны в течение более коротких времен, что обеспечивает регистрацию температур до +450ºС.. Тепловизоры без переменного времени интегрирования требуют введения спектральных фильтров для регистрации температур в широком интервале от -20 до +2000ºС.

Оптика FРА-тепловизоров имеет свою специфику. Наиболее совершенной являются объективы (reimaging optics), создающие две фокальные точки, в одной из которых располагают матрицу, а во второй размещают диафрагму поля зрения, которая предотвращает засветку от мощных посторонних излучателей (offaxis stray radiation). Обычные объективы (nonreimaging optics) создают только одну фокальную точку и используются главным образом в показывающих тепловизорах, где засветка не искажает измерительные способности устройства.

Одной их неприятных особенностей матричных фотоприемников является неравномерная чувствительность от одной площадки к другой. Коррекцию (nonuniformity соnесtiоn) осуществляют различными способами: 1) считывая температуру крышки, размещаемой на объектив (простейший способ); 2) периодически размещая в оптическом пути внутри камеры объект с равномерной известной температурой, которая служит для корректировки сигналов в отдельных пикселях; 3) осуществляя непрерывную коррекцию с помощью встроенного микропроцессора (наиболее метрологичный способ).

Другой проблемой тепловизоров, трудно решаемой для FРА-детекторов, является необходимость компенсировать изменения температуры окружающей среды. Чаще всего это осуществляют путем размещения нескольких датчиков температуры в критических точках оптической головки тепловизоров.


Неохлаждаемые микроболометрические матрицы. Технология изготовления болометрических FPА матриц, предложенная относительно недавно, получила быстрое признание, поскольку такие матрицы не требуют охлаждения и способны работать при температуре окружающей среды, позволяя создавать весьма практичные тепловизоры. Основные недостатки микроболометрических матриц: более низкая по сравнению с фотонными матрицами чувствительность и метрологическая стабильность.

Схема неохлаждаемой болометрической матрицы изображена на рис. 5. Каждый чувствительный элемент может реализовать принцип резистивного, пироэлектрического или ферроэлектрического детектора. В резистивных элементах поглощенное ИК-излучение изменяет их электрическое сопротивление, что регистрируется электронной схемой считывания сигнала. В пироэлектрических элементах, при температурах ниже точки Кюри, изменение их температуры приводит к модуляции поверхностного электрического заряда, т.е. к появлению электрического тока.

Пироэлектрический эффект может быть усилен наложением электрического поля, что приводит к ферроэлектрическим феноменам. В современных матрицах имеется поглощающий излучение слой, выполненный в виде четвертьволновой оптической полости толщиной около 1 мкм. Отдельные чувствительные площадки теплоизолированы друг от друга с целью обеспечить максимальное пространственное и температурное разрешение.

Как и в фотонных матрицах, используют два типа архитектуры элементов: гибридную и монолитную.

В гибридных матрицах детектор и устройство считывания сигнала, выполненное на основе кремниевой структуры, изготовлены отдельно друг от друга и затем собраны вместе.

В монолитных матрицах детектор размещают над схемой считывания непосредственно в процессе изготовления, что обеспечивает лучшие детектирующие параметры.

Типичная коммерческая болометрическая матрица состоит из 320 * 240 элементов и обеспечивает температурное разрешение на уровне 100 мК (в лабораторных системах достигнуто разрешение около 10 мК).

Фотонные матрицы. Наиболее распространенные типы фотонных матриц выполнены на основе барьера Шоттки (Shottky barrier), суперрешетках (super1attice), собственной проводимости (intrinsic) и Z-планарной (Z-p1ane) технологии.

Матрицы на основе барьера Шоттки. Данный тип детектора был предложен Ф. Шепардом и А. Янгом в 1973 г.

В настоящее время многими компаниями разработаны матрицы размером до 512 * 512, большей частью использующие силицид платины PtSi. Данный материал работает в диапазоне 3 ... 5 мкм, весьма стабилен во времени и устойчив к повышенным температуры. Несмотря на низкую квантовую эффективность (-1 %), PtSi фотоприемники обеспечивают температурное разрешение до 0,05 ºС. Силицид галлия GaSi позволяет расширить спектральный диапазон до 8…16 мкм.

Матрицы на суперрешетках. В этих фотоприемниках, к которым также относят КВИП (QWIP) детекторы, перемежающиеся слои различных полупроводников различной толщины позволяют изменять область спектральной чувствительности.

Наиболее перспективная технология использует материал GaAs-GаА1Аs, созданный в 1987. Длинноволновая граница суперрешеток может изменяться от 6 до 11 мкм при обнаружительной способности в диапазоне от 1010 до 1011 см * Гц1/2 Вт (уровень охлаждения от 50 до 70 К). Обладая квантовой эффективностью от 5 до 10 % на длине волны 9,5 мкм, эти фотоприемники обеспечивают весьма высокое температурное разрешение (до 0,01 ºС).

По совокупности параметров матричные КВИП-детекторы большого формата позволили создать высокочувствительные тепловизоры, работающие в длинноволновом диапазоне.

Матрицы на полупроводниках с собственной проводимостью. В этих матрицах используют обычные фотопроводящие и фотоэлектрические (фотовольтаические) детекторы. Как и в случае суперрешеток, наиболее перспективна гибридная технология, которая предусматривает внедрение (приклеивание) чувствительного элемента на кремниевую подложку чипа считывания электрического сигнала.

Распространены матрицы из HgCdTе (размером до 256 х 256) и InSb (размером до 640 х 512). Квантовая эффективность приемников из InSb достигает 80 ... 90 %, однако она не всегда реализуется вследствие переполнения квантовых ловушек электронами.

Другой проблемой этих приемников оказалась их относительно невысокая стабильность во времени и при циклах охлаждения.планарные матрицы. Данная технология была предложена с целью дополнить функцию обнаружения электромагнитного излучения рядом функций предварительной обработки сигнала. Кремниевые чипы размещают на тонкой керамической плате (толщиной 100 мкм), на боковой поверхности которой устанавливает ИК-детектор. Такие платы собирают вместе, формируя матрицу. В Z-планарных детекторах можно осуществлять свертку сигнала, дифференцирование и встроенное аналого-цифровое преобразование. Современные матричные фотоприемники характеризуются следующими параметрами:

-   HgCdTe: до 480 х 640 (размер пикселя от 20 мкм до 1 мм); рабочая (operating) температура Тор = 80 К;

-   PtSi: до 1024 х 1024; Тор = 80 К;

-   InSb: до 640 х 480; Тор =80 К.

Коммерческие матричные квип-фотоприемник и формата 320 х 256 и 640 х 486 работают

при температуре 70 К и обеспечивают температурное разрешение около 30 мК в диапазоне длин волн 8 ... 12 мкм.

Параметры ИК-приемников. Детекторы ИК-излучения являются сложными оптико-электронными устройствами, которые характеризуются большим числом параметров, из которых основными являются:

-   удельная обнаружительная (детектирующая) способность (detectivity) D * , см . Гц1/2/Вт;

-   область спектральной чувствительности, мкм;интегральная, или вольтовая, чувствительность, определяющая амплитуду электрического сигнала на выходе фотоприемника, В/Вт;

-   площадь чувствительного элемента Ad, см2;

-   инерционность, или постоянная времени, с.

Удельная обнаружительная способность. Удельная обнаружительная способность является спектральной функцией и служит важнейшим критерием качества фотоприемников. Ее определяют следующим образом:


где NEP - мощность (поток), эквивалентная шуму (Noise Equivalent Power-NEP); ∆f- полоса частот, Гц.

Согласно ГОСТ 21934-83 величину NEP называют порогом чувствительности приемника излучения, выражают в Вт; в англоязычной литературе эту величину часто выражают в Вт/Гц1/2. При правильной записи D* следует указывать значение длины волны, частоту модуляции и полосы частот (единичной):

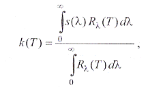
Коэффициент использования ПИ по конкретному излучателю определяется выражением


где s(λ) = Dλ*/Dm* относительная спектральная чувствительность ПИ;

Dm* - максимальное по спектру значение обнаружительной способности.

При проектировании тепловизоров предложен аналог коэффициента использования - коэффициент сравнения ПИ:

который позволяет сравнивать эффективность ПИ при регистрации малых температурных перепадов. В СССР выпускалась весьма широкая номенклатура приемников излучения, параметры которых можно найти в соответствующей литературе.

Спектральная чувствительность. Область спектральной чувствительности тепловизоров определяется используемым приемником ИК-излучения (см. рис. 2).

Приборы, работающие в коротковолновом диапазоне, например передающие телевизионные трубки и ЭОПы, могут рассматриваться в качестве тепловизоров, измеряющих относительно высокие температуры. Тем не менее, термин "тепловизор" обычно применяют к системам со спектральной чувствительностью от 3 до 14 мкм.

Исторически коротковолновыми тепловизорами (short wave~SW) называли такие, которые использовали приемники на антимониде индия (3 ... 5 мкм), тогда как длинноволновые (long wave-LW) системы в течение многих лет использовали приемники на тройных соединениях HgCdTe (7 ... 14 мкм).

На рис. 6 изображена относительная спектральная чувствительность трех типов современных тепловизоров, работающих в различных спектральных диапазонах.

Устройства охлаждения приемника излучения. для того, чтобы ИК-приемник не регистрировал преимущественно свое собственное излучение, а также для снижения собственных шумов, чувствительный элемент приемника должен быть охлажден. Длительное время в качестве хладоагента применяли жидкий азот, снижающий температуру до -200 ОС. В зависимости от объема сосуда Дьюара одной заливки хватало на 2 ... 8 ч, поэтому проведение ИК-съемки в течение рабочего дня требовало от оператора носить с собой сосуд Дьюара или, в лучшем случае, бытовой термос.

С переходом на термоэлектрические холодильники нужда в жидком азоте отпала.

Поскольку термоэлектрические холодильники обеспечивают понижение температуры только до -70 ... -90 ОС, в ряде моделей тепловизоров применен миниатюрный компрессор (известный также под названием "холодильник Стирлинга"), который охлаждает ИК-приемник до температуры жидкого азота.

Первый коммерческий тепловизор серии Them1Ovision 500, в котором приемник излучения работал при комнатной температуре, был выпущен фирмой АОЕМА Infrared Systems (ныне FLIR Systems). В данном приборе был использован FPА-детектор болометрического типа. Необходимость учитывать влияние изменяющейся температуры окружающей среды потребовало специальных технических решений, являющихся ноу-хау (know how) фирм-производителей. Использование фотонных FРА-детекторов излучения по-прежнему требует их охлаждения (при этом достигают наилучшего температурного разрешения).

. ОПТИКА ТЕПЛОВИЗОРОВ

Во всех высококачественных тепловизорах ИК-объектив является сложным дорогостоящим узлом, включающим набор линз и зеркал, которые выполнены из хрупких, дорогостоящих и требующих прецизионной обработки материалов типа кремния, германия и специальных ИК стекол.

Фокусное расстояние и коэффициент увеличения оптической системы. Сложная оптическая система может быть сведена к одиночной линзе, которая характеризуется фокусным расстоянием F = F' . Такая линза создает изображение У' объекта У (см. рис. 7). Смещения У и У' от фокусных точек F и F' равны соответственно Х и Х'. Базовое уравнение тонкой линзы имеет вид

Коэффициент усиления равен:

У/У' = 5/51,

где 5 - расстояние между объектом и линзой; 5 I - расстояние между изображением объекта и линзой.

Мгновенный угол зрения и поде зрения. Если У' - размер чувствительной площадки фотоприемника, то величину У' / S'= У /S называют мгновенным углом зрения (instantaneous field of view IFOV), который определяет пространственное разрешение системы (рис. 8). Сканирующие тепловизоры, использующие одиночный приемник, в любой момент времени собирают излучение в пределах мгновенного угла зрения, который непрерывно изменяет свое положение в пространстве в ходе сканирования, формируя таким образом поле зрения. В матричных тепловизорах поле зрения определяется размером матрицы, а мгновенный угол зрения связан с отдельными приемными площадками.

Угол (поле) зрения (fie1d of view- FOV) оптической системы схематично изображен на рис. 8. Для наблюдения удаленных предметов необходим длиннофокусный узкоугольный объектив (ИК-съемка с борта вертолета, анализ элементов линий электропередач и т.п.), тогда как широкоугольная оптика удобна, если объект находится вплотную к оператору и cлeдyeт просматривать как можно большую площадь (научные исследования, строительство и энергетика). Фирмы-производители поставляют тепловизоры со сменной оптикой, которую заказывают в зависимости от предполагаемой области применения. В качестве компромиссного варианта часто принимают 12-ти градусный объектив, который обеспечивает приемлемое геометрическое разрешение в большинстве практических задач. Например, в тепловизорах фирмы FLIR Systems часто используют пять объективов: 2,5; 7; 12; 20 и 400о.

В табл.1 приведены размеры зоны контроля на расстоянии 1О м для различных полей зрения. Для расстояний иных, нежели приведенных в табл. , производят простой пропорциональный пересчет размеров зоны контроля: например, поле зрения 200 на расстоянии 100 м будет эквивалентно зоне размером 3,5(100/10) = 35 м.

Объектив

Размер поля зрения на расстоянии 10 м, м

7

1,2

12

2,1

20

3,5

40


Геометрически, оба параметра могут быть определены по обеим координатам сканирования:


где Ly - размер контролируемой зоны по координате У, определяемый полем зрения тепловизора; 1., - размер зоны, визируемой в пределах мгновенного угла зрения (по координате У); как правило, Lx ≠ Ly и lx = ly .

Щелевая функция чувствительности и модуляционная передаточная функция. Пусть на расстоянии Н от детектора находится щель переменной ширины d (рис. 7.14). За щелью размещен фоновый объект с температурой выше температуры окружающей среды. Очевидно, что выходной сигнал ИК-детектора (тепловизора) U зависит от ширины щели d. Функция U(d/Н) называется щелевой функцией чувствительности (slit response function - SRF). Угловой размер щели при 50 %-м спаде сигнала, будет соответствовать пространственному разрешению при 50 %-й модуляции. При сравнении различных оптических систем важен не столько выбор уровня модуляции, сколько обеспечение одинаковых условий сравнения различных тепловизоров. При ширине щели меньше мгновенного угла зрения профиль сигнала соответствует импульсной реакции системы на линию; эта функция называется функцией рассеяния линии (ФРЛ). Модуль преобразования Фурье от ФРЛ представляет собой модуляционную передаточную функцию МПФ (modulation transfer function - MTF), которая дает контраст изображения в функции пространственной частоты при исходном (на нулевой частоте) контрасте, paвном единице. МПФ также получают, измеряя контраст мир, уменьшающийся с ростом пространственной частоты. Hедостатком МПФ как критерия качества тепловизора является то, что эта функция определяет ослабление глубины модуляции безотносительно к уровню шумов.

. ОСНОВНЫЕ ХАРАКТЕРИСТИКИ ТЕПЛОВИЗОРОВ

Формат и частота смены изображений. Формат изображения в матричных тепловизорах при правильно подобранной оптике соответствует числу отдельных элементов в матрице. Например, если распространенный формат микроболометрических матриц 320 х 240 соответствует полю зрения 24 х 18°, то мгновенный угол зрения будет одним и тем же по обеим координатам: IFOV =24о/320=18о/240=4,5' = 1,3 мрад.

Пространственное разрешение в горизонтальном направлении составит 320 элементов на каждую из 240 строк.

В цифровом анализе изображений вводят число пикселей, которое в общем случае может быть больше, равно или меньше соответствующего числа сканируемых мгновенных углов зрения. Например, строчный сигнал, определяемый 320-ю мгновенными углами зрения, может быть оцифрован на 640 компьютерных пикселей. Однако такая операция будет искусственной, и реальное пространственное разрешение будет по-прежнему равно 320-ти различаемым элементам изображения.

Частота cмены изображений ffr (frame rate) определяется полным временем τSc, В течение которого анализируют поле зрения. Например, если выходной сигнал каждого матричного элемента сканируют электронным образом в течение 1/30 с, соответствующая частота смены изображений будет ffr=1τSc =30 Гц. В оптико-механических тепловизорах парамeтp ffr определяют аналогичным образом. В ранних моделях тепловизоров сканировали два поля зрения (чересстрочная развертка - interlacing fields), которые накладывали друг на друга, формируя полный кадр. Например, если поле зрения. состояшее из 70 линий, сканируется за 1/50 с, то полный кадр будет состоять из 140 линий, сканируемых за 1/25 с, Т.е. ffr=25Гц.

Последовательности ИК-изображений (термограмм) накапливают в аналоговой или цифровой форме. Аналоговую запись чаше всего выполняют в видео (телевизионном) формате, с использованием стандартных видеомагнитофонов, к которым непосредственно подключают тепловизоры, имеющие PAL, NTSC или SECAM выход. Согласование двух форматов (тепловизионного и телевизионного) производят с помощью встроенных буферных процессоров.

Цифровую запись можно производить с любой скоростью, определяемой типом тепловизора и скоростью аналого-цифрового преобразования (АЦП). Запись в реальном времени возможна, если АЦП осуществляют за время, меньшее времени анализа одного мгновенного угла зрения.

Современные компьютерные термографические системы позволяют записывать весьма длинные последовательности термограмм, число которых может превышать несколько тысяч. Запись осуществляют либо с максимальной скоростью, то есть накапливая все термограммы, или с фиксированным (регулируемым) интервалом, разделяющим две последовательные термограммы. Например, последовательность из 300 изображений, записанная с частотой 30 Гц, соответствует полному времени наблюдения 300/30 = 10 с, причем интервал времени между соседними термограммами равен 1/30 с. Увеличение интервала записи до 1 с приведет к удлинению времени наблюдения до 300 с.

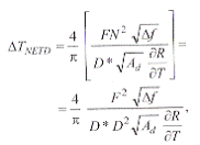
Температурное разрешение. Эквивалентная шуму разность температур. Эквивалентная шуму разность температур (Noise Equiva1ent Temperature Difference - NETD) является важной энергетической характеристикой тепловизоров, которую определяют как температурный сигнал ∆ТNETD эквивалентный уровню собственного шума фотоприёмника. Пусть температуру поверхности некоторой мишени Тref рассматриваемой в качестве эталонного излучателя, поддерживают на постоянном уровне. Тепловизор является электронным прибором, выходной сигнал которого можно характеризовать как электрическими, так и температурными единицами измерения. Обычно шум выражают в терминах стандартного отклонения температуры. Величину NETD определяют как изменение температуры ∆ТNETD, которому соответствует отношение сигнал/шум S, равное единице: S=1 (иногда ∆ТNETD принимают равным двум или трем стандартным отклонениям).

Величина NETD является типичной паспортной характеристикой тепловизоров, приводимая в следующем виде ∆ТNETD=0,07 ºС при температуре эталонного излучателя Тref =30ºС.. Этот же параметр часто называют температурным разрешением (resolution) тепловизора Тref .Для оценки конкретных тепловизоров рекомендована следующая формула определения ∆ТNETD.


где FN = F/D - показатель оптической системы; F - фокусное расстояние системы; D - эффективный диаметр оптической системы; /';.1 - полоса частот измеритель-

ного тракта; D * - обнаружительная способность фотоприемника; Ad -эффективная площадь чувствительного элемента; всё остальное - производная от функции Планка по температуре, отнесенная к единичному телесному углу.

Недостатком параметра ∆ТNETD в качестве критерия сравнения тепловизоров является то, что улучшение температурного разрешения за счет увеличения площади чувствительного элемента Ad сопровождается ухудшением пространственного разрешения IFOV.

Эта формула справедлива для случая так называемого реального фотоприемника, не ограниченного шумами фона. Шумы идеального приемника ограничены только флуктуациями потока регистрируемых фотонов. В этом случае формулу для предельной величины ∆ТNETD.

Минимальная разрешаемая разность температур. Минимальную разрешаемую разность температур(minimum res01vable temperature diffeгепсе - MRTD) определяют по эталонному излучателю (мире), образованному набором полос определенных толщины и температуры и рассматриваемому оператором в течение неопределенного времени. Таким образом, этот параметр отражает как пространственное, так и температурное разрешение тепловизора, но зависит от способностей оператора, его мотивации, влияния окружающей среды и т.п. Величину ∆TМRТD обычно усредняют по нескольким операторам.

Величина ∆TМRТD прямо пропорциональна ∆TNEТD и обратно пропорциональна модуляционной передаточной функции, определяя способность тепловизора различать детали теплового изображения. Параметр ∆TМRТD более субъективен по

сравнению с параметром ∆TNEТD.

Динамический диапазон сигнала.

Динамический диапазон ДД электронного устройства характеризует диапазон амплитуд сигналов между максимальным Umах и минимальным Umin значениями, которые передаются (анализируются) без искажений. Обычно ДД выражают в децибелах.

ДД=10logUmаx.

Например, если фото приемник регистрирует тепловой поток в интервале от 10-6 до 10-1 Вт, его ДД = 50 дБ, т.е. составляет 5 порядков.

В тепловизорах используют 8-, 12-, 14- или 16-битовое представление сигнала, что соответствует разбиению динамического диапазона на 28,212,214,216 уровней и определяет минимальный различаемый температурный сигнал.

СПИСОК ИСПОЛЬЗОВАННЫХ ИСТОЧНИКОВ

1.      Неразрушающий контроль. Справочное издание в 7 томах, том 5 Тепловой контроль; под ред Клюева В.В. - М., «Машиностроение» 2004, - 679 с.

Похожие работы на - Системы построения изображений в ИК-диапазоне

 

Не нашли материал для своей работы?
Поможем написать уникальную работу
Без плагиата!
Без нейросетей!