Проект трёхфазного масляного трансформатора
ТЕХНИЧЕСКОЕ ЗАДАНИЕ
Спроектировать трёхфазный масляный трансформатор
с плоской шихтованной магнитной системой, с медными обмотками и со следующими
номинальными данными:
мощность трансформатора S = 250 кВА;
номинальная частота сети f = 50 Гц;
номинальные напряжения обмоток:
ВН U1 = 10000±(2×2.5%)
В;
НН U2 = 230 В;
схема и группа соединения Y⁄Y_н -0;
напряжение короткого замыкания uк = 4,5%;
потери короткого замыкания Pк = 3700Вт;
ток холостого хода i0 = 2.3%;
потери холостого хода P0 = 740Вт;
режим работы трансформатора продолжительный;
установка наружная;
Трансформатор должен удовлетворять требованиям
ГОСТ 11677-85
Разработать чертеж общего вида масляного
трансформатора.
Дата выдачи задания «14» февраля 2014 г.
Руководитель Падеев А.С.
Исполнитель студент группы 12ЭЭ(б)ЭМ Баев В.В.
СОДЕРЖАНИЕ
Введение
.
Анализ изменения параметров трансформатора с изменением β
.1
Расчет основных электрических величин и изоляционных расстояний
.
Расчет обмоток
.1
Расчет обмотки НН
.2
Расчет обмотки ВН
.
Расчет параметров короткого замыкания
.1
Расчёт потерь короткого замыкания
.2
Расчет напряжений короткого замыкания
.3
Определение механических сил в обмотках и нагрева обмоток при коротком
замыкании
.
Расчет магнитной системы
.1
Определение размеров магнитной системы и массы стали
.2
Расчет потерь холостого хода
.3
Расчет тока холостого хода
5.
Тепловой расчет трансформатора
.1
Тепловой расчет обмоток
.2
Тепловой расчет бака
.
Характеристики трансформатора
.1
Внешняя характеристика трансформатора
.2
Коэффициент полезного действия трансформатора
Заключение
Список
использованных источников
ВВЕДЕНИЕ
В настоящее время электрическая энергия для
промышленных целей и электроснабжения городов производится на крупных тепловых
или гидроэлектростанциях в виде трехфазной системы переменного тока частотой
50Гц. Напряжения генераторов, установленных на электростанциях, стандартизованы
и могут иметь значения 6600, 11000, 13800, 15750, 18 000 или 20000 в (ГОСТ
721-62). Для передачи электроэнергии на большие расстояния это напряжение необходимо
повышать до 110, 220, 330 или 500кВ в зависимости от расстояния и передаваемой
мощности. Далее, на распределительных подстанциях напряжение требуется понижать
до 6 или 10кВ (в городах и промышленных объектах) или до 35кВ (в сельских
местностях и при большой протяженности распределительных сетей). Наконец, для
ввода в заводские цеха и жилые квартиры напряжение сетей должно быть понижено
до 380, 220 или 127В. В некоторых случаях, например, для освещения котельных
или механических цехов и сырых помещений, напряжение должно быть понижено до
безопасной для жизни величины - 12,24 или 36В.
Повышение и понижение напряжения переменного
тока и выполняют силовые трансформаторы. Трансформаторы сами электрическую
энергию не производят, а только ее трансформируют, т.е. изменяют величину
электрического напряжения. При этом трансформаторы могут быть повышающими, если
они предназначены для повышения напряжения, и понижающими, если они
предназначены для понижения напряжения. Но принципиально каждый трансформатор
может быть использован либо как повышающий, либо как понижающий в зависимости
от его назначения, т.е. он является обратимым аппаратом. Силовые трансформаторы
обладают весьма высоким коэффициентом полезного действия (к.п.д.), значение
которого составляет от 95 до 99.5%, в зависимости от мощности. Трансформатор
большей мощности имеет соответственно и более высокий к.п.д.
Трансформатором называется статический
электромагнитный аппарат, предназначенный для преобразования одной (первичной)
системы переменного тока в другую (вторичную), имеющую другие характеристики.
Принцип действия трансформатора основан на законе электромагнитной индукции,
открытом английским физиком Фарадеем в 1831 г. Явление электромагнитной
индукции состоит в том, что если внутри замкнутого проводникового контура
изменяется во времени магнитный поток, то в самом контуре наводится
(индуктируется) электродвижущая сила (э.д.с.) и возникает индукционный ток.
Чтобы уменьшить сопротивление по пути прохождения магнитного потока и тем самым
усилить магнитную связь между первичной и вторичной катушками или, как их более
принято называть, обмотками, последние должны быть расположены на замкнутом
железном (стальном) сердечнике (магнитопроводе). Применение замкнутого
стального магнитопровода значительно снижает относительную величину потока
рассеяния, так как проницаемость применяемой для магнитопроводов стали в
800-1000 раз выше, чем у воздуха (или вообще у диамагнитных материалов).
Трансформатор состоит из магнитопровода и
насаженных на него обмоток. Кроме того, трансформатор состоит из целого ряда
чисто конструкционных узлов и элементов, представляющих собой конструктивную
его часть. Элементы конструкции служат главным образом для удобства применения
и эксплуатации трансформатора. К ним относятся изоляционные конструкции,
предназначенные для обеспечения изоляции токоведущих частей, отводы и вводы -
для присоединения обмоток к линии электропередачи, переключатели - для
регулирования напряжения трансформатора, баки - для заполнения их
трансформаторным маслом, трубы и радиаторы - для охлаждения трансформатора и
др.
Магнитопровод и обмотки вместе с крепежными
деталями образуют активную часть силового трансформатора.
Трансформатор во время своей работы вследствие
возникающих в нем потерь нагревается. Чтобы температура нагрева трансформатора
(в основном его изоляции) не превышала допустимого значения, необходимо
обеспечить достаточное охлаждение обмоток и магнитопровода. Для этого в
большинстве случаев трансформатор (активную часть) помещают в бак, заполненный
трансформаторным маслом. При нагревании масло начинает циркулировать и отдает
тепло стенкам бака, а от последних тепло рассеивается в окружающем воздухе.
1. Анализ изменения параметров трансформатора с
изменением β
.1 Расчет основных электрических величин и изоляционных
расстояний
Расчет проводим для трехфазного трансформатора
стержневого типа с концентрическими обмотками.
Мощность одной фазы и одного стержня [1]:
Номинальные (линейные) токи на сторонах:
где I2
- ток в обмотке высокого напряжения;
где I1
- ток в обмотке низкого напряжения;
Фазные токи обмоток высокого напряжения (ВН) и
низкого напряжения (НН) (схема соединения - звезда-звезда) равны линейным
токам.
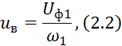
Фазные напряжения обмоток ВН и НН равны:
Испытательные напряжения обмоток:
для обмотки ВН UИСП = 35 кВ;
для обмотки НН UИСП = 5 кВ.
Выбираем тип обмоток. Обмотка НН при напряжении
132,791 В и токе
А цилиндрическая
двухслойная из прямоугольного медного провода. Обмотка ВН при напряжении 5773,5
В и токе 14,434 А цилиндрическая многослойная из круглого медного провода.
Для испытательного напряжения обмотки ВН UИСП
= 35 кВ находим изоляционные расстояния: a’12 = 0,009 м - промежуток
между обмотками НН и ВН; l02 = 0,03 м - расстояние от обмотки ВН до
верхнего и нижнего ярм; a’22 =0,01 м - расстояние между обмотками ВН
соседних стержней; для UИСП = 5 кВ находим a’01 = 4 мм -
расстояние между стержнем и обмоткой НН.
где a1
- радиальный размер обмотки НН, м;
a2
- радиальный размер обмотки ВН, м;
k = 0,63.
Приведенный канал рассеяния, м:
Активная составляющая напряжения короткого
замыкания, %:
Реактивная составляющая напряжения короткого
замыкания:
Согласно указаниям выбираем трехфазную
стержневую плоскую шихтованную магнитную систему с косыми стыками на крайних
стержнях и прямыми стыками на среднем стержне. Соединение верхних и нижних
ярмовых балок - вертикальные шпильки. Прессовка стержней путем забивания
деревянных стержней и палок между стержнем и обмоткой.
Материал магнитной системы - холоднокатаная
анизотропная рулонная сталь марки 3404 толщиной 0,35 мм.
Индукция в стержне Вс = 1,64 Тл;
Число ступеней 6 в сечении стержня.
Коэффициент заполнения круга: kкр
= 0,913.
Изоляция пластин - нагревостойкое изоляционное
покрытие;
Коэффициент заполнения с изоляцией: kз
= 0,97.
Коэффициент заполнения сталью:
Ярмо многоступенчатое, число ступеней 5;
Коэффициент усиления ярма: kя
= 1,025.
Индукция в ярме:
Число зазоров в магнитной системе на косом стыке
4 на прямом 3.
Индукция в зазоре: на прямом стыке В’’з
= 1,64 Тл.;
на косом:
Удельные потери в стали рс = 1,411
Вт/кг, ря = 1,295 Вт/кг.
Удельная намагничивающая мощность qc
= 2,131 В·А/кг, qя
= 1,775 В·А/кг.
Для зазоров на прямых стыках q’’з
= 26700В·А/м2
Для зазоров на косых стыках q’з
= 4000 В·А/м2
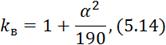
Коэффициент, учитывающий отношение потерь в
обмотках к потерям к.з. (короткого замыкания): kд
= 0,945;
Постоянные коэффициенты для медных обмоток: a
= 1,36 b = 0,4;
Коэффициент Роговского: kр
= 0,95
Диапазон изменения β
от
1,2 до 3,6.
Расчет основных коэффициентов:
где e
= 0,405 - коэффициент;
где K0
= 2,46·10-2 - коэффициент;
Масса одного угла магнитной системы, кг:
Активное сечение стержня, м2:
Площадь зазора на прямом стыке: П’’з
= Пс =0,0125·x2;
Площадь зазора на косом стыке: П’з =
Пс·√2 = 0,0177·x2.
Потери холостого хода, Вт:
где kпд
= 1,12 - коэффициент добавочных потерь;
kпу
= 10,18 - коэффициент;
Намагничивающая мощность, В·А:
где k’тд
= 1,2 - коэффициент;
k’’тд =
1,06- коэффициент;
kту
= 42,45 - коэффициент;
kт.пл
= 1,25 - коэффициент, учитывающий намагничивающей мощности углах магнитной
системы;
Далее определяются основные размеры
трансформатора.
Диаметр стержня, м:
Средний диаметр канала между обмотками, м:
Высота обмоток, м:
где β - конструкционный
коэффициент.
Расстояние между осями стержней, м:
Дальнейший расчёт проводим в форме таблицы и
заносим результаты вычислений в таблицу 1.
Данные таблицы рассчитаны на основе
вышеупомянутых и следующих формул:
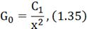
где Gс
- масса стержней, кг:
где Gя
- масса ярм, кг:
где Gст
- общая масса стали магнитной системы, кг:
где J
- плотность тока, А/м2:
где σр
- механическое напряжение в обмотках, МПа;
где i0
- ток холостого хода (х.х.), %;
где G0
- масса металла обмоток, кг;
где Gпр
- масса провода, кг;
где Gач
- масса ярм, кг;
kос
= 2,36
Таблица
1
Предварительный расчёт трансформатора
ТМ-250/35-0,4 с плоской шихтованной магнитной системой и медными обмотками
|
b
|
1,2
|
1,8
|
2,4
|
3
|
3,6
|
|
|
1,047
|
1,158
|
1,245
|
1,316
|
1,377
|
|
|
1,095
|
1,342
|
1,549
|
1,732
|
1,897
|
|
|
1,147
|
1,554
|
1,928
|
2,28
|
2,614
|
|
A1/x
|
158,383
|
143,115
|
133,184
|
125,958
|
120,345
|
|
A2·x2
|
18,966
|
23,229
|
26,822
|
29,988
|
32,85
|
|
Gc
|
177,349
|
166,344
|
160,006
|
155,946
|
153,195
|
|
B1·x3
|
131,431
|
178,142
|
221,04
|
261,308
|
299,598
|
|
B2·x2
|
8,197
|
10,039
|
11,592
|
12,96
|
14,197
|
|
Gя
|
139,628
|
188,181
|
232,632
|
274,268
|
313,935
|
|
Gст
|
319,977
|
354,525
|
392,638
|
430,214
|
466,991
|
|
Gy
|
12,509
|
16,954
|
21,037
|
24,869
|
28,514
|
|
Px
|
566,73
|
649,619
|
731,494
|
811,206
|
888,663
|
|
Пc
|
0,014
|
0,017
|
0,02
|
0,022
|
0,024
|
|
Qx
|
3773
|
4715
|
5565
|
9351
|
7090
|
|
I0, %
|
1,509
|
1,886
|
2,226
|
2,54
|
2,836
|
|
G0
|
194,706
|
158,976
|
137,678
|
123,143
|
112,413
|
|
1.03·G0
|
200,547
|
163,746
|
141,808
|
126,837
|
115,786
|
|
Gпр
|
206,563
|
168,658
|
146,062
|
130,642
|
119,259
|
|
kос·Gпр
|
487,489
|
398,033
|
344,707
|
308,315
|
281,452
|
|
Cач
|
804,466
|
752,558
|
737,344
|
738,529
|
748,442
|
|
J
|
2735000
|
3027000
|
3253000
|
3440000
|
3600000
|
|
σp
|
8,89
|
12,05
|
14,951
|
17,675
|
20,265
|
|
d
|
0,141
|
0,156
|
0,167
|
0,177
|
0,185
|
|
d12
|
0,191
|
0,212
|
0,228
|
0,241
|
0,252
|
|
l
|
0,501
|
0,37
|
0,298
|
0,252
|
0,22
|
0,267
|
0,293
|
0,314
|
0,33
|
0,345
|
С учётом критериев выбираем значение b
= 2,4 , соответствующее ему значение d
по шкале нормализованных диаметров составляет 0,17 м.
В этом случае стоимость активной части
трансформатора минимальна, потери холостого хода и ток холостого хода меньше
заданных значений.
Для выбранных значений d и β
рассчитываем
данные трансформатора.
Диаметр стержня: d
= 0,17 м.
Средний диаметр канала между обмотками по
(1.26):
Высота обмоток по (1.27):
Высота стержня:
Активное сечение стержня:
где Пфс = 208,5 см2 -
площадь сечение стержня,
Расстояние между осями стержней по (1.28):
Электродвижущая сила одного витка:
Плотность тока: J
= 3,253·106
A/м2.
Потери и ток холостого хода: Px
= 731,494 Вт, i0
= 2,226 %.
2. Расчет обмоток
.1 Расчет обмотки НН
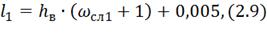
Число витков на одну фазу обмотки НН:
принимаем ω1
= 18.
Уточненное напряжение одного витка:
Действительная индукция в стержне:
Средняя плотность тока в обмотках:
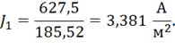
Сечение витка ориентировочно:
При мощности 250 кВ·A, току на один стержень
627,5 A, номинальному напряжению обмотки 132,79 В и сечению витка 185,5 мм2
выбираем конструкцию цилиндрической однослойной обмотки из прямоугольного
провода.
Число витков в одном слое:
Ориентировочный размер витка:
В таблице нет подходящего значения, поэтому,
чтобы уменьшить ориентировочное сечение витка, наматываем на ребро 4
параллельные ветви.
мм
мм
По полученным ориентировочным значениям П'В
и hВ1 подбираем сечение витка.
По сечению витка выбираем провод ПБ сечением
46,4 мм2.
, изоляция
мм на две
стороны.
Полное сечение витка П1=
185,52 м2.
Полученная плотность тока:
Осевой размер витка:
м.
Осевой размер обмотки:
Радиальный размер обмотки:
(2.10)
Внутренний диаметр обмотки НН:
Наружный диаметр обмотки НН:
Однослойная обмотка имеет две
охлаждаемые поверхности:
где П01 - полная поверхность
охлаждения обмотки НН,
c - число активных
стержней,
kз
= 0,75 - коэффициент учитывающий закрытые части поверхности обмотки рейками и
другими изоляционными деталями,
.
.2 Расчет обмотки ВН
Число витков при номинальном напряжении:
принимаем ωн2
= 783,.
Напряжении на одной ступени регулирования
обмотки ВН, В,
Число витков на одной ступени регулирования
напряжения при соединении обмоток ВН в звезду:
Ступени регулирования напряжения заносим в
таблицу 2.
Таблица
2
Степени регулирования, при четырех ступенях
|
Напряжение,
В
|
Число
витков на ответвлениях
|
|
10500
|
ω2 = 783 + 2·20
= 823
|
|
10250
|
783
+ 20 = 803
|
|
10000
|
783
|
|
9750
|
783
- 20 = 763
|
|
9500
|
783
- 2·20 = 743
|
Высота обмотки: l2
= l1
= 0,298 м.
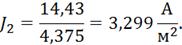
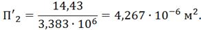
Плотность тока в обмотке ВН, ориентировочно:
Ориентировочное сечение витка обмотки ВН:
Выбираем многослойную цилиндрическую обмотку из
медного круглого провода (S = 250 кВ·А; I = 14,43 А; U = 5773,5 В; П’2
= 4,267 мм2). По сортаменту медного обмоточного провода выбираем
провод марки ПБ диаметром 2,36 мм сечением 4,375 мм2, с толщиной
изоляции на две стороны 2d = 0,4 мм.
Число параллельных ветвей: nв
= 1
Сечение витка: П2 = 4,375 мм2.
Полученная плотность тока:
Число витков в слое:
принимаем ωсл2
=
107.
Число слоев в обмотке ВН:
принимаем nсл2
= 8.
Рабочее напряжение двух слоёв:
Междуслойная изоляция - кабельная бумага марки
К-120 по ГОСТ 23436-83Е, 3 слоя толщиной по 0,12 мм (δмсл
= 0,36 мм). Выступ изоляции 10 мм с каждого конца обмотки. Ширина масляного канала
между катушками: а’22 = 5 мм.
Радиальный размер обмотки:
Внутренний диаметр обмотки ВН:
Наружный диаметр обмотки ВН:
Поверхность охлаждения:
где n
= 1,5,
k = 0,83 -
коэффициент учитывающий закрытые части поверхности обмотки изоляционными
деталями и число внутренних и наружных поверхностей,
трансформатор магнитный изоляционный
медный
3. Расчет параметров короткого замыкания
.1 Расчёт потерь короткого замыкания
Потери короткого замыкания определяются.
Основные потери.
Средний диаметр обмотки НН:
Масса металла обмотки НН:
Основные потери обмотки НН:
Средний диаметр обмотки ВН:
Масса металла обмотки ВН:
Основные потери обмотки ВН:
Коэффициент β1,
для провода прямоугольного сечения обмотки НН:
где a
- размер проводника в направлении, перпендикулярном линиям магнитной индукции
поля рассеяния, м;
m = 72 - число
проводников обмотки в направлении, параллельном направлению линий магнитной
индукции поля рассеяния;
β1
- коэффициент;
Добавочные потери в обмотке НН:
где kд1
- средний коэффициент добавочных потерь,
b - размер
проводника в направлении, параллельном линиям магнитной индукции поля
рассеяния, м;
n = 1 - число
проводников обмотки в направлении, перпендикулярном направлению линий магнитной
индукции поля рассеяния;
Коэффициент β2,
для провода круглого сечения обмотки ВН:
Добавочные потери в обмотке ВН:
Плотность теплового потока на поверхности
обмотки НН:
Плотность теплового потока на поверхности
обмотки ВН:
Длина отводов обмоток НН и ВН:
Масса отводов НН:
где Потв1 = П1 - площадь
сечения отвода НН, м2;
γ = 8900 кг / м3
- плотность металла отводов.
Потери отводов НН:
Масса отводов ВН:
где Потв2 = П2 - площадь
сечения отвода ВН,
Потери отводов ВН:
Потери в стенках бака и других элементах конструкции
до выяснения размеров бака:
где k
= 0,015 - коэффициент,
Полные потери короткого замыкания:
Полные потери короткого замыкания для
номинального напряжения обмотки ВН:
или
заданного
значения.
.2 Расчёт напряжений короткого замыкания
Активная составляющая напряжения короткого
замыкания:
Средний диаметр канала между обмотками, м:
Уточнение конструкционного коэффициента β
:
Ширина приведенного канала рассеяния по (1.7):
Находим коэффициент σ:
Находим коэффициент kр,
учитывающий отклонение реального поля рассеяния от идеального параллельного
поля (коэффициент Роговского):
Принимаем коэффициент
, так как
обмотки ВН равна высоте обмотке НН.
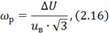
Реактивная составляющая напряжения
короткого замыкания , %:
Напряжение короткого замыкания, %:
(3.26)
.
или
заданного значения.
.3 Определение механических сил в
обмотках и нагрева обмоток при коротком замыкании
Установившийся ток короткого
замыкания в обмотке ВН:
где Sк = 500 МВ·А
- мощность короткого замыкания электрической сети, Iн = I1 -
номинальный ток в обмотке ВН,
Мгновенное максимальное значение
тока короткого замыкания:
где при uр / ua = 1,99; то kmax·√2 =
1,75;
Радиальная сила:
Среднее сжимающее напряжение в
проводе обмотки НН:
Среднее растягивающее напряжение в
проводах обмотки ВН:
т.е. 36,92% допустимого значения 60
МПа.
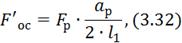
Осевые силы:
Осевые силы действуют на обе обмотки
по рисунку 1.
Рисунок 1 - Распределение сжимающих осевых сил
Максимальные сжимающие силы в обмотках: Fсж1
= F’ос =
18984 Н.
Наибольшая сжимающая сила наблюдается в середине
обмотки НН, где Fсж
= 18984 Н.
Напряжение сжатия на междувитковых прокладка:
где n
- число прокладок по окружности обмоток,
b = 0,04 м - ширина
прокладки,
т.е. 40,915 % допустимого значения 20 МПа;
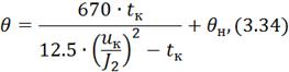
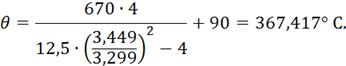
Температура обмотки, через четыре секунды, после
возникновения короткого замыкания:
где tк
= 4с - наибольшая продолжительность короткого замыкания на выводах масляного
трансформатора;
θн
= 90° С - начальная температура обмотки;
4. Расчет магнитной системы
.1 Определение размеров магнитной системы и
массы стали
Принята конструкция трехфазной плоской шихтованной
магнитной системы, собираемой из пластин холоднокатаной анизотропной рулонной
стали марки 3404 0,35 мм по рисунку 2. Сечение стержня представлено на рисунке
3 и сечение ярма на рисунке 4.
Рисунок 2 - Основные размеры магнитопровода
Рисунок 3 - Сечение стержня
Рисунок 4 - Сечение ярма
Принимаем конструкцию плоской трёхфазной
шихтованной магнитной системы с четырьмя косыми и тремя прямыми стыками на
среднем стержне. Прессовка стержня - путём забивания деревянных стержней и палок
между стержнем и обмоткой НН. Прессовка ярма - прессующими балками и шпильками.
Диаметр стержня d
= 0,170 м. В сечении стержня 6 ступеней без прессующей пластины. В сечении ярма
5 ступени. Ширина крайнего наружного пакета 85 мм. Размеры пакетов в сечения
стержня и ярма заносим в таблицу 3.
Таблица
3
Размеры пакетов в сечении стержня и ярма
|
№
пакета
|
Стержень,
мм
|
Ярмо,
мм
|
|
1
|
160×28
|
160×28
|
|
2
|
145×17
|
145×17
|
|
3
|
130×10
|
130×10
|
|
4
|
110×10
|
110×10
|
|
5
|
85×8
|
85×16
|
|
6
|
50×8
|
-
|
Площадь ступенчатой фигуры сечения стержня
Площадь сечения стержня: Пфс =
0,02085 м2.
Площадь сечения ярма: Пфя = 0,02141 м2.
Объем магнитной системы: Vу
= 0,002908 м3.
Активное сечение стержня по (1.39):
Активное сечение ярма:
Объем стали угла магнитной системы:
Длина стержня:
Расстояние между осями стержней:
(4.3)
Массы стали в стержнях и ярмах магнитной
системы.
Масса стали угла магнитной системы:
где γст
= 7650 кг / м3,
Массы стали частей ярм, заключенных между осями
крайних стержней:
Массы стали в местах стыка пакетов стержня и
ярма:

Полная масса двух ярм:
Массы стали стержней в пределах окна магнитной
системы:
Масса стали в местах стыка пакетов стержня и
ярма:
где a1я
= 0,160 м - ширина стыкуемых пакетов стержня и ярма,
Масса стали стержней:
Общая масса стали:
.2 Расчет потерь холостого хода
Индукция в стержне:
Индукция в ярме:
(4.13)
Индукция на косом стыке:
(4.14)
Площади сечения немагнитных зазоров
на прямом стыке среднего стержня равны соответственно активным сечениям стержня
и ярма.
Площадь сечения стержня на косом
стыке:
(4.15)
где Пкос - площадь
сечения стержня на косом стыке,
Удельные потери для стали стержней,
ярм и стыков для стали марки 3404 толщиной 0,35 мм:
при Bс = 1,64 Тл pс = 1,411 Вт
/ кг pз.с = 1044 Вт /
м2;
при Bя = 1,58 Тл pя = 1,295 Вт
/ кг pз.я = 990 Вт /
м2;
при Bкос = 1,16 Тл pкос = 515 Вт /
м2.
Для плоской магнитной системы с
косыми стыками на крайних стержнях и прямыми стыками на среднем стержне, с
многоступенчатым ярмом, без отверстий для шпилек, с отжигом пластин после резки
стали и удаления заусенцев для определения потерь применим выражение.
Принимаем:пр = 1,04 -
коэффициент, учитывающий способ резки полосы рулона на пластины;пз =
1 - коэффициент, учитывающий срезание заусенцев;пя = 1 - коэффициент
увеличения потерь, зависящий от формы сечения ярма;пп = 1,03 -
коэффициент, влияния прессовки на потери х.х.;пш = 1- коэффициент
перешихтовки верхнего ярма;пу = 10,18 - коэффициент увеличения
потерь в углах магнитной системы.
Тогда потери холостого хода
составят:
Что составляет
от
заданного значения.
.3 Расчет тока холостого хода
Находим удельные намагничивающие
мощности:
при Bс = 1,64 Тл qс =2,131 В·А/кг
qсз =26700 В·А/м2;
при Bя = 1,6 Тл qя =1,775 В·А/кг
qся =23500 В·А/м2;
при Bкос = 1,16 Тл qкос = 4000 В·А/м2.
Для принятой конструкции магнитной
системы и технологии ее изготовления принимаем коэффициенты:тр =
1,18 - коэффициент, учитывающий влияние резки полосы рулона на пластины;тз
= 1 - коэффициент, учитывающий срезание заусенцев;т.пл = 1,19 -
коэффициент учитывающий ширину пластин в углах магнитной системы;тя
= 1 - коэффициент, учитывающий форму сечения ярма;тп = 1,045 -
коэффициент, учитывающий прессовку магнитной системы;тш = 1,01 -
коэффициент, учитывающий перешихтовку верхнего ярма;ту = 42,45 -
коэффициент увеличения потерь в углах магнитной системы.
Тогда намагничивающая мощность
холостого хода составит:
Ток холостого хода:
(4.18)
или
от заданного значения.
Активная составляющая тока холостого
хода:
(4.19)
Реактивная составляющая тока холостого хода:
(4.20)
5. Тепловой расчет трансформатора
.1 Тепловой расчет обмоток
Внутренний перепад температуры обмотки НН:
где δ = 0,25 · 10-3
м - толщина изоляции провода на одну сторону НН;
δ = 0,20 · 10-3
м - толщина изоляции провода на одну сторону ВН;
λиз
= 0,17 Вт/(м · °С) - теплопроводность бумажной пропитанной маслом изоляции
провода,
Внутренний перепад температуры обмотки ВН:
Перепад температуры на поверхности обмотки НН:
где k
= 0,285 - постоянный коэффициент;
Перепад температуры на поверхности обмотки ВН:
.2 Тепловой расчет бака
В соответствии с мощностью трансформатора
выбираем конструкцию бака со стенками в виде волн.
Минимальная ширина бака:
где s1 = 28 мм - изоляционное
расстояние от изолированного отвода обмотки ВН до собственной обмотки;2
= 22 мм - изоляционное расстояние от изолированного отвода обмотки ВН до стенки
бака;3 = 25 мм - расстояние от неизолированного отвода обмотки НН до
обмотки ВН;4 = 33 мм - изоляционное расстояние от отвода обмотки НН
до стенки бака;
d1
= 20 мм - диаметр изолированного отвода обмотки ВН;
d2
= 10 мм - диаметр неизолированного отвода обмотки НН;
Длина бака:
Высота активной части:
где n
= 50 мм - толщина прокладки под нижнее ярмо;
Принимаем расстояние от верхнего ярма до крышки
бака при горизонтальном расположении над ярмом переключателя ответвлений
обмотки ВН: Hа.к = 0,16 м.
Глубина бака:
Выбираем конструкцию бака со стенками в виде
волн.
Принимаем:
a = 25 мм - ширина
воздушного канала,
с = 10 мм - ширина масляного канала,
b = 210 мм - глубина
волны,
d = 20 мм - диаметр
скругления волны,
δ = 1 мм - толщина
стенки,
Hв
= 0,79 м - высота волны.
Поверхность излучения стенки:
Шаг волны стенки:
Развернутая длина волны:
Число волн:
принимаем 68 волн.
Определение коэффициента α:
где α - коэффициент;
Определение коэффициента учитывающего
затруднение конвекции воздуха в воздушных каналах волн:
Поверхность конвекции стенки:
Поверхность верхней рамы бака:
Поверхность крышки бака:
Полная поверхность излучения бака:
Полная поверхность конвекции бака:
Определение превышений температуры масла и
обмоток над температурой охлаждающего воздуха.
Среднее превышение температуры наружной
поверхности стенки бака над температурой воздуха:
где k
= 1,05 - коэффициент;
Среднее превышение температуры масла вблизи
стенки над температурой внутренней поверхности стенки бака:
где k1
= 1, при естественном масляном охлаждении,
Превышение температуры масла в верхних слоях над
температурой окружающего воздуха:
где σ = 1,2 - коэффициент;
Превышение средней температуры обмотки НН над
температурой воздуха:
Превышение средней температуры обмотки ВН над
температурой воздуха:
Превышения температуры масла в верхних слоях Θмвв
меньше 60° C, что соответствует пределу допустимого нагрева по ГОСТ 11677-85.
Из-за недостаточной площади охлаждения бака и соответствию допустимых габаритов
температура обмоток Θов
получилась выше 65° C.
6. Характеристики трансформатора
.1 Внешняя характеристика трансформатора
kнг
= 0; 0,25; 0,5; 0,75; 1; 1,25
где kнг
- коэффициент нагрузки.
Индуктивная нагрузка, при
Емкостная нагрузка, при
Активная нагрузка, при
Расчет выходного напряжения при индуктивных,
ёмкостных, активных нагрузках при коэффициенте нагрузки от 0 до 1,25, заносим в
таблицу 4.
Таблица
4
|
kнг
|
0
|
0,25
|
0,5
|
0,75
|
1
|
1,25
|
|
Uинд, (В)
|
230
|
227,967
|
225,917
|
223,848
|
221,762
|
219,658
|
|
Uёмк, (В)
|
230
|
230,628
|
231,255
|
233,88
|
232,503
|
233,124
|
|
Uакт, (В)
|
230
|
229,127
|
228,25
|
227,37
|
226,49
|
225,6
|
Внешняя характеристика представлена на рисунке
5.
Рисунок 6 - Внешняя характеристика
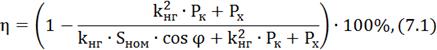
.2 Коэффициент полезного действия трансформатора
Pк
= 3791 Вт - потери к.з.
Pх
= 845 Вт - потери х.х.
Sном
= 250 кВ·А - номинальная мощность.
kнг
= 0; 0,25; 0,5; 0,75; 1; 1,25.
Индуктивная нагрузка, при
Активная нагрузка, при
где η - коэффициент
полезного действия;
Расчет коэффициента полезного действия при
активной и индуктивной нагрузках при коэффициенте нагрузке от 0 до 1,25,
заносим в таблицу 5.
Таблица
5
|
kнг
|
0
|
0,25
|
0,5
|
0,75
|
1
|
1,25
|
|
ηинд
|
0
|
0,98
|
0,982
|
0,98
|
0,977
|
0,973
|
|
ηакт
|
0
|
0,984
|
0,986
|
0,984
|
0,981
|
0,978
|
Характеристика коэффициента полезного действия
представлена на рисунке 6.
Рисунок 7 - Коэффициент полезного действия
Заключение
В курсовом проекте был спроектирован трехфазный
масляный трансформатор с плоской магнитной системой, с медными обмотками. Из-за
неточности расчета и определенным габаритным размерам трансформатора получились
данные не соответствующие номинальным данным по ГОСТ 11677-85:
- uк
= 3,449 %;
Pк
=3791 Вт;
i0 = 2,167 %;
P0 = 845 Вт.
Список использованных источников
1.
Тихомиров, П.М. Расчет трансформаторов [Текст]: учеб. пособие для вузов / П.М.
Тихомиров.- 5-е изд., перераб. и доп. - М.: Энергоатомиздат, 1986. - 528 с.
.
Брускин, Д.Э. Электрические машины [Текст]: учеб. для вузов / Д.Э. Брускин,
А.Е. Зорохович, В.С. Хвостов - М.: Высш. шк., 1979.Ч. 1 - 1979. - 288 с.
.
Дель Г.В., Дормидонов Ю.А., Ерунов В.П. Методические указания к лабораторным
работам по разделу «Трансформаторы» курса «Электрические машины». - Оренбург:
ОГУ, 2000.-33 с.