Определение толщины стенки цилиндрической обечайки вулканизационного котла
Министерство образования и науки Украины
ДОНЕЦКИЙ НАЦИОНАЛЬНЫЙ
ТЕХНИЧЕСКИЙ УНИВЕРСИТЕТ
КУРСОВАЯ РАБОТА
по дисциплине «Основы информатики»
«Определение толщины
стенки цилиндрической обечайки вулканизационного котла»
Студент группы ИМ-09з Факультета ИММ
Аленичев Алексей Валериевич
Исходные данные
|
№ п/п
|
Наименование
величины
|
Значение
|
|
1.
|
Длина обечайки,
мм
|
3000
|
|
2.
|
Внутренний
диаметр котла, мм
|
1000-2000 ∆D=100
|
|
3.
|
Рабочее
давление, МПа
|
1,0
|
|
4.
|
Температура
среды в котле, 0С
|
260
|
|
5.
|
Скорость коррозии,
мм/год
|
0,05
|
|
6.
|
Срок
эксплуатации, лет
|
15
|
|
7.
|
Материал котла
|
Ст10
|
Реферат
Объектом исследования является цилиндрическая обечайка
вулканизационного котла. Цель работы:
Разработка алгоритма и написание программы на языке Object Pascal, предназначенной для
расчета толщины стенки котла;
Расчет толщины стенки с помощью табличного редактора EXCEL; построение в EXCEL графика зависимости
толщины стенки от диаметра обечайки.
В пояснительной записке представлены блок-схема и описание
алгоритма расчета значений толщины стенки; текст программы и результаты ее
работы; график зависимости толщины стенки от диаметра обечайки.
Введение
Обечайка - открытый с торцов цилиндрический или конический
барабан (без днищ), являющийся заготовкой для паровых котлов, баков,
резервуаров и тому подобных листовых металлоконструкций. Обечайка получают
вальцовкой при толщине листа до 40 мм, гибкой и раскаткой - при большей толщине
листа. Замыкание стыка Обечайка с днищем под сварку или клепку производят с
помощью стяжных колец или в кондукторах.
Энциклопедический словарь Ф.А. Брокгауза и И.А. Ефрона.
Постановка
задачи
Поскольку вулканизационный котел (см. рис. 1.1) работает под
значительным внутренним давлением, определяющим фактором при его расчете
является прочность.
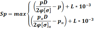
Расчетная толщина стенки цилиндрической обечайки определяется
по формуле:
где 
- коэффициент
прочности продольных сварных швов обечайки; для швов с двусторонним сплошным
проваром при автоматической сварке φ=1;

- допускаемые напряжения, принимают в рабочем состоянии 
,

- нормативные допускаемые напряжения; определяется по ГОСТу при
расчетной температуре (Таблица D.1);

- поправочный коэффициент (Таблица D.2);
допускаемые напряжения при гидравлических испытаниях принимают:

,
алгоритм программа рascal
где 
- минимальное значение предела текучести при
температуре +20оС (Таблица D.3).
Исполнительная толщина принимается с учетом конструктивной
прибавки
где 
;

- прибавка для компенсации коррозии и эрозии соответственно;

- прибавка для компенсации минусового допуска;

- технологическая прибавка (

принимаются равными нулю);

- прибавка на округление толщины стенки до ближайшего большего
значения, кратного 5мм (ГОСТ 19903-74);

- прибавка на коррозию,

- скорость коррозии, принимается не более 0.1 мм/год;

- нормативный срок эксплуатации аппарата.
Таблица 1 Рабочий лист с вычислениями

Таблица 2 Рабочий лист с формулами
Значение расчетной температуры стенки котла, определяется в
зависимости от температуры среды в котле: при положительных температурах t=max(tc;20oC), при отрицательных
температурах t=20oC, где tc - температура среды в
котле.
Пробное давление при гидравлических испытаниях:
где 
- при t=20oC (Таблица D.1).
Приведенные формулы справедливы для тонкостенных аппаратов, когда
выполняется условие (s-c)/D=<0.1, в противном случае необходимо пересчитать прочность по специальным
методикам.
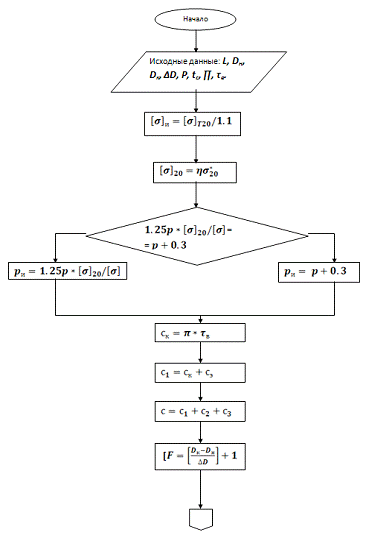
. Начало алгоритма
. Ввод исходных данных L, Dн, Dк, ΔD, P, tc, ∏, τв.
. Вычисление [σ]и.
. Определение [σ]20.
. Вычисление pи .
. Определение ск .
. Подсчет с1 .
. Расчет с.
. Подготовка к циклу по параметру D - присвоение D его начального значения.
. Вычисление F - числа повторений цикла.
. Заголовок цикла по параметру D.
. Вычисление расчетной толщины стенки цилиндрической
обечайки sp.
. Вычисление исполнительной толщины стенки
цилиндрической обечайки s.
. Определение необходимого условия.
. Вывод величин D, s, sp.
. Пересчет параметра D.
. Вывод графика зависимости s от D.
. Конец алгоритма.
Блок-схема
алгоритма

Характеристика
данных и их условные обозначения
|
№п/п
|
Наименование
данных
|
Обозначение в
блок-схеме
|
Обозначение в
программе
|
Тип переменной
|
|
1.
|
Длина обечайки
|
L
|
L
|
real
|
|
2.
|
Внутренний
диаметр котла
|
D
|
D
|
real
|
|
3.
|
Рабочее
давление
|
P
|
P
|
real
|
|
4.
|
Температура
среды в котле
|
tc
|
tc
|
real
|
|
5.
|
Скорость
коррозии
|
∏
|
pr
|
real
|
|
6.
|
Срок
эксплуатации
|
τв
|
tau
|
real
|
|
7.
|
Коэффициент
прочности продольных швов обечайки
|
Φ
|
phi
|
real
|
|
8.
|
Поправочный
коэффициент
|
η
|
eta
|
real
|
|
9.
|
Нормативное
допускаемое напряжение
|
σ*
|
san
(sigma)
|
real
|
|
10.
|
[σ]
|
sa
|
real
|
|
11.
|
прибавка для
компенсации коррозии и эрозии
|
c1
|
с1
|
real
|
|
12.
|
Прибавка для
компенсации минусового допуска
|
c2
|
с2
|
real
|
|
13.
|
Технологическая
прибавка
|
c3
|
с3
|
real
|
|
14.
|
Минимальное
значение предела текучести при t= +20o C
|
σт20
|
sat20
(sigma)
|
real
|
|
15.
|
Пробное
давление при гидравлическом испытании
|
pи
|
pt
(test)
|
real
|
|
16.
|
Допускаемые
напряжения при гидравлических испытаниях
|
[σ]и
|
sat
(sigma test)
|
real
|
|
17.
|
Допускаемое
напряжение при t=20оС
|
[σ]20
|
s20
(sigma)
|
real
|
|
18.
|
Прибавка для
компенсации коррозии
|
ск
|
ck
|
real
|
|
19.
|
Расчетная
толщина стенки цилиндрической обечайки
|
sp
|
sp
|
real
|
|
20.
|
Конструктивная
прибавка
|
с
|
c
|
real
|
|
21.
|
Исполнительная
толщина с учетом прибавки на округление
|
S
|
S
|
integer
|
|
22.
|
Исполнительная
толщина без учета прибавки на округление
|
s
|
sno
|
real
|
Текст
программы
unit Unit1;, Messages, SysUtils, Classes,
Graphics, Controls, Forms, Dialogs,, StdCtrls;= class(TForm): TMainMenu;:
TMenuItem;: TMenuItem;: TMenuItem;: TLabel;: TLabel;: TLabel;: TLabel;:
TLabel;: TLabel;_L: TEdit;_Dn: TEdit;_P: TEdit;_tc: TEdit;_pr: TEdit;_tau: TEdit;:
TComboBox;: TLabel;: TLabel;: TLabel;: TComboBox;: TEdit;: TComboBox;: TEdit;:
TComboBox;: TEdit;: TLabel;: TLabel;: TLabel;: TLabel;_Dk: TEdit;_hD:
TEdit;N3Click(Sender: TObject);FormCreate(Sender:
TObject);ComboBox2Change(Sender: TObject);ComboBox1Change(Sender:
TObject);ComboBox3Change(Sender: TObject);ComboBox4Change(Sender:
TObject);N1Click(Sender: TObject);N2Click(Sender: TObject);
{ Private declarations }
{ Public declarations };: TForm1;
{======Ввод таблицы D.1======}:array[1..16,1..3]of integer=
((140,130,147),
(134,125,142),
(131,122,139),
(120,112,132),
(108,100,119),
(98,88,106),
(93,82,98),
(85,74,92),
(81,70,86),
(75,66,80),
(0,62,75),
(0,56,67),
(0,51,61),
(0,47,55),
(0,42,49));m,n:integer;,masSp,MasS:array[1..100]
of real;
{======Ввод таблицы D.3======}:array[1..8,1..3]of integer=
((210,195,220),
(201,188,213),
(197,183,209),
(189,177,204),
(180,168,198),
(162,150,179),
(147,132,159),
(140,123,147));z,o,F,i :integer;Unit2;
{$R *.DFM}TForm1.N3Click(Sender: TObject);;TForm1.FormCreate(Sender:
TObject);
begin.Caption:= 'Таблица D.1:'+#13#10+ 'Нормативные
допускаемые напряжения '+#13#10+ 'для сталей sigma* (МПа)';.Caption:= 'Таблица
D.2:'+#13#10+ 'Значения поправочного коэффициента eta '+#13#10+ 'в зависимости
от вида заготовки ';.Caption:= 'Таблица D.3:'+#13#10+ 'Минимальное значение
предела текучески (sigma t, Мпа)'+#13#10+ 'углеродистых низколегированных
сталей* (МПа)';
end;TForm1.ComboBox1Change(Sender:
TObject);combobox1.ItemIndex of
:begin n:=1;o:=1;end;
:begin n:=2;o:=2;end;
:begin
n:=3;o:=3;end;;.Enabled:=True;.Enabled:=True;;TForm1.ComboBox2Change(Sender:
TObject);combobox2.ItemIndex of
: begin m:=1;Edit1.Text:=IntToStr
(Napr[m,n]);end;
: begin m:=2;Edit1.Text:=IntToStr
(Napr[m,n]);end;
: begin m:=3;Edit1.Text:=IntToStr
(Napr[m,n]);end;
: begin m:=4;Edit1.Text:=IntToStr
(Napr[m,n]);end;
: begin m:=5;Edit1.Text:=IntToStr
(Napr[m,n]);end;
: begin m:=6;Edit1.Text:=IntToStr
(Napr[m,n]);end;
: begin m:=7;Edit1.Text:=IntToStr
(Napr[m,n]);end;
: begin m:=8;Edit1.Text:=IntToStr
(Napr[m,n]);end;
: begin m:=9;Edit1.Text:=IntToStr
(Napr[m,n]);end;
: begin m:=10;Edit1.Text:=IntToStr
(Napr[m,n]);end;;;TForm1.ComboBox3Change(Sender: TObject);combobox3.ItemIndex
of
: Edit2.Text:='1';
: Edit2.Text:='0.8';
: Edit2.Text:='0.7';;;TForm1.ComboBox4Change(Sender:
TObject);combobox4.ItemIndex of
: begin z:=1;Edit3.Text:=IntToStr (Tek[z,o]);end;
: begin z:=2;Edit3.Text:=IntToStr (Tek[z,o]);end;
: begin z:=3;Edit3.Text:=IntToStr (Tek[z,o]);end;
: begin z:=4;Edit3.Text:=IntToStr (Tek[z,o]);end;
: begin z:=5;Edit3.Text:=IntToStr (Tek[z,o]);end;
: begin z:=6;Edit3.Text:=IntToStr (Tek[z,o]);end;
: begin z:=7;Edit3.Text:=IntToStr (Tek[z,o]);end;
: begin z:=8;Edit3.Text:=IntToStr (Tek[z,o]);end;
: begin z:=9;Edit3.Text:=IntToStr (Tek[z,o]);end;
: begin z:=10;Edit3.Text:=IntToStr
(Tek[z,o]);end;
: begin z:=11;Edit3.Text:=IntToStr
(Tek[z,o]);end;
: begin z:=12;Edit3.Text:=IntToStr
(Tek[z,o]);end;
: begin z:=13;Edit3.Text:=IntToStr
(Tek[z,o]);end;
: begin z:=14;Edit3.Text:=IntToStr
(Tek[z,o]);end;
: begin z:=15;Edit3.Text:=IntToStr
(Tek[z,o]);end;
: begin z:=16;Edit3.Text:=IntToStr
(Tek[z,o]);end;;;TForm1.N1Click(Sender: TObject);c2=0; c3=0; ce=0;
phi=1;L,D,P,tc,t,pr,tau,eta,san,sa,c1,sat20
:real;,sat,s20,ck,sp,c,s0,Dk,Dn,hD,sno :real;, b, s:integer;
{=====Ввод исходных данных======}:=StrToFloat (Form1.Edit_L.Text); //Длина обечайки
Dn:=StrToFloat (Edit_Dn.Text); //начальное значение Диаметра
обечайки:=StrToFloat (Edit_Dk.Text); //Конечное значение Диаметра
обечайки:=StrToFloat (Edit_hD.Text); //Шаг изменения значения Диаметра
обечайки:=StrToFloat (Edit_P.Text); //Рабочее давление:=StrToFloat
(Edit_tc.Text); //Температура среды в котле:=StrToFloat (Edit_pr.Text);
//Скорость коррозии:=StrToFloat (Edit_tau.Text); //Срок
эксплуатации:=StrToFloat (Edit1.Text); //Нормативное допускаемое напряжение
(Таблица D.1):=StrToFloat (Edit2.Text); //Поправочный коэффициент (Таблица
D.2):=StrToFloat (Edit3.Text); //Минимальное значение предела текучести при
t=+20 C
{======Начало вычислений=====}:=san*eta; //Допускаемые напряжения:=sat20/1.1;
//Минимальное значение предела текучести:=eta*san; //Допускаемое напряжение при
температуре 20 градусов цельсияtc>20 then t:=tc else t:=20; //Вычисление
температуры
if (((1.25*P*s20)/sa)>(P+0.3)) then
pt:=((1.25*P*s20)/sa) else pt:=(P+0.3);//Вычисление пробного
давления при гидравлическм испытании:=pr*tau; //Прибавка для компенсации
коррозии:=ck+ce; //Прибавка для компенсации коррозии и эррозии
соответственно:=c1+c2+c3; //Конструктивная прибавка
{============Вычисление расчетной и исполнительной толщины
стенки цилиндрической обечайки==========}:=trunc(((Dk)-(Dn))/hD)+1;
//Подготовка к циклу
for i:=1 to F
do:=Dn+(i-1)*hD;[i]:=D;(((p*D)/((2*phi*sa)-p)+L/1000))>((pt*D)/(2*phi*sat-pt)+L/1000)
then:=((p*D)/(2*phi*sa-p)+L/1000):=((pt*D)/(2*phi*sat-pt)+L/1000);[i]:=sp;:=sp+c;
{======Вычисление прибавки на
округление========}:=trunc(sno);
a:=b div 5;:=a*5+5;(s<a) and
(abs(s-a)>1E-6)s:=(a+1)*5;[i]:=s;1.Hide;.show;
{======Вывод Диаметра обечайки и соответствующих=====}
{=======ему расчетной и исполнительной толщины=======}
{==========стенки цилиндрической обечайки============}
Form2.Memo1.Lines.Add ('D='+formatfloat('##0.',D)+
' sp='+formatfloat('##0.00',sp)+
' s='+formatfloat('##0.00',s));
end;
{======Проверка условия========}
if ((s-c)/D)<=0.1
then Form2.Edit_usl.Text:='Условие выполняется'
Form2.Edit_usl.Text:='Условие не выполняется';
{======Вывод
данных========}.Edit_sat.Text:=formatfloat('##0.00',sat); //Допускаемое
напряжение при гидравлических испытаниях.Edit_s20.Text:=FloatToStr(s20);
//Допускаемое напряжение при t=20оС.Edit_ck.Text:=FloatToStr(ck); //Прибавка
для компенсации коррозии.Edit_pt.Text:=formatfloat('##0.00',pt); //Пробное
давление при гидравлическом испытании.Edit_c1.Text:=FloatToStr(c1); //Прибавка
для компенсации коррозии и эррозии.Edit_c.Text:=FloatToStr(c); //Конструктивная
прибавка
end;TForm1.N2Click(Sender:
TObject);_L.Clear;_Dn.Clear;_Dk.Clear;_hD.Clear;_P.Clear;_tc.Clear;_pr.Clear;_tau.Clear;.Clear;.Clear;.Clear;;.Unit2;,
Messages, SysUtils, Classes, Graphics, Controls, Forms, Dialogs,, Grids, Menus,
ShellAPI;= class(TForm): TLabel;: TLabel;: TLabel;: TLabel;: TLabel;: TLabel;:
TLabel;_sat: TEdit;_s20: TEdit;_ck: TEdit;_pt: TEdit;_c1: TEdit;_c: TEdit;_usl:
TEdit;: TMainMenu;: TMenuItem;: TMenuItem;: TMenuItem;: TMemo;: TSaveDialog;:
TButton;N2Click(Sender: TObject);FormCreate(Sender: TObject);N1Click(Sender:
TObject);j1Click(Sender: TObject);Button1Click(Sender: TObject);
{ Private declarations }
{ Public declarations };: TForm2;Unit1;
{$R *.DFM}TForm2.N2Click(Sender:
TObject);;TForm2.FormCreate(Sender: TObject);.Caption:= 'Допускаемые напряжения'+#13#10+ 'при гидравлических'+#13#10+ 'испытаниях (sigma test)'
;
Label16.Caption:= 'Допускаемое'+#13#10+ 'напряжение'+#13#10+
'при t=20 С ([sigma]20)';.Caption:= 'Прибавка'+#13#10+ 'для
компенсации'+#13#10+ 'коррозии (ck)';.Caption:= 'Пробное давление'+#13#10+ 'при
гидравлических'+#13#10+ 'испытаниях (pt)';
end;TForm2.N1Click(Sender:
TObject);.Hide;.show;.Edit_L.Clear;.Edit_Dn.Clear;.Edit_Dk.Clear;.Edit_hD.Clear;.Edit_P.Clear;.Edit_tc.Clear;.Edit_pr.Clear;.Edit_tau.Clear;.Edit1.Clear;.Edit2.Clear;1.Edit3.Clear;;
{Процедура сохранения результатов в текствовый документ}
procedure TForm2.j1Click(Sender:
TObject);ff:textfile; i:byte;SaveDialog1.Execute then(ff,
SaveDialog1.Filename);(ff);(ff,'|-----------------------------------------------------------------|');(ff,'|Диаметр | Расчетная толщина стенки | Исполнительная толщина
|');(ff,'|-----------------------------------------------------------------|');i:=1
to Unit1.F do(ff,'| ',Unit1.MasD[i]:4:0,' | ',Unit1.masSp[i]:5:2,' | ',
Unit1.masS[i]:2:0,'
|');(ff,'|-----------------------------------------------------------------|');(ff)Showmessage
('Не выбран файл');;
{====Показ графика====}TForm2.Button1Click(Sender:
TObject);(Handle, nil,'График.jpg',nil, nil, SW_Restore);
end;.
Описание
работы программы
Взаимодействие пользователя и программы осуществляется
следующим образом.
. На экран выводится окно для ввода исходных данных.
. В нем необходимо
ввести исходные значения входных параметров:. Длину обечайки (L),. Диаметр обечайки (D),. Рабочее давление (P),. Температуру среды в котле (tc),. Скорость коррозии(∏),. Срок
эксплуатации (τв),. Материал
котла,. Расчетную температуру стенки котла,. Вид заготовки.
. Для
вычисления результата необходимо нажать кнопку «Выполнить».
. Появляется
новое окно, в котором выводятся вычисленные значения следующих параметров:. Допускаемые
напряжения при гидравлических испытаниях ([σ]и),. Допускаемое напряжение при
t=20оС ([σ]20),. Прибавка
для компенсации коррозии (ск),. Пробное давление при гидравлическом
испытании (pи),. Прибавка для компенсации коррозии и эрозии (c1),. Конструктивная
прибавка (с),. Необходимое условие.
. Кнопка
«Очистить» очищает поля ввода исходных параметров и вывода результатов.
. Кнопка
«Назад» во втором окне возвращает на экран первое окно и очищает все введенные
поля.
. Кнопка
«Сохранить» во втором окне открывает диалог сохранения файла, в который
сохранятся основные полученные данные.
. Кнопка
«Показать график» открывает график зависимости переменного параметра D от толщины стенки S.
. Кнопка
«Выход» завершает работу программы.

График
зависимости
Анализ
результатов
Для сравнения результатов работы программы с результатами
контрольного просчета составим сравнительную таблицу значений:
|
Название
параметра
|
Единица
измерения
|
Значение в
программе
|
Значение в
контрольном примере
|
Ячейка
(диапазон ячеек рабочего листа)
|
|
Допускаемые
напряжения при гидравлических испытаниях ([σ]и),
|
МПа
|
177.27
|
177.27
|
C16
|
|
Допускаемое
напряжение при t=20оС ([σ]20),
|
МПа
|
100
|
100
|
D16
|
|
Прибавка для
компенсации коррозии (ск)
|
мм
|
0.75
|
0.75
|
E16
|
|
Пробное
давление при гидравлическом испытании (pи)
|
МПа
|
1.30
|
1.30
|
B16
|
|
Прибавка для
компенсации коррозии и эрозии (c1)
|
|
0.75
|
0.75
|
N6
|
|
Конструктивная
прибавка (с)
|
мм
|
0.75
|
0.75
|
G16
|
|
Диаметр
обечайки (D)
|
мм
|
1000
|
1000
|
A16-A26
|
|
Расчетная
толщина стенки цилиндрической обечайки (Sp)
|
мм
|
8.03
|
F16-F26
|
|
Исполнительная
толщина стенки цилиндрической обечайки (S0)
|
мм
|
10.00
|
10.00
|
H16-H26
|
Таблица показывает совпадение результатов расчета и тем самым
подтверждает правильность работы программы.
Программный
интерфейс
Рисунок 1 Окно вывода результатов
Рисунок 2 Окно ввода исходных данных
Заключение
В ходе этой курсовой работы я научился очень многому.
Например, я узнал, как можно вставлять в программе изображения, выводить
результаты вычислений в текстовый файл, научился использовать такую функцию как
StringGrid и т.д. и т.п. Помимо
самой программной части я узнал многое и о редакторе таблиц Excel. Например, научился
строить график зависимости, показывать в ячейках формулы вместо полученных
значений. Новое я нашел даже в самой операционной системе. К примеру, при
создании изображений для пояснительной записки я расширил знания о такой,
казалось бы, элементарной функции как PrintScreen.
В общем, я могу с уверенностью сказать, что эта работа не
была бесполезной для меня. И я точно запомню ее на всю жизнь.
Список используемой литературы
1. <http://delphisite.ru/faq/diagnosticheskie-soobshcheniya-kompilyatora-delphi>
- Диагностические сообщения компилятора Delphi
. Методические
указания и задания к курсовой работе по дисциплине «Основы информатики» Авторы:
Д.В. Бельков, С.П. Веретельник, О.М. Копытова, О.Э. Толкачев.
. Нил Дж.
Рубенкинг. Язык программирования Delphi для «чайников». Введение в Borland
Delphi 2006
Приложения
Таблица
1
Нормативные допускаемые напряжения σ*(МПа) для сталей
|
Расчетная
температура стенки
|
Углеродистые и
низколегированные стали
|
|
ВСт3пс, ВСт3сп,
ВСт3Гпс
|
10
|
20, 20К
|
|
20
|
140
|
130
|
147
|
|
100
|
134
|
125
|
142
|
|
150
|
131
|
122
|
139
|
|
200
|
126
|
118
|
136
|
|
250
|
120
|
112
|
132
|
|
300
|
108
|
100
|
119
|
|
350
|
98
|
88
|
106
|
|
375
|
93
|
82
|
98
|
|
400
|
85
|
74
|
92
|
|
410
|
81
|
70
|
86
|
|
420
|
75
|
66
|
80
|
|
430
|
-
|
75
|
|
440
|
-
|
56
|
67
|
|
450
|
-
|
51
|
61
|
|
460
|
-
|
47
|
55
|
|
470
|
-
|
42
|
49
|
Таблица
2
Значение поправочного коэффициента η в зависимости от вида заготовки
|
Вид заготовки
|
η
|
|
Листовой прокат
|
1.0
|
|
Отливки,
подвергающиеся индивидуальному контролю неразрушающими методами
|
0.8
|
|
Отливки, не
подвергающиеся индивидуальному контролю
|
0.7
|
Таблица 3
Минимальное значение предела текучести (σт, МПа) углеродистых и низколегированных сталей
|
Температура t, оС
|
Марка стали
|
|
ВСт3
|
10
|
20, 20К
|
|
20
|
210
|
195
|
220
|
|
100
|
201
|
188
|
213
|
|
150
|
197
|
183
|
209
|
|
200
|
189
|
177
|
204
|
|
250
|
180
|
168
|
198
|
|
300
|
162
|
150
|
179
|
|
350
|
147
|
132
|
159
|
|
375
|
140
|
123
|
147
|