Показатели эффективности производства предприятия
Содержание
Исходные данные
. Оценка изменения производительности труда
. Расчет показателей использования основных производственных
фондов
. Расчет показателей использования оборотных средств
. Расчет себестоимости СМР
. Расчет прибыли, остающейся в распоряжении предприятия
. Количественная оценка факторов, влияющих на величину прибыли
от реализации продукции
. Оценка уровней рентабельности производства и капитала
. Количественная оценка факторов, влияющих на уровень
рентабельности капитала
Заключение
себестоимость рентабельность
производственный фонд
Исходные данные
Число дней отработанных
одним рабочим в отчетном году 
, 
Время работы в течении
смены в отчетном году 
, 
Коэффициент роста
среднемесячной зарплаты работников в плановом году K=0,1
Таблица 1 Постоянные
параметры
|
|
|
|
|
|
|
|
|
|
73
|
5,3
|
840
|
470
|
710
|
300
|
40
|
9
|
Таблица 2 Переменные
параметры
|
|
|
|
|
|
|
|
|
|
|
|
|
53720
|
1139
|
1190
|
833
|
918
|
21080
|
17680
|
6290
|
11050
|
13260
|
571,2
|
1.
Оценка изменения производительности труда
В соответствии
с исходными данными определяем:
а) объем
выполняемых CMP в договорных ценах на планируемый год 
:

(1.1)
б) Среднесписочная численность
работников строительно-производственного персонала (СПП) в планируемом году 
:

(1.2)

(1.3)
Тогда производительность
труда в планируемом (
) и
отчетном (
):

(1.4)

(1.5)
где 
, 
-
среднесписочная фактическая численность работников СПП соответственно в планируемом
и отчетном годах.
Далее определяем
изменение объема СМР за счет двух факторов:
изменение производительности
труда 
:

(1.6)
изменение численности
работников СПП 
:

(1.7)
В планируемом году
изменение объема выполненных СМР при изменении численности работников СПП
примерно в 2,5 раза выше чем при изменении производительности труда.
Для обеспечения
роста производительности труда в планируемом году необходимо проанализировать показатель
среднегодовой выработки одного работника СПП в отчетном году.
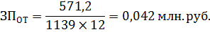
Оцениваем влияние
изменения структуры численности работников СПП на величину отчетного показателя
производительности труда ∆ ВУ руб./чел. в абсолютном выражении
по формуле:

(1.8)
где: 
, 
-
среднегодовая численность рабочих на СМР в отчетном году соответственно фактическая
и плановая;

, 
-
среднегодовая численность СПП в отчетном году соответственно фактическая и плановая;

-
плановое число дней выходов на работу одним среднесписочным рабочим;

- планируемое время работы
рабочих в течение смены с учетом предусматриваемого снижения внутрисменных потерь
рабочего времени, ч.;

- средняя часовая
выработка рабочего на СМР в отчетном году по плану, руб./час.
Величину 
рассчитываем по
формуле:

(1.9)
где 
- среднегодовая
выработка одного работника СПП в отчетном году по плану, руб./чел.
Величину 
рассчитываем по
формуле:

(1.10)
Рост производительности
труда Тв, при этом вычисляем по формуле:

(1.11)
В планируемом году
ожидается рост производительности труда в 1,02 раза, однако среднегодовая
выработка одного работника СПП в отчетном году по плану уменьшится.
2. Расчет показателей
использования основных производственных фондов
Для измерения
уровня эффективности использования основных производственных фондов применяется
показатель фондоотдачи определяемый отношением сметной годовой стоимости объема
СМР к среднегодовой стоимости основных производственных фондов. Для оценки уровня
оснащенности ОПФ и их технического состояния применяются показатели фондоемкости
производства (стоимость ОПФ в расчете на единицу выполненных СМР) и фондовооруженность
(величина стоимости ОПФ в расчете на одного работника). Для планируемого и отчетного
(предшествующего планируемому) годов рассчитываем следующие показатели использования
основных производственных фондов (ОПФ):
) Фондоотдача,
Фотд,

(2.1)
где: 
-
объем СМР в договорных ценах, выполняемый собственными силами; Фосн - среднегодовая
стоимость ОПФ строительного назначения.
Для планируемого
года Фосн определяется как среднеарифметическая величина стоимости ОПФ на начало
года и на конец года.
Стоимость ОПФ
на конец планируемого года определяем из выражения:

(2.2)
Тогда среднегодовая
стоимость ОПФ в планируемом году определяем по формуле:

(2.3)
2) Фондоемкость
строительной продукции Фемк:

(2.4)
3) Фондовооруженность
труда Фв,
:

(2.5)
где: YР - среднегодовая численность рабочих на
СМР.
Рассчитываем 
для планового
года по формулам (1.2), (1.3):
) Производительность
труда (выработка) одного рабочего, занятого, на СМР Пт, руб./чел. рассчитываем по
формуле:

(2.6)
Показатели использования
ОПФ строительного назначения заносим в таблицу и подсчитываем изменения показателей
за год в процентах (+ - увеличение, - - уменьшение).
Таблица 3
- Показатели использования ОПФ
|
Показатели, Год
|
Фотд, млн.руб
|
Фемк, млн.руб
|
Фв, млн.руб./чел.
|
Пт, млн.руб./чел.
|
2,86
|
0,35
|
23
|
65,7
|
|
Отчетный
|
2,55
|
0,4
|
25,3
|
64,5
|
|
Процент изменения
|
12,2%
|
-10,3%
|
-9,1%
|
1,9%
|
Рост фондоотдачи на 12,2% влечет за собой
экономию общественного труда, так как при увеличении выпуска продукции на единицу
основного капитала изменяется не только соотношение между частями живого и
овеществленного труда в единице произведенной продукции, но и сокращаются общие
затраты на ее производство. Уменьшение фондоемкости на 10,3%, в свою очередь,
указывает на опережающий темп роста объема производства, что означает более
эффективное использование капитала. Уменьшение фондовооруженности труда на 9,1%
потребует вовлечения дополнительных затрат на увеличение степени вооруженности
рабочих основными производственными фондами. Рост производительности труда на
1,9% позволит сэкономить затраты труда (рабочего времени) на изготовление
единицы продукции или дополнительное количество произведенной продукции в
единицу времени, что непосредственно повлияет на повышение эффективности
производства.
Далее определяем
величину увеличения объема выполняемых собственными силами СМР за счет следующих
факторов:
• изменения
уровня фондоотдачи ( ∆Оотд):

(2.7)
• изменения
стоимости ОПФ, используемых при выполнении CMP
(∆Ост):

(2.8)
Из расчетов видно, что в планируемом
году, можно увеличить объем СМР за счет увеличения уровня фондоотдачи, и
уменьшения стоимости ОПФ, используемых при выполнении СМР.
Увеличение фондоотдачи положительно сказывается на темпах роста производства,
и наоборот, снижение фондоотдачи указывает о замедлении развития предприятия. Рост
фондоотдачи обычно достигается за счет укрупнения организации, повышения уровня
специализации, уровня сборности строительства, улучшение структуры основных фондов,
упорядочения системы и пропорции их расширенного воспроизводства, совершенствования
организационных форм управления строительством.
3. Расчет показателей
использования оборотных средств
Оборотные средства представляют собой совокупность денежных средств,
вложенные в оборотные фонды и фонды обращения.
Для планируемого
и отчетного года рассчитываем следующие показатели использования оборотных средств
(ФОБ):
1) Продолжительность оборота средств
t:
(3.1)
где ФОБ
- средний размер оборотных средств; Т- период, за который определяется оборачиваемость
оборотных средств (365 дней);
2) Коэффициент загрузки средств
в обороте (оборотная фондоемкость продукции) Кз:

(3.2)
3) Коэффициент оборачиваемости средств
(Ков):

(3.3)
Показатели использования
оборотных средств заносим в таблицу и подсчитываем изменения показателей за год
в процентах:
Таблица 4
- Показатели использования оборотных средств
|
Показатели Год
|
t, дни
|
Кз
|
КОБ
|
|
Планируемый
|
84
|
0,23
|
4,35
|
|
Отчетный
|
75
|
0,2
|
4,87
|
|
Процент изменения
|
12%
|
15%
|
-10,7%
|
В планируемом году произойдет
увеличение продолжительности оборота средств на 12% за счет увеличения коэффициента загрузки средств, что приведёт к менее эффективному
их использованию. В то же время за счет уменьшения коэффициента оборачиваемости
средств увеличится производство работ. Далее количественно оцениваем факторы,
влияющие на изменение потребности в средствах в планируемом году.
Общее изменение размера оборотных
средств ∆ ФОБ.

(3.4)
Положительное изменение размера
оборотных средств свидетельствует о дополнительном вовлечение средств в оборот.
Изменение размера
средств, обусловленное изменением скорости их оборота 
, руб., можно определить
из выражения:

(3.5)
где t -
продолжительность оборота средств за сравниваемые периоды.
Изменение размера
оборотных средств, обусловленное изменением объема выполняемых СМР
,руб., можно определить
по формуле:

(3.6)

Увеличение оборотных
средств на 806 млн.руб. связано с увеличением объема выполняемых СМР, которое
требует дополнительного вовлечения оборотных средств.
Кроме того, увеличение
оборота капитала приведет к большей загрузки суммы, достаточной для выполнения
больших объемов СМР.
4.
Расчет себестоимости СМР
Расчет себестоимости выполняемых СМР производим в следующей последовательности.
) Определяемя
материальные затраты путем умножения объема СМР в договорных ценах на удельный вес
(долю) материальных затрат в объеме СМР в отчетном году.

(4.1)
) Определяются
отчисления на социальные нужды в планируемом году (ОСН):

, (4.2)
где Н
- суммарный (38,5%) норматив обязательных отчислений в:
• пенсионный
фонд Российской Федерации (28%);
• фонд
социального страхования (5,4%);
• государственный
фонд занятости населения Российской Федерации (1,5%);
• фонд
обязательного медицинского страхования работников (3,6 %);
Для планового
года сначала рассчитываем среднемесячную зарплату одного работника СПП на базе
среднемесячной зарплате одного работника СПП в отчетном году (ЗПпл):

, (4.3)
где К
- коэффициент изменения среднемесячной зарплаты одного работника СПП в планируемом
году.
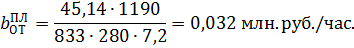
Для отчетного
года среднемесячная зарплата (ЗПОТ) определяем путем деления суммы выплат
всем работников СПП в отчетном году (Фот ) на численность работников СПП в этом
году( Yот) и число месяцев в году:
(4.4)
Теперь подсчитываем
фонд оплаты труда СПП в плановом году ФОТпл:

(4.5)
) Затраты
на производство СМР по элементу "Амортизация основных фондов"
определяем исходя из среднегодовой стоимость основных фондов, на которые
начисляется амортизация, и средней нормы амортизационных отчислений HA. Последняя рассчитывается исходя из
плановой структуры ОПФ и утвержденных норм амортизации по отдельным группам ОПФ
(принимается условно равной 12,5 %):

(4.6)
) Определяем
прочие затраты путем умножения объема СМР в договорных ценах на планируемый год
на удельный вес (долю) ПЗ в объеме СМР отчетного года:

(4.7)
Результаты расчета
сводим в таблицу 5 и подсчитываем полную себестоимость в соответствии со всеми расходами:
Таблица 5
- Себестоимость выполняемых СМР
|
Отчетный год
|
Планируемый год
|
|
млн. руб.
|
% к итогу
|
млн. руб.
|
% к итогу
|
|
1. материальные затраты
|
21488
|
72,23
|
23056,62
|
72,78
|
|
2. затраты на оплату труда
|
571,2
|
1,92
|
659,74
|
2,08
|
|
3. отчисления на социальные нужды
|
220
|
0,74
|
254
|
0,8
|
|
4. амортизация основных фондов
|
2635
|
8,86
|
2521,25
|
7,96
|
|
5. прочие затраты
|
4834,8
|
16,25
|
5187,74
|
|
Полная себестоимость СМР
|
29749
|
100
|
31679,35
|
100
|
По полученным результатам сделаем
вывод:
В планируемом году в отличие от
отчетного происходят изменения:
За счет увеличения объема
выполняемых СМР увеличились материальные затраты, затраты на оплату труда,
отчисления на социальные нужны и прочие затраты. Амортизация основных фондов
уменьшилась за счет уменьшения износа стоимости основных фондов. В целом
себестоимость увеличилась за счет увеличения прямых затрат, связанных с производством
работ, которые можно прямо и непосредственно включать в себестоимость конкретных
объектов.
5. Расчет прибыли, остающейся
в распоряжении предприятия
Для определения
прибыли, остающейся в распоряжении предприятия (Пост), необходимо рассчитывать облагаемую
налогом прибыль, которая определяется исходя из валовой прибыли Пв, отчетном году:

(5.1)
где ПР
- прибыль от реализации продукции (работ, услуг), основных фондов, иного имущества
строительной организации; ДВН - доходы от внереализационных операций;
РВН - расходы по внереализационным операциям.
При этом
прибыль от реализации продукции ПР определяются по формуле:

(5.2)
Далее определяется
налогооблагаемая прибыль Пн:

(5.3)
где ДОСВ -
доходы (расходы) по видам деятельности, освобожденные от налогообложения или
облагаемые в особом порядке; ИБВ - стоимость основных фондов,
товаров и другого имущества, безвозмездно полученных от других предприятий (ИБВ
=0) .
К доходам освобождаемым
от налогообложения или облагаемым в особом порядке относятся:
• сумма пошлин, не
подлежащая налогообложению в соответствии с действующими налоговыми льготами;
• рентные платежи
(например, налог на имущество организации);
• доходы полученные по
ценным бумагам;
• доходы от долевого
участия в других предприятиях, созданных на территории РФ.
Тогда прибыль,
остающаяся в распоряжении организации (Пост), определится следующим образом:

(5.4)
где НП -
действующая ставка налога на прибыль (с 12.2009 г. равная 20 %).
6.
Количественная оценка факторов, влияющих на величину прибыли от реализации продукции.
Основными факторами, влияющими на размер прибыли от реализации продукции, являются:
объем выручки
от реализации продукции ОДЦ;
уровень себестоимости продукции. ∆Пс.
Прибыль может увеличиться (уменьшиться) в результате увеличения (уменьшения)
объема производства продукции (работ, услуг).
Изменение прибыли за счет увеличения (снижения) объема производства (∆По)
рассчитаем по формуле:

(6.1)
где ԑ
- удельный вес (доля) прибыли от реализации продукции в величине выручки от реализации
продукции в отчетном году, %.

(6.2)
Среди всего
многообразия причин, влияющих на изменение величины прибыли, ведущая роль принадлежит
себестоимости продукции. Изменение прибыли в результате изменения себестоимости
продукции определено по формуле:

(6.3)
где Сот,
Спл - себестоимость продукции соответственно в отчетном и планируемом годах.
Общее изменение
прибыли от реализации продукции ∆П рассчитываем как сумму прироста по каждому
фактору:

(6.4)
Таблица 6
- Показатели прибыльности предприятия
|
№
|
Показатели
|
Обозн.
|
Отчетный год
|
Планируемый год
|
|
1
|
Объем выполняемых собственными силами СМР млн. руб.
|
|
53720
|
57641,56
|
|
2
|
Себестоимость продукции, млн. руб.
|
|
29749
|
31679,35
|
|
3
|
Прибыль от реализации продукции, млн. руб.
|
|
23971
|
25962,13
|
|
4
|
|
44,62
|
-
|
|
5
|
Изменение прибыли, всего, млн. руб. в т.ч. за счет:
|
|
-
|
1991,13
|
|
5.1
|
изменения объема производства, млн. руб.
|
|
-
|
1749,8
|
|
5.2
|
изменения себестоимости продукции, млн.руб.
|
|
-
|
241,33
|
В результате увеличения объема
производства, происходит увеличение общей прибыли предприятия за счет
увеличения себестоимости продукции, соответственно и за счет увеличения объема
выручки от реализации продукции.
7. Оценка уровни рентабельности
производства и капитала
Рентабельность - показатель эффективности производства, отражающий конечные результаты
хозяйственной деятельности предприятия, организации. Определяется путем сопоставления
результата производства с затраченными ресурсами (основной и оборотный капитал).
Это относительный показатель, который характеризует прибыльность предприятия.
Для отчетного
и планируемого годов рассчитываются следующие показатели рентабельности:
. Рентабельность продукции по отношению к объему производства Rо, %:

(7.1)
2. Рентабельность продукции по отношению
к себестоимости продукции Rc, %:

(7.2)
3. Рентабельность фондов (капитала)
Rк, %:
(7.3)
Таблица 7 - Рентабельность капитала
|
№
|
Показатели
|
Обозначение
|
Отчетный год
|
Планируемый год
|
|
1
|
Рентабельность продукции по отношению к объему производства
|
Ro
|
44,62
|
45,04
|
|
2
|
Рентабельность продукции по отношению к себестоимости
продукции
|
Rс
|
80,58
|
81,95
|
|
3
|
Среднегодовая стоимость ОПФ
|
Фосн
|
21080
|
20170
|
|
4
|
Средний размер оборотных средств
|
ФОБ
|
11050
|
13260
|
|
5
|
Общая сумма капитала
|
Фосн+ФОБ
|
32130
|
33430
|
|
6
|
Рентабельность фондов (капитала)
|
Rк
|
74,6
|
77,7
8. Количественная оценка
факторов, влияющих на уровень рентабельности капитала
Капитал в данном случае представляет
собой сумму основных фондов и оборотных средств.
Эффективность использования капитала
характеризуется его рентабельностью:
(8.1)
Данная формула показывает, что уровень рентабельности капитала находится в
прямой зависимости от уровня прибыли на 1 рубль выручки, фондоотдачи и скорости
оборота оборотных средств.
Влияние указанных факторов на уровень рентабельности капитала определяют с
помощью приема цепных подстановок. Расчеты выполняются в следующей
последовательности:
1. Оценивается влияние на Rк изменения размера прибыли
на 1 рубль выручки:
(8.2)
. Оценивается влияние на Rк
изменения уровня фондоотдачи:
(8.3)
3. Оценивается
влияние на Rк изменения коэффициента оборачиваемости оборотных средств:
(8.4)
Данные для анализа рентабельности капитала строительной организации
заносим в таблицу 8.
Таблица 8 - Факторы, влияющие на
рентабельность капитала
|
Показатели
|
Обозн.
|
Отчетный год
|
Планируемый год
|
Изменения
|
|
Прибыль от реализации СМР заказчику млн. руб.
|
ПР
|
23971
|
25962,2
|
8,3%
|
|
Выручка от реализации СМР заказчику млн, руб.
|
ОДЦ
|
53720
|
57641,6
|
7,3%
|
|
Рентабельность продукции В
|
RO
|
44,62
|
45,04
|
0,94%
|
|
Уровень рентабельности капитала, %
|
RK
|
74,6
|
77,7
|
4,16%
|
|
Фондоотдача ОПФ
|
Фотд
|
2,55
|
2,86
|
12%
|
|
Коэффициент оборачиваемости ОС
|
КОБ
|
4,87
|
4,35
|
-10,7%
|
Сделаем выводы:
Увеличение размера прибыли на 1
рубль выручки на 8% повлияло на увеличение рентабельности капитала на 0,7%;
увеличение уровня фондоотдачи на 12%
повлияло на увеличение рентабельности капитала на 5,3%;
уменьшение коэффициента оборачиваемости
оборотных средств на 10,7% повлияло на уменьшение рентабельности капитала на
2,9%.
Заключение
себестоимость рентабельность
производственный фонд
При выполнении курсовой работы
ознакомились с важнейшими показателями эффективности производства: частными и
общими показателями эффективности использования основных фондов предприятия;
оборачиваемости средств - абсолютными и относительными; структурой
себестоимости выполняемых работ; прибыльностью производства и рентабельностью.
Так например, было изучено, что для
измерения уровня эффективности использования основных производственных фондов
применяется показатель фондоотдачи определяемый отношением сметной годовой
стоимости объема СМР к среднегодовой стоимости основных производственных
фондов. Для оценки уровня оснащенности ОПФ и их технического состояния
применяются показатели фондоемкости производства (стоимость ОПФ в расчете на
единицу выполненных СМР) и фондовооруженность (величина стоимости ОПФ в расчете
на одного работника).
Увеличение фондоотдачи положительно
сказывается на темпах роста производства, и наоборот, снижение фондоотдачи
указывает о замедлении развития предприятия. Рост фондоотдачи обычно
достигается за счет, укрупнения организации, повышения уровня специализации,
уровня сборности строительства, улучшение структуры основных фондов,
упорядочения системы и пропорции их расширенного воспроизводства,
совершенствования организационных форм управления строительством.
Все издержки в зависимости от
способов их включения в себестоимость работ подразделяются на прямые и
накладные (косвенные). Наибольшую часть издержек строительного производства
составляют прямые затраты, определяемые на основании объема работ,
предусмотренного сметой, и сметных норм и расценок. Под прямыми затратами
подразумевают расходы, связанные с производством строительных работ, которые
можно прямо и непосредственно включать в себестоимость конкретных строительных
объектов.
В ходе работы были приобретены
навыки оценки и анализа выше перечисленных показателей, определения основных
факторов, влияющие на их изменения и поиска возможных резервов для роста и
развития предприятия.
В результате мы можно прийти к
выводу, что в планируемом году рентабельность предприятия повыситься, в
следствие чего увеличиться прибыль от реализации продукции, которую можно
вложить для развития самого предприятия и для обеспечения конкурентоспособности
этой продукции.
Похожие работы на - Показатели эффективности производства предприятия
|