|
Название
|
Количество
приборов
|
Тип
|
Способ
включения
|
Пределы
измерения
|
|
Амперметр
|
1
|
Д-1500
|
ТА
|
0-200
А
|
|
Вольтметр
|
1
|
Д-1500
|
1,5
|
0-450
В
|
Внешний вид приборов, для монтажа в секции ГРЩ


Синхроноскоп Амперметр Частотомер

Фазометр Ваттметр
.3 Расчёт надёжности системы генерирования
Надёжность - это свойство технического объекта
(изделия) сохранять свои параметры в заданных условиях эксплуатации.
Структурная схема системы генерирования приведена на рисунке 3.2.
Рисунок 3.2 - Схема генерирования
- интенсивность отказа генераторов;
- интенсивность отказа автоматов.
Принимаю срок службы t = 10000
часов, тогда для ветвей схемы генерирования:
Вероятность безотказной работы:
Время безотказной работы:
часов
За заданный срок службы 10000 часов
данная система генерирования будет безотказно работать 9006 часов.
4. Автоматизация СЭЭС
4.1 История развития систем автоматического
управления (АСУ)
Все современные суда в соответствии с
требованиями правил Регистра и зарубежных классификационных обществ должны
оснащаться системами автоматизации технических средств.
Успехи, достигнутые в вопросах судовой
электроавтоматики, позволили в 70-х годах осуществить переход от автоматизации
отдельных судовых механизмов и рабочих процессов к комплексной автоматизации
судов, базирующихся на новейших элементах с применением достижений технической
кибернетики. Первым отечественным таким опытом стал комплекс «Лиман»,
установленный в 1970 г. на дизельном сухогрузном судне «Светлогорск». В
1970-1976 гг. на основе опыта создания и эксплуатации комплекса «Лиман» были
разработаны четыре базовые САУ, составившие первое поколение систем комплексной
автоматизации судов: «Залив» - для теплоходов; «Пролив» - для паротурбинных
судов; «Тропик» - для газотурбинных; «Север» - для атомных ледоколов.
На судах широкое распространение получают
вычислительная техника, микропроцессоры и микро ЭВМ, что позволило функции
управления и контроля рационально распределить между человеком-оператором и
средствами автоматики. В 1971 г. в мире насчитывалось около 50 судов с ЭВМ на
борту, в 1972 г. - около 100, в 1973 г. - более 150, в 1975 г. - около 170
судов. К концу 1982 г. только устройства вычисления загрузки и контроля
остойчивости судна, выпущенные шведской фирмой «Kockumation
AB», были установлены
более чем на 5000 судах. Область применения микропроцессорных средств
вычислительной техники на современных судах весьма обширна и охватывает
практически весь комплекс технических средств судна.
Сейчас рынки стран СНГ наполнились
многочисленной зарубежной продукцией, конкурирующей как между собой, так с
изделиями отечественных производителей. При этом определилась общая тенденция
автоматизации судов на основе микропроцессорных вычислительных средств.
Для правильной ориентации на этом рынке
необходима определенная подготовка специалистов проектных бюро,
судостроительных заводов и заказчиков судов, принимающих решение по выбору
системы управления, поскольку для сухогруза предъявляются особые требования.
Причиной тому являются повышенная опасность и риск для здоровья обслуживающего
персонала, что приводит к его сокращению. С этой целью часть труда человека
выполняет система автоматизации, особенно в области борьбы с пожарами,
предотвращение взрывов, управление судном и др.
.2 Требования Регистра к постройке судов
Основные требования Регистра международного
торгового флота в части автоматизации регламентируют конструкцию систем
автоматизации, их элементов и устройств, требования к элементам и устройствам,
системы автоматизированного управления, системы аварийно-предупредительной
сигнализации и защиты, индикации и регистрации, питание систем автоматизации.
Регистр определяет символ класса автоматизации
судна А1 как судно, за исключением пассажирского, валовой вместимостью 500
peг.т и более которое может эксплуатироваться без вахты в машинных помещениях и
ЦПУ.
Ниже приведены основные положения Регистра
международного торгового флота, характеризующие понятия автоматизации и
требования к автоматизации судов.
4.3 Основные понятия
В правилах Регистра международного морского
флота приняты следующие основные понятия.
Автоматизированный механизм - это механизм
(двигатель, котельная установка, судовые системы), оборудованный системами и
устройствами автоматического регулирования, управления, контроля и защиты.
Регулирование - такой процесс управления непрерывными
режимами, при котором параметр, характеризующий режим, поддерживается в
заданных пределах постоянным или изменяющимся по определенной программе,
реализуемой регулятором.
Регулятор - автоматическое устройство,
воспринимающее отклонение некоторого значения от заданного и воздействующее на
процесс в сторону восстановления регулируемого параметра.
Регулируемая величина - физический показатель,
характеризующий состояние происходящего в объекте регулирования процесса.
Регулируемыми величинами применительно к судовым установкам являются частота
вращения двигателя, температура воды, масла и пара, уровень воды в котле,
топлива и масла в емкости; давление пара, воды, масла и т. д.
Система автоматизации - оборудование,
предназначенное для автоматического и/или автоматизированного управления,
регулирования, контроля, сигнализации и защиты механизмов и устройств.
Система аварийно-предупредительной сигнализации
(АПС) - оборудование, предназначенное для сигнализации о достижении
контролируемыми параметрами установленных предельных значений и об изменении
нормальных режимов работы механизмов и устройств. Отдельные сигналы могут быть
сгруппированы в обобщённые.
Система дистанционного автоматизированного
управления (ДАУ) - оборудование, предназначенное для управления механизмом с
удалённого поста управления, обеспечивающее автоматическое выполнение
промежуточных операций сбора и обработки информации об объекте и выработку
команд исполнительным устройствам, реализующим задаваемый оператором режим
работы механизма.
Система защиты - оборудование, предназначенное
для определенного автоматического воздействия на управляемую установку с целью
предупреждения аварии или ограничения ее последствий.
Система индикации - оборудование,
предназначенное для получения информации о значениях определенных физических
параметров и о определенных состояниях механизмов и устройств.
Устройство автоматизации - часть системы
автоматизации, составленная из элементов, соединенных в одно конструктивное и
функциональное целое.
Элемент системы автоматизации - это
самостоятельное в конструктивном отношении изделие (например, реле, логический
элемент, измерительное устройство, датчик), входящее в устройства и системы
автоматизации.
.4 Классификация систем автоматического
регулирования
Из автоматических систем управления наибольшее
применение имеют в настоящее время системы автоматического регулирования.
Поэтому охарактеризуем виды этих систем подробнее.
Системы автоматического регулирования можно
классифицировать по многим признакам: по назначению (системы управления судном,
энергетической установкой, кондиционированием помещений и т.д.); по характеру
управляемых величин (системы управления курсом, скоростью, траекторией,
регулирования частоты, напряжения, и т.д.) и по другим признакам.
Наиболее часто такие системы классифицируют по
виду задающего воздействия. По этому признаку САР разделяются на системы
стабилизации, системы программного управления и следящие системы.
Системы стабилизации поддерживают постоянство
задаваемого значения регулируемой величины.
Системы программного управления обеспечивают
изменение регулируемой величины по определенному известному до управления
закону (программе).
Следящие системы обеспечивают изменение
управляемой величины по закону, который при управлении неизвестен.
По виду зависимости между входными и выходными
сигналами САР подразделяются на линейные и нелинейные
В линейных САР все элементы описываются
линейными дифференциальными или разностными уравнениями, что означает наличие
линейной связи между входом и выходом системы. Благодаря этому свойству к
линейным САР применим принцип суперпозиции
У нелинейных систем имеется хотя бы один
элемент, в котором связь между входом и выходом нелинейная и описывается
нелинейным дифференциальным или разностным уравнением. При анализе и синтезе
этих систем нельзя применять принцип суперпозиции.
В зависимости от характера сигналов САР делятся
на системы непрерывного и дискретного действия.
В системах непрерывного действия входные и
выходные сигналы всех элементов системы представляют собой непрерывные плавно
изменяющиеся сигналы.
У дискретных систем хотя бы одна величина
представляет собой дискретный по времени (импульсный) или дискретный по уровню
(скачкообразный, релейный) сигнал.
До виду управления качеством регулирования САР
разделяют на системы без настройки, САР с ручной настройкой, системы с
частичной адаптацией и адаптивные системы.
У одних САР при изменении условий работы
качество управления изменяется мало. У других систем изменение условий работы
существенно влияет на качество функционирования. В результате САР, оптимальная
в одних условиях, может иметь неудовлетворительную эффективность в других. Для
обеспечения удовлетворительного качества работы таких систем во всем диапазоне
условий предусматривается возможность настройки их управляющего устройства.
САР без настройки - это система автоматического
управления, в которой при работе во всем диапазоне условий структура и
параметры устройства управления остаются неизменными.
Системой с ручной настройкой называется САР, в
которой настройка регулятора с целью обеспечения требуемого качества управления
при изменении условий работы выполняется вручную оператором.
Под САР с частичной адаптацией понимается
система, в которой используется автоматическая настройка управляющего
устройства при изменении ряда факторов, влияющих на качество работы системы.
Для обеспечения удовлетворительного качества управления при изменении других
факторов в этих системах применяется ручная настройка регулятора.
Адаптивные системы - это такие САР, которые в
процессе эксплуатации при изменении динамических свойств объекта или
характеристик внешних воздействии самостоятельно, без участия человека изменяют
параметры, или структуру и параметры управляющего устройства, для поддержания
оптимального режима функционирования.
Адаптивные системы по степени их совершенства
делят на самонастраивающиеся, самоорганизующиеся и самообучающиеся.
В самонастраивающихся системах качественное
управление достигается подстройкой параметров алгоритма управления, а структура
алгоритма при всех условиях работы остается постоянной. Эти системы называются
также системами с параметрической адаптацией.
В самоорганизующихся системах качественная
работа обеспечивается за счет изменения, как структуры алгоритма управления,
так и его параметров. Самоорганизующиеся САР называются также системами со
структурной адаптацией.
Самообучающиеся САР - это самоорганизующиеся
системы, использующие при адаптации опыт своего функционирования. Под
обучаемостью здесь понимается способность системы накапливать знания об
окружающей среде, сохранять их и использовать имеющийся опыт для
прогнозирования процесса управления; так и ее способность выбирать наилучшие
решения в возникающих ситуациях.
В зависимости от числа управляемых величин
системы автоматического управления одним объектом делят на одномерные и
многомерные.
Одномерные системы имеют одну управляемую
величину и один силовой орган.
В многомерных системах управляемых величин и
органов управления несколько. Многомерные системы подразделяются на системы
связанного и несвязанного регулирования.
В системах несвязанного регулирования алгоритмы
управления по разным координатам не связаны между собой. Эти системы делятся на
независимые и зависимые.
В независимых системах несвязанного
регулирования изменение каждой управляемой величины не зависит от изменения
остальных управляемых величин. Например, в системе управления курсом и
скоростью судна при определенных условиях изменение скорости не влияет на
изменение курса и наоборот, изменение курса не влечет за собой изменения
скорости.
В зависимых системах несвязанного регулирования
изменение одной управляемой величины приводит к изменению других управляемых
величин. Например, в системе управления курсом и угловой скоростью судна при
изменении одной координаты происходит изменение второй.
В системах связанного регулирования алгоритмы
управления по разным координатам имеют взаимные связи.
.5 Общие требования к автоматизации судов класса
АUT 1
Суда со знаком автоматизации АUT
1 должны быть оборудованы системами и устройствами автоматизации таким образом
и в таком объеме, чтобы при потере знака А1 эти суда могли нормально
эксплуатироваться со знаком автоматизации А2.
Машинные помещения должны быть оборудованы
механизмами и системами, способными нормально работать без местного обслуживания
и без дистанционного контроля за их работой из ЦПУ, рулевой рубки или других
мест с применением контроля только по обобщенной сигнализации.
Работоспособность примененного оборудования
автоматизации должна быть подтверждена результатами ресурсных (стендовых или
натурных) испытаний или опытом эксплуатации.
Должен быть предусмотрен автоматический ввод в
действие всех резервных вспомогательных механизмов, связанных с ходом судна,
при выходе из строя основных, включая резервные насосы и компрессоры для
питания гидравлических и пневматических систем и устройств автоматизации.
Должен быть обеспечен автоматический контроль
исправности в системах и устройствах управления, аварийно-предупредительной
сигнализации и защиты главных механизмов, а также в системах сигнализации
обнаружения пожара и осушения машинных помещений, причем переход с основного
питания на резервное у систем АПС должен происходить автоматически.
В отдельных случаях для повышения надежности
систем и устройств автоматизации Регистр может потребовать резервирования
отдельных блоков или элементов автоматизации.
Должен быть предусмотрен автоматический пуск
находящихся в горячем резерве электрических агрегатов при полном обесточивании
и при перегрузке работающих агрегатов с автоматической синхронизацией, приемом
и распределением нагрузки.
Должно быть предусмотрено автоматическое
устройство, подключающее потребители только при наличии достаточной свободной
мощности на шинах ГРЩ и выдающее импульс на запуск дополнительных генераторов
при недостатке мощности.
Остановка первичного двигателя работающего
агрегата при срабатывании защиты (исключая защиту от разноса и по давлению
масла) должна производиться только после введения в действие и приема нагрузки
резервного генератора требуемой мощности.
Осушение машинных помещений должно производиться
автоматически, а сигнализация об аварийном уровне в льялах и колодцах трюмов и
машинных помещений должна быть выведена в рулевую рубку и другие помещения, где
располагается персонал, обслуживающий механическую установку, а на стоянке
находится постоянная вахта.
В том случае, когда у ДАУ имеется несколько
программ, связанных с режимом работы главного двигателя (маневры, выход на
режим полного хода и т. п.), в дополнение к ним необходимо также
предусматривать программу аварийного режима, при котором обеспечивается в
опасных для судна ситуациях экстренное маневрирование с одновременным
отключением защиты главного двигателя.
В помещения, где располагается персонал,
обслуживающий механическую установку (каюты, кают-компании и др.), а также в
места несения вахты на стоянке должна быть выведена обобщенная сигнализация.
ЦПУ может быть закрытого и открытого типов. По
согласованию с Регистром ЦПУ может быть расположен и вне машинного помещения.
Открытый ЦПУ должен располагаться в непосредственной близости от органов
(поста) управления главными механизмами. Степень централизации управления и
контроля в открытом ЦПУ должна быть такой же, как и для закрытого ЦПУ.
Главный пост управления должен быть расположен
на ходовом мостике. На главный пост управления должны выводиться специальные
сигналы следующего назначения:
а) обобщенный сигнал о возникновении пожара если
станция обнаружения пожара расположена вне ГПУ;
б) обобщенный аварийнопредупредительный сигнал
«некритический» (требуется вызов в ЦПУ или машинное помещение обслуживающего
персонала) о возможном возникновении неисправностей в механизмах и системах
механической установки, а также в устройствах их автоматизации, формируемый по
следующим сигналам:
о неисправностях или о потере питания в
устройствах аварийно-предупредительной сигнализации и защиты, а также в
системах обнаружения пожара;
о срабатывании предупредительной сигнализации из
числа тех сигналов, по которым не требуется немедленного вмешательства
обслуживающего персонала) ;
в) обобщенный сигнал «критический» (требуется
срочный вызов обслуживающего персонала и принятие экстренных мер для спасения
судна, людей и груза), формируемый по следующим сигналам:
о появлении неисправностей или о потере питания
в системах дистанционно-автоматизированного управления главными механизмами;
о срабатывании аварийно-предупредительной
сигнализации из тех сигналов, по которым требуется немедленное вмешательство
обслуживающего персонала);
о срабатывании аварийной защиты;
г) обобщенная сигнализация должна быть выполнена
таким образом, чтобы в случае появления неисправностей в механизмах и системах
на ГПУ был получен сигнал:
о возникновении неисправности;
о принятии мер по устранению неисправности;
об устранении неисправности (для этого вместо
сигнализации могут применяться различные средства связи между ГПУ, машинными
помещениями и жилыми помещениями механиков).
4.6 Обзор АСУ фирмы Kongsberg
.6.1 АСУ Kongsberg K-Chief 500Chief 500 основана
на системах Kongsberg в которой для каждого судна используются стандартные,
модули связанные между. Система может быть настроена под любой тип судна,
включая танкеры, сухогрузы, Ro-Ro,
риферы, а также для различных типов специализированных судов.
Главной задачей системы заключается в том, чтобы
дать всю необходимую информацию о сигнализациях, и состояниях систем
обслуживающему персоналу для обеспечения надёжной работы всех механизмов и
безопасного мореплавания.
Модульная конструкция Kongsberg K-Chief 500 даёт
возможность точной настройки систем сигнализации.
Рисунок 4.11 Распределение систем сигнализации и
контроля на судне.
K-Chief 500 -охватывает все важные системы
контроля на судне:
-Системы сигнализации
-Контроль вспомогательных механизмов
-Систем распределения мощности
-Контроль систем обеспечивающих ход судна.
-Автоматизация балластных систем
-Распределие и контроль груза
-Систем кондиционирования воздуха
-Контроль за оборудование холодильных установок
-Систем пожаротушения
.6.2 Структура системы
Рисунок 4.12 Структура системы Kongsberg K-Chief
500
.6.3 Система распределения мощности
Каждый генератор имеет блок управления, который
осуществляет распределение мощности. Система может контролировать параметры,
как дизель генератора, так и генераторов приводимых в действие паровой турбиной
либо валогенератора.
Рисунок 4.13 Панель симуляции
Система имеет предварительные установки для
работы в различных режимах, чтобы выбрать тот или иной режим, необходимо нажать
на панель симуляции.
Основные функции системы распределения мощности
контроль работы дизель генератора
запуск и остановка дизель генератора
синхронизация и включение на шины генератора
контроль частоты и напряжения генератора
распределение нагрузки
запуск и включение генератора на шины после
обесточивания
запуск второго дизель генератора при перегрузке
первого.
.7 Управление судовой электростанцией
Одной из важнейших составляющих судовых систем
автоматизации являются интегрированные системы дистанционного автоматического
управления дизель-генераторами ( ДАУ ДГ ), выполняющие, кроме основных функций
( пуск, остановка, защита ДГ и аварийно-предупредительная сигнализация),
дополнительные функции:
Рисунок 4.14 - Фронтальный вид Synpol-D
включение на параллельную работу с последующим
распределением нагрузки между генераторами. Такие системы ДАУ ДГ, как правило,
встраиваются в генераторные секции главного распределительного щита судовой
электростанции ( СЭС ). Типичными представителями таких систем являются
устройства Synpol-D,DEIF
и
SYMAP D осуществляет
управление и защиту дизель-генераторных агрегатов.
.7.1 Краткое описаниеD представляет собой
компактный прибор автоматического управления и контроля дизель-генераторных
(ДГ) агрегатов. Для управления бортовой электроэнергетической установкой (ЭЭУ)
в целом, в нем предусмотрена система управления мощностью - РМ - система (POWER
- Management System),обеспечивающая автоматическое подключение и отключение
резерва мощности. Система устройств SYNPOL-D в ЭЭУ строится по модульному типу
и не требует управления (координации) от центральной системы высшего уровня.
Каждая генераторная панель оборудуется одним прибором SYNPOL-D , т.е. все
панели оформляются идентично. Все приборы SYNPOL-D связываются между собой
двух-проводной информационной шиной (CAN-BUS). При выходе из строя одного из
приборов остальные продолжают работать. Все основные функции РМ-системы
заложены в каждом приборе SYNPOL-D . Таким образом, подобная система позволяет
независимую от других параллельно включенных агрегатов работу источников
питания с сохранением управления и контроля (модульно-независимая система).
На фронтальной стороне дверцы каждой
генераторной панели устанавливается управляющий прибор SYNPOL-D. На передней
панели прибора расположены элементы цифровой индикации для всех наиболее важных
параметров, которые реализованы на больших семи-сегментных индикаторах зеленого
цвета. Контролируются при этом напряжение, ток, мощность, частота и коэффициент
мощности генератора.
Дополнительно осуществляются аналоговая
индикация тока и мощности посредством линейных шкал, указывающих текущее
значение контролируемых параметров зеленым цветом при изменении в пределах 100%
номинальных величин и красным цветом - при превышении 100%-ой метки. Ниже
расположен большой буквенно-цифровой дисплей, на который выводится расширенная
информация, включающая в себя:
) статус агрегата
) измерительные данные генератора
) индикацию неисправностей при превышении
установок
) индикацию состояния ЭЭУ при работе РМ-системы
) индикацию вводимых параметров и уставок в
режиме программирования
) индикацию статуса внутреннего вычисления
Кроме того на фронтальной панели прибора
находится кнопочное поле, с помощью которого могут быть введены все данные.
Некоторые кнопки служат для управления агрегатом. Кнопка Acknowl служит для
квитирования и сброса сигналов неисправности. Специального программирующего
устройства не требуется. Справа от дисплея находятся два красных светодиода:
Alarm (Тревога) и Tripped (Отключен). При превышении контролируемым параметром
предельного значения, вызывающего предупредительный сигнал неисправности,
мигает светодиод Alarm.
По истечении временной задержки светодиод Alarm
зажигается непрерывно и светится до тех пор, пока контролируемая величина не
уменьшится ниже допустимого значения и не будет нажата кнопка квитирования
Acknowl.
При достижении контролируемым параметром
предельного значения, вызывающего отключение генераторного выключателя, мигает
светодиод Tripped. По истечении временной задержки светодиод Tripped
переключается на непрерывный сигнал и остается в этом состоянии до уменьшения
контролируемой величины ниже предельно допустимого значения и воздействия на
кнопку Acknowl.
Прибор SYNPOL-D построен на базе нескольких
микроконтроллеров, которые взаимно контролируют работу друг друга. Контроль
наиболее важных функций осуществляется по двухканальному принципу, причем
второй канал работает независимо от программного управления. Защита от КЗ
работает параллельно с микроконтроллером и продолжает функционировать даже при
исчезновении питания прибора.
На задней стороне системного блока SYNPOL-D
расположены штыревые разъемы, которые являются интерфейсом для подключения
терминальным плат (ТП). Экранированный кабель, соединяющий ТП с системным
блоком, должен заземляться с двух сторон. ТП монтируются в распределительном
устройстве (например, генераторной панели ГРЩ) произвольно, и через клемные
колодки соединяются с системой управления.
Могут быть использованы следующие ТП:
) СМА 131 - ТП подключения генератора
Рисунок 4.15 - ТП подключения генератора
) СМА 132 - ТП вспомогательных реле для
подключения генератора
Рисунок 4.15 - ТП вспомогательных реле для
подключения генератора
)
СМА 133 - ТП дифференциальной защиты и контроля замыкания на корпус
Рисунок 4.17- ТП дифференциальной защиты и контроля
замыкания на корпус
Рисунок 4.16 Схема терминальной платы СМА 132 -
вспомогательных реле для подключения генератора
) СМА 133 - ТП дифференциальной защиты и
контроля замыкания на корпус
Рисунок 4.17- ТП дифференциальной защиты и
контроля замыкания на корпус
) СМА 134 - ТП набора резисторов
) СМА 135 - ТП управления и контроля
дизеля
Рисунок 4.18- ТП управления и контроля дизеля
Рисунок 4.19 Схема терминальной платы СМА 135 -
управления и контроля дизеля
6) СМА 136 - ТП последовательного интерфейса
(коммуникационная ТП)
Рисунок 4.20 Схема терминальной платы СМА 135 -
управления и контроля дизеля
) СМА 137 - ТП дополнительных функций
Рисунок 4.20 ТП дополнительных функций
.7.2 К наиболее важным функциям SYNPOL-D следует
отнести:
♦ Защита от КЗ, функционирует также при
исчезновении напряжения питания прибора.
♦ Селективное отключение неисправного
генератора. Деблокировка возможна только вручную.
♦ Трехступенчатая защита от перегрузки
путем определения тока перегрузки.
♦ Защита от обратной мощности.
♦ Трехступенчатое отключение
второстепенных потребителей при перегрузке, пониженной частоте и превышении
допустимой величины тока.
♦ Синхронизация генератора при включении
на сборные шины.
♦ Автоматическая подгонка частоты
дизель-генератора к частоте шины.
♦ Контроль повышенного и пониженного
напряжения.
♦ Контроль повышенной и пониженной частоты
♦ Контроль на обрыв цепи трансформаторов
тока
♦ Защита от асимметричности токов
♦ Защита от асимметричности напряжений
♦ Индивидуальный контроль питающих напряжений
и текущей программы с помощью Watch-Dog-функции.
♦ Измерение мощности также при
несинусоидальных напряжении и токе, специально для сетей с тиристорной
нагрузкой.
♦ При этом формируется пропорциональный
мощности сигнал в пределах ±10В пост. тока или ±20 мА пост. тока для
подключения прибора магнитоэлектрической системы
♦ Измерение реактивной и полной мощности
♦ Вывод всех основных параметров в виде
нормированных сигналов (±10В, 4-20мА, ±20мА).
♦ Непрерывное запоминание и индикация всех
отключающих функций
♦ Питание катушки минимального расцепителя
генераторного автомата (пост. ток) с удержанием при провалах напряжения
♦ Отключение при возникновении
электрической дуги
♦ Дифференциальная защита с адаптированной
по току линией срабатывания и контроль минимальной разности при работе
генератора на холостом ходу.
♦ Контроль замыкания на корпус с
выявлением неисправной фазы и контролем минимальной разности при работе
генератора на холостом ходу.
♦ Счетчики для следующих величин: a) время
работы агрегата в часах, b) активной энергии в кВт*ч, c) реактивной энергии
квар, d) число пусков ДГ, e) число включений автоматического выключателя
генератора (АВГ).
♦ Распределение активной нагрузки с
регулированием частоты нескольких сетей (при работе с секционными выключат.)
♦ Регулирование коэффициента мощности в
комбинации с регулированием напряжения нескольких сетей (при использовании
секционных выключателей).
♦ Снижение нагрузки генератора перед его
выключением
♦ Асимметричное распределение нагрузки с
заданным коэффициентом пропорциональности (напр. при параллельной работе
валогенератора).
♦ Асимметричное регулирование коэффициента
мощности с заданным коэффициентом пропорциональности (например, для береговых
электростанций).
♦ Соответствующее автоматическое изменение
всех уставок срабатывания и параметров регулирования нагрузки при использовании
функции управления электростанцией с плавно изменяющейся частотой (работа
валогенератора).
♦ Пуск/остановка и предварительный накал
ДГ осуществляются по каналам с мощностью выхода 40А при питании 24В
♦ Гальваническая развязка входных и
выходных сигналов через оптоэлектронные пары
♦ Гальваническая развязка 24В-питания от
ДГ
♦ Подключение периферии на
коммуникационные терминалы с помощью штыревых разъемов.
♦ Возможность быстрого
перепрограммирования для различных типов ДГ
♦ Возможность измерения частоты вращения
ДГ с помощью тахогенераторов или импульсных датчиков с контролем правильности
измеряемой величины.
♦ Возможность обработки 8 сигналов
неисправности с контролем на обрыв цепи датчиков и свободной установкой логики
выходов, временных задержек, а также наименований неисправностей, выводимых на
дисплей.
♦ Контроль на обрыв цепей пуска и останова
ДГ
♦ Применение стандартного интерфейса для
взаимной коммуникации нескольких приборов и передачи информационных и
управляющих сигналов от внешних устройств (RS 485, RS 422, RS 232).
♦ Ввод и запись параметров с Notebook.
♦ Возможность ввода всех параметров и
предельных величин (уставок) посредством управляемого меню.
♦ Управление мощностью через Мульти-
Master-систему
♦ Защита генератора по напряжению, частоте
и выбегу вектора напряжения при параллельной работе с сетью ґБесконечной
мощности" в экстраординарных случаях повреждения сети (удар молнии и
т.п.).
.7.3 Панель индикации
На нижеприведенном рисунке изображена панель
управления и индикации прибора Synpol-D.
В верхней области панели управления расположены семисегментные светодиодные
индикаторы, ниже - жидкокристаллический графический дисплей, в нижней части находится
кнопочное поле. Нумерация элементов на рисунке приведена в связи с последующим
описанием.
Рисунок 4.21- Фронтальный вид Synpol-D
4.7.4 Элементы индикации
К элементам индикации панели управления
относятся пять семисегментных индикаторов (1), отражающих наиболее важные
параметры генератора, две линейные светодиодные шкалы для отражения тока и
мощности (2), два светодиода отображения статуса неисправностей (3), а также
жидкокристаллический графический дисплей для отображения системной, текущей
информации и информации параметрирования (4).
) Семисегментные индикаторы. Пять семисегментных
индикаторов отображают величины напряжения тока, активной мощности, частоты и
cos(г) генератора. Сos(г) может быть индуктивным или емкостным, при этом нуль
перед запятой указывает на емкостной характер, а минус - на индуктивный
характер мощности генератора (В режиме компенсации генератора своей емкостной
мощностью индуктивной составляющей мощности потребителей, на индикаторе cos(г)
будет величина с нулем перед запятой). Расположенные справа от индикаторов
светодиоды указывают единицы измерения соответствующего параметра. При
одновременном воздействии на кнопки Shift 1 и ACTUAL/ PERCENT абсолютное
значение параметров может быть переключено на относительное.
) Светодиодные линейные шкалы
Дополнительно к семисегментным индикаторам
отображения тока и активной мощности, на панели управления находятся
светодиодные линейные шкалы, являющиеся аналоговыми индикаторами относительных
величин этих параметров.
) Светодиоды для обозначения статуса сигнала
неисправности Светодиоды, расположенные справа от дисплея, отображают статус
сигнала неисправности. При превышении контролируемым параметром установленного
значения происходит формирование сигнала неисправности, при этом светодиод
Alarm начинает мигать. По истечении установленной выдержки времени светодиод
Alarm горит постоянным светом и остается в этом состоянии до тех пор, пока
величина контролируемого параметра не уменьшится ниже установленного предела
или же не будет принят сигнал квитирования кнопки ACKNOWL или на вход мResetо.
Аналогичные функции выполняет светодиод Tripped, с той разницей, что
срабатывание его происходит при регистрации сигналов неисправности, связанных с
отключением генераторного автомата.
) Жидкокристаллический дисплей (LCD) Находящийся
на панели управления дисплей служит для параметрирования Synpol-D, а также для
индикации дополнительной информации, которая будет подробно описана в разделе
1.4.3 LCD имеет фоновую подсветку, интенсивность которой можно изменять.
.7.5 Описание кнопок на панели управления
Кнопки панели управления позволяют выполнять как
некоторые функции управления агрегатом, так и параметрирование устройства
(пользовательское программирование). Ниже будет приведено подробное описание
каждой из кнопок. С помощью кнопок Shift1 и Shift2 можно расширять функции
отдельных кнопок, причем при совместном использовании кнопок Shift с другими
кнопками первой нажимается кнопка Shift и удерживается до выполнения требуемой
функции.
) START
При воздействии на эту кнопку ДГ запускается. На
дисплее осуществляется индикация процесса пуска. Воздействие на кнопку START
возможно также при работающем агрегате, находящемся, например, в процессе
остановки, при этом дизель переводится в режим пуска, который завершается
включением автоматического выключателя генератора. Электромагнит пуска
срабатывает только в том случае, если агрегат остановлен (см. также параметр
[501]). Таким образом, воздействие на кнопку START означает проведенное через
фазу пуска включение АВГ.
) IMMEDIATE START
(экстренный пуск) Нажать кнопки Shift 1 и Start.
Производится немедленный пуск. Запрограммированный интервал на предварительную
смазку пропускается.
) STOP (остановка)
При нажатии на эту кнопку ДГ останавливается в
нормальном режиме, отрабатываются все фазы процесса остановки, такие, как
выключение генераторного автомата, холостой пробег ДГ для охлаждения. Ошибочно
введенный или автоматически вызванный процесс остановки может быть отменен при воздействии
на кнопку START. При остановке агрегата по сигналу неисправности процесс
остановки прервать невозможно.
) IMMEDIATE STOP (экстренная остановка)
Нажать кнопки Shift 1 и Stop. Производится
немедленная остановка ДГ. Без задержки отключается генераторный автомат и
возбуждается стоп-магнит. Если кроме стоп-магнита используется стоп-заслонка,
она также включается немедленно. Подобная остановка реализуется также при
регистрации сигнал неисправности приоритета 1. Man. и Autom. (ручное и
автоматика) С помощью кнопок Man (Manual) или Autom (Automatic) можно выбрать
режим работы.
)MAN
В ручном режиме все функции автоматического
управления, такие, как: дистанционные пуск и остановка, зависящий от нагрузки
пуск или Пуск следующего ДГ при неисправности работающего ДГ, также как пуск
после блэкаута отключаются. Производится индикация этого режима на дисплее
прибора (см. раздел 1.4.3.1). В этом режиме ДГ может быть запущен только
кнопкой с управляющего прибора. При пуске ДГ в ручном режиме протекают все фазы
процесса запуска с соответствующим контролем как и в автоматическом режиме,
однако подключение генераторного автомата не контролируется. Это позволяет
обслуживающему персоналу держать агрегат на холостом ходу. Для этого, правда,
необходимо отключить команду включения автомата на ГРЩ.
Функции контроля параметров ДГ: давления
смазочного масла, температура охлаждающей воды и др. - не могут быть ни в коем
случае отключены или сокращены.
) AUTOM
В автоматическом режиме работы активируются все
функции внешнего воздействия, к ним относятся: дистанционный пуск и остановка,
пуск в зависимости от загрузки электростанции, "Пуск следующего ДГ"
при неисправности работающего агрегата, а также пуск после блэкаута. По
завершении процесса пуска осуществляется контроль за подключением генераторного
автомата. Режим автоматики может быть включен только в том случае, если не
зарегистрировано никакой неисправности и подан включающий
сигнал на вход AUTOMATIC ON (Е15, клемма 20, ТП
СМА 135). Этот контакт предусмотрен для того, чтобы все цепи на ГРЩ были
включены таким образом, что после запуска ДГ мог быть включен генераторный
автомат. Таким образом, если агрегат находится в автоматическом режиме, должна
быть полная уверенность в том, что в аварийной ситуации произойдет его запуск и
подключение автомата генератора. Для этого контролируется, также, не разорвана
ли электрическая цепь пускового магнита. В случае, если вход AUTOMATIC ON не
включен, устанавливается ручной режим работы.
)ACTUAL(абсолютные значения)
При воздействии на кнопку Actual цифровые
индикаторы переключаются на показание величин в вольтах (V), амперах (А) и
киловаттах (kW).
Соответствующие значения указываются красными
светодиодами, расположенными рядом с семи-сегментными индикаторами.
) PERCENT (относительные значения)
При воздействии на кнопку Shift 1 и Percent
цифровые индикаторы переключаются на показания тока, напряжения и мощности в
относительных величинах (%). Красные светодиоды гаснут. При этом значение 100%
соответствует номинальным величинам параметров генератора.
) ACKNOWL. (подтверждение)
Кнопка Acknowl. служит в качестве квитирующей и
установочной кнопки. Она используется для квитирования сигналов неисправности и
для ввода данных при программировании.
) PROG. (программирование)
При воздействии на кнопку Prog происходит
переход в режим программирования. См. описание режима программирования в
разделе 2.4.1
) RESET
При одновременном воздействии на кнопку SHIFT 1
и RESET происходит перезапуск программы Synpol-D. Эту операцию можно
производить только при неработающем агрегате!
) MENUE (меню)
При воздействии на кнопку Menue на дисплей
прибора выводится установочное меню. Повторное воздействие на эту кнопку
приводит к возврату в прежнее состояние.
) LIGHT 1+2 (подсветка)
Воздействие на кнопки Shift 1 и Light 1+2
приводит к изменению подсветки дисплея. При каждом нажатии этих кнопок
подсветка изменяется ступенчато в следующем порядке: 1) темная 2) слабая
3)средняя 4) светлая, снова 1) темная и т.д. Воздействие на кнопки Shift 2 и
Light 1+2 приводит к ступенчатому изменению подсветки дисплея в следующем
порядке при каждом нажатии кнопок: 1) слабая 2) средняя 3)светлая 4) яркая 1)
слабая и т.д.
18) ON/OFF, YES/NO (вкл/выкл,
да/нет)
Эта кнопка используется в режиме
программирования. В случае запроса ON/OFF или YES/NO каждое нажатие кнопки
приводит к перемене прежней установки, т.е. с ON на OFF или с YES на NO и
наоборот.
) SYNCHRON (синхронизация)
При воздействии на кнопку Synchron включается
режим синхронизации генератора. В случае если генераторный автомат уже включен,
через 4 сек. индикация этого режима на дисплее исчезает.
) LOAD CTRL. (регулирование нагрузки)
При нажатии этой кнопки на дисплей выводится
информация регулирования нагрузки. Эта информация является дополнением к
системе регулирования мощности (Power Management System).
) SERVICE
При одновременном воздействии на кнопки SHIFT 1
и SERVICE на дисплей выводятся аналоговые измерительные сигналы, формируемые на
ТП СМА 131.
) DISPLAY
При нажатии кнопки DISPLAY на дисплей могут быть
вызваны различные информационные страницы (см. раздел 1.4.3). Если кнопка
DISPLAY не нажимается в течение 30 сек., то при последующем нажатии выводится
основной рабочий экран.
) GRAPH (перспективная функция)
При одновременном воздействии на кнопки SHIFT 1
и GRAPH на экран дисплея поочередно могут быть выведены графики различных
функций.
) ALARM помощью кнопки ALARM на дисплей
выводится протокол неисправностей.
) EVENT
При одновременном воздействии на кнопки SHIFT 1
и EVENT на дисплей выводятся 20 последних событий (зарегистрированные сигналы
неисправностей и некоторые другие сигналы).
) ↑↓ - кнопки (Kontrast)
(вертикальные стрелки)
Эти кнопки служат для передвижения курсора и для
прямого, и обратного прогона информации. В случае удержания этих кнопок в
нажатом состоянии прогон информации производится в непрерывном ускоренном
режиме. При воздействии на эти кнопки совместно с кнопкой Shift 1 может быть
изменена контрастность LC-дисплея.
) SHIFT 1 (изменять)
Эта кнопка служит для переключения на вторую функцию
кнопок. Если та или иная кнопка имеет вторую функцию, то ее нижняя часть
окрашена в тот же цвет, что и кнопка Shift 1.
) SHFT 2
Эта кнопка служит для переключения на третью
функцию кнопок 1 + SHIFT 2
Одновременное воздействие на кнопки Shift 1 и Shift
2 служит для перехода к четвертой функции кнопок.
.7.6 Основной рабочий экран
Этот экран активизируется сразу после включения
SYNPOLЖD. Здесь приводится наиболее важная информация об агрегате и его режимах
работы. Для отображения на дисплее этого экрана необходимо нажать кнопку:
Рисунок 4.22 - Основной рабочий экран
. AGGREG. No.:
Номер агрегата. Этот номер может быть изменен в
параметре [6] установочного меню.
. PRIORITY :
Приоритет агрегата. Приоритет определяет
последовательность (очередность) пуска и остановки агрегата и может быть выбран
при эксплуатации на ЭКРАНЕ МЕНЮ или через систему мониторинга.
. SYNPOL-D TITLE:
Свободно программируемое наименование SYNPOLЖD,
может быть установлено в параметрах [260] (для первой строки) и [276] (для
второй строки).
. DATE/TIME:
Текущая дата и время. Устанавливаются в
параметрах [1 - 5].
. LOAD: xx %
Относительная нагрузка генератора в %.
. LOAD/NET: xx %
Относительная нагрузка всех работающих на
сборную шину генераторов в %.
. STAND BY No:
Номер резервного агрегата, готового к следующему
пуску в соответствии с программой очередности (приоритетом).
. MODE:
Отражение режима работы агрегата. Может быть
автоматическим - агрегат находится в режиме STAND BY (готовность к запуску) и
может запускаться дистанционно; и ручным - пуск агрегата возможен только с
табло прибора управления.
. WORK.HOUR:
Отражение актуального значения времени наработки
агрегата. Это значение может быть изменено в установочном меню, параметр [11].
При работе счетчика в этой позиции вводится дополнительная информация значком
"r", высвечиваемым за знаком обозначения часов "h". Счетчик
сбрасывается, если величина на счетчике превышает [65535]h. В этом случае,
счетчик начинает отсчет заново с [0]h.
. LOAD/h: четчик активной электроэнергии
(текущее значение). Единицы измерения -"kWh" или "MWh"
могут быть выбраны при установке параметра [7]. Начальное значение счетчика
устанавливается параметром [8].
. LOAD/h t. :
Дополнительный счетчик активной энергии,
работающий аналогично описанному выше. С помощью этого счетчика пользователь
получает возможность осуществить чет временного расхода энергии. Начальное
значение этого счетчика устанавливается параметром [9]. Комбинацией кнопок
Shift 1 + Shift 2 + CLEAR производится сброс счетчика в нулевое положение.
. LOAD/h re: четчик реактивной электроэнергии
(текущее значение). Единицы измерения, подобно счетчику активной энергии, могут
быть выбраны: kvarh или Mvarh. Начальное значение счетчика задается параметром
[10].
.7.7 Экран синхронизации
Экран синхронизации предоставляет пользователю
информацию о процессе синхронизации. Этот экран автоматически появляется на
дисплее в начальный момент синхронизации генератора, при поступлении сигнала на
вход E5 (Synchron ON,CMA132, клемма 25).
Рисунок 4.23 - Экран синхронизации
. df : 0.35 Hz - Отображение разности частот
генератора и сети.
. angle : 31 deg - Отображение разности фаз
напряжений генератора и сети (в эл. градусах).
. Ugen : 95% - Отображение относительного
значения напряжения генератора относительно напряжения сети.
. dU : 7V - Отображение разности напряжений
генератора и сети.
. n>,n< - Отображение знака управляющего
сигнала регулирования частоты вращения ДГ при синхронизации:Сn>"
увеличение Сn<" уменьшение. Отображаются только сигналы, длина которых
превышает 15 мс.
. status: "blocked" - Статус
"blocked" - блокирован - отображает запрет включения генераторного
выключателя в режиме синхронизации в случае недопустимого отклонения частоты и
напряжения от заданных значений.
5. Расчет переходных процессов в СЭЭС
.1 Предварительные замечания
В электрических цепях различают установившиеся и
неустановившиеся режимы работы. Первые характеризуются установившимися
значениями тока и напряжения, то есть неизменными или периодически
изменяющимися по определенному закону, а вторые - переходными, то есть
значениями проявляющиеся только при переходе от одного установившегося режима к
другому.
Неустановившиеся режимы наблюдаются при
включении и отключении цепей (коммутация), коротких замыканиях, а так же при
всяких изменениях параметров цепей, то есть это переход от одного
энергетического состояния к другому. Такой переход всегда длится определенное
время, так как изменение энергии магнитной и электрической, связанный с цепями
всегда происходит с конечной скоростью. Длительность переходных процессов, как
правило, составляет десятые или сотые доли секунды.
Основной причиной КЗ является нарушение изоляции
электрического оборудования. Значительная величина тока, текущего при КЗ через
машины, аппараты, кабели, шины, оказывает на них сильное механическое и
тепловое воздействие. Аппараты защиты, которые предназначены отключать КЗ,
должны быть рассчитаны на ожидаемые токи КЗ по разрывной способности, в
противном случае они могут оказаться разрушенными. Несвоевременное отключение
КЗ может привести к пожару.
Во избежание подобных фактов, аппараты, шины и
кабели проверяют на динамическую и термическую устойчивость по ожидаемым токам
КЗ.
Вследствие снижения при КЗ напряжения, может
произойти затормаживание асинхронных двигателей или срабатывание нулевой
защиты, которая отключает двигатели от сети. Возможно нарушение параллельной
работы генераторов.
В СЭС переменного тока (трехфазных системах)
можно рассматривать одно, двух, и трехфазное КЗ.
Однофазное КЗ может происходить в
электроэнергетических системах с заземленной нулевой точкой (одна фаза
соединена с корпусом судна). Поэтому случай такого замыкания является
нехарактерным (нейтраль СГ не заземляют). Исключение составляют
четырехпроводные СЭС с изолированным нулем.
Рисунок 5.1 - Однофазное КЗ
Двухфазное КЗ (несимметричное) -
замыкание, при котором соединены две фазы. Как правило, двухфазное КЗ переходит
в трехфазное КЗ из-за тока КЗ.
Рисунок 5.2 - Двухфазное КЗ
Трехфазное КЗ (симметричное) -
замыкание, при котором все фазы соединены. zA = zB = zC
Расчет КЗ СЭС сводится главным образом к
определению максимальных значений тока при КЗ в различных точках сети. Это дает
возможность произвести правильный выбор аппаратов, проверить динамическую
устойчивость шин, правильно построить защиту СЭС.
Рисунок 5.3- Трехфазное КЗ
На судне часто происходит включение
электроприводов сравнительно большой мощности. В связи с этим возникает
необходимость расчета провалов (снижений) напряжения генераторов судовых
электростанций.
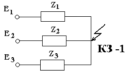
.2 Расчетная схема цепи короткого замыкания и
определение ее параметров
Расчетная схема включает в себя три генераторных
агрегата, эквивалентный асинхронный электродвигатель с короткозамкнутым
ротором, шины передач и коммутационную аппаратуру, схема приведена на рисунке
5.4.
Рисунок 5.4 - Расчетная схема СЭС
Параметры генераторных агрегатов приведены в
таблице 2.2.
Таблица 5.1 - Параметры элементов схемы
|
Элементы
схемы
|
l, м.
|
Участок
|
S, мм2
|
Сопротивление,
мОм
|
|
|
|
|
Активное
|
Реактивное
|
|
Фидер
СГ
|
20
|
1-2
|
3*(3х70)
|
2,06
|
|
Переходное
сопротивление от фидера к шинам
|
-
|
2
|
-
|
0,087
|
-
|
|
Шина
СГ
|
2
|
2-7
|
4х30
|
0,192
|
0,139
|
|
Переходное
сопротивление автоматов
|
-
|
5,6,8,9
|
-
|
0,13
|
-
|
|
Трансформатор
тока
|
-
|
3-4
|
-
|
0,03
|
-
|
|
Автоматический
выключатель АМ15
|
-
|
8-9
|
-
|
0,045
|
0,9
|
|
Автоматический
выключатель АМ8-М
|
-
|
5-6
|
-
|
0,06
|
0,105
|
|
СШ
- КЗ-1
|
0,8
|
7-9*,
7-13
|
80х6
|
0,048
|
0,079
|
|
ИТОГО
|
2,65
|
1
|
|
Кабель
К3-3
|
90
|
16-17
|
3*(3х35)
|
27
|
3,69
|
|
Переходное
сопротивление автоматов
|
-
|
11,12,13,15
|
-
|
0,11
|
-
|
|
Автоматический
выключатель АМ8
|
-
|
14-15
|
-
|
0,06
|
0,105
|
|
ИТОГО
|
27,17
|
3,79
|
.3 Расчет токов короткого замыкания на сборных
шинах ГРЩ
.3.1 Эквивалентная схема замещения исходной
схемы
Рисунок 5.5 - Эквивалентная схема замещения
.3.2 Приведение всех величин к базисным
Базисная мощность, кВА:
;
Базисное напряжение, В:
;
Базисный ток, А:
.
5.3.3 Расчет сопротивлений эквивалентных
ветвей
Индуктивное сопротивление по продольной оси СГ:
(Ом)
Переходное индуктивное сопротивление
по продольной оси СГ:
(Ом)
Сверхпереходное индуктивное
сопротивление по продольной оси СГ:
(Ом)
5.3.4 Полное сопротивление генераторных
ветвей
Рисунок 5.6 - Полное сопротивление генераторных
ветвей
5.3.5 Расчетное сопротивление цепи
КЗ-1
(Ом)
(Ом)
(Ом)
.3.6 Определение ударного коэффициента
.3.7 Определение ударного тока КЗ на сборных
шинах ГРЩ
(А)
.3.8 Определение номинального тока подпитки от
эквивалентного АД
(А)
5.3.9 Ударный ток подпитки от эквивалентного АД
(А)
5.3.10 Полный ударный ток на сборных шинах ГРЩ
(А)
.3.11 Построение графика Iкз
= f(t)
График токов короткого замыкания на сборных
шинах ГРЩ представлен на рисунке 5.7
Рисунок 5.7 - График токов короткого замыкания
на СШ ГРЩ
.4 Расчет тока КЗ на зажимах генератора
.4.1 Эквивалентная схема замещения для тока
короткого замыкания на зажимах мощного генератора (КЗ-2)
Рисунок 5.8 - Эквивалентная схема замещения для
КЗ-2
5.4.2 Установим базисные величины
Базисная мощность, кВА:
;
Базисное напряжение, В:
;
Базисный ток, А:
.
5.4.3 Расчет сопротивления эквивалентных
ветвей
Индуктивное сопротивление по продольной оси СГ:
(Ом)
Переходное индуктивное сопротивление
по продольной оси СГ:
(Ом)
Сверхпереходное индуктивное
сопротивление по продольной оси СГ:
(Ом)
.4.4 Определение сопротивления в цепи КЗ
5.4.5 Определение полного расчетного
сопротивления цепи
(Ом)
(Ом)
(Ом)
.4.6 Определение ударного коэффициента
.4.7 Определение ударного тока КЗ в точке КЗ-2
(А)
.4.8 Определение номинального тока подпитки от
эквивалентного АД
(А)
.4.9 Ударный ток подпитки от эквивалентного АД
(А)
5.4.10 Полный ударный ток в точке КЗ-2
(А)
.4.11 Построение графика Iкз
= f(t)
График токов короткого замыкания в
точке КЗ-2 представлен на рисунке 5.9
Рисунок 5.9 - График токов короткого замыкания в
точке КЗ-2
.5 Расчет тока короткого замыкания на зажимах
мощного потребителя
.5.1 Эквивалентная схема замещения для тока
короткого замыкания на зажимах мощного потребителя (КЗ-3)
Рисунок 5.10 - Схема замещения для КЗ-3
5.5.2 Установим базисные величины
Базисная мощность, кВА:
;
Базисное напряжение, В:
;
Базисный ток, А:
.
.5.3 Сопротивления схемы замещения
КЗ-3
Параметры схемы замещения для КЗ-3
соответствуют приведенным параметрам схемы замещения для КЗ-1:
.5.4 Расчетное сопротивление цепи
КЗ-3
(Ом)
(Ом)
(Ом)
.5.5 Определение ударного коэффициента
.5.6 Определение ударного тока КЗ на зажимах
мощного потребителя
(А)
5.5.7 Определение номинального тока подпитки от
эквивалентного АД
(А)
5.5.8 Ударный ток подпитки от эквивалентного АД
(А)
.5.9 Полный ударный ток в точке КЗ-3
(А)
.5.10 Построение графика Iкз
= f(t)
График токов короткого замыкания на
зажимах мощного потребителя представлен на рисунке 5.11
Рисунок 5.11 - График токов короткого замыкания
в точке КЗ-3
.6 Мероприятия по снижению токов КЗ
Мощности современных энергетических систем
непрерывно повышаются, а токи короткого замыкания растут; при этом
электрические аппараты, шины и кабели, устойчивые при коротком замыкании,
становятся все более экономически дорогими. Ограничитель тока короткого
замыкания - устройство, препятствующее возрастанию выше допустимых или заданных
амплитуды или действующего значения силы тока короткого замыкания в
электрической сети. Ограничение токов короткого замыкания позволяет снизить
требования к термической и динамической устойчивости электропередачи.
Существуют следующие методы и средства
ограничения тока однофазного КЗ: увеличение переходных сопротивлений
генераторов, разземление части нейтралей трансформаторов; заземление нейтралей
через реакторы; заземление нейтралей через резисторы; применение реакторов
нулевой последовательности, реже - плавкие предохранители с мелкозернистым
наполнителем или взрывного типа. Потери мощности при номинальных токах в
реакторах невелики: менее 1% от мощности, пропускаемой реактором. Ограничение
токов однофазных КЗ с помощью резисторов или реакторов, включаемых в нейтраль,
менее эффективно, чем частичное разземление нейтралей, и требует дополнительных
затрат.
Схемные способы ограничения токов КЗ:
. Деление СЭС на две независимые части.
. Секционирование шин ГРЩ, причем в каждой
секции подключается определенная группа генераторов.
К началу 2006 г. в Германии, Японии и США были
завершены работы по созданию реальных прототипов коммерческих сверхпроводящих
ограничителей тока (СОТ) для сетей 6-10 кВ. Одним из наиболее успешно
реализованных проектов СОТ на напряжение 10 кВ является трехфазный
полупромышленный СОТ CULR-10 мощностью 10 МВА созданный в Германии. СОТ состоит
из 90 токоограничивающих элементов на основе плавленой ВТСП керамики Bi2212.
Годичные испытания CURL-10 в 2004 г. в энергосистеме показали его высокую
надежность, глубокое ограничение токов короткого замыкания и хорошее
быстродействие в 3-5 мс. СURL-10 стал первым в мире СОТ, который можно считать
реальным прототипом будущих коммерческих устройств. Однако следует отметить
высокую стоимость этого СОТ: цена одного (из 90 элементов) составляет 3000-5000
евро.
С 2003 г. в США компания Nexans ведет работы по
созданию матричного токоограничителя (MFCL), состоящего из большого числа
сверхпроводящих токоограничивающих элементов, шунтированных индуктивностями.
Конечной целью проекта является создание СОТ для сетей 110-220 кВ. Компания
Siemens в 2005 г. создала и успешно испытала модельный трехфазный 1 МВА, 10 кВ
СОТ на основе иттриевых ВТСП пленок (YBCO), быстродействие СОТ составило менее
2 мс, что позволило почти полностью ограничить ударный ток. Аналогичный проект
был реализован в Ю.Корее. В Японии фирма Toshiba ведёт разработку
токоограничивающих элементов для СОТ с током до 5 кА.
После появления в 2006 г. коммерческих ВТСП
проводов 2-го поколения и проводов на основе MgB2 (диборида магния)
можно ожидать их широкого использования для изготовления токоограничивающих
элементов СОТ. Токонесущая способность проводов на основе MgB2 выше,
чем у всех ныне существующих ВТСП материалов, а их ожидаемая цена составляет 5
долл./кАЧм (при рабочей температуре 25 К). Работы по созданию резистивного
токоограничителя на основе MgB2 (6,6 кВ, 400А) ведутся в Англии
компанией Rolls Royce.
.7 Проверка основных элементов ГРЩ на
термическую и динамическую устойчивость
.7.1 Проверка СШ ГРЩ на термическую устойчивость
Проверка на термическую устойчивость в
установках переменного тока производится по самому тяжелому в термическом
отношении виду КЗ, которым является замыкание на СШ ГРЩ
Исходные данные:
S = (80x6)
мм2
I”0 =
10,2 (o.e.)
= 56830 А
IӴ
= 3,7 (o.e.)
= 14450 А
.7.1.1 Определение температурного коэффициента
АТн
Для T=90 °С AТн=1,7*104 А2с/мм2
5.7.1.2 Определение фиктивного времени нагрева СШ
ГРЩ
По кривым tф = f(в) для
времени t=0,38 tфп=0,5
(с)
.7.1.3 Определение температурного
коэффициента (АТк), обусловленного действием токов короткого
замыкания
АІс/ммІ
.7.1.4 Определение температуры
нагрева сборных шин ГРЩ под действием ТКЗ
По расчетным кривым определяем
температуру нагрева СШ.
Тk = 91 ˚С< Тдоп
= 300˚С, следовательно СШ ГРЩ термически устойчивы.
5.7.2 Проверка СШ ГРЩ на динамическую устойчивость
Известно, что проводники, расположенные в
магнитном поле и обтекаемые током, оказываются под воздействием
электромагнитных сил, которые стремятся деформировать контур с током так, чтобы
магнитный поток, охватываемый им, увеличился (энергия системы возрастает). Эти
силы относительно малы в рабочем режиме электроустановки.
Рисунок 5.12 - Линейные размеры СШ
Однако при КЗ токи возрастают,
электродинамические силы увеличиваются и могут вызвать опасные механические
напряжения, создать условия для самопроизвольного отключения аппаратов и приваривания
контактных систем. Особенно опасны возникающие механические усилия при
прохождении ударных токов короткого замыкания.
Произведем проверку СШ ГРЩ на динамическую
устойчивость.
Для трёхфазного КЗ
;
а=50 мм; b=6 мм; h=80 мм; l=500 мм;
Iу=56830 (А)
.7.2.1 Определяем коэффициент
напряжения:
По кривой Кф= f((a-b)/(h+b)) находим
коэффициент формы
Кф=0,98
.7.2.2 Определяем
электродинамическую силу на единицу длины СШ ГРЩ:
кг/смІ
.7.2.3 Определяем расчетное
напряжение сборных шин ГРЩ
Величина изгибающего момента:
кгсм
Момент сопротивления шин
относительно оси, перпендикулярной к действию шины (при расположении шины на
ребре) :
cм3
(кг/см2),
Для медных шин допустимое
механическое напряжение составляет ддоп =1400 кг/см2 . Так как др =
54 кг/смІ < ддоп =1400 кг/см2, то сборные шины ГРЩ являются
динамически устойчивыми.
.7.2.4 Определение наибольшего
допустимого пролета
см
lmax=700см > l=500мм -
следовательно величина пролета крепления шин находится в допустимых пределах.
.7.3 Проверка автоматов ГРЩ на
термическую и динамическую устойчивость
.7.3.1 Произведем проверку автоматов
на динамическую устойчивость
На СШ ГРЩ: iу = 56 кА
< Iкздоп. = 110 кА,
На зажимах СГ: iу = 40 кА
< Iкздоп. = 70 кА,
На зажимах мощного потребителя: iу
= 26 кА < Iкздоп. = 30 кА,
Следовательно, выбранные автоматы
динамически устойчивы.
.7.3.2 Произведем проверку автоматов
на термическую устойчивость
Установившийся ток КЗ на сборных
шинах ГРЩ I¥. = 14450 А,
Фиктивное время нагрева СШ ГРЩ tф =
0,631 с ¥Іtф =
14450І*0,631 = 131*10
АІс = 131
кАІс
Так как I¥Іtф = 131 кАІс < 3000
кАІс, следовательно автомат типа АМ25-М термоустойчив.
5.8 Расчет провалов напряжения при пуске мощного
АД
.8.1 Эквивалентная схема замещения для цепи при
провале напряжения при включении мощного потребителя
Рисунок 5.13 - Эквивалентная схема замещения
.8.2 Параметры генератора МСК-103-4
- номинальное напряжение U=400
В
- полная мощность S=250
кВА
- активная мощность Р=200 кВт
- активное сопротивление обмотки
статора

o.e.
- синхронное сопротивление по поперечной оси 
- синхронное сопротивление по поперечной оси
- продольное сопротивление в переходном режиме 
- продольное сопротивление в сверхпереходном
режиме 
- постоянная времени в обмотке возбуждения при
разомкнутом статоре 
- постоянная времени в обмотке возбуждения при
коротком замыкании в обмотке статора 
- постоянна времени успокоительной обмотки при
коротком замыкании статора и обмотки возбуждения 
- постоянная времени обмотки статора при коротком
замыкании обмотки возбуждения 
2) Параметры
включаемой нагрузки МО250S2
- номинальная мощность 
- коэффициент мощность 
- кратность пускового тока 
.8.3 Определение параметров нагрузки:
(о.е.)
(о.е.)
(о.е.)
.8.4 Определение передаточной
функции:
При набросе нагрузки на синхронный генератор
характер изменения напряжения на выходе последнего определяется следующей
передаточной функцией:
,
где
,
,
,
,
,
,
;
Причем
;
;
;
;
.
5.8.5 Определение коэффициентов передаточной
функции
.8.6 Определение корней передаточной
функции
,
где
,
,
.
.8.7 Построение кривой провала
напряжения Ut = f(t)
Т.к. корни вещественны, то функция
примет следующий вид:
где
Провал напряжения больше 20%, следовательно
такой двигатель необходимо запускать при параллельной работа двух ДГА.
Рисунок 5.14 - График провала напряжения при
запуске АД от одного генератора
Рисунок 5.15 - График провала напряжения при
запуске АД от двух генераторов
.9 Мероприятия по снижению провалов напряжения
Современные судовые генераторы, системами
управляемого фазового компаундирования, обеспечивают повышенное качество
электроэнергии, отличаются более точным поддержанием величины напряжения на
зажимах. Это происходит в первую очередь за счет усиления форсировочной
способности системы возбуждения, которая обеспечивает практически одновременное
с моментом включения нагрузки увеличение напряжения возбуждения до максимально
возможной величины, определяемой степенью насыщения трехобмоточного
трансформатора компаундирования. При этом в большинстве случаев максимальное
изменение напряжения не превосходит первоначальной величины.
Двигатели большей мощности будут вызывать при
запусках провалы напряжения, превышающие 20%. В судовых электроэнергетических
системах можно применять следующие способы пуска электродвигателей с
искусственным понижением пусковых токов:
включение в обмотку статора активного или
реактивного сопротивления;
переключение обмотки статора со звезды на
треугольник;
Такие способы пуска связаны с уменьшением
подводимого к двигателю напряжения и поэтому имеют общий недостаток,
выражающийся в уменьшении пускового момента, пропорционального квадрату
напряжения.
Из перечисленных способов наиболее рациональным
по весу, габариту и простоте схемы пуска переключением обмотки статора со
звезды на треугольник.
6. Эксплуатация судовых синхронных генераторов
В процессе эксплуатации СГ могут возникать
неисправности, заключающиеся в нарушении функционирования элементов генератора.
Своевременное устранение этих неисправностей является важным условием безаварийной
работы СГ.
.1 Генератор не возбуждается
|
Причина
|
Способ
устранения
|
|
-
Остаточное напряжение меньше 3 В - Обрыв в цепи генератора начального пуска.
- Обрыв на стороне переменного или постоянного тока силовых выпрямителей. -
Пробой вентилей в блоке силовых выпрямителей. - Плохой контакт щеток с
контактными кольцами. - Обрыв междукатушечного соединения ротора.
|
-
Возбудить генератор от постороннего источника. - Найти место обрыва,
устранить его. - Найти с помощью пробника место обрыва и исправить. -
Проверить каждый вентиль, поврежденный заменить. - Устранить неисправность. -
Устранить неисправность, восстановить крепления перемычки.
|
.2 Напряжение на генераторе понижено или
уменьшен ток ротора при параллельной работе генератора
|
Причина
|
Способ
устранения
|
|
-
Неисправности в цепи обмоток управления. - Повреждены силовые выпрямители.
|
-
Проверить схему соединения обмоток. -Найти неисправные и заменить.
|
Причина
|
Способ
устранения
|
|
-
Обрыв в цепи питания корректора напряжения или в цепи уравнительных связей. -
Пробой вентилей в блоках корректора напряжения.
|
-
Найти место обрыва и исправить. - Проверить вентили, поврежденные заменить.
|
6.4 Устойчивые колебания напряжения генераторов
|
Причина
|
Способ
устранения
|
|
-
Обрыв в цепи обратной связи по ротору корректора напряжения.
|
-
Найти место обрыва и исправить.
|
.5 Ток ротора при параллельной работе сильно
понижен (повышен)
|
Причина
|
Способ
устранения
|
|
-
Обрыв в цепи уравнительных соединений
|
-
Найти место обрыва и исправить.
|
.6 Повышенный нагрев подшипников
|
Причина
|
Способ
устранения
|
|
-
Недостаточное или чрезмерное смазывание, загрязнение смазки, попадание воды в
смазку. - Механическое повреждение подшипников. - Неудовлетворительная
центровка ГА. - Прохождение тока через подшипники.
|
-
Вскрыть подшипник, промыть его и вновь наполнить рекомендуемой смазкой. -
Заменить подшипник. - Проверить центровку. - Восстановить изоляцию
подшипника.
|
.7 Искрение щеток и обгорание контактных колец
|
Причина
|
Способ
устранения
|
|
-
Контактные кольца и щетки загрязнены и шероховаты. - Чрезмерное радиальное
биение контактных колец. - Поставлены щетки несоответствующей марки.
|
-
Првести чистку и шлифовку колец и щеток. - Проточить и отшлифовать контактные
кольца, притереть щетки. - Поставить щетки соответсвующей марки.
|
.8 Общий нагрев генератора
|
Причина
|
Способ
устранения
|
|
-
Генератор перегружен. - Засорены вентиляционные каналы, загрязнились фильтры,
активная сталь и обмотки покрылись грязью. - Нет доступа воды в холодильник.
|
-
Устранить перегрузку. - Очистить генератор, продуть сжатым воздухом, промыть
сетки фильтров. - Открыть клапан, регулирующий подачу воды в холодильник.
|
6.9 Чрезмерное нагревание обмотки статора
|
Причина
|
Способ
устранения
|
|
-
Генератор перегружен или нарушена его нормальная вентиляция.
|
-
Устранить перегрузку, восстановить вентиляцию.
|
.10 Активная сталь статора равномерно перегрета
(при нормальной нагрузке генератора)
|
Причина
|
Способ
устранения
|
|
-
Генератор работает с напряжением, превышающим номинальное. - Генератор
работает с частотой вращения ниже номинальной.
|
-
Понизить напряжение до номинального. - Повысить частоту вращения до
номинального значения.
|
.11 Активная сталь местами сильно перегревается
|
Причина
|
Способ
устранения
|
|
-
Между отдельными листами активной стали происходят местные замыкания,
вызванные заусенцами, образовавшимися при опиловке или задевания ротора о
статор.
|
-
Удалить заусенцы, обработать места замыкания напильником, разъединить
соединяющие листы статора и покрыть их изоляционным лаком.
|
.12 Перегрев обмотки ротора
|
Причина
|
Способ
устранения
|
|
-
Генератор работает с напряжением, превышающим номинальное. - Частота вращения
ниже номинальной. - Генератор работает с пониженным коэффициентом мощности
(его реактивная мощность слишком велика). - Междувитковое замыкание
|
-
Понизить напряжения до номинального значения, проверить систему
самовозбуждения. Повысить частоту вращения - Снизить реактивную нагрузку или
принять меры к увеличению коэффициента мощности (у одиночно работающего
генератора). - Устранить междувитковое замыкание
|
6.13 Повышенная вибрация генератора
|
Причина
|
Способ
устранения
|
|
-
Неправильная центровка генератора с приводным двигателем. - Недостаточная
жесткость фундаментной рамы. - Неудовлетворительная балансировка ротора после
ремонта.
|
-
Отцентровать генератор с приводным двигателем. - Увеличить жесткость
фундаментальной рамы. - Отбалансировать ротор.
|
.14 Низкое сопротивление изоляции
|
Причина
|
Способ
устранения
|
|
-
Загрязнение обмоток статора, ротора, контактных колей, траверсы, панели
выводов и др. - Чрезмерная влажность обмоток. - Нарушена изоляция токоведущих
частей. - Понизилось сопротивление изоляции подводящих кабелей.
|
-
Удалить грязь и пыль, продуть генератор сжатым воздухом, доступные части
протереть ветошью, смоченной бензином и просушить. - Просушить обмотки. -
Восстановить изоляцию, покрыв ее влагостойкой электроизоляционной эмалью. -
Найти и устранить причину.
|
7. Технико-экономическое обоснование расчёта СЭС
.1 Предварительные замечания
В данном дипломном проекте рассматривается
экономическая эффективность, которую дает проектируемая СЭС. Основной задачей
при проектировании СЭС является создание оптимальной системы, обладающей
максимальной эффективностью. Сравнительная оценка СЭС может быть произведена на
основе комплексного критерия эффективности, как отдельных ее частей, так и всей
системы в целом. Эффективность проектирования СЭС можно охарактеризовать
четырьмя группами показателей: функциональными, эксплуатационными,
конструктивными и экономическими.
Все эти показатели взаимосвязаны между собой.
Функциональные показатели характеризуют качество электроэнергии, степень
загрузки генераторных агрегатов во всех эксплуатационных режимах работы,
селективность быстродействия системы защиты.
Основные эксплуатационные показатели:
надежность, живучесть и ремонтопригодность.
Характерной особенностью этих показателей
является то, что их достаточная достоверность может быть получена после
относительно длительного периода работы объекта.
Основными конструктивными показателями являются:
масса, габариты, водозащищённость и вибростойкость.
Оценка этих показателей сравнительно проста, так
как большинство из рассматриваемых конструкций нормализированы.
Экономическими показателями являются:
капитальные вложения;
эксплуатационные затраты;
приведенные затраты Wп;
полные затраты W.
Эти обобщенные показатели определяются
стоимостью НИР, проектирования и изготовления Wр, эксплуатационными расходами
Wэ, экономической эффективностью СЭС за год.
Для расчета эффективности новой разработки пользуются
следующими соотношениями:
ф = Wp/(B+Wэ);п = Wp + ф·Wэ;= Wц + Тс·Wэ;
где: ф - нормативный срок эксплуатации;
Тс - продолжительность эксплуатации СЭС.
В данном дипломном проекте необходимо сравнить
два варианта комплектации СЭС и на основе расчета годового экономического
эффекта обосновать выбор комплектации СЭС.
.2 Варианты комплектации СЭС
Для решения экономичности судовой
электроэнергетической системы выбирается два различных варианта состава
основных элементов СЭС:
вариант 1(основной) - три дизель-генераторных
агрегата смонтированных на рамах генераторов типа МСК-103-4 номинальной
мощностью Pн = 200 кВт а так же трех дизелей: 12ЧСП15/18.
вариант 2 (альтернативный) - четыре
дизель-генераторных агрегата смонтированных на рамах генератора типа МСК-102-4
мощностью Рн =150 кВт, а так же дизелей 12ЧСП15/18.
Основные характеристики дизель-генераторных
агрегатов приведены в таблице 8.1
Таблица 7.1 - Характеристики ДГА
|
Вар.
|
Приводной
двигатель
|
Количество
|
Генератор
|
Количество
|
|
Тип
|
Мощность,
л.с.
|
|
Тип
|
Мощность,
кВт
|
|
|
1
|
12ЧСП15/18
|
407
|
4
|
МСК-103-4
|
200
|
4
|
|
2
|
12ЧСП15/18
|
407
|
5
|
МСК-102-4
|
150
|
5
|
.2.1 Расчёт режимов работы судна
Для расчёта режимов работы судна необходимо
знать следующие его характеристики:
автономность рейса, суток 180;
грузоподъемность Q
10000;
скорость в балласте Vб,
узлов 18;
скорость с грузом Vг,
узлов 18;
Данные характеристики являются
среднестатистическими для судов данного класса.
.2.2 Расчёт эксплуатационного режима работы
 [суток]
где ТЭ - время нахождения
судна в эксплуатации; ТКАЛ - время календарное за год; ТВ.Э.
- время нахождения судна вне эксплуатации.
 [суток]
7.2.3 Расчёт времени переходов судна к месту
загрузки и обратно
 [суток]
где: tХ - время
перехода судна к месту загрузки и обратно; R -
расстояние до места загрузки и обратно, принимаем R=1000км; VЭ -
эксплуатационная скорость судна.
 [суток]
.2.4 Время стоянки судна под
загрузкой и выгрузкой
 [суток]
где: tП - время
стоянки под загрузкой и выгрузкой; GГР - плановая
грузоподъемность; аГР=0,95- коэффициент использования
грузоподъемности;
∙НГР -
среднесуточная валовая норма погрузочно-разгрузочных работ в порту назначения; kЗ -
коэффициент учитывающий время на выполнение вспомогательных и других операций в
море, k3 = 1,5.
 [суток]
.2.5 Время стоянки судна без
грузовых операций
 [суток]
где tСБГ - время
стоянки судна без грузовых операций;
 [суток]
.2.6 Расчёт времени нахождения судна
в одном рейсе
 [суток]
 [суток]
7.2.7 Расчёт количества рейсов за
год
 рейс
 рейс
Таблица 7.2 - Расчет режимов работы
за год
|
Наименование
режима
|
Длительность
|
|
Суток
|
Часов
|
|
Календарный
за год
|
365
|
8760
|
|
Продолжительность
ремонта
|
65
|
1560
|
|
Продолжительность
эксплуатации
|
300
|
7500
|
|
Длительность
рейса
|
8.97
|
215
|
|
Число
рейсов
|
33
|
---
|
Таблица 7.3 - Время работы СЭС в основных
режимах работы судна
|
Режим
судна
|
За
рейс
|
За
год
|
|
Суток
|
Часов
|
Суток
|
Часов
|
|
Ходовой
|
4.62
|
110
|
152.4
|
3659
|
|
Стояночный
без ГО
|
1.45
34.847.81148.4
|
|
|
|
|
Стояночный
с ГО
|
2.9
|
69.6
|
95.7
|
2296.8
|
|
Маневренный
|
0,72
|
17,28
|
27,76
|
666,24
|
|
ВСЕГО
|
9.69
|
231,68
|
323,66
|
7770,44
|
.4 Расчёт мощности СЭС по режимам работы судна
Расчёт производим по данным проекта, приведенным
в таблице 8.3. Данные сводим в таблицу 8.4.
Таблица 7.4 - Мощность СЭС по режимам работы и
загрузке
|
Режим
работы
|
Мощность,
кВт
|
Загрузка
вариант 1, о.е.
|
Загрузка
вариант 2, о.е.
|
|
Ходовой
|
438
|
73
|
73
|
|
Стояночный
без ГО
|
283
|
70
|
63
|
|
Стояночный
с ГО
|
356
|
87
|
79
|
|
Маневренный
|
548
|
90
|
90
|
.4.1 Характеристики ДГА
Таблица 7.5 - Характеристики ДГА
|
Дизель
|
Расход,
кг/кВтч
|
Генератор
|
Стоимость,
тыс. грн
|
|
Тип
|
N,л.с
|
Топлива
|
Масла
|
тип
|
Р,
кВт
|
|
|
12ЧСП15/18
|
407
|
0.237
|
0.012
|
МСК-103-4
|
200
|
320000
|
|
12ЧСП15/18
|
407
|
0.237
|
0.012
|
МСК-102-4
|
150
|
305000
|
|
6Ч15/18
|
150
|
0.237
|
0.012
|
МСК-91-4
|
75
|
190000
|
.4.2 Расчёт капитальных вложений
Таблица 7.6 - Суммы капитальных вложений по
вариантам
|
Вариант
|
Наименование
|
Количество
|
Стоимость,
грн.
|
Суммарная
стоимость, грн.
|
Примечание
|
|
1
|
ДГА
|
4
|
320000
|
1280000
|
|
|
АДГ
|
1
|
190000
|
190000
|
|
|
ГРЩ
с аппаратурой
|
1
|
450000
|
450000
|
|
|
Монтажные
расходы
|
6
|
|
288000
|
15%
|
|
Транспортные
расходы
|
|
|
96000
|
5%
|
|
ВСЕГО
|
2304000
|
|
|
2
|
ДГА
|
5
|
305000
|
1525000
|
|
|
АДГ
|
1
|
190000
|
190000
|
|
|
ГРЩ
с аппаратурой
|
1
|
450000
|
450000
|
|
|
Монтажные
расходы
|
7
|
|
324750
|
15%
|
|
Транспортные
расходы
|
-
|
|
108250
|
5%
|
|
ВСЕГО
|
2598000
|
|
.5 Годовые эксплуатационные расходы
.5.1 Определение расхода топлива и масла и их
стоимости
Для работы дизелей выбираем дизельное топливо
стоимостью 5500 гривен за тонну и масло -стоимостью 10400 гривен за тонну,
стоимость бункеровки составит 3 - 5% от стоимости топлива.
Расчет производится с учетом бункеровки + 4%.
ДТ = 5500*1.04=5.7грн./кг
ДМ = 10400*1,04=10,8 грн./кг
.5.2 Определение расходов топлива в зависимости
от процентной загрузки ДГА
Таблица 7.7 - Расчет расхода топлива и масла и
их стоимости
|
Режим
работы
|
Число
и мощность ГА, кВт
|
Загрузка,
%
|
Расход
топлива, кг/кВт*ч
|
Стоимость
топлива, грн./ч
|
Расход
масла, кг/ч
|
Стоимость
масла, грн./ч
|
Общая
стоимость, грн./ч
|
|
Вариант
1
|
|
Ходовой
|
3*200
|
73
|
142
|
809
|
7.2
|
78
|
887
|
|
Стояночный
без ГО
|
2*200
|
70
|
87
|
497
|
4.8
|
51
|
548
|
|
Стояночный
с ГО
|
2*200
|
87
|
87
|
497
|
4.8
|
51
|
548
|
|
Маневренный
|
3*200
|
90
|
142
|
809
|
7.2
|
78
|
887
|
|
Всего
|
|
|
|
2612
|
|
258
|
2870
|
|
Вариант
2
|
4*150
|
73
|
142
|
809
|
7.2
|
78
|
887
|
|
Стояночный
без ГО
|
3*150
|
63
|
107
|
607
|
5.4
|
59
|
665
|
|
Стояночный
с ГО
|
3*150
|
79
|
107
|
607
|
5.4
|
59
|
665
|
|
Маневренный
|
4*150
|
73
|
142
|
809
|
7.2
|
78
|
887
|
|
Всего
|
|
|
|
2832
|
|
274
|
3106
|
7.5.3 Расчёт годовой стоимости топлива и масла
Таблица 7.8 - Годовая стоимость топлива и масла
в гривнах
|
Режим
работы судна
|
Вариант
1
|
Вариант
2
|
|
Ходовой
|
3245533
|
3245533
|
|
Стояночный
без ГО
|
629104
|
763420
|
|
Стояночный
с ГО
|
1258208
|
1526840
|
|
Маневренный
|
590742
|
590742
|
|
ВСЕГО
за год
|
5723587
|
6126535
|
.6 Расчёт условно-переменной стоимости кВт*ч
электроэнергии.
Расчет приведен в таблице 8.9
Таблица 7.9 - Расчет условно-переменной
стоимости
|
Режим
работы судна
|
Расчётная
мощность, кВт
|
Число
часов работы за год
|
Годовая
выработка э/энергии кВт∙ч
|
Стоимость
топлива и масла, грн.
|
Стоимость
кВт∙ч, грн.
|
|
Вариант
1
|
|
Ходовой
|
438
|
3659
|
1602642
|
3245533
|
2.02
|
|
Стояночный
без ГО
|
283
|
1148.4
|
324997,2
|
629104
|
1.93
|
|
Стояночный
с ГО
|
356
|
2296.8
|
817660,8
|
1258208
|
1.53
|
|
Маневренный
|
547
|
666,24
|
364433,28
|
590742
|
1.62
|
|
ВСЕГО
|
|
7770,44
|
3109733,28
|
5723587
|
1.84
|
|
Вариант
2
|
|
Ходовой
|
438
|
3659
|
1602642
|
3245533
|
2.02
|
|
Стояночный
без ГО
|
283
|
1148.4
|
324997,2
|
763420
|
2.34
|
|
Стояночный
с ГО
|
356
|
2296.8
|
817660,8
|
1526840
|
1.86
|
|
Маневренный
|
547
|
666,24
|
364433,28
|
590742
|
1.62
|
|
ВСЕГО
|
|
7770,44
|
3109733,28
|
6126535
|
1.97
|
.7
Расчет заработной платы экипажа
Среднесуточное содержание одного члена экипажа
составляет Sэк = 40 грн/день. Поскольку плата обслуживающему
персоналу в обоих вариантах комплектации СЭС одинакова, то расчет производится
для одного варианта.
Расход на содержание экипажа с учетом периода
ремонта С, грн.
С=0,95∙ Sэк∙
Nэк∙365,
где Sэк
= 75 - суточное содержание одного члена экипажа, грн;
Nэк
= 4 - число членов экипажа, обслуживающих СЭС.
С= 0,95∙75∙4∙365=104025 грн.
Таблица 7.10 - Расход на содержание
обслуживающего персонала
|
Должность
|
Штат
|
Стоимость
|
|
|
суточная,
грн/сут
|
годовая,
грн.
|
|
Старший
механик
|
1
|
75
|
104025
|
|
Механик
|
2
|
75
|
208050
|
|
Электромеханик
|
1
|
75
|
104025
|
|
ВСЕГО
|
4
|
--
|
416100
|
|
С
отчислениями 37 %
|
--
|
--
|
570057
|
Итого затраты на содержание экипажа составят
570057 грн/год
.9 Приведенные расходы
Расчёт эксплуатационных расходов за год приведён
по двум вариантам в таблице 7.11.
Wам1=Wкап1*0,15=2304000*0,15=345600
Wам2=Wкап2*0,15=2598000*0,15=389700
Wрем1=Wкап1*0,032=2304000*0,032=73728
Wрем2=Wкап2*0,032=2598000*0,032=83136
Wмат1=Wкап1*0,005=2304000*0,005=11520
Wмат1=Wкап1*0,005=2598000*0,005=12990
Wкос1=(Wсод1+
Wам1+ Wрем1+Wмат1)*0,055=55049
Wкос2=(Wсод2+
Wам2+ Wрем2+
Wмат2)*0,055=58073
Таблица 7.11 - Эксплуатационные расходы
|
№
|
Статьи
расходов, грн.
|
Вариант
1
|
Вариант
2
|
Примечания
|
|
1
|
Затраты
на содержание экипажа
|
570057
|
570057
|
|
|
2
|
Топливо
и масло
|
5723587
|
6126535
|
|
|
3
|
Амортизационные
отчисления
|
345600
|
389700
|
15%
от капитальных вложений
|
|
4
|
Затраты
на ремонт
|
73728
|
83136
|
3.2%
от капитальных вложении
|
|
5
|
Материалы
на эксплуатацию
|
11520
|
12990
|
0,5%
от капитальных вложении
|
|
6
|
Косвенные
расходы
|
55049
|
58073
|
5,5%
от суммы прямых расходов СЭС без учета ГСМ
|
|
7
|
ВСЕГО
|
6779541
|
7240491
|
|
7.10 Расчет сравнительной экономической
эффективности капитальных вложений
Рассчитываем приведенные затраты варианта СЭС:
п=Wэ+Ен∙Wо,
где Wэ - эксплуатационные затраты
СЭС, грн; Wо
- капитальные вложения, грн; Кн - нормативный коэффициент
эффективности капитальных вложений.
п1=Wэ1+
Ен∙Wо
=6779541+0,15*2304000=7125141 грн.п2=Wэ2+ Ен∙Wо
=7240491+0,15*2598000=7630191 грн.
Рассчитываем удельные эксплуатационные расходы
себестоимости 1 кВт∙ч
,
где Wэ - годовые
эксплуатационные расходы, грн/год; Bэ - годовой
объем вырабатываемой электроэнергии, кВт∙ч.
грн;
грн.
Рассчитываем удельные капитальные
вложения W0уд
,
где W0 -
капитальные вложения в СЭС; Bэ - годовой
объем вырабатываемой электроэнергии, кВт∙ч.
грн/кВт∙ч;
грн/кВт∙ч.
Рассчитываем удельные приведенные
затраты WПуд
WПуд= ,
где WП -
приведенные затраты варианта СЭС; Bэ - годовой
объем вырабатываемой электроэнергии, кВт∙ч.
грн/кВт∙ч.
грн/кВт∙ч.
Годовая сравнительная экономическая
эффективность Эср- это разность приведенных затрат базового и
проектируемого вариантов СЭС:
Эср= WПбаз -WПпр
Все расчеты сведены в таблицу 7.12
Таблица 7.12 - Технико-экономические
показатели СЭС
|
Наименование
показателей
|
Обозначение
|
Ед.
изм.
|
Варианты
|
|
|
|
1(основной)
|
2(альтернативный)
|
|
Вырабатываемая
электроэнергия
|
ВЭ
|
кВт∙ч
|
3109733
|
3109733
|
|
Скорость
судна техническая
|
VТЕХ
|
узлы
|
20
|
20
|
|
Скорость
судна эксплуатационная
|
VЭ
|
узлы
|
18
|
18
|
|
Капитальные
вложения в СЭС
|
WО
|
грн
|
2304000
|
2598000
|
|
Удельные
капиталовложения
|
WОуд
|
грн/кВт∙ч
|
0,74
|
0,83
|
|
Годовые
эксплуатационные расходы
|
WЭ
|
грн/год
|
6779541
|
7240491
|
|
Средняя
себестоимость 1 кВт∙ч электроэнергии
|
WЭуд
|
грн/кВт∙ч
|
2,1
|
2,3
|
|
Приведенные
затраты
|
WП
|
грн
|
7125141
|
7630191
|
|
Удельные
приведенные затраты
|
WПуд
|
грн/кВт∙ч
|
2,29
|
2,45
|
|
Годовая
сравнительная экономическая эффективность
|
ЭСР
|
грн
|
505050
|
7.11 Выводы по разделу
В главе технико-экономического обоснования были
рассчитаны два варианта комплектации СЭС:
Для решения экономичности судовой
электроэнергетической системы выбирается два различных варианта состава
основных элементов СЭС:
вариант 1(основной) - три основных
дизель-генераторных агрегата смонтированных на рамах генераторов типа МСК-103-4
номинальной мощностью Pн = 200 кВт, одного резервного генератора МСК-103-4
Р=200 кВт а так же дизелей: 12ЧСП15/18 и аварийного генератора МСК-91-4 Р=75
кВт и дизеля соответственно 6Ч15/18
вариант 2 (альтернативный) - четыре
дизель-генераторных агрегата смонтированных на рамах генератора типа МСК-102-4
мощностью Рн =150 кВт и одного резервного генератора МСК-102-4 Р=150 кВт , а
так же дизелей 12ЧСП15/18 и аварийного генератора МСК-91-4 Р=75 кВт и дизеля
соответственно 6Ч15/18
Не смотря на достаточную схожесть комплектаций и
разность в стоимости оборудования СЭС, решающими факторами в оценке
эффективности комплектации стали количество ГА и их стоимость, а также
коэффициент загрузки ГА во время стоянки.
В результате расчетов и сравнений выяснили, что
первый вариант в сравнении со вторым, дает годовой экономический эффект в
размере 505050 гривен.
8. Охрана труда и окружающей среды
Задание выполнено для сухогруза
DW=10000
Ширина=19м.
Количество ДГ-4
.1 Предварительные замечания
Целью данного раздела является выявление
действующих на человека при работе на объекте опасных и вредных
производственных факторов, которые в определенных случаях могут привести к
травмам и профессиональным заболеваниям.
Специфическая особенность работы на морском
транспорте, разнообразие технических средств и высокая насыщенность ими
современных судов требуют глубоких и твердых знаний в области охраны труда,
позволяющих предупредить несчастные случаи и профессиональные заболевания моряков,
а также быстро и умело ориентироваться в сложных условиях морского плаванья.
Воздействие производственной среды в процессе
трудовой деятельности обуславливается:
· степенью механизации, автоматизации,
герметичности оборудования;
· характером труда;
· санитарными условиями труда
(загрязнение воздуха пылью или газами, шум, вибрация, различные излучения).
Рассматриваемая, в данном дипломном проекте
судовая электроэнергетическая система, предназначена для выработки, передачи и
распределения между потребителями электроэнергии, состоит из большого
количества разнообразных технических средств и устройств, которые несут с собой
практически весь комплекс опасностей и вредностей, в той или иной степени
угрожающие здоровью человека.
При проектировании судовых устройств и систем
необходимо руководствоваться нормативными документами. Эти документы
регламентируют конкретные требования безопасности, учитывающие назначение судна
и его оборудование.
В случае неполадок с автоматизацией вахтенное
место электромеханика переносится с мостика в ЦПУ, поэтому ниже произведен
анализ условий труда обслуживающего персонала в помещениях, где размещается
проектируемое электрооборудование и появляются вредные факторы, воздействующие
на персонал.
Не менее важной задачей является охрана окружающей
среды. Поэтому необходимо выявить источники загрязнения окружающей среды судном
и определить мероприятия для ликвидации источников загрязнения.
.2 Анализ условий труда вахтенного
электромеханика в помещении ЦПУ
.2.1 Краткая характеристика помещения
Помещение ЦПУ находится в непосредственной
близости с машинным отделением. Поэтому при рассмотрении вредных факторов
необходимо учитывать источники, находящиеся не только в ЦПУ, но и в машинном
отделении.
Источником вредных факторов в помещении ЦПУ являются
распределительные сети и кабели, которые вызывают:
· электромагнитные излучения;
· повышенную пожароопасность;
· возможность поражения электрическим
током;
В свою очередь машинное отделение, из-за наличия
в нем главного и вспомогательного двигателей, генераторов, вентиляторов,
насосов, является источником вибрации и шума, а также создает опасность
теплового травматизма и других вышеперечисленных факторов.
Можно сказать, что с утратой автоматизации
класса АUT 1, судно
переходит на автоматизацию АUT
2
с вахтой электромеханика в помещении ЦПУ.
Помещение ЦПУ предназначено для установки в нем
контрольно-измерительных приборов, органов управления ГЭУ, ДГА, ГРЩ. ЦПУ должен
быть надежно защищен от воздействия источников избыточного тепла, повышенных
шумов и вибраций, оборудован системой кондиционирования воздуха, так как в нем
постоянно находится вахтенный электрик.
ЦПУ представляет собой щит с наклонно
расположенными панелями; высота со стороны рабочего места составляет 700 мм,
что удобно для работы.

Рисунок 8.1 - Схема помещения ЦПУ
ЦПУ относится к специальным
электрическим помещениям, т.е. двери закрываются на замок и открываются наружу;
производится постоянная вентиляция; в таком помещении исключена возможность
концентрации газов, паров воды, масла и топлива, кислотных испарений. С
передней стороны ГРЩ имеется проход шириной более 2м, а с задней стороны - 1м,
с обеих сторон установлены диэлектрические поручни. Пространство позади ГРЩ с
открытыми токоведущими частями, ограничено и снабжено дверьми.
8.3 Электробезопасность при эксплуатации
электростанции
Электробезопасность занимает особое место среди
других вопросов безопасности и охраны труда, так как поражение электрическим
током нередко приводит к смертельному исходу. Поражение электрическим током
происходит при соприкосновении человека с токоведущими частями электрической
установки, находящейся в этот момент под напряжением. Нередко причинами
несчастных случаев является неисправность изоляции, вследствие чего,
нетоковедущие части установок (корпус) могут оказаться под напряжением.
При осмотре электрических машин необходимо
обращать особое внимание на состояние сопротивления изоляции машины и ее
грелок; на соединение проводов и кабелей; на ограждение токоведущих и
ограждающих частей; на наличие и исправность заземления и пр.
При проектировании СЭС необходимо предусмотреть
меры предосторожности человека, оценивая возможную величину тока, проходящего
через тело человека, в случае прикосновения к токоведущим частям установки,
находящимся под напряжением. На судне линейное напряжение Uл=380В,
f=50Гц, сеть
трехфазного переменного тока с изолированной нейтралью. Данные генераторов:
МСК-103-4 (Р=200 кВт, U=400/230В,
n=1500 об/мин,
КПД=90.5%
ЦПУ по характеру помещения относится к
помещениям с повышенной опасностью. Согласно требованиям Правил Регистра на
судне предусмотрены меры по предотвращению опасности поражения электрическим
током, к ним относятся:
электрооборудование в ЦПУ выполнено в морском
исполнении;
контроль сопротивления изоляции производится
мегомметром и ПКИ;
двери ГРЩ, крышки РЩ, блоков автоматики снабжены
защитной блокировкой;
на ГРЩ установлены поручни из диэлектрического
материала;
токоведущие шины, заземляющие соединения окрашены
в соответствующие цвета;
заземлены металлические части
электрооборудования;
помещение ЦПУ снабжено знаком опасности;
имеются в наличии изолирующие средства защиты;
диэлектрические перчатки, инструменты с
изолированными рукоятками, диэлектрические ботинки;
пол в ЦПУ возле ГРЩ покрыт специальными
резиновыми ковриками.
.4 Мероприятия по защите жидких и газообразных
веществ от статического электричества
Электризация происходит тем интенсивнее, чем
выше электрическое сопротивление жидкости или меньшее их электрическая
проводимость. Жидкости обнаруживают сильную электризацию, когда электрическая
проводимость их не превышает 10-9 Ом*см. Низкокипящие углеводороды
электризуются слабее, чем высококипящие. Наличие в нефтепродуктах
неэлектропроводных примесей, газов, воздуха значительно усиливает их
электризацию.
Интенсивность электризации прямо пропорциональна
скорости подачи жидкого нефтепродукта. Скорость накопления зарядов,
образующихся при перекачке нефтепродуктов, составляет от одного до нескольких
микрокулонов на 1 л.
Наибольшая электризация наблюдается в
трубопроводах, изготовленных из низкоуглеродистых сталей. Шероховатость
поверхности трубопроводов приводит к завихрениям жидкости при ее движении,
из-за чего усиливается электризация нефтепродукта.
Как показывает практика, электризация жидкости
возникает и усиливается лишь в некоторых наиболее благоприятных для
электризации местах (клапаны, насосы, изменения сечения трубопровода). На
других участках электризованная жидкость или теряет свои заряды, или только
сохраняет полученный заряд. Зная расход нефтепродукта, количество перекачанного
продукта в единицу времени и величину сопротивления, можно с достаточной
практической точностью определить потенциал в вольтах , возникающий на приемной
емкости:
,
где q - скорость
электризации или заряд электризуемого продукта, Кл/л;
М - количество перекачанного
продукта, л;
R -
сопротивление токопроводящего соединения между емкостью и наполнителем, Ом.
Для предупреждения накопления статического
электричества необходимо:
не допускать загрязнения
нефтепродуктов коллоидными растворимыми материалами (резиной, асфальтом и др.);
удалять остатки воды после очистки
емкостей и трубопроводов;
вентилировать емкости с
нефтепродуктами для удаления взрывоопасной смеси горючих веществ с воздухом.
Введение в состав нефтепродуктов
антистатических присадок повышает их электропроводность, а следовательно,
ослабляет опасные проявления статической электризации.
Сливные резиновые шланги с
металлическими наконечниками для налива в бочки должны быть заземлены медной
проволокой, обвитой по шлангу снаружи с шагом 0,1 м или пропущенной внутри, с
припайкой одного конца к металлическим частям продуктопровода, а другого - к
наконечнику шланга. Наконечники шлангов должны применяться из металла (бронза,
алюминий), не дающего искры при ударе.
Отбор проб жидкостей из емкостей
(резервуаров) во время их заполнения или опорожнения запрещается. Отбор проб
следует производить лишь после того, как жидкость придет в спокойное состояние.
.5 Опасности механического и
теплового травматизма
Возможность получения травм механического и
теплового характера в ЦПУ связано с несоблюдением техники безопасности при
эксплуатации электрооборудования. По требованиям Регистра предусмотрены
средства защиты от механического и теплового травматизма - оградительные
устройства от попадания человека в опасную зону. Так как ЦПУ и другие помещения
судна подвержены качке, то помещения должны быть оборудованы поручнями.
Тепловой травматизм связан с наличием нагретых частей. По ГОСТ 12.4.026-93
используются предупреждающие знаки опасности.
.6 Пожаробезопасность
По степени пожароопасности помещение ЦПУ
соответствует категории П - пожароопасное. По статистическим данным основные
причины пожаров в помещениях СЭУ в процентном соотношении составляют:
неисправность или перегрузка
электрораспределительных устройств и кабельных сетей - 25%;
неисправность ГА и газовых траков двигателей -
20%;
воспламенение топлива и масла от нагретых
поверхностей или под действием открытого пламени - 25%;
ремонтные работы (сварка, газорезка и нагрев) и
нарушение правил технической эксплуатации - 30%.
Наибольший ущерб могут принести
распространяющиеся пожары, охватывающие значительную часть одного или
нескольких помещений.
Причинами возгорания могут быть:
однофазное замыкание через остаточное
сопротивление;
электрическая дуга;
короткое замыкание.
Для поддержания высокой пожаробезопасности
необходимо контролировать состояние изоляции СЭС в целом, а также избирательно.
С этой целью в проектированном судне используется прибор типа ПКИ, а также
предусматривается четкое выполнение правил техники безопасности, то есть
наличие соответствующего оборудования и поддержания его в порядке.
Пожарная безопасность должна обеспечиваться как
в рабочем, так и в аварийном состоянии объекта. Для обнаружения пожара
применяется система с тепловыми извещателями - легковоспламеняющимися
вставками, как наиболее дешевая и удобная. Так как в ЦПУ находятся токоведущие
шины и кабели, а также коммутационная аппаратура, то для тушения пожара
применяется система углекислотного пожаротушения.
Для тушения пожаров в ЦПУ используются первичные
средства пожаротушения (огнетушитель - пенный химического типа ОХП - 10,
углекислотные типа ОУ - для тушения электроустановок под напряжением).
На перекрытиях между ПУ и расположенными над ним
помещениями установлена изоляция противопожарная типа А - 15, то есть защита
выполнена в соответствии с требованием Правил Регистра.
Прокладка кабелей по верхней палубе в районе
грузовых танков предусмотрена в стальных трубах, защищающих их от механических
повреждений. Крепление трасс кабелей выполнено при помощи кабельных подвесок,
одиночных кабелей на скоб-мостах; в местах возможных повреждений кабели
защищены металлическими кожухами или проложены в трубах. Проход кабелей через
водо- и газонепроницаемые переборки и палубы осуществляется через кабельные
коробки, уплотняемые эпоксилно-тиоколовым компаундом или через индивидуальные
сальники.
Металлические корпуса электрических машин и
аппаратов, работающих при напряжении свыше 30 В, электрически соединены с
корпусом судна при помощи заземляющих перемычек из меди или латуни.
Предусмотрено заземление корпуса судна на береговое заземляющее устройство.
.7 Микроклимат и вредные примеси в помещении ЦПУ
Микроклиматические условия в помещении ЦПУ
определяются ГОСТ12.1.005 - 88, которые устанавливают общие санитарно -
гигиенические требования к температуре, влажности, скорости движения воздуха
(таблица 8.1)
Таблица 8.1 - Гигиенические требования
|
Параметр
|
Период
|
|
Летний
|
Зимний
|
|
Температура
воздуха,єС Влажность воздуха,% Скорость движен. воздуш. потоков,м/с
|
23-25
40-60
0,3-0,8
|
18-20
40-60 0,2-0,3
|
В помещении ЦПУ преобладающим вредным фактором
является избыточное тепловыделение. Оно возникает от непосредственной близости
машинного отделения, где установлены генераторы и дизели. Воздух помещения также
содержит такие вредные примеси, как углеводороды (ПДК=5мг/мі), что устраняется
работой приточно-вытяжной вентиляции. Также в помещении ЦПУ установлена система
кондиционирования воздуха, которая обеспечивает нормируемые параметры состояния
воздушной среды и система электроотопления с использованием низкотемпературных
нагревателей.
.8 Вибрация и шум
Машинное отделение из-за наличия в нем
двигателей, генераторов и вспомогательных механизмов является источником
вибрации и шума. Вибрация и шум оказывают вредное влияние на здоровье людей, и
ухудшает условия труда. Вибрация, в свою очередь, может привести к нарушению
нормальной работы механизмов, приборов и другого оборудования.
Уровень шума регламентируется санитарными
нормами ДСН 3.3.6.037 - 99, а общие требования безопасности по ГОСТ 12.1.003 -
85. Для снижения шума, возникающего при работе ДГА, используются
звукоизолирующие переборки между ЦПУ и МО, для эффективности она покрыта
звукопоглощающим материалом. При этом уровень шума не должен превышать норм (см
таблицу 8.2). Объем автоматизации судна соответствует классу А1. Оно
оборудуется системами автоматизации в объеме, позволяющем производить
дистанционное автоматизированное управление главными механизмами. ЦПУ
оборудован устройствами индикации и аварийно-предупредительной сигнализацией.
Таблица 8.2 - Уровень звукового давления
|
Помещение
|
Уровень
звукового давления, дБ, в октавных полосах со среднегеометрическими
частотами, Гц
|
Экв.
ур. звука, дБ
|
|
63
|
125
|
250
|
500
|
1000
|
2000
|
4000
|
8000
|
|
|
МО
|
109
|
102
|
96
|
93
|
90
|
88
|
86
|
84
|
95
|
|
ЦПУ
|
83
|
74
|
68
|
63
|
60
|
57
|
55
|
54
|
65
|
Для локализации структурных шумов ограждающие
конструкции ЦПУ выполняются с применением шумоизолирующих покрытий, а также
производится герметизация дверей, отверстий в местах прохода кабелей и труб.
Параметры вибрации на судах нормируются в
соответствии с требованием ДСН 3.3.6.039 - 99 и представлены в таблице 8.3, а
общие требования безопасности по ГОСТ 12.1.012 - 90.
Таблица 8.3 - Предельные спектры уровней
вибрации
|
Среднегеометрич.частоты
октавных полос, Гц
|
2
|
4
|
8
|
16
|
31,5
|
63
|
|
Предел.
спектры уровней вибрации по ск-ти Lv,Дб
|
106
|
98
|
95
|
93
|
92
|
92
|
Ограничения распространения вибраций от
источников в помещении ЦПУ достигается с помощью виброизолирующих средств, к
которым относятся виброизолирующие фундаменты, гибкие патрубки, прокладки из
резины и пластмассы. Для виброизоляции механизмов используются амортизаторы
типа АКСС - И. Для защиты организма человека от вредного воздействия вибрации в
помещении ЦПУ применяются следующие средства: вибродемпфирующие коврики из мелкопористой
резины.
.9 Освещение
Для нормальной работы обслуживающего персонала в
помещении ЦПУ требуется непрерывное искусственное освещение в любое время
суток, с оптимальной освещенностью. В помещении ЦПУ освещение осуществляется
комбинированным способом, т. е. кроме равномерного освещения (общего) всего
помещения рабочие поверхности дополнительно освещаются отдельными светильниками
(местное освещение).
В Правилах Регистра указывается минимальная
освещенность. Дополнительные требования, предъявляемые к искусственному
освещению:
равномерная освещенность рабочих мест;
стабильность напряжения сети;
отсутствие различных теней на рабочих
поверхностях;
ограничение слепящего действия;
ограничение отражательного блеска.
Применяемое на судах электрическое освещение в
зависимости от назначения подразделяется на следующие системы:
общее освещение (равномерное или
локализованное);
комбинированное, состоящего из общего и
местного;
переносное освещение, как разновидность
местного, обеспечивающее повышение освещенности на рабочих местах при досмотре
и ремонте оборудования.
Согласно “Нормам искусственного освещения ” на
судах морского флота минимальная освещенность в помещениях ЦПУ на шкалах
приборов при освещении люминесцентными лампами составляет 300 лк.
.10 Вредные излучения
Так как в сферу обслуживания электромеханика
входит все электрооборудование судна, то часть рабочего времени он может
находиться под электромагнитным излучением.
Применяемые на судне средства радиосвязи и
радионавигации, являются источниками мощных электромагнитных излучений.
Электромагнитные поля радиочастот неблагоприятно влияют на здоровье экипажа.
Судовые радиостанции являются источниками высокочастотного излучения (ВЧ), а
радиолокационные станции - источниками сверхвысокочастотного излучения (СВЧ).
Биологический эффект воздействия
электромагнитных полей определяется интенсивностью излучения (плотностью потока
энергии), частотой колебаний, направленностью электромагнитного потока в
пространстве, расстоянием между излучателем и человеком, а также
индивидуальными особенностями организма.
Наиболее надежным и допустимым средством защиты
от вредного воздействия электромагнитных излучений является экранирование
источников излучения и защищаемых объектов.
Для экранирования рабочих мест применятся экраны
из листового материала толщиной не менее 0,5мм. Смотровые окна и другие
отверстия в переборках и подволоках экранированы густой металлической сеткой с
размерами ячеек, не превышающими 0,1 длины волны.
Все фидерные линии, несущие ток к рабочим
контурам, кабели выполнены коаксиальным проводом, что исключает необходимость
их экранирования.
.11 Расчет освещения в ЦПУ
В случае класса автоматизации АUT
1 запуск главного двигателя возможен с мостика, но не исключены случаи несения
вахты в помещении ЦПУ. Для определения необходимого количества светильников в
ЦПУ произведём расчет используя следующую зависимость:
,
где Eн - уровень
минимальной освещенности для помещения ГРЩ (Eн =300лк);
S - площадь
помещения (S=60м2);
K3 -
коэффициент запаса для люминесцентных ламп (K3=1,3);
Z -
коэффициент неравномерности освещения (Z=1);
n -
количество ламп в одном светильнике (n=2);
Fл - световой
поток лампы светильника (для типа ЛБ40 Fл=2480лм); -
коэффициент использования светового потока ( =0,9);
- коэффициент неравномерности
освещения ( =0,8).
светильников.
Таким образом, в помещении ЦПУ
необходимо разместить 6 светильников для обеспечения минимально допустимого
уровня освещённости. Также является необходимым размещение источников местного
освещения - настольных ламп у некоторых панелей и письменных столов.
План размещения светильников
приведен на рисунке 8.11.

Рисунок 8.11 - План размещения
светильников в ЦПУ.
8.12 Охрана окружающей среды
.12.1 Источники загрязнения окружающей среды
В 1972 г в ООН принято понятие загрязнения
гидросферы - это введение человеком прямо или косвенно веществ или энергии в
морскую среду, в результате которого причиняется ущерб живым ресурсам моря,
возникает опасность для здоровья людей, помеха морской деятельности, ухудшается
качество морской воды, уменьшаются её полезные свойства.
Доля антропогенного воздействия на мировой океан
по веществам: Cd - 50%, Hg
- 70%, Нефть - 88%, Pb
- 92%, Пестициды - 100%.
Вещества распределяются по океану неравномерно.
Большая часть остается в прибрежной зоне и воздействует на экологию внутренних
морей и поверхностных разделов. Часть веществ оседает на дно, что может
привести к повторному загрязнению.
Для экологии моря сухогруз в первую очередь
представляется как основной источник загрязнения нефтепродуктами. Кроме этого в
процессе эксплуатации на сухогрузе возникают дополнительные источники
загрязнения такие как: выхлоп от сжигания топлива, льяльные воды, детергенты,
твердые отходы (картон, ветошь, пластик, стекло и др.).
.12.2 Влияние нефтесодержащих вод на окружающую
среду
Под воздействием поверхностного натяжения воды
нефтепродукты покрывают водоемы тонкой пленкой, загрязняя огромные
пространства. Нефть уничтожает, прежде всего, фитопланктон, которым питается
зоопланктон, являющийся кормом рыб. Нефть отрицательно влияет на
физиологические процессы, вызывает необратимые изменения в тканях и органах
морских птиц и крупных морских животных.
Нефтяная пленка на поверхности моря существенно
влияет на процессы обмена тепловой энергией, влагой и газами между океаном и
атмосферой, что неблагоприятно сказывается на климате Земли и балансе кислорода
в атмосфере.
.12.3 Мероприятия по охране окружающей среды
Охрана водных объектов мирового океана и живых/неживых
ресурсов, также пользование ими регулируется международными и национальными
актами.
Международная конвенция по предотвращению
загрязнения моря (ПЗМ) с судов MARPOL
73/78 имеет 6 приложений:
) Правило по ПЗМ нефтью (принято 02.10.83);
) Правило по ПЗМ вредными веществами,
перевозимые наливом (06.04.87);
) Правило по ПЗМ вредными веществами,
перевозимые в таре, упаковке (01.07.92);
) Правило по ПЗМ сточными водами (не принято);
) Правило по ПЗМ мусором (31.12.88);
) Правило по ПЗ атмосферного воздуха (20.05.05).
Конвенцией
MARPOL 73/78 определено,
что отстойные танки на сухогрузах предназначаются для сбора и обработки в них
нефтесодержащих смесей, образующихся при промывке грузовых и зачистных
трубопроводов, зачистке грязных грузовых танков от воды, поступившей в них в
результате промывки грузовой системы, удалении из грузовых танков остатков
грязного балласта, слив которого за борт в связи с большим содержанием нефти в
нем запрещен, а также при мойке грузовых танков и топливных цистерн, зачистке льял
грузового насосного отделения; откачке льяльных вод из машинно-котельного
отделения. Отмытую и отстоявшуюся в отстойном танке нефть следует сдавать на
берег, либо использовать на судне путем вовлечения в груз или в топливо для
судовой энергетической установки. При отсутствии приемных сооружений сливать за
борт можно только отстоявшуюся от нефти воду (из нижних слоев отстойных
цистерн). Промывочные воды, содержащие моющие химпрепараты, должны сдаваться
только на приемные сооружения.
После окончания слива из отстойных танков
необходимо сделать соответствующие записи в журнале нефтяных операций.
В нашей стране для предотвращения загрязнения
поверхности моря в портах построены специальные приемные устройства для приема
от судов нефтесодержащих остатков, загрязненной воды, отходов и мусора.
9.
Гражданская оборона
Выявление и оценка радиационной обстановки на
сухогрузе при загрязнении радиоактивными веществами после аварии на АЭС
.1 Вводная часть
Значение ядерной энергетики на современном этапе
развития общества неуклонно увеличивается. В настоящее время в мире действует
более 600 ядерных реакторов.
В настоящее время на территории Украины
находится в эксплуатации 4 атомные станции с 15 энергетическими реакторами ,
которые дают 53% электроэнергии , вырабатываемой в стране, поэтому существует
постоянная опасность аварий на них. Для проведения исследовательских работ
функционируют 2 ядерных реактора .В Украине работают более 8 тысяч предприятий
и организаций , которые используют различные радиоактивные вещества , а также
хранят и перерабатывают радиоактивные отходы .
Развитие отечественной ядерной энергетики
ведётся на основе строительства реакторов на тепловых нейронах, позволяющих
использовать в качестве топлива слабообогащённый уран(U-238). Наиболее широкое
распространение получили канальные энергетические реакторы с графитовым
замедлителем и водой в качестве теплоносителя.
К таким реакторам
относятся:
- Реакторы большой мощности , канальные
(РБМК-1000, РБМК-1500),замедлителем в них служит графит , а теплоносителем-кипящая
вода , циркулирующая снизу по вертикальным каналам , проходящим через активную
зону. Они размещаются в наземной шахте и содержат 192 т слабообогащенной
двуокиси урана-238, а под ними находится железобетонный бункер для сбора
радиоактивных отходов при работе реактора .
Водоводяные энергетические реакторы
(ВВЭР-600, ВВЭР-1000) , в которых вода служит одновременно теплоносителем и
замедлителем .
Эксплуатация ядерных реакторов сопровождается
авариями, утечкой радиоактивных веществ, их выбросами во внешнюю среду, что
наносит значительный политический, экономический и психологический ущерб всему
человечеству. За последнее время в мире было зарегистрировано более 150 крупных
аварий на объектах ядерной энергетики. Одной из них является авария на Чернобыльской
атомной электростанции .
При не аккуратном обращении с ядерной энергией
происходят значительные разрушения на объектах хозяйственной деятельности и
большие потери среди населения. Этот факт обращает на себя большое внимание
общественности и государства. В связи с этим возникает необходимость
заблаговременно принимать соответствующие меры по защите населения от
воздействия поражающих факторов ядерного взрыва, обеспечению устойчивой работы
объектов хозяйственной деятельности, что составляет суть основных задач
гражданской обороны.
При аварии на АЭС с выбросом радионуклидов
необходимо быстро выявить радиационную обстановку методом прогнозирования , а
затем уточнить ее по данным разведки .
При аварии на АЭС выделяют пять зон
радиоактивного загрязнения, которые наносят на карты по направлению ветра 1 час
после аврии рисунок 11.1 :
Зона радиационной опасности “М” -это участок
местности, в пределах которого доза на открытой местности может составлять от 5
до 50 бэр/год. На внешней границе этой зоны уровень радиации на один час после
аварии составляет 0.014 бэр/час.
Зона умеренного радиоактивного загрязнения “А” -
участок загрязнённой местности, в пределах которого доза может составлять от 50
до 500 бэр/год. . На внешней границе этой зоны уровень радиации на один час
после аварии составляет 0.14 бэр/час. В мирное время действия формирований в
зоне “А” необходимо осуществлять в защитной техники с обязательной защитой
органов дыхания.
В зоне сильного радиоактивного загрязнения “Б” -
доза излучения может составлять от 500 до 1500 бэр/год. На внешней границе этой
зоны уровень радиации составляет на 1 час после аварии 1.4 бэр/час. В зоне “Б”
формирования должны действовать в защитной технике и размещаться в защитных
сооружениях.
В зоне опасного радиоактивного загрязнения “В” -
доза излучения может составлять от 1500 до 5000 бэр/год. На внешней границе
этой зоны уровень радиации составляет на 1 час после аварии 4.2 бэр/час.
Действия формирований возможны только в сильно защищенных объектах и технике.
Время нахождения в зоне несколько часов.
В зоне чрезвычайно опасного загрязнения “Г” -
доза излучения может составлять 5000 бэр/год. На внешней границе этой зоны
уровень радиации составляет на 1 час после аварии 14 бэр/час. В зоне Г нельзя
находиться даже кратковременно.
Рисунок.9.1- Прогнозируемые зоны радиоактивного
загрязнения
Оценка радиационной обстановки при аварии на АЭС
сводится к определению методом прогноза доз излучения и выработке оптимальных
режимов деятельности людей при нахождении их в прогнозируемой зоне загрязнения.
При расчетах необходимо руководствоваться
допустимой зоной облучения, установленной для различных категорий населения,
оказавшегося в зоне радиоактивного загрязнения при аварии на АЭС:
Население, рабочие и служащие, не привлекаемые в
мирное время к работе с радиоактивными веществами - 0.1 бэр в год.
Население, рабочие и служащие, персонал
привлекаемые в мирное время к работе с радиоактивными веществами - 0.2 бэр в
год.
Постоянно работающие с источниками ионизирующих
излучений - 2 бэр в год.
.2 Расчётная часть
Исходные данные для оценки радиоактивной
обстановки
Тип реактора РБМЛ-1000
мощность реактора-1000МВт
количество аварийных реакторов-n=1
доля выброса радиоактивных веществ в процентах h=30%
время аварии T-11.00
время начала работы Т=13.00
начало работы после аварии Т=2
Продолжительность работы Т=12
Коэффициент ослабления мощности дозы К=5
Метео условия
Скорость ветра на высоте 10м-V10=5м/с
направление ветра в сторону объекта облачность 5
расстояние от объекта до АЭС-RX=17.6
время работы -Dуст=2.0
особенность убежища СИЗ-100%
9.3 Решение
По таблице 1 определим категорию устойчивости
атмосферы соответствующую погодным условиям и заданному времени суток 5≤V10≤6
Д нейтральная(изотермия)обл. средняя.
По таблице2. Согласно таблицы для категории
ус-ти Д скорость V10=5м/с то
средняя скорость ветра Vср=5
м/с
По таблице 4 для РБМК-1000 доли выброса n=30%
и Vср=5 м/с
М=418км
А=145км
Б=33.7км
В=17.6км
Размеры прогнозируемых зон загрязнения местности
по направлению ветра на 1 час после аварии наносим на карту в масштабе в виде
правильных эллипсов
Рис 9.2 Прогнозируемые зоны радиоактивного
загрязнения
Исходя из заданного расстояния до судна, Rx=17.6км
сухогруз оказался на внешней границе зоны В
Определяем по таблице 7 время подхода облака
загрязнённого воздуха к сухогрузу (tф)
Rx=17.6, Vcр=5
м/с, tф=1ч
По таблице 10 для зоны В Tнач=2
ч,Траб=12 ч. Определяем дозу облучения которое получит экипаж судна на внешней
границе зоны В Дзоны=54.2
 БЭР
Дзоны=54.2
Косл=5
Кзоны=1.8
Расчёт показывает ,что экипаж судна
за 12 ч работы в В получили Dуст=2 БЭР
Используя таблицу 10 и ф(1) Dуст=2 БЭР
Согласно:  и часов по таблице находим Тнач 4
суток т.е. можно начинать работу через 4 суток после аварии на АЭС и работать Tраб=12 часов
По исходным данным необходимо начать
работу после аварии через Тнач=2чаа .Следовательно по таблице и времени Тнач=2
часа и рассчитанной дозе  с учётом Dуст=2 БЭР
находим продолжительность работы Траб=4сут
Следовательно. Экипаж судна чтобы
получить дозу не выше установленной Dуст=2 БЭР
могут начинать работать в зоне В через 4 суток и выполнять её 12 часов или при
начале работы через 2 часа по условию  могут работать 3 часа.
Таблица 9.1 Результаты
расчёта
|
Категория
устойчивости атмосферы
|
Vср м/с
|
Зона
место в зоне
|
Tф
|
Дз
БЭР
|
Добл
БЭР
|
Д1зоны
БЭР
|
Режим
работы
|
|
Д
|
5м/с
|
Внешняя
граница зоны В
|
1
час
|
54.2
|
6.02
|
18
|
Tн=2час Tр=3ч
|
|
|
|
|
|
|
|
Tр=12ч Tн=4суток
|
Выводы
Сухогруз оказался на внешней границе зоны В
Облако загрязнённого воздуха подойдёт к
сухогрузу через tф=1ч
Если начать работы на сухогрузе через 2 часа
после аварии, то продолжительность работы составит Траб=3 ч
Если необходимо отработать смену Тр=12 часов то
чтобы экипаж не получил дозу облучения больше установленной, работы можно
начать через 4 суток и работать полную смену 12 часов
.4 Мероприятия по защите экипажа сухогруза
. После получения оповещения о движении
радиоактивного облака установить на сухогрузе непрерывное радиационное
наблюдение с переносными или стационарными дозиметрическими приборами . 2. При
прохождении радиоактивного облака экипаж сухогруза укрыть в посту коллективной
защиты. 3. По данным разведки уточнить прогнозируемую радиационную обстановку
4. При уровнях радиации (Р>5 мБЭР/ч) на палубе сухогрза экипаж должен
находится в респираторах или противогазах . 5. Во избежание переоблучения
экипажа сухогруза необходимо организовать сменную вахту с учетом допустимой
дозы.
.Для исключения заноса радиоактивных веществ
внутрь помещений необходимо загерметизировать их, а при наличии
фильтровентиляционных установок включить их в режиме “чистой вентиляции”
После выпадения радиоактивных осадков и снижения
загрязнённости территории (палубы судна) произвести дезактивационные работы с
последующим контролем степени загрязнённости.
При больших уровнях загрязненности и
невозможности работы экипажа судна, сухогрузу выйти из порта в море и следовать
в незагрязнённый район.
Заключение
В дипломном проекте разработана СЭЭС сухогруза
дедвейтом DW =10000 т.
Аналитическим методом рассчитана комплектация
СЭС в ходовом, стояночном, маневренном и аварийных режимах. По полученным
данным выбраны четыре генератора МСК 103-4. Для генераторов МСК 103-4 выбран
приводной двигатель типа 12 ЧСП15/18.
В качестве аварийного генератора выбран
генератор МСК 91-4 с приводным двигателем 6ЧН15/18.
Схема СЭС разработана с учетом количества,
мощности и типа генераторных агрегатов.
Для ГРЩ выбраны приборы и аппаратура,
обеспечивающие контроль и управление за работой генераторов.
Произведен расчет основных элементов ГРЩ и
проверка их на термическую и динамическую устойчивость.
В дипломном проекте рассмотрен вопрос
автоматизации технических средств судна, выполняющей централизованное
управление и контроль:
• Комплексом главный двигатель - винт
регулируемого (фиксированного) шага;
• Главной энергетической установкой;
• Электроэнергетической установкой;
• Общесудовыми системами:
общесудовой вентиляцией и кондиционированием;
холодильными установками провизионных кладовых;
системами бытовой и пресной воды;
пожарными насосами;
топливными насосами;
балластной системой.
• Вспомогательными механизмами.
• Грузовыми операциями;
• Системами пожаротушения и др.
Объем автоматизации сухогруза соответствует
классу АUT 1.
В дипломном проекте произведен расчет переходных
процессов СЭЭС.
Определены максимальные значения токов при
коротком замыкании в различных точках сети, произведена проверка основных
элементов СЭС на термическую и динамическую устойчивость, произведен расчет
провала напряжения СГ при пуске мощного электродвигателя, разработаны
мероприятия по снижению провалов напряжения.
В дипломном проекте проанализированы характерные
неисправности при эксплуатации синхронных генераторов и способы их устранения.
Сравнение технико-экономических показателей СЭС,
основного и альтернативного вариантов комплектации СЭС, показало годовую
эффективность основного варианта в размере 505050 грн.
Исходя из выше изложенного, принят основной
вариант для комплектации СЭС.
В дипломном проекте также были выявлены основные
опасные и вредные производственные факторы, действующие на организм человека.
Произведен анализ условий труда вахтенного электромеханика в помещении ЦПУ:
охарактеризованы метеоусловия, вредные примеси в воздухе, вибрация и шум,
освещение.
Рассмотрены основные факторы, оказывающие
вредное воздействие на окружающую среду при эксплуатации сухогруза.
Задание на проектирование выполнено в полном
объёме и разработанная СЭЭС со знаком автоматизации АUT
1 соответствует требованиям Морского Регистра судоходства.
Библиографический список
1. Амбросовский В.М. и др.
Интегрированные системы управления техническими средствами транспорта. - СПб.:
Элмор, 2003. - 288с.
. Атаманюк В.Г. Гражданская оборона.
- М.: Высш.шк., 1987. - 288с.
. Бабич Ю.И. Корабельный справочник
по технике безопасности. - М.: Воениздат, 1974. - 301с.
. Баранов А.П. Автоматическое
управление электроэнергетическими установками- М.: Транспорт, 1981. - 246 с.
. Вагущенко Л.Л. Интегрирование
систем ходового мостика. - Одесса: Латстар, 2003. - 170с.
. Вагущенко Л.Л., Цимбал Н.Н. -
Системы автоматического управления движением судна. - Одесса: Латстар, 2002. -
310с.
. Ваншейдт В.А. Судовые двигатели
внутреннего сгорания. - Л.: Судостроение, 1977 - 392с.
. Вешкельский С.А. Справочник
судового дизелиста. Вопросы и ответы. - Л.: Судостроение, 1990. - 268с.
. Исаков Л.И. Справочник по
устройству, обслуживанию и ремонту судовой автоматики. -М.: Транспорт, 1988. -
203 с.
. Коноплев К.Г. Трехфазные короткие
замыкания в судовых и береговых электроэнергетических системах. - Севастополь:
СНТУ, 2007 - 173с.
. Коноплев К.Г., Конева С.А. Системы
автоматического регулирования напряжения синхронных генераторов - Севастополь:
СНТУ, 2007 - 87с.
. Лавриненко В.Ю. Справочник по
полупроводниковым приборам. - Киев, Техника, 1977 - 376 с.
. Лейкин В.С. Судовые электростанции
и сети. - М.: Транспорт, 1982 - 256 с.
.Лейкин В.С., Михайлов В.А.
Автоматизированные электроэнергетические системы промысловых судов. - М.:
Агропромиздат, 1987 - 328 с.
. Мещанинов П.А. Автоматизация СЭЭС.
- Л.: Судостроение, 1970 - 265 с.
. Михайлов В.А. Автоматизированные
электроэнергетические системы судов. - Л.: Судостроение, 1977-508 с.
. Михайлов В.С. Судовая
электроавтоматика. - Л.: Судостроение, 1970. - 496с.
. Никифоровский Н.Н, Норневский Б.И.
Судовые электрические станции.- М.: Транспорт, 1974 - 362 c.
. Овсянников М.К., Петухов В.А.
Судовые дизельные установки: Справочник. - Л.: Судостроение, 1986. - 424с.
. Овсянников М.К., Петухов В.А.
Дизели в пропульсивном комплексе морских судов: Справочник. - Л.: Судостроение,
1987. - 256с.
. Правила классификации и постройки
морских судов. Морской регистр Судоходства. С-ПБ- Регистр России 2012-843 с
.Яковлев Г.С. Судовые
электроэнергетические системы. - Л.: Судостроение 1987 - 213 с.
Похожие работы на - Разработка судовой электроэнергетической системы сухогруза дедвейтом 10000 т
|