Приближение Борна-Хартри-Бете в теории неупругого рассеяния электронов на атомах и молекулах
ФЕДЕРАЛЬНОЕ
АГЕНТСТВО ПО ОБРАЗОВАНИЮ
Г
ОСУДАРСТВЕННОЕ ОБРАЗОВАТЕЛЬНОЕ УЧРЕЖДЕНИЕ ВЫСШЕГО ПРОФЕССИОНАЛЬНОГО ОБРАЗОВАНИЯ
“ВОРОНЕЖСКИЙ
ГОСУДАРСТВЕННЫЙ УНИВЕРСИТЕТ”
Физический
факультет
Кафедра
теоретической физики
Приближение
Борна-Хартри-Бете в теории неупругого рассеяния электронов на атомах и
молекулах
Магистерская
диссертация
Направление
510400 Физика
Магистерская
программа - Физика атомов и молекул
Зав. Кафедрой
И.В. Копытин,
д.ф.-м. н., проф
Студент А.В.
Крисилов
Руководитель Б.А.
Зон, д. ф.-м. н., проф.
Рецензент ________
К.С. Рыбак, к. ф-м. н., доц.
Воронеж
2009
Реферат
УДК 539.171.017 539.186.2 539.196 Крисилов А.В.
Приближение Борна-Хартри-Бете в теории
неупругого рассеяния электронов на атомах и молекулах. - Магистерская
диссертация по направлению 510400 “Физика”, Воронеж, ВГУ, 2009. - 43с., илл. 8,
табл. 1, прилож. 1, библ. 73
Ключевые слова: рассеяние электронов, неупругое
рассение, электрон-атомные, электрон-молекулярные столкновения.
В магистерской диссертации представлено новое приближение
в теории электрон-атомных и электрон-молекулярных столкновений. Предлагаемый
метод основан на свойстве полноты атомных и молекулярных волновых функций,
которые рассматриваются в приближении Хартри. Электронные возбуждения
описываются в соответствии с теорией Бете путём введения средней энергии
возбуждения. При этом расчёт в первом борновском приближении осуществляется с
использованием только волновой функции основного состояния. Получено
аналитическое выражение для полного интегрального сечения рассеяния,
включающего упругую и неупругую части, не содержащее подгоночных параметров.
Полученные сечения для рассеяния электронов на лёгких атомах и молекулах (He,
Ne и H2) хорошо согласуется с экспериментальными данными. Для более тяжелых
мишеней (Ar, Kr, Xe и N2) сечение только асимптотически стремится к
экспериментальным значениям, так как в области энергий, для которой
экспериментально измерены сечения рассеяния на этих мишенях, условие
применимости борновского приближения не выполняется. Ужесточение условия
применимости борновского приближения связано с ростом энергии связи электронов
внутренних оболочек при увеличении заряда ядра.
Результаты данной работы опубликованы в Journal
of Physics B: Atomic, Molecular and Optical Physics, 2008, v. 41, p. 215206
(7pp) и будут представлены устным докладом на XIX конференции по
Фундаментальной Атомной Спектроскопии (ФАС XIX, 22-29 июня 2009 года).
Введение
Теория рассеяния тесно связана с изучением
свойств атомов и молекул, таких, как динамические и статические поляризуемости,
скорости переходов, особенности потенциала взаимодействия. Результаты теории
рассеяния широко применяются в лазерной физике, исследовании процессов в плазме
и газовом разряде, астрофизике и физике планетных атмосфер.
Рассеяние электронов на атомах благородных газов
и гомоядерных двухатомных молекулах представляет интерес для теоретических и
экспериментальных работ. Атомы благородных газов имеют полностью заполненные
электронные оболочки и характеризуются сферической симметрией. Двухатомные
молекулы с одинаковыми ядрами обладают осевой симметрией и центром симметрии,
что упрощает анализ и численный расчет. На простых мишенях, представляющих
собой легкие атомы и молекулы He, Ne, H2, разрабатывают и проверяют новые
теоретические и экспериментальные методы.
В настоящей работе представлен новый метод
вычисления полного сечения рассеяния быстрых электронов на атомах и молекулах в
первом борновском приближении, основанный на использовании свойства полноты
волновых функций мишени для вычисления суммы вероятностей всех возможных
переходов под действием налетающих электронов. Данный подход был введён в
недавней статье [1], где показана его эффективность в расчете полных сечений
рассеяния электронов на атомах He, Ne и Ar.
Основные положения и область применимости
борновского приближения описаны в 3 томе курса теоретической физики Ландау и
Лифшица[2,с.597].
В работе используются волновые
функции в приближении Хартри (см., например [3], с.58), т.е. в пренебрежении
обменными эффектами, которые возможно учесть в приближении Хартри-Фока. Выбор
волновых функций, соответствующих приближению Хартри, оправдан слабым влиянием
обменного взаимодействия на электронную плотность (но не на энергию), особенно
для лёгких атомов и молекул. Например, вклад обменных эффектов в электронную
плотность для основного состояния иона Cu
(Z=29) не превышает нескольких
процентов [4] (см. рис. 1).
В новом методе сочетается
использование простейшего подхода Хартри к построению многоэлектронных волновых
функций, первого борновского приближения в рассмотрении процесса рассеяния с
параметризацией столкновительных электронных возбуждений путём введения средней
энергии возбуждения, впервые предложенной Бете [3]. В связи с чем естественно
назвать этот метод приближением Борна-Хартри-Бете.
Основным преимуществом нового метода
расчёта полного сечения рассеяния электронов на атомах и молекулах является его
простота. Сечение можно определить, используя минимальную информацию о мишени -
волновую функцию основного состояния и среднюю энергию возбуждения. Никаких
других параметров и допущений не требуется.
В работе используется атомная
система единиц:
.
Рис.1. Полная радиальная электронная
плотность для иона Cu
по данным
Пратта [4], сплошной линии соответствует расчёт в приближении Хартри,
пунктирной линии - в приближении Харти-Фока.
1. Краткие сведения о теории
рассеяния
.1 Развитие теории рассеяния
Исследование процессов столкновений
и развитие теории рассеяния тесно связаны ключевыми моментами становления
современной квантовой физики [5]. Эксперименты по рассеянию электронов атомами
и молекулами впервые были поставлены более ста лет назад. Вскоре после открытия
электрона Леннард в 1894 году начал исследовать отклонение электронов при
прохождении через воздух, H2, He, Ar и CO2[6]. Он определил, что для всех газов
функция пропускания электронов монотонно возрастает с ростом кинетической
энергии налетающих электронов, начиная с определённого значения энергии.
Возрастание функции пропускания электронов эквивалентно монотонному уменьшению
сечения рассеяния с ростом энергии налетающих электронов и является общей
асимптотической закономерностью для нерезонансного рассеяния. В 1914 году Франк
и Герц при анализе вольтамперных характеристик камеры с парами ртути обнаружили
участки с отрицательным наклоном. Этот опыт был первым экспериментальным
наблюдением неупругого порога при электрон-атомных столкновениях и прямым
доказательством квантования атомных уровней энергии [5].
Следующий этап в исследовании
процессов рассеяния связан с появлением простого и надёжного экспериментального
метода. Новый метод был предложен Рамзауэром [7]. Суть метода Рамзауэра состоит
в определении степени ослабления интенсивности электронного пучка при его
прохождении через камеру с исследуемым газом. Этот прямой способ измерения
полных сечений рассеяния на атомах и молекулах применяется и в настоящее время.
В 1921 году Рамзауэром было обнаружено немонотонное поведение полного сечения
рассеяния электронов в аргоне [7]. Существование минимумов было подтверждено в
экспериментах с Ar, Kr и Xe [8]. Объяснение природы этих минимумов стало
уcпехом квантовой механики [5].появлением интереса к отдельным каналам
рассеяния были экспериментально определены дифференциальное упругое сечение
рассеяния [9] и сечение ионизации [10,11].
Процессы столкновений электронов с
молекулами сопровождаются рядом эффектов, которые не наблюдается при
электрон-атомном рассеянии [12]. Неупругие столкновения могут вызвать
диссоциацию молекулы, переходы между электронными, колебательными или
вращательными состояниями мишени. Если молекула сложная, то имеется множество
различных путей диссоциации. В случае упругого рассеяния происходит
интерференция волн, рассеянных различными атомами. При рассеянии быстрых
электронов влиянием электронной структуры можно пренебречь и угловое
распределение рассеянных электронов определяется геометрией расположения ядер
молекулы. Дифракционное рассеяние на молекулах в газовой фазе позволяет
исследовать их строение [13].
С конца тридцатых до начала
шестидесятых годов малая активность экспериментов по рассеянию электронов на
атомах и молекулах совпадает с периодом интенсивных исследований в области
ядерной физики. Возобновление интереса к взаимодействиям электронов с газами
связано с началом полётов в космос и атмосферными исследованиями.
Начиная с шестидесятых годов XX века
наблюдается интенсивное развитие теоретических методов теории рассеяния и
моделей электрон-атомных и электрон-молекулярных взаимодействий (см. обзоры
[14-16]). При этом сравнение численных результатов и измерений затруднялось
недостатком достоверно известных сечений рассеяния медленных электронов на
молекулах. К началу восьмидесятых годов экспериментальные данные не могли дать
полной картины феномена атомного и молекулярного рассеяния (см. обзор Траймара
[17]). Позже, с повышением точности и надёжности измерений, появлением новых
методов и научных лабораторий, были получены полные парциальные сечения
различных процессов на множестве мишеней [18]. Подробные данные по рассеянию на
отдельных мишенях можно найти, например, в обзорах журнала Journal of Physical
and Chemical Reference Dat <#"722168.files/image004.gif"> ?) для изучения рассеяния при очень
низких энергиях [34], дипольно-связанные анионы [35], процессы с участие
возбуждённых атомов и молекул [36], рассеяние позитронов [37].
Не теряют актуальности ранние обзоры
полных сечений [38, 39], сечений ионизации [40] и резонансов при
электрон-атомных и электрон-молекулярных столкновениях[41, 42].
Экспериментальные результаты
известных научных центров можно найти в соответствующих базах данных: база
данных Национального института стандартов и технологий США(NIST) [43], Международное
агентство по атомной энергии (МАГАТЭ, Photon and Electron Interaction Data
[44]), база данных французского научного центра Орсай по свойствам атомов,
молекул, нейтрального и ионизированного газа (GAPHYOR (GAz-PHYsics-Orsay) Data
Center [45]). Подробную <#"722168.files/image005.gif"> ,
рассеянных мишенью в телесный угол
, пропорционален числу атомов в
мишени N, величине потока налетающих электронов
и углу
. В этом
случае дифференциальное сечение рассеяния определяется отношением:
Оно характеризует взаимодействие
отдельного электрона с частицей мишени. Дифференциальное сечение рассеяния
зависит от направлений налетающего(
) и рассеянного(
)
электронов, а также начальной энергии электрона, E . Проинтегрировав по всем направлениям
рассеянных электронов, получим полное сечение рассеяния
:
В соответствии с принципами
квантовой механики рассеяние электрона описывается волновой функцией. На
больших расстояниях от мишени потенциалом взаимодействия можно пренебречь и
волновая функция представляет собой суперпозицию падающей плоской волны и
расходящейся сферической волны:
Дифференциальное сечение рассеяния
определяется амплитудой рассеяния [1]:
.
Формально решение уравнения
Шрёдингера, удовлетворяющее граничным условиям, можно представить в виде
интегрального уравнения,
называемого уравнением
Липпмана-Швингера:
где
- потенциал мишени,
- функция
Грина свободного движения. Она является решением следующего уравнения :
[54].
Закон сохранения числа частиц или
плотности вероятности при рассеянии связывает амплитуду рассеяния вперед с
полным сечением рассеяния и именуется “оптической теоремой”(см., например,
[55]):
.
Столкновение электрона даже с
простейшим атомом водорода представляет собой проблему 3 тел. Но для упругих
столкновений создана вполне удовлетворительная теория. То же можно сказать и о
неупругих столкновениях, если относительные потери энергии малы. Однако никакой
сколько-нибудь точной теории не существует для столкновений, в которых эти
потери велики.
Задачу теории рассеяния можно решать
путем последовательных приближений(считая потенциал взаимодействия малым
возмущением), причем уже первое из них дает хорошее описание многих наблюдаемых
явлений [13] и известно как приближение Борна.
.3 Рассеяние на молекулах
При описании процесса
электрон-молекулярного столкновения удобно
выделить три временных масштаба.
Наиболее быстро на воздействие налетающего электрона реагирует электронная
оболочка молекулы (характерное время
). Колебательно-вращательная
подсистема реагирует медленнее (характерные времена
и
):
[29].
Если характерное время столкновения
электрона с молекулой оказывается существенно меньше времени колебаний ядер
, то в ходе
столкновения ядра можно считать неподвижными (приближение фиксированных ядер).
В этом случае вся физика процесса в общем сходна с физикой столкновения
электрона с атомом. Основное отличие состоит в том, что характеристики
рассеяния становятся зависящими от ядерных координат.
Так как экспериментальная ситуация
соответствует обычно хаотическому распределению ориентации молекул относительно
направления движения электронного пучка, то при теоретическом рассмотрении
задачи эффективное сечение рассеяния усредняют по всем ориентациям молекулы.
Межъядерные расстояния при этом берут равными равновесным. Получающийся
результат не является сечением чисто упругого рассеяния, а соответствует
суммированию по всем конечным вращательным состояниям и не дает информации о
сечениях колебательного возбуждения.
Колебательной динамикой нельзя
пренебрегать в двух случаях: во-первых, при энергиях электрона, близких к
порогу возбуждения, когда время процесса становится сравнимым с
, и,
во-вторых, в случае образования промежуточного резонансного состояния
отрицательного молекулярного иона. Время жизни такого комплекса нередко
сравнимо с периодом молекулярных колебаний (что, например, имеет место в случае
молекул N2, СО, СО2), а в случае молекулы О2 значительно превышает этот период.
При исследовании такого рода процессов в сечениях была обнаружена
осцилляционная структура [29].
Если время столкновения сравнимо с
периодом вращения молекулы,
то
становится также существенной вращательная динамика. В особенности
это
относится к полярным молекулам в силу дальнодействующего характера
электрон-молекулярного
взаимодействия.
Теоретические методы исследования процессов
электрон-молекулярных столкновений можно разделить на три направления:
1. Расчеты ab initio, исходящие непосредственно
из многочастичного уравнения Шредингера в приближении Хартри - Фока и каких-то
дополнительных предположений (псевдопотенциальный учет обмена, статическое
приближение с полуфеноменологическим учетом поляризационного взаимодействия и
т. д.) (см., например, [14,56,57]).
2. Полуфеноменологические методы, ставящие своей
принципиальной задачей восстановление некоторых квантовомеханических
характеристик процесса по небольшому числу экспериментально доступных данных с
последующим вычислением сечений экспериментально неизмеримых процессов (метод
оптического потенциала и правило сумм) [58,59].
2. Приближение Борна-Хартри-Бете
Вероятность перехода мишени (атома
или молекулы) из состояния
с энергией
в состояние
с энергией
при
рассеянии на ней электрона с начальным импульсом
в первом борновском приближении
определяется следующим образом (см., например [3]):
(1)
где
(2)
потенциал взаимодействия налетающего
электрона с молекулой, состоящей из
ядер с зарядами
и
координатами
и
электронов.
Далее мы для краткости рассмотрим только молекулы, для атомов необходимо
положить
.
Дифференциальное сечение рассеяния для перехода из состояния
в
(3)
где
- импульс, преданный молекуле при
столкновении.
2.1 Упругое рассеяние
Рассмотрим упругое рассеяние, при
котором после столкновения молекула остаётся в исходном состоянии, интеграл по
координатам налетающего электрона в (3) вычисляется с применением известного
соотношения для Фурье - образа кулоновского потенциала,
неупругое рассеяние
электрон столкновение
(4)
Тогда дифференциальное сечение
примет вид
(5)
где
(6)
молекулярный формфактор. Условие
нормировки волновой функции основного состояния мишени
даёт
.
Полученное дифференциальное сечение
зависит от ориентации молекулы относительно направления движения налетающего
электрона. Если молекулы расположены беспорядочно, то наблюдаемое упругое
сечение вычисляется путём усреднения выражения (5) по всем возможным
ориентациям.
Рассмотрим далее гомоядерную
двухатомную молекулу, тогда
(для атомов
). Поместим
начало координат в центр масс молекулы и направим ось
вдоль оси
молекулы
.Тогда
усреднение по всем возможным ориентациям молекулы будет эквивалентно усреднению
по направлениям
, т.е. по
телесному углу
[12]. В
силу осевой симметрии задачи дифференциальное сечение не зависит от полярного
угла
и
усреднение сводится к интегрированию по углу между векторами
и
:
(7)
При вычислении полного упругого
сечения удобнее перейти к интегрированию по
вместо
, а
интегрирование по
из-за
осевой симметрии сводится к умножению на
. Переданный при упругом рассеянии
импульс
может
меняться от
до
:
(8)
.2 Неупругое рассеяние
Для получения неупругого
дифференциального сечения необходимо просуммировать сечения перехода (3) по
всем конечным состояниям
:
(9)
В адиабатическом приближении
Борна-Оппенгеймера молекулярные волновые функции зависят от координат ядер как
от параметра, поэтому из ортогональности начального и конечного состояний
слагаемые,
соответствующие взаимодействию налетающего электрона с ядрами, обращаются в
нуль:
(10)
и сечение перехода примет вид
(11)
Введём среднюю энергию возбуждения
при неупругом столкновении электрона с мишенью,
, которая определяет величину
среднего импульса рассеянных электронов,
, и среднего переданного импульса,
. Теперь при
суммировании сечений всех возможных переходов
в (9) можно заменить
и
,
соответствующие конкретному переходу, их средними значениями и вынести из-под
суммы (9):
(12)
Для вычисления суммы в (12) применим
свойство полноты молекулярных волновых функций
, где
- единичный оператор:
(13)
В одночастичном приближении Хартри
многоэлектронная волновая функция представляет собой произведение
одноэлектронных функций
и в правой
части формулы (13) сокращаются все слагаемые с
:
(14)
где
(15)
и неупругое дифференциальное сечение
представляется в следующем виде:
(16)
Если для любого заданного
основной
вклад в
дает только
одна электронная оболочка, то
(17)
При малых
из формулы
(15) следует
(18)
где
,
, так что неупругое дифференциальное
сечение (16) расходится при
.
- средний радиус электронной
оболочки, дающей основной вклад в неупругое сечение при данной энергии
налетающих электронов.
В обменных интегралах
слагаемые,
пропорциональные
в
разложении каждой экспоненты исчезают в силу
-четности волновых функций. Обменные
интегралы имеют порядок
и их вклад
в неупругое дифференциальное сечение по сравнению с необменными интегралами
будет тем меньше, чем меньше
. Таким образом, применение
приближения Хартри даст в данном случае практически такой же результат, как
приближение Хартри-Фока.
Усреднение неупругого
дифференциального сечения по всем возможным ориентациям молекул проводится
аналогично усреднению упругого сечения:
(19)
Для вычисления полного неупругого
сечения также удобно перейти к интегрированию по
, но, в отличие от упругого
рассеяния, переданный импульс
не может быть равным нулю:
. Для
быстрых электронов средняя энергия возбуждения
и
. Верхний предел, как и в случае
упругого рассеяния равен
, и для
полного неупругого сечения получаем:
(20)
.3 Полное сечение рассеяния
Таким образом полное сечение
рассеяния быстрых электронов на гомоядерной двухатомной молекуле выражается
через обычный молекулярный формфактор
(6) и формфактор
(15),
которые полностью определяются волновой функцией основного состояния молекулы:
(21)
Необходимо отметить, что неупругое
дифференциальное сечение можно непосредственно вычислить по формулам (16) и
(19), но полезность этого результата будет ограничена из-за сильной зависимости
от средней энергии возбуждения
.
3. Детали вычислений
Волновые функции основного состояния
молекул
были
рассчитаны ab initio [60]. Мы использовали стандартные базисы программы
Gaussian98W: 6-311++G для молекул H
и N
, 6-311++G(3df,3pd) для He, Ne, Ar и
Kr, 6-31G** для Xe. Эти наборы базисных функций позволяют вычислять волновые
функции основного состояния с достаточной точностью. Мы не исследовали
зависимость точности метода Борна-Хартри-Бете от размера базисного набора.
Рассмотрим вычисление матричных
элементов
, которые
входят в определение формфакторов (6) и (15), на примере молекулы N
.
Одноэлектронные волновые функции
десяти внутренних электронов молекулы N
, заполняющих пять орбиталей
, не зависят
от полярного угла
:
(22)
но одноэлектронные волновые функции
четырёх валентных электронов молекулы N
, содержат простую зависимость от
полярного угла:
В выбранной системе координат
Поэтому интегрирование по
в каждом
матричном элементе вычисляется аналитически и приводит к появлению функций
Бесселя:
Таким образом, каждый матричный
элемент наиболее просто вычисляется следующим образом:

4. Обсуждение результатов
Значения средней энергии
возбуждения, использованные нами для вычисления полных сечений рассеяния по
формуле (21), представлены в таблице. Также в таблице приведены энергии связи
К-электронов,
, полученные
с учетом слэтеровского экранирования [61]. Максимальная энергия связи
К-электронов в молекуле азота определяется соответствующей энергией связи в
атоме N(при образовании молекулы внутренние электронные оболочки практически не
изменяются), поэтому для молекулы азота N2 использовалось значение средней
энергии возбуждения равное средней энергии возбуждения атома азота N. Для
средней энергии возбуждения использовались значения из базы данных NIST [62].
Таблица
Значения средней энергии возбуждения
I и оценки для энергии связи К-электронов Ek .
|
H2
|
N2
|
He
|
Ne
|
Ar
|
Kr
|
Xe
|
|
I,
эВ
|
19.2
|
82.0
|
41.8
|
137.0
|
188.0
|
352.0
|
482.0
|
|
Ek,
эВ
|
6
|
611
|
40
|
1280
|
4262
|
17340
|
39235
|
Величина Ek даёт ясное условие применимости
первого борновского приближения при рассеянии электронов на атомах:
(27)
где
- энергия налетающих электронов.
.1 Сечения рассеяния на молекулах
Энергетическая зависимость полного
интегрального сечения рассеяния электронов на молекуле H2 представлена на рис.
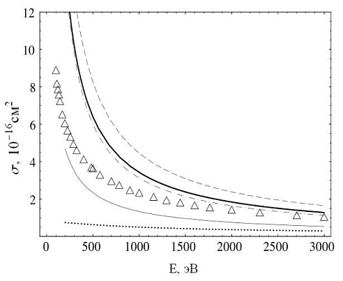
2. Полученный результат хорошо согласуется с экспериментальными данными работ
[63-65] (в пределах 10% даже для малых энергий); при
эВ
рассчитанное сечение совпадает с экспериментальными данными в пределах точности
эксперимента. Пунктирной линией показан вклад упругого сечения, который не
превышает 30% от полного сечения во всем диапазоне энергий. Это доказывает
существенную важность корректного учета вклада неупругого сечения, полученного
предлагаемым методом. Заметим, что начиная с E=300 эВ упругое сечение достигает
минимального постоянного значения, при этом, очевидно, выполняется условие
(27).
Для демонстрации зависимости полного
сечения от средней энергии возбуждения мишени I на рис. 2 представлены сечения,
рассчитанные при трех различных значениях I :
( штриховая линия), I=19.2эВ -
средняя энергия возбуждения по данным NIST(сплошная линия),
(штрих-пунктирная
линия). Изменение значения I в несколько раз оказывает заметное влияние на
полное сечение рассеяния. Зависимость от I определяется выражением (20): с
ростом I интеграл от
уменьшается,
и соответственно уменьшается полное интегральное сечение .
Рис. 2. Зависимость полного сечения
рассеяния электронов на молекуле H2 от энергии налетающих электронов - сплошная
линия. Экспериментальные данные : Δ [63], ■ [64], ◊
[65]. Упругое сечение - пунктирная линия. Также представлены сечения рассеяния
для значений I отличных от данных таблицы : для
- штриховая линия и для
-
штрих-пунктирная линия.
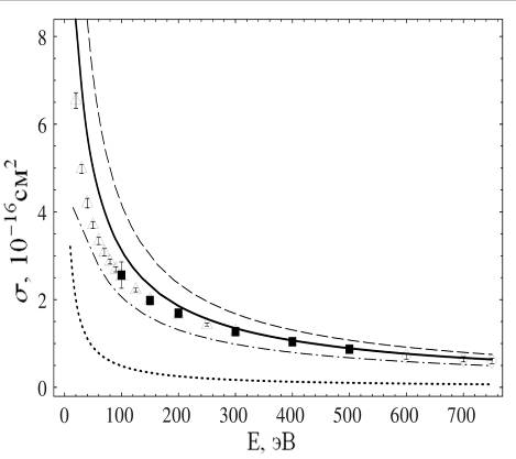
Результаты расчёта полного сечения
рассеяния электронов на молекуле N2 представлены на рис. 3. Сравнение с
экспериментальными данными [66,67] дает только асимптотическую сходимость.
Согласие в пределах 50% для энергий налетающих электронов меньших 2500 эВ и 30%
для энергии 5000 эВ говорит о том, что рассматриваемый диапазон энергий не
удовлетворяет условию (27). Как и для молекулы водорода, штриховая линия
означает вклад упругого сечения, который составляет около 40% от полного
сечения, но в отличие от рассеяния на молекуле H2 не достигает минимального
значения при даже при 5000 эВ.
Полные сечения рассеяния зависят от
средней энергии возбуждения, I, и более чувствительны к уменьшению I, чем к
возрастанию. Кривые соответствующие уменьшенному в два раза значению
(штриховая
линия на рис. 3) и учетверённому
(штрих-пунктирная линия на рис. 3)
отличаются примерно на 50% от сечений, вычисленных при энергии возбуждения
(данные NIST
[62]). Как видно из рисунка, полное сечение рассеяния, соответствующее
, лучше
согласуется с экспериментом, так как существенно уменьшается неупругое сечение
рассеяния (20).

Рис. 3. Зависимость полного сечения
рассеяния электронов на молекуле N2 от энергии налетающих электронов - сплошная
линия. Экспериментальные данные: ▲ [66], □ [67]. Упругое сечение -
пунктирная линия. Также представлены сечения рассеяния для значений I отличных
от данных таблицы : для
- штриховая
линия и для
-
штрих-пунктирная линия.
.2 Сечения рассеяния на атомах
Вычисления полного сечения рассеяния
на атомах существенно проще, так как не требуется проводить усреднение по всем
возможным ориентациям мишени. В этом случае количество электронов в мишени N=Z
(в определениях формфакторов (6) и (15)). Полное сечение рассеяния электронов
на атомах в приближении Борна-Хартри-Бете равно:
(28)
Полное сечение рассеяния электронов
на атоме He (см. рисунок 4) совпадает с экспериментальными данными Зекка (и
др.) [68] в пределах 5% при
эВ. При
эВ - в
пределах точности эксперимента. В работе [1], исходя из аналитический модели
формфактора (
,
), была
получена простая формула для полного сечения рассеяния электронов на He:
. (29)
Полное сечение, вычисленное по
формуле(29), представлено на рис. 4 тонкой сплошной линией и согласуется с
результатами данной работы в пределах 5%.
На рис. 4 также представлено упругое
сечение рассеяния, рассчитанное с помощью (28) (пунктирная линия), в сравнении
с результатами Инокути и Макдауэлла [69](□). Совпадение естественно, так
как в обоих случаях применялось первое борновское приближение. Результаты
Инокути и др. [70] для неупругого сечения представлены штриховой линией,
практически совпадающей с полным сечением. Легко видеть, что сумма упругого и
неупругого сечений, полученных Инокути, превышает результаты для полного
сечения, полученные в данной работе, и экспериментальные данные Зекка и др.
[68].
Рис. 4. Зависимость полного сечения
рассеяния электронов на атоме He от энергии налетающих электронов - сплошная
линия, экспериментальные данные, Δ[68]; полное сечения в
соответствии с (29)- тонкая сплошная линия. Упругое сечение рассеяния в
соответствии с формулой (28) представлено пунктирной линией в сравнении с
данными Инокути и Макдауэлла, □[69]; неупругое сечение рассеяния,
вычисленное Инокути(и др.) [70], - штриховая линия.
Из рисунка 5 видно согласие
вычисленных в данной работе полных сечений рассеяния на атоме Ne с
экспериментальными данными Зекка и др. [71] для
эВ в пределах 5%. Вклад неупругого
сечения рассеяния, представленный пунктирной линией, меняется от 20% для малых
энергий до 40% для E=3000 эВ. Результаты для неупругого сечения хорошо
согласуются с данными Инокути и др. [70] (штриховая линия) для
эВ, но
существенно отличаются при
эВ.
Рис. 5. Зависимость полного сечения
рассеяния электронов на атоме Ne от энергии налетающих электронов - сплошная
линия. Экспериментальные данные, Δ [71]. Неупругое сечение в
соответствии с формулой (28) представлено пунктирной линией в сравнении с
результатами Инокути и др. [70] (штриховая линия).
Полное сечение рассеяния на атоме Ar
(см. рис. 6) не совпадает с экспериментальными данными Зека и др. [71] до
E=3000 эВ. Различие составляет около 30% для
эВ и 20% для более высоких энергий,
что объясняется нарушением условия применимости приближения Борна(27).
На рис. 6 представлены полные
сечения рассеяния, рассчитанные при различных значениях, отличных от
расположенных в таблице: при уменьшенном в четыре раза
( штриховая
линия) и удвоенном
(
штрих-пунктирная линия). Неупругое сечение показано в сравнении с данными Инокути
и др. [70] (пунктирная линия и тонкая сплошная линия), результат Инокути
превышает полученный в настоящей работе в два раза.
Рис. 6. Зависимость полного сечения
рассеяния электронов на атоме Ar от энергии налетающих электронов - сплошная
линия. Экспериментальные данные, Δ [71]; неупругое сечение в
соответствии с формулой (28) представлено пунктирной линией в сравнении с
результатами Инокути и др.[70] (тонкая сплошная линия). Также представлены
сечения для значений отличных от данных таблицы : для
- штриховая
линия и для
-
штрих-пунктирная линия.
Полные сечения рассеяния на атомах
Kr и Xe, представленные на рисунках 7 и 8, существенно отличаются от
соответствующих экспериментальных данных [72,73]; различие превышает 100% во
всем диапазоне энергий. Как и в случае рассеяния на атоме Ar, такое расхождение
обусловлено нарушением применимости борновского приближения при рассеянии
электронов с энергией меньшей энергии связи К-электронов .
Как видно из рисунков 7 и 8 вклад
упругого сечения рассеяния, обозначенного пунктирной линией, составляет
примерно 70% для Kr и 90% для Xe, таким образом завышенные значения упругого
сечения приводят к завышению полного сечения рассеяния.
Рис. 7. Зависимость полного сечения
рассеяния электронов на атоме Kr от энергии налетающих электронов - сплошная
линия; упругое сечение - пунктирная линия. Экспериментальные данные по полным
сечениям рассеяния
Рис. 8. Зависимость полного сечения
рассеяния электронов на атоме Xe от энергии налетающих электронов - сплошная
линия; упругое сечение - пунктирная линия. Экспериментальные данные по полным
сечениям рассеяния:
Обсудим применимость предложенного
метода. Он основан на трёх независимых приближениях (Борна, Хартри и Бете), и
связан со свойственными этим подходам ограничениями. Для первого борновского
приближения условие применимости ограничивает минимальную энергию налетающих
электронов (27), при которой вычисление сечения рассеяния будет достаточно
точным. Как видно из рисунков 4 - 8 расхождение между вычисленными и
соответствующими экспериментальными данными возрастает с ростом заряда атомов
Z, (т. е. с увеличением энергии связи К-электронов Ek). Аналогично ведут себя
сечения рассеяния на молекулах (см. рисунки 2 и 3). Таким образом, основное
ограничение метода связано с использованием борновского приближения. Для
тяжелых атомов и молекул условие применимости метода ужесточается с ростом Z.
Что касается использования волновых
функций в одноэлектронном приближении Хартри, а не Хартри-Фока или более
точных, то только оно позволяет вычислить бесконечную сумму в выражении для
неупругого дифференциального сечения (12) аналитически и получить простой ответ
(16). Так как при вычислении сечения рассеяния используется только волновая
функция основного состояния мишени, неточность приближения Хартри сказывается
только на волновой функции и оказывается весьма небольшой (см. рисунок 1).
На основе приближения Бете была
введена средняя энергия электронных возбуждений мишени при неупругом рассеянии.
Зависимость полного сечения рассеяния от средней энергии возбуждения мишени I
известна практически точно для He. В общем случае можно показать, что
асимптотическая зависимость сечения рассеяния от I имеет вид аналогичный
формуле (29). Для больших энергий налетающих электронов полное сечение
рассеяния логарифмически зависит от I как
, и влияние средней энергии
возбуждения I на асимптотическую величину полного сечения при высоких энергиях
налетающих электронов E оказывается несущественным. Но, как видно из рисунков 2
, 3 и 6, в области промежуточных энергий изменение значения I в несколько раз
оказывает заметное влияние на полное сечение.
Также важно отметить отличие
приближения Борна-Хартри-Бете от модели независимых атомов (см., например,
работы [57,58]). Для высокоэнергетичных электронов (с энергией
) молекулярная
мишень фактически представляет собой совокупность отдельных атомов, и полное
сечение рассеяния электронов на молекуле оказывается равным сумме атомных
сечений. Достоинством нашего метода является применимость в области
промежуточных энергий (
), когда
модель независимых атомов не работает.
Выводы
Разработан новый метод вычисления
неупругого сечения рассеяния, основанный на приближении Борна-Хартри-Бете в
теории электрон-молекулярного рассеяния. Для расчета сечения требуется только
волновая функция основного состояния мишени и средняя энергия возбуждения, что
является основным преимуществом метода. Метод не требует введения подгоночных
параметров и является асимптотически точным.
В области высоких энергий неупругое
сечение рассеяния практически не зависит от средней энергии возбуждения мишени,
так как асимптотическая зависимость сечения от I является логарифмической
. В области
промежуточных энергий изменение I заметно влияет на величину сечения неупругого
рассеяния.
Применимость метода определяется
возможностью использования борновского приближения. Если энергия налетающих
электронов не превышает энергию связи К-электронов мишени, то точность
полученных сечений рассеяния будет мала. Расхождение полученных теоретических и
экспериментальных сечений возрастает с ростом заряда атомов мишени.
Установлено, что расчетные полные
сечения рассеяния электронов на лёгких атомах и молекулах хорошо согласуются с
экспериментальными данными. Полное совпадение достигается в следующих областях
энергий - для He при
, для Ne при
, и H2 при
. Для более
тяжелых мишеней (Ar, Kr, Xe и N2) наблюдается только асимптотическое согласие с
экспериментом, что обусловлено недостаточностью первого борновского приближения
в данном энергетическом диапазоне.
Зон
Б.А., Зон В. Б. Логарифмически точные полные сечения рассеяния быстрых
электронов на атомах. // ЖТФ, 2007, том. 77, вып. 1. - С.38-41.
Ландау
Л.Д., Лифшиц Е.М. Теоретическая физика. Учебное пособие. Т.3 Квантовая
механика. Нерелятивистская теория. М:Наука, 1989, 768 с.
Бете
Г. Квантовая механика. - М.,1965. - 334с.G. W. Jr. Wave Functions and Energy
Levels for Cu+ as Found by the Slater Approximation to the Hartree-Fock
Equations.// Phys. Rev., 1952, v.88, no. 6. - P.1217-1224.R.S., G. P. Karwasz,
Zecca A. One century of experiments on electron-atom and molecule scattering: a
critical review of integral cross-sections I. Atoms and diatomic molecules.//
La Rivista del Nuovo Cimento, 1996, v.19, no. 3. - P. 1-146.
Lenard
P. Über Kathodenstrahlen in Gasen von atmosphärischem Druck und im
äussersten Vacuum // Ann. Phys. (Leipzig), 1894, v.
287, no.2. - S.225-267.C. The effective cross-section areas of gas molecules
toward slow electrons. // Ann. Phys. (Leipzig), 1921, v. 366 - P. 546-558.C.
and Kollath R. Über den Wirkungsquerschnitt der
Edelgasmoleküle gegenüber Elektronen unterhalb 1 Volt.//
Ann. Phys. (Leipzig), 1929, v. 395, no. 4. - P. 536-564.C., Kollath R. Die
Winkelverteilung bei der Streuung langsamer Elektronen an Gasmolekülen.//
Ann. Phys. (Leipzig), 1931, v. 401, no. 6. - P. 756-768. P. J. Probability of
Ionization of Mercury Vapor by Electron Impact// Phys. Rev., 1927, v. 29 - P.
822-829.P. T. The Ionization of Helium, Neon, and Argon by Electron Impact//
Phys. Rev., 1930, v. 36 - P.1293-1302.
Месси
Г., Бархоп Е. Электронные и ионные столкновения. - М: Ин. лит., 1958. - 604с.
Брокуэй
Л. О. Дифракция быстрых электронов газовыми молекулами. //УФН. - 1937, Том 17,
вып. 2 - с. 175-200.N.F. Theory of electron-molecule collisions.// Rev. Mod.
Phys., 1980, v.52 - P.23 - 113. F. A. and Jain A. The theory of electron
scattering from polyatomic molecules // Phys. Rep., 1986, v. 143, no. 6. -
P.347-425.T. T. The modified Glauber approximation.// Phys. Rep, 1988, v.
160,no.3. - P. 123-187S., Register D. F. and Chutjian A. Electron scattering by
molecules II. Experimental methods and data// Phys. Rep.,1983, v. 97,no. 5. -
P. 219-356.S. and McConkey J.W. Benchmark Measurements of Cross Sections for
Electron Collisions: Analysis of Scattered Electrons// Adv. At. Mol. Phys.,
1994, v.33, P. 63-69.Sections for Collisions of Electrons and Photons with
Oxygen Molecules.// Itikawa Y., Ichimura A., Onda K. et. al.// J. Phys. Chem.
Ref. Data, 1989, v. 18, no. 1 - P. 23-42.Sections and Related Data for Electron
Collisions with Hydrogen Molecules and Molecular Ions// Tawara H., Itikawa Y.,
Nishimura H. et. al.// J. Phys. Chem. Ref. Data, 1990, v.19,no. 3 - P.
617-636.Y. Cross Sections for Electron Collisions with Nitrogen Molecules.// J.
Phys. Chem. Ref. Data, 2006, v. 35, no. 1. - P.31-53.Data on the Electron
Impact Ionization of Light Atoms and Ions.// Bell K. L., Gilbody H. B., Hughes
J. G. et. al.// J. Phys. Chem. Ref.Data, 1983, v. 12, no. 4. - P. 891-916.Data
on the Electron Impact Ionization of Atoms and Ions: Fluorine to Nickel.//
Lennon M. A., Bell K. L., Gilbody H. B. et. al.// J. Phys. Chem. Ref. Data,
1988, v. 17, no. 3 - P. 1285-1363.D. W. O. and Gallagher J. W. Measurements of
electron impact optical excitation functions //Rev. Mod. Phys., 1989, v. 61. -
P.221 - 278.
Chutjian
A., Garscaden A. and Wadehra J. M. Electron attachment to molecules at low
electron energies
<#"722168.files/image150.gif">), N2(
) and O2(
).// Phys.
Rev. A., 1987, v. 35, no. 2 - P. 591-597. cross sections for electron
scattering on chloromethanes: Formulation of the additivity rule. // Brusa R.
S., Karwasz G. P., Piazza A. et al. // Phys. Rev. A., 1999, v. 59, no. 2 - P.
1341-1347.
Jian
A., Baluja K.L.Total (elastic plus inelastic) cross sections for electron
scattering from diatomic and polyatomic molecules at 10-5000eV: H2, Li2, HF,
CH4, N2, CO, C2H2, HCN, O2, HCl, H2S, PH3, SiH4, and CO2.// Phys. Rev. A.,
1992, v. 45, no. 1 - P. 202-218.
Frisch
Æ. and Foresman J. B. Gaussian 98 User’s Reference. - Pittsburgh, PA:
Gaussian Inc., 1998. - 302 p.J. C. Atomic Shielding Constants.//Phys. Rev.,
1930,v.36,no.1 - P.57-64.
<http://physics.nist.gov/cgi-bin/Star/compos.pl>cross
section measurements for electron scattering on H2 and N2 from 4 to 300 eV.//
Nickel J. C., Kanik I., Trajmar S. et. al. // J. Phys. B: At. Mol. Opt. Phys.,
1992, v. 25, no.10. - P.2427-2431.cross-section measurements for positrons and
electrons colliding with H2, N2, and CO2.// Hoffman K.R., Dababneh M. S., Hsieh
Y.-F. et. al.// Phys. Rev. A., 1982, v. 25, no. 3. - P.1393-1403.
van
Wingerden B., Wagenaar R. W. and de Heer F. J. Total cross sections for
electron scattering by molecular hydrogen.// J. Phys. B: At. Mol. Opt. Phys.,
1980, v. 13, no. 17.- P. 3481-3491.total cross section measurements for
intermediate energy electron scattering. II. N2, O2 and NO.// Dalba G.,
Fornasini P., Zecca A. et. al.// J. Phys. B: At. Mol. Phys., 1980, v. 13, no.
23. - P.4695-4701.G., Perez A., Campos J. Total cross section for electron
scattering from N2 in the energy range 600-5000eV. // Phys. Rev. A., 1988, v.
38, no. 2 - P.654-657. total cross section measurements for intermediate energy
electron scattering. I. He.// Dalba G., Fornasini P., Zecca A. et al.// J.
Phys. B: At. Mol. Phys., 1979, v. 12, no.22. - P.3787-3795.M., McDowell M. R.
C. Elastic scattering of fast electrons by atoms. I. Helium to neon. // J.
Phys. B: At. Mol. Phys., 1974, v. 7, no.17. - P.2382-2395.M., Saxon R. P. and
Dehmer J. L. Total cross-sections for inelastic scattering of charged particles
by atoms and molecules-VIII. Systematics for atoms in the first and second
row.// Int. J. Radiat. Phys. Chem., 1975, v. 7, no 2-3. - P. 109-120.total
cross section measurements for intermediate energy electron scattering: III. Ne
and Ar.// Zecca A., Oss S., Karwaszt G. at al.// J. Phys.B.: At. Mol. Opt.
Phys., 1987, v. 20. - P.5157-5164.M. and Goains C. Total electron scattering
cross sections of Kr and Xe in the energy range 250-4500 eV. // Phys. Rev. A.,
2004, v. 70, no. 5 - P. 052709(6). total cross section measurements for
intermediate-energy electron scattering: IV. Kr and Xe.// Zecca A., Karwaszt
G., Brusa R. S. et. al.// J. Phys. B: At. Mol. Opt. Phys., 1991, v. 24. -
P.2737-2146.