Защита функционально-логической структуры интегрированных инфокоммуникационных систем от вскрытия технической компьютерной разведкой

  • Вид работы:
    Дипломная (ВКР)
  • Предмет:
    Информационное обеспечение, программирование
  • Язык:
    Русский
    ,
    Формат файла:
    MS Word
    1,09 Мб
  • Опубликовано:
    2014-04-07
Вы можете узнать стоимость помощи в написании студенческой работы.
Помощь в написании работы, которую точно примут!

Защита функционально-логической структуры интегрированных инфокоммуникационных систем от вскрытия технической компьютерной разведкой

СОДЕРЖАНИЕ РАБОТЫ:

Введение

. Анализ условий функционирования интегрированной инфокоммуникационной системы связи в условиях ведения противником компьютерной разведки

.1 Условия и факторы, влияющие на развитие систем военной связи. Условия, приводящие к необходимости создания интегрированных цифровых систем связи ВС РФ

.2 Интегрированная инфокоммуникационная система связи как объект компьютерной разведки

.3 Направления, способы и средства ведения компьютерной разведки в инфокоммуникациях

. Разработка методического обеспечения защиты интегрированной инфокоммуникационной системы связи от компьютерной разведки

.1 Графы и их генерация

.2 Методика формирования защищенной логической структуры интегрированной цифровой системы связи

. Научно-технические предложения по управления элементами системы защиты и обеспечению их безопасности

.1 Способы защиты систем связи военного назначения от компьютерной разведки

.2 Оценка эффективности научно-технических решений по реализации защищенной логической структуры интегрированной цифровой системы связи

Заключение

ИСХОДНЫЕ ДАННЫЕ (ОБСТАНОВКА):

1. Условия, приводящие к необходимости создания интегрированных цифровых систем связи ВС РФ.

2. Планируемый перечень задач.

3. Направления повышения защищённости СС от воздействия КР противника.

Оформление работы.

Работа должна содержать:

1. Текстуальная часть, включающая необходимые описания, анализ, расчеты и иллюстрации.

2. Демонстрационные материалы (слайды) в программе Microsoft Visio.

Общий объем и требования к оформлению отчетных документов:

. Пояснительная записка объемом 95-105 страниц рукописного текста.

. Иллюстративные материалы к защите (9-11 плакатов).

. Оформление документов в соответствии с требованиями ЕСКД.

Список литературы:

1. Максимов Р.В. И др. Безопасность ведомственных интегрированных инфокоммуникационных систем. Учебное пособие. СПб.: СПбГТУ, 2011. - 192 с.

. Петров С.В. Графовые грамматики и задачи графодинамики // Автоматика и телемеханика. №10, 1977. с. 133.

. Петров С.В. Нормальная форма графовых грамматик // Автоматика и телемеханика. №6, 1977. с. 153.

4. Жамбю М. Иерархический кластер-анализ и соответствия: Пер. с фр.- М.: Финансы и статистика, 1988. - 300с.

. Петренко С.А. Управление информационными рисками. Экономически оправданная безопасность / Петренко С.А., Симонов С.В. -М.: Компания АйТи; ДМК Пресс, 2004. - 384 с.

. Абчук В.А. и др. Справочник по исследованию операций / Под общ. ред. Ф.А. Матвейчука - М.: Воен. издат., 1979 г. - 368 с.

. Максимов Р.В., Кожевников Д.А., Павловский А.В. и др. Способ защиты вычислительной сети (варианты). Патент РФ №2325694, от 27.05.08 г. по заявке №2006138743 от 02.11.06.

. Максимов Р.В., Кожевников Д.А., Павловский А.В. и др. Способ (варианты) и устройство (варианты) защиты канала связи вычислительной сети. Патент РФ №2306599 от 20.09.2007 г.

. Максимов Р.В., Кожевников Д.А., Павловский А.В. и др. Способ (варианты) защиты вычислительных сетей. Патент РФ №2307392 от 27.09.2007 г. по заявке №2006114974 от 02.05.06.

. Максимов Р.В., Андриенко А. А., Иванов В. А., Костырев А.Л., Костин А.А. Способ мониторинга безопасности автоматизированных систем. Патент РФ №2261472 от 27.09.2005 г.

. Максимов Р.В., Андриенко А.А., Иванов В.А., Костырев А.Л. Способ мониторинга безопасности автоматизированных систем. Патент РФ №2265242 от 27.11.2005 г.

. Максимов Р.В., Андриенко А.А., Костырев А.Л., Павловский А.В. и др. Способ контроля информационных потоков в цифровых сетях связи. Патент РФ №2267154 от 27.12.2005 г.

. Максимов Р.В., Андриенко А.А., Костырев А.Л., Павловский А.В. и др. Способ защиты вычислительных сетей от несанкционированных воздействий. Патент РФ №2271613 от 10.03.2006 г.

. Максимов Р.В., Андриенко А.А., Костырев А.Л., Павловский А.В. и др. Способ защиты вычислительных сетей от несанкционированных воздействий. Патент РФ №2279124 от 27.06.2006 г.

. Максимов Р.В., Андриенко А.А. и др. Способ обслуживания разноприоритетных запросов абонентов вычислительной системы. Патент РФ №2296362, 27.03.07 г. по заявке №2005129370 от 20.09.05.

. Максимов Р.В., Куликов О.Е., Липатников В.А., Можаев О.А. Способ защиты информационно-вычислительных сетей от компьютерных атак. Патент РФ №2285287 от 10.10.2006 г.

. Разработка механизмов защиты систем связи военного назначения от компьютерной разведки / Итоговый отчет о НИР «Мотив». / Научный руководитель Стародубцев Ю.И. - СПб.: ВАС, 2007.


СОДЕРЖАНИЕ

ПЕРЕЧЕНЬ УСЛОВНЫХ ОБОЗНАЧЕНИЙ

ВВЕДЕНИЕ

.   Анализ условий функционирования интегрированной инфокоммуникационной системы связи в условиях ведения компьютерной разведки

1.1 Условия и факторы, влияющие на развитие систем военной связи

1.2 Интегрированная инфокоммуникационная система связи как объект компьютерной разведки

1.3 Направления, способы и средства ведения компьютерной разведки в инфокоммуникациях

Выводы по главе 1

2. Разработка методического обеспечения защиты интегрированной инфокоммуникационной системы связи от компьютерной разведки

2.1 Графы и их генерация

2.1.1 Модель процесса вскрытия системы связи компьютерной разведкой

.1.2 Модель логической структуры системы связи, получаемой противником в результате компьютерной разведки

.1.3 Графовые грамматики

.1.4 Методы и показатели оценки эффективности мероприятий по формированию логической структуры системы связи

.2 Методика формирования защищенной логической структуры интегрированной цифровой системы связи

.2.1 Алгоритм формирования защищенной логической структуры системы связи

.2.2 Алгоритм преобразований логической структуры системы связи

.2.3 Алгоритм дополнительных преобразований системы связи в течение функционирования

.2.4 Пример расчета эффективности формирования защищенной логической структуры системы связи

Выводы по главе 2

. Научно-технические предложения по управления элементами системы защиты и обеспечению их безопасности

.1 Способы защиты систем связи военного назначения от компьютерной разведки

.1.1 Способы расширения адресного пространства элементов логической структуры системы связи

.1.2 Способы управления интенсивностью трафика

.2 Оценка эффективности научно-технических решений по реализации защищенной логической структуры интегрированной цифровой системы связи

Выводы по главе 3

ЗАКЛЮЧЕНИЕ

СПИСОК ЛИТЕРАТУРЫ

СПИСОК СОКРАЩЕНИЙ

АРМ

- автоматизированное рабочее место

АСУ

- автоматизированная система управления

ВС

- Вооруженные силы

ДМП

- демаскирующий признак

ЕСЭ РФ

- Единая сеть электросвязи Российской федерации

ИИС

- интегрированная инфокоммуникационная система

ИП

- информационный поток

ИТКС

- информационно-телекоммуникационная система

ИЦСС

- интегрированная цифровая система связи

КП

- командный пункт

КР

- компьютерная разведка

ЛВС

- локальная вычислительная сеть

ЛПР

- лицо принимающее решение

ЛС

- локальный сегмент

ЛССС

- логическая структура системы связи

НДВ

- не декларированные возможности

НСД

- несанкционированный доступ

ПДВ

- преднамеренное деструктивное воздействие

ПЗЛС

- подсистема защиты логической структуры

ПО

- программное обеспечение

ПУ

- пункт управления

СС

- система связи

СУ

- система управления

УС

- узел связи

ЭМВОС

- эталонная модель взаимодействия открытых систем


ВВЕДЕНИЕ

В настоящее время мир стоит на пути перехода к информационному обществу, в котором производство и потребление информации являются важнейшим видом деятельности, информация признается наиболее значимым ресурсом, а информационная среда наряду с социальной и экологической становится новой средой обитания человека.

Слияние информационных систем и систем связи в единое целое на сегодняшний день породило новое понятие - информационно-телекоммуникационная система (ИТКС). Информационно-телекоммуникационная система Вооруженных сил (ВС) - организационно-техническое объединение сил и средств связи и автоматизации, реализующее информационные процессы с использованием информационных и сетевых технологий в рамках системы управления ВС.

Современный этап развития систем связи (СС) предполагает их цифровизацию, интеграцию и глобализацию, которые приводят к неизбежности применения широкого диапазона открытых протоколов информационного обмена (сетевого взаимодействия), а также технологий и оборудования преимущественно иностранных разработок (в том числе и средств защиты), имеющих уязвимости и не декларированные возможности (НДВ).

Естественным в условиях интеграции систем военной связи с Единой сетью электросвязи РФ (ЕСЭ РФ), а ЕСЭ РФ с международными телекоммуникациями, бурного развития технологий, является рост количества угроз информационной безопасности СС. Существенно возрастают потенциальные возможности компьютерной разведки (КР) иностранных государств, террористических организаций, отдельных злоумышленников по идентификации элементов систем военной связи и вскрытию их структуры. Например, концепция «сетецентричной (сетевой) войны» США предполагает использование СС как арены боевых действий .

Основными направлениями защиты в информационно-телекоммуникационных системах являются: защита информации от разглашения и хищения; защита информации в линиях и каналах связи; защита от несанкционированного доступа непосредственно на объекты; защита информации от утечки по техническим каналам; защита информации от несанкционированного и непреднамеренного воздействия; защита информации от несанкционированного доступа с использованием штатных средств автоматизированной системы.

Как правило, защита информации по первому направлению достигается выполнением требований законов, инструкций, руководящих документов, а также организационными мерами, включающими правильную кадровую политику. Защита информации по второму направлению осуществляется применением средств криптографической защиты и специальных сигнально-кодовых конструкций. Защита информации по третьему направлению достигается организацией пропускного режима, системами и средствами контроля и управления доступом на объекты . Применительно к следующим трем направлениям, защита информации осуществляется установлением ограничений на доступ пользователей к средствам передачи информации, применением средств криптографической защиты, резервированием, защитой от специальных программ-вирусов, контролем межсетевого взаимодействия и обнаружением удаленных компьютерных атак. В настоящее время эти направления имеют достаточно высокую степень теоретической и прикладной проработки.

Существующие методы и средства защиты предполагают лишь разграничение доступа к информации и в локальные сегменты СС, т. е. осуществляется попытка установить границы на уровне локальных сегментов, а информация о построении и развитии СС остается незащищенной в виду незащищенности технологической информации (информации развития) СС и отображения процессов ее обработки на информационном поле компьютерной разведки. Информацией развития СС являются их структура и алгоритмы функционирования, используемое оборудование и программное обеспечение, схемы информационных потоков (ИП) и роль отдельных сегментов. Более того, иерархия узлов связи пунктов управления отражает структуру системы управления, в интересах которой создается СС. Это связано с тем, что элементы СС и процессы управления обладают демаскирующими признаками (ДМП). Наиболее ярким примером этого является возможность с помощью перехвата и анализа ИП в СС получить их схему, отражающую в свою очередь структуру СС, а значит и структуру СУ.

В таких условиях система защиты СС от компьютерной разведки должна при приемлемых экономических затратах обеспечивать решение задач оперативной маскировки, целью которой является введение противника в заблуждение относительно состава, структуры и алгоритмов функционирования СС, оперативно-тактической принадлежности ее элементов.

Отмеченное выше позволяет выделить сложившееся противоречие между возрастающими требованиями к защищенности СС в условиях компьютерной разведки и существующим недостаточным уровнем разработки научно-методического обеспечения и практических рекомендаций, соответствующих современным условиям безопасного функционирования систем военной связи.

Данное противоречие позволяет констатировать задачу, заключающуюся в разработке на основе анализа условий функционирования СС концептуальной модели подсистемы защиты логической структуры СС от компьютерной разведки, методики формирования защищенной логической структуры СС и научно-технических предложений по ее реализации.

Выявленное противоречие и существующая задача обусловили выбор темы данной работы: «Защита функционально-логической структуры интегрированных инфокоммуникационных систем связи от вскрытия технической компьютерной разведки» и ее актуальность.

Цель работы - повышение защищенности интегрированной цифровой системы связи от вскрытия технической компьютерной разведкой.

Объект - функционально-логическая структура интегрированных инфокоммуникационных систем.

Предмет - защищенность функционально-логической структуры интегрированных инфокоммуникационных систем от вскрытия компьютерной разведкой.

Существующая задача и сформулированная цель работы определили задачи работы:

. Провести анализ условий функционирования интегрированной цифровой системы связи в условиях ведения компьютерной разведки.

. Обосновать актуальные научно-теоретические направления по совершенствованию системы защиты интегрированной цифровой системы связи в условиях ведения компьютерной разведки.

. Разработать концептуальную модель подсистемы защиты логической структуры интегрированной цифровой системы связи от компьютерной разведки.

. Разработать методику формирования защищенной логической структуры интегрированной цифровой системы связи.

. Разработать научно-технические предложения по реализации защищенной логической структуры интегрированной цифровой системы связи.

Практическая значимость работы заключается в возможности использования его результатов в интегрированной цифровой системе связи при ее защите от компьютерной разведки в следующих аспектах:

. Разработанная модель подсистемы защиты логической структуры интегрированной цифровой системы связи от компьютерной разведки позволяет генерировать защищенную логическую структуру системы связи и обосновать выбор альтернативы.

. Предложенная методика формирования защищенной логической структуры интегрированной цифровой системы связи позволяет обоснованно сформировать защищенную логическую структуру системы связи, обеспечить ее правдоподобное функционирование и дополнительную защиту от преднамеренных деструктивных воздействий компьютерной разведки.

. В ходе работы были разработаны алгоритмы, реализующие защищенную логическую структуру интегрированной цифровой системы связи без изменений в системе связи ниже сетевого уровня эталонной модели взаимодействия открытых систем, что существенно снижает затраты на реализацию защиты.

. Разработанные научно-методическое обеспечение и технические решения позволяют обеспечить реализацию замысла оперативной маскировки, используя для введения в заблуждение компьютерной разведки противника реальные элементы инфраструктуры систем военной связи и минимизируя затраты на выделение сил и средств для организации функционирования ложных элементов узлов связи оперативных объединений ВС РФ.

1. Анализ условий функционирования интегрированной инфокоммуникационной системы связи в условиях ведения компьютерной разведки

.1 Условия и факторы, влияющие на развитие систем военной связи

Одним из приоритетных направлений обеспечения обороноспособности нашего государства в данный момент является развитие и совершенствование системы военного управления на базе широкой автоматизации деятельности органов военного управления.

Рост потребностей Вооруженных сил Российской Федерации и должностных лиц органов военного управления требует (рис. 1.1): повышения эффективности телекоммуникационной составляющей автоматизированной системы управления (АСУ) ВС;

. расширения количества и видов услуг связи предоставляемых должностным лицам;

. создания единого информационного пространства ВС РФ;

. обеспечения командованию ВС возможности в реальном масштабе времени реагировать на изменения военно-политической и оперативно-стратегической обстановки в мире.

В то же время недостатки существующей аналоговой СС, такие, например, как ее техническое и технологическое отставание от ЕСЭ РФ приводят к необходимости создания интегрированной информационно-телекоммуникационной сети, обеспечивающей автоматизацию управленческих функций, интеграцию специальных и информационных систем с целью обеспечения возможности комплексного использования информации органами военного управления на всех уровнях (рис. 1.1).

В связи с этим приоритетными задачами в области связи, решаемыми военно-промышленным комплексом Российской Федерации, являются перевод первичной сети связи ВС РФ на цифровое телекоммуникационное оборудование, перевод вторичных сетей связи ВС РФ на цифровое оборудование обработки информации и предоставления услуг, оснащение войск связи ВС РФ современными системами, комплексами, средствами связи и автоматизации управления.

Рисунок 1.1 - Условия, приводящие к необходимости создания интегрированных цифровых систем связи ВС РФ

Пункт управления (ПУ) - комплекс сооружений или транспортных средств, оборудованный техническими средствами управления (связи, АСУ и другими специальными системами) для размещения и работы органов управления, при подготовке и в ходе ведения операций (боевых действий).

Особенности операций и боевых действий в вооруженных конфликтах, опыт локальных войн последних десятилетий позволяют сделать вывод о резком изменении и ужесточении условий и характера их проведения, оперативных и тактических нормативов, состава и структуры группировок войск и повышении требований к пунктам управления.

Для руководства группировками войск создаются системы стационарных и подвижных пунктов управления.

.2 Интегрированная инфокоммуникационная система связи как объект компьютерной разведки

В рамках выполнения задач по созданию системы связи осуществляются работы по созданию интегрированной цифровой системы связи (ИЦСС).

Система военной связи - часть системы управления войсками, силами и оружием, представляющая собой совокупность взаимоувязанных и согласованных по задачам, месту и времени действий узлов и линий связи различного назначения, развёртываемых или создаваемых по единому плану для решения задач обеспечения управления войсками, силами и оружием.

Интегрированная цифровая система связи - система военной связи, развёрнутая на базе узлов и линий военной связи, характеризующаяся техническим, методологическим и организационным единством при использовании цифровых сигналов электросвязи для передачи и распределения сообщений.

Основной особенностью, в виду наличия которой перспективную систему связи называют интегрированной, является принцип заимствования у ЕСЭ РФ ресурсов и услуг.

ИЦСС должна предоставлять должностным лицам армии интегрированные услуги связи для управления войсками и оружием в автоматизированном и неавтоматизированном режимах:

шифрованной обычной и видеотелефонной связи;

открытой дальней телефонной связи;

шифрованной передачи данных;

шифрованной факсимильной связи.

При этом шифрованный файловый обмен, шифрованный обмен электронной корреспонденцией (электронная почта), шифрованная видеотелефонная связь обеспечивается по сети шифрованной передачи данных, а шифрованная факсимильная связь - по сети шифрованной телефонной связи.

Технологическую основу перспективной ИЦСС в соответствии с замыслом составляют (рис. 1.3) УС ПУ различных звеньев управления, узлы доступа транспортной сети полевой системы связи (УД ТС ПСС), узлы ЕСЭ РФ, а также стационарные опорные узлы связи (СОУС).

Рисунок 1.3 - Основные технологические элементы ИЦСС

Интегрированная цифровая система связи берет свое название не в последнюю очередь оттого, что она напрямую взаимодействует и даже основана на ЕСЭ РФ. Кроме того, ИЦСС является составной частью системы военной связи в целом. В свою очередь, в виду процессов глобализации, ЕСЭ РФ интегрирована с международными телекоммуникациями. Таким образом, ИЦСС, как составная часть, системы военной связи находит свое место в глобальной инфраструктуре и интегрирована с международными телекоммуникациями. Кроме того, из сложившихся условий развития ЕСЭ РФ можно сделать следующие выводы.

Экспансия зарубежных технологий на отечественный рынок привела к необратимому наличию в инфраструктуре ЕСЭ РФ программно-аппаратного обеспечения, содержащего НДВ и частные уязвимости. Это связано с тем, что основные разработчики и производители аппаратных и программных средств телекоммуникационных систем являются представителями иностранных государств и контролируются их силовыми структурами.

Достижение целей функционирования СУ связано с решением целого круга задач, отражающих алгоритмы функционирования. Этот круг задач логичен и очевиден для противника через ДМП процессов управления и связи. Процессы функционирования управляемых систем являются целенаправленными, т. к. управление без цели бессмысленно. Эти процессы отражаются на информационном поле КР посредством информационного обмена (трафиком) через ЕСЭ РФ. Реализованные трафиком информационные направления являются наиболее доступными КР. Для СУ и ИЦСС, как управляемых систем, характерны определенные структуры, отражающие контуры управления (пути, по которым циркулирует информация). Контуры управления отражают корреляцию СУ и ИЦСС.

СУ и ИЦСС способны переходить в различные состояния в соответствии с управляющими (информационными) воздействиями. Эти переходы требуют времени. Стационарность СС превращает элементы СС и связи между ними в особенно ценные объекты разведки - обладающие структурной устойчивостью.

При интеграции ИЦСС и ЕСЭ РФ, ИЦСС становится более открытой для воздействия угроз со стороны системы среды. Так как для интеграции с ЕСЭ РФ необходимо обеспечивать совместимость ИЦСС и ЕСЭ по интерфейсам и протоколам, то ЕСЭ РФ необходимо признать вышестоящей системой для СС, причем снижение защищенности СС и воздействие противника через ЕСЭ - закономерны.

Таким образом, угрозы противника (КР) - это совокупность условий и факторов, которые определяют совокупность требований к СС и процессам (системе) ее защиты.

ЕСЭ РФ является суперсистемой для СС, предъявляющей требования по совместимости в обмен на функциональность, ведь именно в повышении функциональности СС за счет ЕСЭ РФ и заключается смысл интеграции с ней ИЦСС.

Очевидно, что вместо противопоставления требований необходимо согласование с внутренними тенденциями и закономерностями развития СУ, а также мягкое резонансное управление, не вызывающее противоречий при интеграции СС и блокирования потребностей противника в получении информации (это его глобальное требование).

То есть, с одной стороны СС должна обеспечивать СУВ функциональностью, а с другой стороны - система защиты должна обеспечивать противника (КР) информацией (для управления им). Таким образом, у СВС обнаруживаются 3 суперсистемы: СУВ, ЕСЭ и КР. Требования этих суперсистем к СС представлены на рис. 1.4.

Система управления войсками требует от ИЦСС функциональности: готовности предоставлять услуги связи с заданным качеством и с обеспечением информационной безопасности.

Рисунок 1.4 - Функциональные требования, предъявляемые суперсистемами к ИЦСС

ЕСЭ РФ требует от СС совместимости, без которой она не может предложить свои ресурсы и услуги. Компьютерная разведка противника требует от СС информативности, позволяющей принимать эффективные решения в рамках противоборства.

.3 Направления, способы и средства ведения компьютерной разведки в инфокоммуникациях

В соответствии с текущим состоянием работ по ИЦСС можно сделать выводы, что она будет построена на перспективных технологиях, т.е. будет современной информационно-телекоммуникационной системой, основанной не в последнюю очередь на ЕСЭ РФ, особенно в период развертывания транспортной сети ПСС. А значит, ей свойственны все угрозы ИБ, которые свойственны информационно-телекоммуникационным системам гражданского назначения, а учитывая военное назначение ИЦСС, опасность таких угроз увеличивается.

Одной из наименее качественно описанных на сегодняшний момент угроз является угроза компьютерной разведки. Компьютерная разведка ведется иностранными государствами со своей территории (через сеть Интернет и другие информационно-вычислительные сети общего пользования), а также с территории РФ. На территории России КР может вестись из зданий посольств и консульств, мест пребывания иностранных инспекционных комиссий, зданий совместных предприятий, иностранных коммерческих фирм, мест проживания иностранных граждан, включая туристов, а также из мест проведения промышленных, научных, поисковых, изыскательских, добывающих и прочих видов работ и исследований.

Компьютерная разведка - специально подготовленная, согласованная по месту, времени и формам деятельность, направленная на организацию доступа, перехват, сбор и анализ данных, обрабатываемых в компьютерных системах (включая отдельные компьютеры) и сетях.

Фактически, КР на сегодня рассматривают в трех ее ипостасях: пассивная КР, выполняющая сбор информации не обращаясь к объекту разведки; активная КР, обращающаяся к объекту разведки для получения информации о нем; КР, осуществляющая ПДВ на вскрытый объект или его элементы. В первую очередь необходимо отметить что, начиная с определения, КР относят только к компьютерным системам и сетям. Хотя слияние информационных (компьютерных) и телекоммуникационных систем на сегодняшний день породило новое понятие - информационно-телекоммуникационная система. Это подтверждается, например, тем, что современное телекоммуникационное оборудование имеет встроенные операционные системы и для управления ими используются программные консоли, устанавливаемые на удаленных ПЭВМ. В такой ситуации было бы неправильным относить КР только лишь к компьютерным сетям. Понятия вредоносная программа, вирус и троянский вирус в описании КР смешаны в одно целое. Эти и другие недостатки привели к необходимости введения нового определения и целей КР, а также описания (методов и средств) ее ведения в инфокоммуникациях.

Компьютерная разведка - специально подготовленная, согласованная по месту, времени и формам деятельность, направленная на:

. организацию доступа, перехват, сбор и анализ информации о составе структуре и алгоритмах функционирования, местоположении и принадлежности инфо-телекоммуникационных систем и их элементов;

. организацию доступа, перехват, сбор и анализ данных, хранимых, обрабатываемых и передаваемых в информационно-телекоммуникационных системах;

. подготовку и реализацию преднамеренных деструктивных воздействий на элементы информационно-телекоммуникационных систем.

Глобальной целью функционирования КР является информационное обеспечение должностных лиц органов управления в процессе выработки ими управленческих решений.

В аспекте достижения частных целей КР предназначена:

. для сбора, обработки, хранения, актуализации, доведения, и выдачи оперативной, технологической и другой информации должностным лицам органов управления в процессе выработки ими управленческих решений;

. перехвата и анализа открытой и закрытой оперативной и служебной информации;

. планирования и оперативного управления информационным процессом КР;

. контроля, учёта и документирования информационного процесса КР.

Можно выделить четыре основных направления деятельности КР (рис. 1.5).

Рисунок 1.5 - Направления деятельности КР

В результате деятельности по указанным направлениям КР становится доступна информация о:

роли ЛС и их узлов в общей структуре ИТКС;

схеме ИП межу узлами ЛС и ЛС ИТКС;

структуре и топологии ИТКС и ее ЛС;

интенсивности информационного обмена внутри ЛС и между ЛС ИТКС;

Топологии ЛС и ИТКС;

алгоритмах функционирования ЛС и ИТКС;

принадлежности узлов ЛС и ЛС ИТКС к определенным объектам;

области деятельности ЛС;

сетевом ПО;

типах и версиях операционных систем на узлах ЛС;

используемых службах и сервисах;

открытых портах узлов;

прикладном программном обеспечении;

используемых средствах защиты;

типах используемого оборудования;

уязвимостях ПО и оборудования;

семантическом и синтаксическом содержании ИП, в том числе информация об идентификаторах, ключах, паролях и элементах шифрограмм.

В самом общем виде цикл воздействий КР целесообразно представлять по следующей схеме (рис. 1.6):

получение (сбор и обработка) информации развития СС (состав, структура и алгоритмы функционирования СС);

определение объектов информационно-технического воздействия (элементы СС и протоколы взаимодействия, т. е. связи между элементами);

выявление наиболее важных объектов для КР;

подавление посредством ПДВ.

Рисунок 1.6 - Цикл воздействий противника (компьютерной разведки)

Выводы по главе 1

1. Анализ структуры интегрированной цифровой системы связи и видов информационного обмена, которые она должна обеспечить должностным лицам органов военного управления позволил выявить, что при интеграции ИЦСС с ЕСЭ РФ не должно применяться дополнительных шлюзовых преобразований и выделенных каналов.

. Выявлено, что перспективная интегрированная цифровая система связи будет основана на общепринятых технологиях и открытых протоколах связи, что отрицательно влияет на ее защищенность от компьютерной разведки иностранных государств.

. Сформулировано новое понятие угрозы, как совокупности условий и факторов, которые определяют совокупность требований к СС и процессам (системе) ее защиты.

. Анализ направлений способов и средств ведения компьютерной разведки показал, что она обладает большими возможностями по вскрытию цифровых СС. В частности, благодаря интеграции ИЦСС с ЕСЭ РФ, КР противника имеет возможность вскрытия структуры ИЦСС, которая в свою очередь отражает структуру системы управления войсками.

.Выявлено, что в ИЦСС реализованы только методы защиты информации от несанкционированного доступа. В то же время в рамках маскировки и существуют методы защиты, которые в ИЦСС не реализованы, следовательно, необходима разработка научно-методического обеспечения, реализующего методы маскировки в целях повышения защищенности ИЦСС от компьютерной разведки.

2. Разработка методического обеспечения защиты интегрированной инфокооммуникационной системы связи от компьютерной разведки

Анализ условий функционирования ИЦСС в условиях ведения КР показал, что в виду интеграции с ЕСЭ РФ перспективная ИЦСС будет представлять современную цифровую ИТКС, которой присущи все угрозы ИБ цифровых систем связи и автоматизации. Наименее проработанной на сегодняшний день угрозой является угроза КР. Анализ системы безопасности связи и информации ИЦСС, а также возможностей КР показал, что применяемые в ИЦСС методы защиты неадекватны современным возможностям КР.

Рисунок 2.1 - Взаимосвязь мероприятий по оперативной маскировке и защиты от компьютерной разведки

Изучение открытых и закрытых ресурсов ИТКС ВС РФ и глобальной информационной системы (сеть Интернет) компьютерной разведкой иностранных государств, построение ЕСЭ РФ преимущественно на телекоммуникационном оборудовании иностранного производства, обладающем уязвимостями и НДВ, применение в ИТКС открытых протоколов и стандартов связи позволяет КР выделять ДМП ИТКС. Таким образом, подсистема добывания и обработки КР имеет возможность вскрытия (формирования модели) ИТКС, которая может быть использована для реализации ПДВ подсистемой подавления КР или других видов воздействий другими системами подавления противника.

Такая ситуация вызывает необходимость разработки подсистемы защиты от КР (рис. 2.1), реализующей мероприятия по оперативной маскировке в ИЦСС (далее СС) с целью формирования у противника искаженной (ложной) модели СС путем введения в заблуждение КР, и позволяющей отвести ПДВ от наиболее важных для СУ элементов СС.

В целях решения поставленной задачи необходимо разработать концептуальную модель подсистемы защиты логической структуры СС от КР (ПЗЛС), которая позволит (рис. 2.2):

определить задачи ПЗЛС;

определить показатели для оценки эффективности выполняемых задач;

выявить ДМП СС, которыми необходимо управлять для решения задач по ОМ;

сформировать на основе выявленных ДМП модель СС, получаемой противником в результате КР;

разработать обеспечение для управления выявленными ДМП на информационном поле КР с целью формирования у нее искаженной (ложной) модели СС;

разработать методы и конкретизировать показатели для оценки эффективности мероприятий по формированию ложной модели СС у КР.

Рисунок 2.2 - Обобщенная схема концептуальной модели подсистемы защиты логической структуры СС от компьютерной разведки

На основе результатов концептуальной модели необходимо разработать методику формирования модели СС на информационном поле КР, выполняющую задачи поставленные перед ПЗЛС.

.1 Графы и их генерация

.1.1 Модель процесса вскрытия системы связи компьютерной разведкой

Объекты защиты (УС ПУ, СС) и их деятельность обладают ДМП. Суть процесса вскрытия СС разведкой заключается в познании объекта защиты, т. е. построении модели СС по конечному набору ДМП.

Вскрытие системы связи - это ее обнаружение, местоопределение и идентификация оперативно-тактической принадлежности.

В процессе разведки возможно создание целого множества инвариантов сложного объекта относительно различных его свойств. По отношению к различным свойствам СС можно выделить несколько групп инвариантов, необходимых КР для синтеза адекватных моделей. Основными группами таких инвариантов являются: инварианты состава СС, ее структуры и алгоритмов функционирования.

К инвариантам состава СС можно отнести: множества УС, оборудования, которым представлены УС и установленного на узлах ПО.

К инвариантам структуры СС можно отнести схему информационных связей между УС, собственно структуру СС и ее топологию.

К инвариантам алгоритмов функционирования СС можно отнести: интенсивность информационного обмена УС и протоколы их взаимодействия, множество функций УС и их иерархическую структуру.

Помимо того, что формирование инвариантов имеет своей целью отразить отдельные свойства изучаемой системы, инварианты также дают возможность изучать ее по частям. А сопоставление нескольких инвариантов в единую модель дает представление о свойствах и параметрах СС в целом.

Необходимо отметить, что процесс формирования инвариантов СС и ее моделей включает в себя не только прямое отображение параметров по ДМП, но также их обобщение и интеллектуальный анализ, причем такое обобщение происходит сверху вниз (рис. 2.3).

Рисунок 2.3 - Иерархия инвариантов СС с точки зрения процесса вскрытия ее компьютерной разведкой

Таким образом, формировать модель СС на информационном поле КР необходимо исходя из ДМП информационного обмена УС ПУ, которыми являются: идентификаторы отправителей и получателей пакетов сообщений, интенсивность и направление ИП. Указанные ДМП составляют признаки логической структуры системы связи (ЛССС).

Логическая структура системы связи - структура системы связи, сформированная противником (компьютерной разведкой) на основе логического анализа перехваченных им в реальной системе связи информационных потоков, отражающая идентифицированные сетевыми (IP) адресами узлы связи пунктов управления, и логические связи между ними по признаку наличия взаимного информационного обмена с указанием его интенсивности и направления.

Логическая структура может отражать как чисто структурные свойства (элементы и связи) СС, так и свойства ее ИП (интенсивность и направление).

Кроме того, ЛССС может включать в себя информацию о транзитных УС, входящих в состав транспортной сети (ТС ПСС, ЕСЭ РФ), отображая, таким образом, информацию о маршрутах ИП, а может лишь указывать на наличие ИП без уточнения его маршрута. Далее в работе рассматривается ЛССС без учета транспортной сети.

.1.2 Модель логической структуры системы связи, получаемой противником в результате компьютерной разведки

Наиболее удобное и полное описание модели СС достигается представлением ее в виде графа G(U,V), множество вершин которого U={u1, u2,…,uN}, а множество ребер V={vij}, где i,j=1..N, а N - количество вершин сети. Каждому элементу vij множества V ставится в соответствие вполне определенная пара {ui,uj}ÎU. В свою очередь, каждому элементу ui ставится в соответствие определенный УС, а элементу vijÎV - определенная ветвь СС (канал связи). Пример такого описания СС графом представлен на рис. 2.4.

Граф принято называть связным, если любая пара его вершин соединена простой цепью. Для СС, математической моделью которых являются графы, свойство связности может быть сформулировано в следующем виде: СС называется связной, если в ней может быть найден хотя бы один прямой или транзитный маршрут между каждой парой узлов. Граф, в котором любая пара вершин смежна, называют полносвязным графом. Степенью вершины r(u) называют количество ребер, смежных с этой вершиной (инцидентных ей). Граф структуры СС удобно задавать в виде матрицы. Матрица смежности вершин графа А позволяет описать связи УС друг с другом.

Рисунок 2.4 - Пример изображения логической структуры СС в виде графа

При условии равнодоступности маршрутов в ветвях она является симметричной квадратичной матрицей порядка N: A = |aij|.

Каждый элемент aij матрицы А равен (i ≠ j):

aij = 1, если узлы ui и uj связаны,

aij = 0, если узлы ui и uj не связаны.

Так как представленный на рисунке граф не имеет ребер исходящих и завершающихся в той же вершине (нет петель), диагональные элементы aij (i = j) матрицы равны нулю. Собственно в СС абсолютно нет смысла создания таких петель.

Необходимо отметить, что полученный граф СС и отображающая его матрица связности еще не дает полноценного описания модели ЛССС.

ИЦСС состоит из двух типов УС: терминальных, представляющих собой УС ПУ, и транзитных УС (относящихся к ТС ПСС и ЕСЭ, посредством которых объединяются терминальные УС). С учетом этих свойств множество вершин U графа G можно разбить на два подмножества:

U = {u1, u2,…,uk}È{uk+1, uk+2,…,uN}, (2.1)

где 1≤k≤N, u1..k - терминальные УС и u(k+1)..N - транзитные УС.

С одной стороны модель ЛССС должна учитывать транзитные УС. Но нас интересует не физическая структура СС, а ее логическая структура, свойства которой отражают свойства СУ, в интересах которой функционирует СС. Учитывая это для создания модели ЛССС можно ограничиться рассмотрением только терминальных УС, принадлежащих ПУ. Для этого необходимо удалить все транзитные УС из графа. Такое преобразование позволяет существенно снизить вычислительную сложность дальнейших задач применительно к СС со сложной транзитной составляющей. Кроме того, чтобы учесть в модели ЛССС первый признак - наличие ИП, следует исключить из графа СС те ребра, между вершинами (УС) которых не осуществляется информационный обмен. Наличие или отсутствие информационного обмена между узлами СС зависит от иерархии УС ПУ в СУ, в интересах которой существует СС, и решаемых различными УС ПУ совместных задач, т. е. от текущих «управленческих» процессов. В результате будет получена модель ЛССС без учета транспортной сети и без учета информации о направлениях и интенсивности ИП (рис. 2.5).

Рисунок 2.5 - Пример графа отображающего ЛССС без учета ТС

Точно таким же образом в матрице связности следует заменить единичные элементы на нулевые там, где удалены ребра. Матрица, отображающая такой граф, выглядит следующим образом:

А=    (2.2)

До сих пор рассмотрению подвергались только неориентированные графы, т.е. графы, в которых для ребер не было задано направление информационного обмена по ним. Так как в СС необходимо учитывать направления ИП, необходимо применить ориентированный граф. В ориентированных графах на концах ребер стрелками указывают направление ИП.

При указании направления ИП необходимо учесть следующие их важные свойства. Информационный обмен между двумя УС в одном направлении может быть больше чем в обратном, также как и между разными парами УС. Следовательно, в модели необходимо учитывать интенсивности lij ИП между каждыми i-м и j-м узлами СС в обоих направлениях (от i-го к j-му и наоборот).

Величиной измерения интенсивности l может быть единица объема передаваемой информации k за единицу времени t (например, бит за сутки):

. (2.3)

Для того чтобы задать в модели единицу измерения времени необходимо учитывать следующие факторы. Для того, чтобы КР могла построить ЛССС путем пассивной разведки, она вынуждена осуществлять ИП как минимум в течение одного цикла управления. До тех пор, пока не будет пройден один цикл управления, высока вероятность, что не все УС ПУ успели проявить себя в информационном обмене. Кроме того, интенсивность информационного обмена должна оцениваться разведкой за какой-то достаточный промежуток времени, а не за секунды.

Кроме того, необходимо учесть следующую особенность. Большинство существующих на сегодняшний день стандартизованных протоколов сетевого взаимодействия и клиент-серверных приложений опираются на транспортный протокол ЭМВОС - TCP. Протокол ТСР является протоколом с установлением соединения, что указывает на наличие двустороннего обмена за счет появления технологического трафика. Кроме того, для определенных нужд сами приложения могут порождать двусторонний обмен. Однако, как правило, при этом основной объем трафика передается только в одном направлении, а объем технологического трафика, передаваемого в обратном направлении, может составлять ничтожную долю от основного. В связи с этим, при сравнительно больших промежутках времени t и несущественных объемах технологического трафика в обратном направлении, интенсивность l на этом направлении по сравнению с передачей данных будет стремиться к нулю.

Поскольку об этой особенности знает и КР, в создаваемой ею модели СС близкая к нулю интенсивность ИП, скорее всего, будет рассматриваться как его отсутствие.

Таким образом, с учетом дополнительных признаков можно построить еще одну модель ЛССС в виде графа и матрицы. На тех ребрах, где информационный обмен существует, укажем его направление. При этом на конце каждого ребра, входящего в какую-либо вершину, при наличии входящего в нее ИП указываем его интенсивность (рис. 2.6).

Рисунок 2.6 - Пример графа отображающего ЛССС с учетом направлений ИП и их интенсивностей

В случае с матрицей заменим элементы aij матрицы связности графа A интенсивностями ИП lij. При этом как указано выше сравнительно малые интенсивности, относящиеся к технологическому трафику, будут заменены нулями.

B =    (2.4)

Таким образом, полученная модель СС, отображает следующие важные свойства СС и ее УС:

количество УС в СС;

количество информационных направлений в СС;

количество информационных направлений каждого отдельного УС;

интенсивности информационных направлений каждого отдельного УС и СС в целом.

Представленный подход к созданию модели ЛССС обладает целым рядом достоинств. Сюда, прежде всего, стоит отнести:

простой физический смысл;

применимость к широкому классу графов (сетей);

использование относительно простого математического аппарата для дальнейших расчетов;

сравнимость решений и хорошая наглядность результатов.

Таким образом, необходимо разработать трансформирующую вершинную графовую грамматику, включающую набор правил преобразования элементов графа ЛССС, исходящие из теоретических предпосылок защиты от КР и применимые к любому графу СС.

.1.3 Графовые грамматики

Поскольку графовые грамматики оперируют правилами подстановки подграфов, целесообразно отображать их в виде рисунка, включающего заменяемый и заменяющий подграф, комментирующей его формулы, а также словесных описаний и формул, накладывающих требования и ограничения к замене.

Условимся использовать следующие обозначения:

вершина Unr - вершина с номером n, и степенью - r (количеством инцидентных ей ребер);

подграф {Unr (Ul, Um, Uk)} - вершина Unr которого является основной (той вершиной, в рамках которой управление ДМП позволяет достигать преобразования), а в скобках указываются вершины, с которыми связана основная вершина подграфа (количество указанных в скобках вершин соответствует степени r основной вершины);

степень rmax - максимальная степень вершины (нескольких вершин) в исходном графе;

номер вершины nmax - максимальный номер вершины в текущем (исходном или преобразованном графе до применения очередного правила), необходимый для обозначения номеров новых вершин графа;

правило U73 (U4, U5, U6) ® U74 (U4, U5, U6, U10), описываемое, как и в формальных грамматиках, будет означать, что вершина U7 переходит в саму себя, но при этом ее степень r повышается на единицу, и она получает дополнительное ребро, связывающее ее с вершиной U10.

Здесь и далее под основной вершиной понимается вершина, отображающая такой УС, на котором должны быть выполнены действия, позволяющие достичь задаваемых правилами преобразований.

Например, на рис. 2.7 графически изображено правило преобразования, описанное выше.

Рисунок 2.7 - Правило преобразования графовой грамматики

Далее графически и в символьном виде сформулированы, как пример алфавита создания графовых грамматик, несколько правил преобразования, необходимые для решения задач, поставленных перед ПЗЛС, а также будут даны ограничения и физический смысл использования таких правил.

Правило преобразования 1

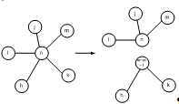
Unr (Ul, Um, Uk, …) ® Unr (Ul, Um, Uk, …) + Unmax+1r (Ul, Um, Uk, …)

правило, изображенное на рис. 2.8, и заключающееся в добавлении в исходный граф дополнительной вершины Unmax+1, полностью дублирующей основную вершину Unr заменяемого подграфа по ее связям с остальными вершинами графа.

Физически такое правило можно интерпретировать созданием в СС ложного УС, который будет связан ИП с теми же УС, что и УС, интерпретируемый в графе вершиной Un, что может быть вызвано необходимостью усложнения ЛССС на информационном поле КР.

Рисунок 2.8 - Правило преобразования ЛССС №1

Правило преобразования 2

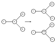
Unrmax (Ul, Um, Uk, Uj, Uh, …) ® Unrmax-i (Ul, …) + Unmax+1j (Uk, …) + … -

правило, изображенное на рис. 2.9, и заключающееся в понижении степени r вершины Un на величину i (i=j+…) и добавлении в исходный граф новых вершин, забирающих часть связей основной вершины заменяемого подграфа на себя. Наибольший смысл применение этого правила имеет в случае, когда степень r вершины Un наибольшая в СС (rmax), однако в ряде случаев можно заменить в правиле Unrmax на Unr (т.е. понизить степень не только вершины с максимальной степенью, но и других вершин).

Рисунок 2.9 - Правило преобразования ЛССС №2

Физический смысл такого преобразования заключается в понижении уровня иерархии УС, интерпретируемого в графе вершиной Un, и усложнения структуры СС. Понижение уровня иерархии УС также вызвано необходимостью смещения акцента с наиболее важных УС на второстепенные (отвлечение противника на другие цели). Такая необходимость является следствием того, что количество связей УС с другими узлами равное rmax с наибольшей вероятностью будет у УС, занимающего высший уровень иерархии в СС.

Правило преобразования 3

Unr (Ul, …) ® Unr (Ul, …) + Unmax+1r+i (Uf, Ug, Uk, Uj, Uh, …)

правило, изображенное на рис. 2.10, и заключающееся в добавлении в исходный граф дополнительной вершины Unmax+1 с увеличенной на величину i степенью (количеством связей с другими вершинами), и при этом не имеющей дублирующих по сравнению с заменяемым подграфом связей основной вершины Unr. Наибольший смысл такая процедура имеет в случаях, когда степень вершины Unr мала (стремится к единице).

Рисунок 2.10 - Правило преобразования ЛССС №3

Суть этого преобразования играет важную роль при смещении акцентов КР на второстепенные УС. Физический его смысл заключается в создании ложного УС высокого уровня иерархии (с большим количеством связей с другими УСС), играющего перед КР отвлекающую роль.

Важно, что все представленные правила преобразований позволяют исказить и усложнить ЛССС на информационном поле КР. Последние же два правила (2, 3), применяемые одновременно к разным узлам, позволят существенно исказить информацию об оперативно-тактической принадлежности УС, входящих в ЛССС, формируемую на информационном поле КР. Одно из них будет снижать уровень иерархии УС, а другие два будут повышать его для других УС. В случае применения описанных преобразований в СС ПДВ будут направлены на второстепенные УС.

В соответствии с задачами, возложенными на ПЗЛС, она должна обеспечить не только первоначальное формирование защищенной ЛССС и функционирование, но и возможность дополнительных мер защиты в случае осуществления противником попыток ПДВ на элементы СС.

Под дополнительными мерами защиты в данном случае понимаются действия, направленные на дезорганизацию противника в случае обнаружения попыток осуществления им ПДВ на элементы СС, позволяющие дезорганизовать противника лишением его эффективности накопленной развединформации о СС.

Для реализации этой задачи необходимо разработать дополнительные правила преобразований ЛССС.

Правило преобразования 4

Unr (Ul, Um, Uk, Uj, Uh, …) ® Uor (Up, Uf, Uc, Ud, Ua, …)

правило, изображенное на рис. 2.11, и заключающееся в замене подграфа в исходном подграфе на идентичный ему, но при этом в заменяющем подграфе полностью изменена нумерация вершин.

Рисунок 2.11 - Правило преобразования ЛССС №4

Физический смысл такого преобразования заключается в полной замене идентификаторов (адресов) всех узлов в СС по аналогии со сменой радиоданных в радиосвязи. Это преобразование позволит уже вскрытой КР ЛССС пропасть с информационного поля разведки, и КР понадобится существенное время для того, чтобы вновь вскрыть ее. Такое преобразование лучше применять сразу ко всей ЛССС, однако может иметь смысл и частичное преобразование отдельных (критически важных) сегментов.

.1.4 Методы и показатели оценки эффективности мероприятий по формированию логической структуры системы связи

Разработано обеспечение, позволяющее осуществлять практически бесконечное количество преобразований ЛССС. Однако для того, чтобы не превысить свои возможности (например, по наличию защитного ресурса на преобразования в реальной СС), следует выполнить лишь достаточное и необходимое количество преобразований.

Поскольку применение разработанного аппарата позволяет получить множество вариантов такого преобразования, представляется необходимым разработать методы, позволяющие количественно оценить эффективность получаемых вариантов с целью выбора из них наиболее эффективного.

В первую очередь для получения обоснованного решения необходимо обеспечить возможность выбора, т. е. с помощью разработанного аппарата преобразований ЛССС сформировать некоторое множество вариантов преобразования. Во вторую очередь необходимо оценить эффективность предлагаемых вариантов с целью выбора наилучшего.

Очевидно, что с целью снижения сходства реальной ЛССС и получаемой противником в результате КР, оценку эффективности целесообразно производить методами, позволяющими оценить это сходство.

Такая оценка может быть получена следующим образом. Параметры ЛССС могут быть приняты в качестве координат многомерного пространства. При этом реальной ЛССС, отражающей СУ, можно привести в соответствие вектор S (Н1,…,НN), где H1, …,HN - параметры, количественно характеризующие свойства ЛССС, а логическую структуру, получаемую КР, будет характеризовать вектор S', который в самом благоприятном для КР случае (без осуществления преобразований ЛССС и в случае полного вскрытия СС), равен вектору S.

Поскольку в математическом аппарате, о котором идет речь, объекты описываются вектором признаков, а ЛССС описана матрицей, целесообразно представить каждую матрицу в виде вектора, записав последовательно все строки матрицы в вектор. Для более качественной оценки целесообразно производить ее, используя обе матрицы, описывающие ЛССС: матрицу связности и матрицу интенсивности ИП, отражающие граф ЛССС.

В этих условиях необходимо определение меры близости реальной ЛССС (вектор S), и ЛССС, получаемой КР (вектор S'). Мера близости - характеристика различимости двух гипотез, а также качества имитации истинного объекта с помощью ложного. В математической статистике известны несколько подходов к вычислению мер близости.

Наиболее часто для количественных шкал в качестве меры близости применяется Евклидово расстояние:

 (2.5)

где Нi и Н'i - компоненты признакового описания реальной ЛССС и ЛССС, получаемой КР, соответственно.

Необходимо отметить, что для еще более качественной и наглядной оценки эффективности необходимо выполнить классификацию всех вариантов преобразования ЛССС и выделить, таким образом, множество наиболее эффективных вариантов из всех предлагаемых. То есть необходимо разбить предлагаемые варианты преобразования на два множества эффективных и неэффективных вариантов. Для выполнения такой классификации наиболее подходит математический аппарат кластерного анализа (кластер-анализа).

Кластер-анализ - это способ группировки многомерных объектов, основанный на представлении результатов отдельных наблюдений точками подходящего геометрического пространства с последующим выделением групп как «сгустков» этих точек. Другие названия этого аппарата (распознавание образов без учителя, таксономия, классификация) говорят о том, что он позволяет решать задачу автоматически, без привлечения знаний человека, а, следовательно, исключает возможность ошибочного решения задачи вследствие влияния личных предпочтений оператора.

Кластер-анализ позволит нам разбить множество предлагаемых вариантов преобразования ЛССС на заданное число групп. Для решения этой задачи необходимо применить иерархический алгоритм классификации ко всем вариантам преобразования, включая и исходный вариант, отражающий реальную ЛССС. Иерархические алгоритмы классификации выполняются по следующей схеме (рис. 2.12). Первоначально каждый объект из множества объектов {An} считается отдельным кластером (бл. 1 и 2 на рис. 2.12). Строится матрица расстояний размера n´n (n - количество классифицируемых объектов), каждый элемент которой вычисляется с помощью выбранной меры близости (бл. 4 на рис. 2.12). На следующем шаге объединяются два кластера, которые образуют новый класс (бл. 5 на рис. 2.12). Далее определяются расстояния от этого класса до всех остальных кластеров, и размерность матрицы расстояний D сокращается на единицу.

Рисунок 2.12 - Обобщенный алгоритм иерархической классификации

На p-ом шаге повторяется та же процедура на матрице D(n-p) ´ (n-p), до тех пор, пока все объекты не объединятся в один класс. В результате классификации строится дендрограмма, отображающая последовательность включения исходных объектов в кластеры и расстояния между классами. На рис. 2.13 представлен пример дендрограммы.

Рисунок 2.13 - Пример дендрограммы, получаемой в результате иерархической классификации.

Слева указаны номера исходных объектов. Снизу расположена шкала расстояний между кластерами. Вертикальная связь обозначает объединение кластеров. Например, в соответствии с алгоритмом классификации объекты 1 и 5 были первыми объединены в кластер, а вычисленная мера близости между ними равна 1.

Основными показателями эффективности по которым происходит объединение являются:

Показатель близости к исходной ЛССС без учета информации о направлениях и интенсивностях ИП rстр и показатель близости к исходной ЛССС с ее учетом rстрИП

, (2.6)

 (2.7)

Чем выше указанные показатели у конкретного варианта преобразования, тем меньше сходство между получаемой в результате преобразования ЛССС и исходной (т.е. больше отличий в этих структурах). Т.е. критерием эффективности является

rстр, rстрИП ® max. (2.8)

Показатель близости не имеет единицы измерения и верхнего (максимального) значения, что требует его нормировки к единице::

rстр, rстрИП ® 1. (2.9)

Показатель, отражающий доступность пунктов управления в случае реализации противником ПДВ с учетом их важности для СУ (их оперативно-тактической принадлежности):

, (2.10)

где: rпу - показатель доступности пунктов управления в случае реализации противником ПДВ;

hi - коэффициент важности i-ого ПУ, который зависит от его оперативно-тактической принадлежности;

ki Î [0, 1] - индикатор состояния УС i-ого ПУ, ki = 1, если i-ый УС ПУ функционирует, ki = 0 - в противном случае.

Вычислять показатель доступности ПУ при реализации конкретного преобразования, необходимо задав, например, количество УС ПУ, на которые КР будет осуществлять ПДВ. При этом в случае, когда противник не реализует ПДВ, все УС ПУ функционируют, т.е. показатель доступности имеет свое максимальное значение, а в зависимости от количества УС ПУ, подавляемых противником, и их важности, показатель будет уменьшаться. Следовательно, в качестве показателя устойчивости ПУ для j-го варианта целесообразно использовать отношение его rпу в случае реализации противником ПДВ (rпуПДВj) к rпу в исходном состоянии (rпуИСХ):

 (2.11)

Таким образом, мы получаем еще один показатель эффективности для применяемого преобразования - показатель доступности ПУ. Критерием эффективности в этом случае является:

rпу ® 1. (2.12)

Суммарные затраты должны включать в себя следующие составляющие:

ΔN - количество добавленных по сравнению с исходным вариантом ЛССС узлов (адресов узлов);

ΔM - добавленная по сравнению с исходным вариантом интенсивность информационного обмена (объем маскирующего обмена);

Δn - номинал затрат на один адрес;

Δm - номинал затрат на единицу трафика.

Номиналы затрат на адреса и трафик могут быть заданы в виде неких весовых коэффициентов, отражающих важность параметра.

В результате суммарные затраты Z на реализацию j-го варианта преобразования должны вычисляться следующим образом:

Zварj = ΔNj * Δn + ΔMj * Δm. (2.13)

Очевидно, что по этому показателю наиболее эффективным вариантом преобразования ЛССС будет вариант, у которого Zварj минимален, т.е. критерием эффективности является:

Zвар ® min. (2.14)

Таким образом, сформулированы 4 показателя и критерии для оценки эффективности вариантов преобразования ЛССС:

rстрj - показатель эффективности j-го варианта преобразования ЛССС без учета информации о направлениях и интенсивности ИП, rстр ® 1;

rстрИПj - показатель эффективности j-го варианта преобразования ЛССС с учетом информации о направлениях и интенсивности ИП, rстрИП ® 1;

rпуj - показатель эффективности j-го варианта преобразования в смысле доступности ПУ в случае реализации КР ПДВ на УС, rпу ® 1;

Zварj - суммарные затраты, необходимые для реализации j-го варианта преобразования ЛССС, Zварj ® min.

.2 Методика формирования защищенной логической структуры интегрированной цифровой системы связи

Назначение методики. Разработать алгоритмы формирования защищенной ЛССС, позволяющие: осуществить преобразование ЛССС в целях защиты СС от КР; обеспечить защищенное от КР функционирование СС с правдоподобной ЛССС; реализовать механизмы дезорганизации КР противника в случае осуществления им ПДВ на элементы СС.

Физическая (содержательная) постановка задачи. Необходимо синтезировать новые структуры и оценить их по критерию эффективности.

На первом этапе эволюции структуры порождаются мутированные структуры:

W0i= W0+ δWi,

где ;

δWi - i-я случайная мутация структуры из числа предварительно заданных ();

l0 - число новых структур, которое назначается исходя из конкретных условий эволюции (из сложности исходной структуры).

Параметрами, позволяющими измерять численность «популяции» структур и уровень отбора, являются li и Si. При S = 1 на следующий этап эволюции оставляется одна лучшая структура, что эффективно при унимодальности задачи оптимизации. Многоэкстремальность требует Si > 1, причем тем больше, чем сложнее поиск экстремума. Чем больше li (численность популяции), тем глобальнее тенденция эволюции и медленнее (по вычислительным ограничениям) ее процесс.

Исходные данные. В качестве основных исходных данных в методике применяется исходная ЛССС и вводимые ограничения.

Ограничения в методике накладываются на формирование вариантов преобразования ЛССС с целью ограничения сверху количества формируемых вариантов. Подробно ограничения описаны в п. 2.2.1.

.2.1 Алгоритм формирования защищенной логической структуры системы связи

Алгоритм, позволяет по заданной исходной ЛССС и заданным требованиям сформировать множество вариантов преобразования СС. Задаваемые требования и ограничения, по сути, позволят ограничить сверху количество формируемых вариантов преобразования для того, чтобы не превратить процесс формирования вариантов в бесконечный. Необходимость задания таких требований происходит из самой природы правил преобразования. Ведь применять такие правила в некоторых случаях можно до бесконечности и при этом эффективность формируемых вариантов будет все выше и выше. Однако существуют технологические ограничения материальной основы СС, в виду наличия которых преобразования могут быть неосуществимы.

При задании ограничений на формирование вариантов преобразований ЛССС следует учесть следующее:

. Структура и параметры транспортной составляющей СС заданы, и менять их мы не можем.

. Исходная ЛССС (вместе с интенсивностями информационного обмена УС ПУ) задается звеном управления.

. Суть ограничений сводится:

а) к убедительности мероприятий с точки зрения КР (оперативные ограничения);

б) к достаточности некоторого уровня эффективности преобразований, выше которого выигрыш становится несущественным, следовательно и затраты (финансовые и технологические) на более эффективное преобразование нерентабельны;

в) выбранное преобразование должно быть выполнимым в рамках созданной инфраструктуры.

. С учетом пункта 3в создаваемая инфраструктура должна учитывать как необходимость формирования защищенной ЛССС, так и необходимость функционирования СС с ней.

Для этого, учитывая возможности ТС ПСС и ЕСЭ, на этапе формирования инфраструктуры должны быть обеспечены соответствующие пропускные способности УС ПУ и требуемое количество сетевых адресов. Либо, если мы хотим, чтобы инфраструктура была лишена избыточности и только лишь могла обеспечить заданный вариант преобразования, то ее формирование должно происходить после выбора преобразования.

В определенном смысле программно-аппаратные средства можно рассматривать как совокупность ограничений, которые должны учитываться при построении СС. То есть с учетом того, что возможности по передаче информации посредством СС зависят от возможностей линий связи и коммутационного оборудования, именно они во многом определяют ограничения методики, т. к. именно на основе передачи пакетов сообщений с ложной идентификационной составляющей появляется возможность осуществлять преобразования ЛССС. Эти ограничения можно назвать технологическими.

Еще одним типом ограничений являются оперативные ограничения, которые определяют убедительность мероприятий с точки зрения противника.

Третьим типом ограничений являются ограничения достаточности некоторого уровня эффективности преобразований. Эти ограничения выводятся эвристически из смысла решаемой задачи.

Все ограничения представлены в таблице 2.3.

В общем виде алгоритм формирования защищенной ЛССС в виде блок-схемы представлен на рис. 2.14.

На начальном этапе необходимо задать исходные данные.

Исходную ЛССС, к которой будут применяться преобразования. Логическая структура должна быть задана неориентированным графом, ориентированным графом с учетом информации о направлениях и интенсивности ИП и отображающими их матрицей связности и матрицей интенсивностей ИП. Вершины графов должны быть пронумерованы, причем в виду того, что оба графа отображают одну и ту же СС, нумерация вершин в графах должна совпадать. Кроме того, должны быть заданы N - количество вершин графа и M - суммарная интенсивность ИП в графе.

Ограничения на формирование вариантов преобразования ЛССС.

Δn - номинал затрат на один адрес.

Δm - номинал затрат на единицу трафика.

i - номер шага алгоритма. Одновременно этот параметр определяет количество применяемых на i-ом шаге алгоритма правил преобразования, На начальном этапе номер шага и количество применяемых правил задаются равными единице.

l - количество формируемых вариантов преобразования ЛССС на первом шаге алгоритма.- поправочный коэффициент числа вариантов преобразования ЛССС. Поскольку с увеличением номера шага алгоритма применяется все больше правил преобразования необходимо иметь возможность применения различных совокупностей правил. Для этого на каждом шаге алгоритма количество формируемых вариантов преобразования будет корректироваться на величину k. В качестве примера можно задать .- количество наилучших вариантов преобразования ЛССС, которые будут подвергнуты анализу по другим показателям. Количество S можно, например, задать исходя из количества вариантов преобразования, необходимых для анализа ЛПР на завершающем этапе работы алгоритма.

Правила преобразования ЛССС. Предлагается применять правила, представленные в п. 2.1.3.- количество выводимых КР из строя УС при осуществлении ПДВ. Параметр зависит в первую очередь от количества УС ПУ в СС и составляет лишь малую долю от этого количества, например один - три УС.

Правила вычисления коэффициента важности УС wq, где q - номер УС (номер вершины графа). Наиболее простым правилом является определение wq как степени вершины графа, отображающей УС. Могут быть заданы и более сложные правила.

На втором этапе необходимо сформировать варианты преобразований ЛССС. Для этого следует применить к исходной ЛССС количество правил преобразования, равное номеру шага алгоритма (бл. 2 на рис. 2.14). Правила для применения при этом выбираются случайным образом из заданных.

Таблица 2.3

Ограничения методики формирования защищенной логической структуры системы связи

Тип ограничения

Ограничение

Физический смысл

Примечание

1

Оперативные

Максимальное количество УС ПУ

Количество УС в преобразованной СС не должно превышать максимального количества ПУ в звене управления UN ≤ Umax

Исходное количество задано.



Трафик

Информационный обмен любого УС в преобразованной СС не должен существенно превышать максимального информационного обмена (например, УС высшей иерархии в звене управления) li ≤ lmax

Должно быть рассчитано из статистики или анализа потребностей ПУ по информационному обмену

2

Технологические, к транспортной сети (ЕСЭ)

Общая нагрузка СС в узких местах транспортной сети и ЕСЭ

В заданном сегменте ЕСЭ, где происходит информационный обмен преобразуемой СС должна существовать возможность по передаче рассчитанных объемов данных Sli,j ≤ Срас. , где i Î [1..k], j Î [k+1..N] - множества вершин - УС, находящихся по разную сторону относительно минимального рассекающего множества графа транспортной сети; Sli,j - суммарная интенсивность ИП, одновременно передаваемых через узкое место транспортной сети; Срас. - пропускная способность транспортной сети в рассекающем множестве (узком месте)

Должна быть решена задача о потоках в сети 1. Объем данных из варианта преобразования 2. Пропускные способности каналов из транспортной сети и ЕСЭ

3

Технологические, УС ПУ

Требуемая пропускная способность УС ПУ

С учетом возможностей ЕСЭ и ТС в точках подключения СС должны быть обеспечены заданные пропускные способности (одинаковые для ПУ разного типа) Спр.i = Спр.j для всех i,j = [1..N], где Спр.i - пропускная способность i-ого УС

Должно быть рассчитано из статистики или анализа потребностей ПУ по информационному обмену на этапе формирования комплекта оборудования для СС

 3

Технологические, УС ПУ

Обеспеченная пропускная способность УС ПУ

Информационный обмен в преобразованной СС не должен превышать, например 70% обеспеченной пропускной способности УС ПУ на случай необходимости повышения интенсивности информационного обмена li ≤ 0,7*Спр.об.i, где li - суммарная интенсивность реального и маскирующего обмена по всем направлениям от и к i-ому УС, Спр.об.i - обеспеченная пропускная способность i-ого УС

1. Обеспеченная пропускная способность задана при построении СС 2. Информационная нагрузка из статистики или анализа потребностей ПУ по информационному обмену 3. Общая нагрузка рассчитывается из варианта преобразования



Требуемое количество адресов

С учетом возможностей ЕСЭ в точках подключения СС должно быть обеспечено некоторое количество адресов для каждого УС ПУ (для возможности преобразований) Aпр.i ® Aтр., где Aтр. - требуемое количество адресов, Aпр.i - предоставляемое количество адресов для каждого i-ого УС

Максимум задается из возможностей ТС и ЕСЭ. Требуемое количество должно быть определено отдельно. Обеспечиваемое количество должно стремиться к требуемому



Обеспеченное количество адресов

Количество адресов любого УС ПУ не может превышать обеспеченного ему Ai ≤ Aпр.i, где Ai - используемое на i-ом УС количество адресов

Обеспеченное количество адресов задано при построении СС

4

Достаточности преобразований

Ограничения структурных изменений

За одно применение правила добавлять не больше 2 вершин и не больше 3 ребер ΔUmax = 2; ΔVmax = 3

Задается эвристически в зависимости от размеров и сложности СС



Максимальная степень узла

Максимальная степень вершины в графе преобразованной ЛССС не должна существенно превышать максимальной степени в исходной Rmax_пр ≤ (Rmax_исх + 1)

Имеется в виду даже суммарная степень реального УС, если он имеет несколько адресов



Максимальная интенсивность информационного обмена

Максимальная интенсивность обмена между парой УС не больше максимальной интенсивности в исходной ЛССС lmax_пр ≤ lmax_исх




Для того чтобы получить заданное количество вариантов преобразования l, процедуру выполняют l раз, причем для каждого сформированного варианта преобразования, полученного путем применения i правил преобразования к исходной ЛССС, запоминают примененные правила, порядок их применения и конечный вариант преобразования (бл. 3 на рис. 2.14).

Кроме того, второй этап разбивается на две задачи: применение соответствующих правил преобразования к неориентированному графу и его матрице связности, к ориентированному графу с учетом информации об интенсивности и направлениях ИП и его матрице интенсивностей ИП. Таким образом, результатом этапа будут матрицы связности и матрицы интенсивностей ИП сформированных вариантов преобразований.

Более подробно этап формирования вариантов преобразования будет раскрыт далее в виде отдельного алгоритма.

На третьем этапе необходимо вычислить затраты защитного ресурса на преобразование для каждого из сформированных вариантов преобразования ЛССС (бл. 4 на рис.2.14). Для этого необходимо вычислить:

Zj = Δn * (Nj - N) + Δm * (Mj - M), (2.15)

где Zj - суммарные затраты на преобразование для j-го варианта;- количество адресов в j-ом варианте преобразования ЛССС;- суммарная интенсивность ИП в j-ом варианте преобразования ЛССС.

Далее следует вычислить s - количество вариантов преобразования запомненных на i-ом шаге и оставшихся после удаления неудовлетворяющих ограничениям вариантов преобразования.

Рисунок 2.14 - Блок-схема обобщенного алгоритма формирования защищенной ЛССС

В случае когда s≠0, следует вывод, что применение i правил преобразования не приводит к тому, что все варианты преобразований превышают заданные ограничения. Следовательно, следует увеличить номер шага i на единицу (i=i+1), корректировать количество формируемых вариантов преобразований для нового (i+1)-го шага на коэффициент k (l=l+k) и перейти к выполнению бл. 2 алгоритма. Описанные действия необходимо выполнять до тех пор, пока на i-ом шаге количество вариантов преобразования запомненных на i-ом шаге и оставшихся после удаления неудовлетворяющих ограничениям не станет равным нулю (s=0).

При достижении этого условия можно сделать вывод, что применение i правил преобразования приводит к тому, что все варианты преобразований превышают заданные ограничения. Следовательно, применение (i+1) правил с большой вероятностью приведет к тому же результату и формирование вариантов преобразования ЛССС необходимо завершить.

На следующем этапе необходимо выделить наиболее эффективные варианты преобразований из всего сформированного множества преобразований. Для этого, в первую очередь, необходимо добавить к вариантам преобразований исходный вариант ЛССС и привести к единому размеру матрицы, описывающие варианты, заполнив недостающие их элементы нулями. Далее следует в соответствии с алгоритмом иерархической классификации, выполнить классификацию вариантов преобразований по матрицам связностей и по матрицам интенсивностей, а также построить дендрограммы, отображающие эту классификацию, и матрицы расстояний (близости) вариантов ЛССС для обоих случаев.

После этого, необходимо по результатам классификации выделить S наиболее эффективных вариантов преобразования ЛССС. Для этого необходимо удалить самую длинную связь в дендрограмме, получив тем самым два кластера. Затем в матрице расстояний найти вариант преобразования, имеющий наибольшее Евклидово расстояние до исходного варианта (rстрj / rстрИПj), и найти кластер, в котором находится этот вариант. Второй кластер следует исключить из рассмотрения, удалив его и все варианты преобразования, содержащиеся в нем. Далее необходимо вычислить количество вариантов преобразования s1 оставшихся в кластере.

В случае если s1 превосходит S´2, процедуру исключения из рассмотрения части вариантов (кластера неэффективных вариантов) следует повторить, а в случае, когда s1≤(S´2), необходимо сделать шаг назад, т. е. вернуть к рассмотрению один исключенный кластер (кроме случая, когда отрезан был еще только один кластер). Таким образом, будут выделены наиболее эффективные варианты преобразования по показателям rстр и rстрИП.

Далее следует вычислить показатель доступности ПУ для оставшихся вариантов. Для этого необходимо вычислить wqj коэффициенты важности каждого q-го узла для каждого j-го варианта преобразования по заданным в исходных данных правилам, а также wq коэффициенты важности каждого q-го узла для исходного варианта. Выбрать X узлов с наибольшим wqj для каждого j-го варианта преобразования. Выделить узлы в исходном варианте ЛССС, которым соответствуют выбранные X узлов в j-ом варианте преобразования. Назначить для выделенных узлов исходного варианта индикатор состояния hqj=0. Для остальных узлов исходного варианта назначить индикатор состояния hqj=1. Вычислить  для каждого j-го варианта преобразования.

После этого необходимо оставить для рассмотрения ЛПР S вариантов преобразования, обладающих наибольшим показателем rпуj, а остальные варианты исключить.

Выбранный ЛПР вариант преобразования ЛССС необходимо реализовать силами ПЗЛС в существующей СС путем поэтапного применения правил преобразования, в том порядке, который был запомнен на этапе формирования вариантов, либо в создаваемой СС непосредственным построением ее с учетом выбранной логической структуры.

Далее более подробно описан алгоритм формирования вариантов преобразования ЛССС. Блок-схема алгоритма представлена на рис. 2.15.

В качестве исходных данных для алгоритма используются S - исходная ЛССС, P - правила преобразований структуры, i - номер шага, l - количество вариантов преобразования, которое необходимо получить на i-ом шаге. Кроме того, устанавливают равными единице j - счетчик применяемых правил и k - счетчик сформированных вариантов преобразования.

После получения исходных данных случайным образом из заданных правил выбирают i правил преобразования и нумеруют их от единицы до i. Выбирают случайным образом i вершин графа исходной ЛССС, к которым будут применены выбранные правила преобразования и нумеруют их от единицы до i.

Далее последовательно применяют j-ые правила к j-ым вершинам, где j=1,...,i, запоминая при этом каждое примененное правило и вершину его приложения в ki-ый массив результатов, где ki - номер массива содержащего результаты преобразования i правил.

Результат преобразования, полученный путем применения i правил преобразования, также запоминают в ki-ый массив.

Описанная процедура выполняется l раз, и таким образом, результатом работы алгоритма является l массивов, каждый из которых содержит последовательность из i случайных правил преобразования, примененных к i случайным вершинам графа ЛССС, и результат применения этих правил.

.2.2 Алгоритм преобразований логической структуры системы связи

Защищенная ЛССС, сформированная разработанным выше алгоритмом, и внедренная в функционирующую СС является исходными данными для алгоритма, с помощью которого будет описано функционирование СС с защищенной ЛССС. Необходимость этого алгоритма заключается в том, что ПЗЛС должна оживить структуру СС с целью придания ей правдоподобности, поскольку СС должна изменяться во времени. А значит, во времени должна изменяться и ее ложная составляющая.

Рисунок 2.15 - Блок-схема алгоритма формирования вариантов преобразования ЛССС

Блок-схема алгоритма представлена на рис. 2.16. Кроме исходной ЛССС S задают:

P - правила преобразований;

N - максимальное количество одновременно применяемых правил преобразования;

Tmax - максимальная длительность действия правила преобразования;

ΔT - временной интервал, в рамках которого в алгоритме будет выбираться длительность одного цикла;

Δt - интервал, с которым осуществляется применение правил преобразования (должно быть мало относительно Tmax);- коэффициент памяти алгоритма, позволяющий запоминать некоторую часть применяемых правил преобразования, который необходим для того, чтобы СС в результате преобразований менялась постепенно (можно задать, например, k=1/2);- коэффициент забывания алгоритма, позволяющий сокращать количество запомненных вариантов преобразования, который необходим для того, чтобы в СС происходил плавный дрейф, т. е. чтобы уже примененные правила преобразования теряли свою актуальность (f следует задавать так, чтобы выполнялось условие f<k, например f=1/3);- максимальное количество циклов памяти, в течение которых в алгоритме происходит накопление запоминаемых правил преобразования, которое необходимо в виду того, что f<k, а это ведет к постоянному увеличению количества запомненных правил;

j=0 - счетчик циклов памяти алгоритма.

Кроме того, на начальном этапе приравнивают n - количество новых правил преобразования максимальному количеству применяемых правил (n=N).

После этого выбирают T - длительность одного цикла алгоритма (Tmax ≤ T), в течение которого должны будут действовать выбранные правила преобразования. Далее выбирают случайным образом n правил из заданных правил преобразования P и n вершин графа ЛССС, к которым эти правила будут применены (нельзя применить два правила к одной вершине). Выбирают случайным образом t1, …, tn - время действия выбранных правил преобразования, причем должны выполняться условия ti ≤ Tmax, ti ≠ tj, ti не обязательно меньше tj при i<j.

После этого выбранные правила применяются в ЛССС с интервалом времени Δt, т. е. выполняется постепенное преобразование ЛССС на информационном поле КР. Примененные правила преобразования действуют в СС до тех пор, пока не истечет выбранное для них время действия. По истечении времени ti действия i-ого правила, это правило и вершину графа СС, к которому оно было применено, запоминают в массив правил и отменяют его действие в СС.

В случае перехода в режим дезорганизации КР противника необходимо перейти к выполнению алгоритма, описанного в п. 2.2.3.

Таким образом, в течение цикла, равного T, выбранные правила преобразования будут применяться и отменяться в СС. Необходимо отметить, что, например, в случае, когда длительность действия n-ого последнего введенного в действие правила преобразования равна или близка к Tmax, может быть выполнено условие (Tmax + nΔt) > T, что в рамках описываемого алгоритма позволяет продлить цикл по сравнению с его заданной длительностью T.

Следовательно, длительность цикла задается не жестко, и это добавляет дополнительную мягкость алгоритму, которая на информационном поле КР позволит увеличить правдоподобность ложной составляющей ЛССС.

По окончании цикла алгоритма или превышении его длительности после отмены очередного правила преобразования отменяют все действующие правила, если такие есть.

Далее выбирают m = N´k - количество запомненных правил преобразования, которые будут повторно применены на следующем цикле алгоритма, после чего удаляют из запомненных N´f правил. Для выбранных m правил выбирают случайным образом время действия t1, …, tn. Вычисляют количество новых правил для применения по формуле n = N - N´k и увеличивают на единицу счетчик циклов алгоритма.

Рисунок 2.16 - Блок-схема алгоритма преобразований ЛССС в течение функционирования СС

В случае если счетчик циклов алгоритма j не достиг максимального количества циклов J, вновь выбирают длительность цикла T, n новых правил преобразования, вершины графа для их применения и время их действия, после чего через интервал времени Δt применяют m запомненных и n новых правил преобразования. Таким образом, в течение нескольких циклов происходит плавное преобразование ЛССС с накоплением запоминаемых правил преобразования.

На момент, когда счетчик циклов j достигает максимального количества циклов J, счетчик циклов обнуляют, из запомненных правил преобразования оставляют N правил и вновь переходят к началу цикла, где осуществляется выбор его длительности.

2.2.3 Алгоритм дополнительных преобразований системы связи в течение функционирования

В качестве исходных данных для алгоритма (рис. 2.16) применяется исходная ЛССС. Текущая (защищенная) ЛССС не применяется на входе алгоритма в виду того, что она несет в себе некоторую избыточность, однако при возврате в исходное состояние применяется именно она.

Решение о необходимости дезорганизации КР противника должно приниматься соответствующим ЛПР, возглавляющим деятельность ПЗЛС. Принятие такого решения ЛПР осуществляется в результате получения от соответствующей составляющей ПЗЛС информации о том, что хотя бы один из УС ПУ атакован, или информации от вышестоящих органов управления о предстоящей деструктивной деятельности противника.

При принятии решения о дополнительных преобразованиях в первую очередь ЛПР необходимо оценить степень опасности и сегмент СС, на который направлена угроза. В зависимости от степени опасности и других составляющих ситуации ЛПР выбирает сегмент СС, в котором необходимо осуществить преобразование (это может быть и вся СС), и правила преобразования, которые необходимо применить.

После принятия решения о правилах преобразования осуществляется преобразование ЛССС. В случаях, когда возникает опасность для других сегментов СС, процедура повторяется.

После того, как угроза миновала, ЛССС возвращается в исходное состояние, в котором она находилась до начала мероприятий по дезорганизации противника.

.2.4 Пример расчета эффективности формирования защищенной логической структуры системы связи

Исходными данными для примера расчета являлись:

вариант исходной ЛССС (представлен на рис. 2.18);

ограничения на формирование вариантов преобразования не задавались в виду того, что варианты формировались вручную;

- Δn = 10 - номинал затрат на один адрес;

-Δm = 10 - номинал затрат на единицу трафика;

Х = 1(2) - количество выводимых КР из строя УС;

для определения правил вычисления коэффициента важности было решено разделить УС в СС на три уровня иерархии, деление УС на уровни было решено определять по их связности, вследствие чего изначально было задано три коэффициента важности: w = 1, 5, 10.

В соответствии с разработанными правилами преобразования было сформировано 8 вариантов преобразования ЛССС. В каждом из вариантов было применено различное количество правил с различными точками (вершинами графа) их приложения.

Варианты преобразования исходной ЛССС представлены на рис. 2.19-2.26. Перед выполнением иерархической классификации к вариантам преобразования под номером 1 был добавлен исходный вариант ЛССС. Таким образом, для расчетов было подготовлено 9 вариантов ЛССС.

Рисунок 2.17 - Блок-схема алгоритма дополнительных преобразований ЛССС

Для выполнения иерархической классификации вариантов преобразования ЛССС был применен программный пакет многомерного статистического анализа SPSS. На вход программного пакета подавались преобразованные в векторный вид матрицы связности и интенсивностей ИП вариантов преобразования ЛССС.

Рисунок 2.18 - Вариант исходной ЛССС

Рисунок 2.19 - Вариант преобразования ЛССС №1

Рисунок 2.20 - Вариант преобразования ЛССС №2

Рисунок 2.21 - Вариант преобразования ЛССС №3

Рисунок 2.22 - Вариант преобразования ЛССС №4

Рисунок 2.23 - Вариант преобразования ЛССС №5

Рисунок 2.24 - Вариант преобразования ЛССС №6

Рисунок 2.25 - Вариант преобразования ЛССС №7

Рисунок 2.26 - Вариант преобразования ЛССС №8

В результате иерархической классификации вариантов преобразования ЛССС были получены дендрограммы и матрицы близости представленные на рис. 2.17 и 2.18.

Результаты иерархической классификации показали, что наиболее эффективными по сходству с исходной ЛССС среди вариантов преобразования ЛССС без учета направлений и интенсивностей ИП были варианты 6,7,8 (рис. 2.14-2.16), которые в дендрограмме и матрице близости представлены как объекты 7,8,9 (рис. 2.17).

Под эффективными по сходству вариантами преобразования понимаются варианты, имеющие наименьшее сходство с исходной ЛССС.

Рисунок 2.17 - Дендрограмма и матрица близости, отображающие результаты иерархической классификации вариантов преобразования ЛССС без учета направлений и интенсивностей ИП

Наиболее эффективными по сходству с исходной ЛССС среди вариантов преобразования ЛССС с учетом направлений и интенсивностей ИП были варианты 2,6,7,8 (рис. 2.20, 2.24-2.26), которые в дендрограмме и матрице близости представлены как объекты 3,7,8,9 (рис. 2.18).

Таким образом, в результате нахождения пересечения множества эффективных вариантов преобразования по обоим видам ЛССС как наиболее эффективные были отобраны варианты 6,7,8 (в дендрограмме 7,8,9).

Рисунок 2.18 - Дендрограмма и матрица близости, отображающие результаты иерархической классификации вариантов преобразования ЛССС с учетом направлений и интенсивностей ИП

Далее были рассчитаны значения показателя доступности ПУ для отобранных вариантов преобразования ЛССС. Для исходной ЛССС и каждого варианта было выполнено разделение УС по трем уровням иерархии, а также выделено 1 (2) УС с наибольшей связностью, после чего были рассчитаны значения показателя доступности ПУ rпу. После этого были рассчитаны значения показателя затрат защитного ресурса. Результаты расчета значений показателей эффективности и затрат представлены в таблице 2.4 и в графическом виде на векторной диаграмме сравнения (рис. 2.19).

Таблица 2.4

Результаты расчета значений показателей эффективности

Показатели эффективности

Номера вариантов преобразования


9

8

7

rстр

0,736

0,47

0,47

rстрИП

0,887

0,481

0,618

rпу

0,97 (0,94)

0,97 (0,82)

0,85 (0,71)

Zвар

7830

7820

1830


Рисунок 2.19 - Векторная диаграмма сравнения вариантов преобразования

Рисунок 2.20 - Видимая КР структура СУ без применения преобразований ЛССС

Таким образом, в результате расчета эффективности формирования ЛССС в качестве наиболее эффективного варианта преобразования был выбран вариант №8 (в таблице 2.4 и векторной диаграмме - №9).

На рисунках 2.20 и 2.21 представлена интерпретация результатов формирования защищенной ЛССС. Признаком, позволяющим КР идентифицировать оперативно-тактическую принадлежность УС, была принята его связность (степень вершины графа). Из рисунков видно, что в результате преобразований КР получает неверную информацию о расположении КП армии по полученной им ЛССС. Кроме того, возможны разночтения и этой информации, т. к. в полученной КР ЛССС имеется два равнозначных УС.

Таким образом, методика формирования защищенной ЛССС позволяет искажать на информационном поле КР структуру СС и СУ.

Формирование защищенной ЛССС происходит хотя и по определенным правилам, но все же рангомизированно. Случайным образом выбираются точки приложения правил преобразования, количество добавляемых логических элементов и связей, параметры связей.

Рисунок 2.21 - Видимая КР структура СУ в случае формирования защищенной ЛССС

Благодаря такой рандомизации преобразований логической структуры можно сделать вывод, что даже в случае, когда КР противника известны правила преобразования и защищенная ЛССС, восстановить по ним исходную ЛССС будет невозможно без дополнительной информации.

 

Выводы по главе 2

1. В рамках концептуального моделирования подсистемы защиты логической структуры ИЦСС от КР:

сформулированы задачи ПЗЛС;

разработана модель процесса вскрытия СС компьютерной разведкой, позволившая выявить, что результатом вскрытия СС для КР является ее модель;

выявлены основные демаскирующие признаки, позволяющие компьютерной разведке получить модель системы связи, позволяющую вскрыть структуру системы управления, введено понятие ЛССС, отражающей эту модель;

на основе выявленных демаскирующих признаков СС и процессов ее функционирования была разработана модель ЛССС;

разработана функциональная модель подсистемы защиты ЛССС от КР, описывающая преобразования логической структуры системы связи на основе математического аппарата графовых грамматик, в целях введения противника в заблуждение относительно структуры СС и структуры СУ;

разработаны методы оценки эффективности мероприятий по формированию защищенной ЛССС в рамках которых были сформулированы показатели и критерии оценки эффективности.

. В рамках разработки методики формирования защищенной логической структуры интегрированной цифровой системы связи:

разработан алгоритм, позволяющий формировать множество вариантов преобразования ЛССС и выполнять оценку их эффективности в соответствии с разработанными в концептуальной модели правилами преобразования, показателями и критериями эффективности; разработаны алгоритмы преобразований ЛССС в течении функционирования в целях придания ей праводоподобности и дополнительных преобразований в целях дезорганизации противника в случае выявления попыток осуществления им преднамеренных деструктивных воздействий на СС.

военный связь компьютерный защита

3. Научно-технические предложения по управлению элементами системы защиты и обеспечению их безопасности

Для того чтобы иметь возможность управления структурой, УС необходимо обеспечивать оконечными устройствами защиты (ОУЗ), позволяющими варьировать ЛССС. ОУЗ являются управляемыми элементами системы защиты.

Расширение адресного пространства СС ВН усложняет взаимодействие УС, т. к. при этом даже два УС должны иметь синхронизацию относительно того, какие пакеты сообщений (ПС) на какой адрес должны поступить и на какой адрес в текущий момент можно отправить ответ. Вариант синхронизации адресов по времени не выдерживает критики, т. к. в этом случае обязательно возникнут проблемы с ПС не пришедшими в срок и в результате потерянными.

В связи с этим ОУЗ должен иметь модульную структуру: каждый отдельный модуль осуществляет взаимодействие с таким же модулем на другом УС, осуществляя, таким образом, синхронизацию адресов для двух УС. Для работы с другими УС в ОУЗ дополнительно устанавливаются такие же модули. В связи с тем, что не все УС в СС ВН будут иметь более одного адреса, количество модулей в устройстве не будет чрезмерно большим.

Для того чтобы модули имели возможность работы с одним каналом связи как единое устройство, в разработанном ОУЗ (рис.3.1) предусмотрены блоки коммутации, осуществляющие обработку ПС от модулей и их передачу в канал связи, а при передаче ПС из канала связи на модули - выбор модуля, на который передается пакет.

Таким образом, структура ОУЗ (см. рис. 3.1) и состоит из:

двух блоков коммутации;

нескольких модулей защищенного информационного обмена;

модуля открытого информационного обмена.

Блоки коммутации осуществляют связь модулей информационного обмена с внешней и внутренней сетью.

Первый блок коммутации, получая ПС из ЛВС УС, по адресу получателя, выделяемому из IP-заголовка пакета, определяет на какой из модулей информационного обмена необходимо передать пакет. Получая ПС от модулей информационного обмена, первый блок коммутации отправляет ПС в ЛВС УС. Кроме того, первый блок коммутации собирает статистику об интенсивности реального информационного обмена УС.

Второй блок коммутации, получая ПС из внешней сети (ТС СС ВН, ЕСЭ РФ), по адресу отправителя, выделяемому из IP-заголовка ПС, определяет, на какой из модулей информационного обмена необходимо передать ПС. Получая ПС от модулей информационного обмена, второй блок коммутации отправляет ПС во внешнюю сеть.

Кроме того, вторым блоком коммутации выполняются задачи по обнаружению НСВ и защите от них. Если адрес отправителя, выделенный из IP- заголовка ПС вторым блоком коммутации, не принадлежит к пространству адресов, используемых элементами СС ВН, принимается решение о несанкционированном трафике и ПС через первый блок коммутации передаются в ЛИС (ложные информационные системы).

ОУЗ имеет возможность подключения модулей информационного обмена по аналогии с межсетевыми экранами и маршрутизаторами с несколькими сетевыми интерфейсами. Это связано с тем, что в зависимости от роли УС в ЛССС, количество модулей информационного обмена может меняться, а оснащение ОУЗ большим количеством модулей изначально несет излишние затраты. Следовательно, необходима возможность наращивания количества модулей и их «горячего» включения, на случай преобразования ЛССС.

Второй блок коммутации

ТС СС ВН (ЕСЭ РФ)

Модуль открытого информационного обмена

Модули закрытого информационного обмена ЛВС ПУ

Первый блок коммутации

Рис. 3.1 Структура ОУЗ

Каждый модуль закрытого информационного обмена функционирует по алгоритму, реализующему синхронизацию изменяющихся адресов двух УС и маскирующий обмен.

В общем виде этот алгоритм заключается в следующем: модуль закрытого информационного обмена, получает ПС от первого блока коммутации, а в момент их отсутствия генерирует их самостоятельно. Осуществляет их преобразование для передачи через внешнюю сеть, а именно: кодирует ПС, преобразует его в формат TCP/IP, надстраивая IP-заголовок, и указывает в заголовке IP-адреса отправителя и получателя ПС в соответствии с его алгоритмом функционирования, после чего передает ПС на второй блок коммутации.

Получая ПС от второго блока коммутации, модуль закрытого информационного обмена осуществляет их обратное преобразование и передачу на первый блок коммутации. Если в получаемом от второго блока коммутации ПС адрес получателя отличается от текущего адреса модуля, такой ПС передается в ЛИС. При этом модули закрытого информационного обмена должны вести нумерацию отправляемых ПС и вносить номер каждого ПС в его закодированную часть.

Это необходимо на случай утери пакета в процессе его передачи по каналам связи. Получая серию ПС и анализируя их номера, модуль закрытого информационного обмена может запросить повторную отправку недостающего ПС у корреспондирующего модуля (по аналогии с тем, как это реализовано в протоколах с установлением соединений).

Для реализации информационного обмена двух УС, имеющих в соответствии с формируемой ЛССС более одного адреса, необходимо применять два модуля закрытого информационного обмена: по одному на УС. При этом один модуль закрытого информационного обмена, реализующий информационный обмен с использованием одного IP-адреса может взаимодействовать с несколькими такими же модулями других УС, но для взаимодействия с каждым многоадресным модулем необходим отдельный модуль.

В связи с тем, что к задачам управления ЛССС относится и задача управления маршрутизацией трафика, каждый модуль закрытого информационного обмена осуществляет запросы о маршрутах на сервер маршрутизации. Для этого ПС, содержащие запросы, через первый блок коммутации передаются на модуль открытого информационного обмена, откуда через второй блок коммутации и СС отправляются на сервер маршрутизации. Ответы сервера маршрутизации доставляются аналогичным образом.

Взаимодействие с открытыми информационными ресурсами (с отдельного адреса) обеспечивает модуль открытого информационного обмена. На модуль открытого информационного обмена возлагается задача модификации ДМП элементов ЛВС.

Так же как и при управлении маршрутами трафика, через модуль открытого информационного обмена на ОУЗ передается и информация, необходимая для управления ЛССС посредством настройки параметров самого ОУЗ. Для передачи статистики об интенсивности информационного обмена УС первый блок коммутации также использует выделенный модуль информационного обмена.

3.1 Способы защиты систем связи военного назначения от компьютерной разведки

В рамках дипломной работы было разработано техническое решение, реализующее алгоритм работы ОУЗ. Существующий механизм создания соединений известен, также как известна и структура передаваемых ПС, что позволяет выделить из них ДМП корреспондентов - сетевые адреса отправителя и получателя ПС. Информация протоколов верхних уровней ЭМВОС программируется в пакеты нижеследующих уровней и, в конце концов, в канал связи передается пакет канального уровня, заголовок которого имеет информацию о физических адресах отправителя и получателя данного ПС. Такая информация актуальна только в пределах локальных сегментов СС (в ЛВС УС). При маршрутизации ПС по каналам связи основную роль играют адреса сетевого уровня (IP- адреса). Выделение ДМП информационного обмена и позволяет КР вскрыть ЛССС, которую она отождествляет со структурой СУВ.

В рамках работы разработаны способы, позволяющие динамически управлять ДМП корреспондентов путем расширения адресного пространства элементов СС ВН и синхронизированного, на УС отправителя и получателя, изменения в IP-заголовках адресов отправителя и получателя передаваемых ПС, а также изменения интенсивности трафика информационного обмена.

3.1.1 Способы расширения адресного пространства элементов логической структуры системы связи

Решение поставленной задачи может быть осуществлено путем выбора случайным образом из числа предварительно заданных адресов узла- отправителя для передачи каждого следующего ПС до его отправки, что вызывает необходимость информировать узел-получатель о том, с какого адреса ожидать следующий ПС. Узел-получатель также может выбирать адрес для смены, но должен информировать о нем узел-отправитель. Для осуществления такого взаимодействия можно применить механизм подтверждения получения ПС, а выбор адресов и их смену осуществлять на обоих узлах.

Однако необходимость осуществления подтверждений с уведомлениями о смене адреса на прикладном уровне вызывает снижение скорости передачи содержательной информации. Устранить этот недостаток можно путем задания на узле-отправителе и узле-получателе одинаковых функций выбора адреса для смены. В таком случае и узел-отправитель, и узел-получатель всегда будут знать о том с какого адреса необходимо получить ПС и на какой адрес его отправлять. Такой механизм снимает необходимость использования уведомлений.

В ряде случаев целесообразно дополнительное задание на узле- отправителе и узле-получателе одинаковых функций выбора числа ПС, отправляемых с одного адреса и принимаемых на один адрес (одноадресных ПС).

В процессе динамического изменения сетевых адресов отправителю и получателю необходимо их согласовывать. Для этого у обоих корреспондентов предварительно задают базу из N адресов отправителя и S адресов получателя. Значения количества адресов отправителя N и получателя S выбирают в соответствии с формируемой ЛССС и исходя из ресурса адресного про- странства. Например, их значения можно задать в пределах N =2-50, S =2-50.

Пример базы адресов, представленной в виде таблицы, показан на рис. 3.2. Первый столбец означает порядковый номер адреса отправителя или получателя в базе адресов. Во втором и четвертом столбцах представлены соответствующие значения адресов отправителя и получателя. В третьем и пятом столбцах размещают дополнительную информацию об адресах.

В них указывают обозначение текущих адресов отправителя Ато и получателя Атп, а также обратных адресов отправителя Аоо о и получателя Аоп о.

На рис. 3.3 представлена блок-схема алгоритма, реализующего способ. На начальном этапе из базы адресов назначают текущие адреса отправителя Ато и получателя Атп сообщений (бл.1 на рис. 3.3). При установке и настройке устройства системные администраторы могут назначать текущие адреса либо строго по инструкции, либо, согласовав свои действия по альтернативному каналу связи. Запоминают текущие адреса, для чего в поле дополнительной информации таблицы ставят соответствующие обозначения Ато и Атп (см. рис. 3.2). При этом назначенные адреса отправителя Ато и получателя Атп запоминают у получателя в качестве обратного адреса и обратного адреса получателя. У отправителя из предварительно заданной базы адресов случайным образом либо по заранее заданному алгоритму выделяют в качестве обратных адреса отправителя и получателя. Запоминают их (бл.2 на рис. 3.3), для чего в таблице (см. рис. 3.2) ставят соответствующие обозначения Аоо и Ао.

№ П/П Адреса отправителя

Дополнительная информация

Адреса получателя

Дополнительная. информация

1 2

3

4

5

1 218.113.77.1


218.113.78.1


2 218.113.77.2


218.113.78.2


3 218.113.77.3


218.113.78.3


4 218.113.77.4

Ато

218.113.78.4

Атп

5 218.113.77.5


218.113.78.5


6 218.113.77.6


218.113.78.6


7 218.113.77.7


218.113.78.7


8 218.113.77.8

О Аоо

218.113.78.8

Аопо

9 218.113.77.9


218.113.78.9


10 218.113.77.10


218.113.78.10


11 218.113.77.11


218.113.78.11


12 218.113.77.12


218.113.78.12


218.113.78.13


14 218.113.77.14


218.113.78.14


15 218.113.77.15


218.113.78.15


16 218.113.77.16


218.113.78.16


17 218.113.77.17


218.113.78.17


18 218.113.77.18


218.113.78.18


19 218.113.77.19


218.113.78.19


20 218.113.77.20


218.113.78.20


Рис 3.2 Пример базы данных отправителя и получателя

Первоначально у отправителя формируют исходный пакет данных (бл.3 на рис. 3.3). Кроме того, в исходном пакете дополнительно резервируется 64- битное поле. Затем формируют промежуточный пакет (см. рис. 3.4, а), для чего в зарезервированное поле исходного пакета данных включают обратные адреса отправителя Аооо и получателя Аопо (бл.4 на рис. 3.3), составляющие 64 бита информации, предварительно зафиксированные в таблице (рис. 3.2).

Далее кодируют полученный промежуточный пакет (рис. 3.4, а, бл.5 на рис. 3.3) и преобразуют его в формат TCP/IP (бл.6 на рис. 3.3) или другой, принятый в ТС СС ВН (ЕСЭ).

Рис. 3.3. Блок-схема алгоритма, реализующего способ расширения адресного пространства элементов ЛССС

Преобразование заключается в добавлении IP-заголовка к кодированному пакету данных. Полученный в результате пакет является информационным ПС (рис. 3.4, а). В поля адрес отправителя и адрес получателя IP-заголовка включают предварительно запомненные текущие адреса отправителя Ато и получателя Атп (бл.7 на рис. 3.3) и передают получателю сформированный информационный ПС (бл.8 на рис. 3.3).

После этого заменяют у отправителя ранее назначенный текущий адрес Ато (бл.3 на рис. 3.3) на предварительно запомненный обратный адрес отправителя Аоо о, а в таблице (рис. 3.2) в поле для дополнительной информации заменяют у этого адреса обозначение Аоо на Ато.

После приема у получателя информационного ПС (рис. 3.4, б, бл.10 на рис. 3.3) из его заголовка выделяют адреса отправителя Ато и получателя Атп (бл.11 на рис. 3.3), сравнивают их (бл.12 на рис. 3.3) с предварительно заданными в таблице адресами отправителя и получателя Аоо п и Аоп п. При совпадении адресов принятый ПС не анализируют, т.к. его отправитель не является санкционированным участником информационного обмена.

У отправителя

Передача информационного пакета

У получателя

Прием информационного пакета

Рис. 3.4 Виды пакетов сообщений, получаемых в процессе расширения адресного пространства элементов ЛССС

При совпадении адресов из принятого ПС выделяют кодированные данные (бл.13 на рис. 3.3) путем отделения IP-заголовка и декодируют их.

После этого из декодированных данных выделяют первые 64 бита, содержащие информацию об обратных адресах отправителя и получателя (бл.15 на рис. 3.3). Запоминают их в качестве текущих адресов отправителя Ато и получателя Атп (бл.16 на рис. 3.3), для чего в поле дополни- тельной информации таблицы ставят соответствующее обозначение (см. рис. 3.2). Затем заменяют текущий адрес получателя Атп на новый, выделенный из декодированных данных адрес получателя (бл.17 на рис. 3.3).

Далее формируют у получателя информацию об обратных адресах отправителя. Для этого выделяют случайным образом или по заранее заданному правилу у получателя из предварительно заданной базы адресов в качестве обратных адреса отправителя и получателя и запоминают их.

При этом в поле дополнительной информации таблицы ставят соответствующее обозначение (рис. 3.2).

Для подтверждения факта получения ПС у получателя формируют уведомляющий ПС (рис. 3.4, в, бл.19 на рис. 3.3). Для чего аналогично, как и у отправителя формируют исходный ПС, представляющий собой уведомление о получении информационного ПС. Затем к исходному ПС добавляют обратные адреса отправителя и получателя и получают промежуточный пакет данных (бл.20 на рис. 3.3).

Далее кодируют промежуточный пакет данных (бл.21 на рис. 3.3) и преобразуют его в формат TCP/IP (бл.22 на рис. 3.3). Включают в преобразованный пакет предварительно запомненные текущие адреса отправителя Ато и получателя Атп (бл.23 на рис. 3.3) и передают уведомляющий ПС отправителю (бл.24 на рис. 3.3).

После этого у получателя заменяют текущий адрес Атп на предварительно запомненный обратный адрес получателя Аоп (бл.25 на рис. 3.3).

После приема у отправителя уведомляющего ПС (рис. 3.4, г, бл.26 на рис. 3.3), выделяют из него адреса отправителя Ато и получателя Атп (бл.27 на рис. 3.3) и сравнивают их по таблице с предварительно запомненными. При несовпадении адресов принятый ПС не анализируют, а при совпадении выделяют из принятого уведомляющего ПС кодированные данные (бл.29 на рис. 3.3) и декодируют их (бл.30 на рис. 3.3).

Выделяют из декодированных данных обратные адреса отправителя и получателя (бл.31 на рис. 3.3). Причем обратные адреса получателя Аопп и отправителя Аоо п запоминают в качестве текущих адресов получателя Атп и отправителя Ато (бл.32 на рис. 3.3). Адрес отправителя заменяют на новый адрес отправителя рис. 3.3), выделенный из декодированных данных. (бл.33 на

После этого переходят к формированию у отправителя информации об обратных адресах отправителя и получателя.

Реализацией указанной совокупности действий достигается непрерывное изменение в передаваемых ПС адресов отправителя и получателя. Причем изменение происходит в каждом переданном ПС, а новые адреса для смены выбирают случайным образом и передают корреспонденту в закодированном виде.

.1.2 Способы управления интенсивностью трафика

Способы и устройства, расширяющие адресное пространство ЛССС позволяют в рамках задачи по управлению логической структурой вводить дополнительные ложные элементы СС ВН. Интенсивность информационного обмена при использовании такого механизма для конкретных элементов СС ВН снижается соразмерно количеству дополнительных адресов, используемых ими. Однако в соответствии с разработанной методологией управления ДМП необходимо и решение обратной задачи - повышения интенсивности информационного обмена.

Для решения этой задачи применим маскирующий обмен, который заключается в передаче в СС помимо реальных ПС еще и ложных, увеличивающих видимую интенсивность информационного обмена УС, но при этом не обрабатываемых принимающей стороной.

Рис. 3.5 Блок-схема алгоритма, реализующего способ управления интенсивностью трафика

Рассмотрим вариант способа при включении в ложные ПС адресов отправителя и получателя, адреса при помощи предварительно заданной функции выбирают так, чтобы они не совпадали с текущими адресами отправителя и получателя. Таким образом, ложные ПС не достигают получателя и уничтожаются в сети связи.

На рис. 3.5 представлена блок-схема алгоритма, реализующего способ управления интенсивностью трафика.

В исходные данные (бл. 1 на рис. 3.5) предварительно задают базу из N адресов отправителя и S адресов получателя. Кроме того, задают у отправителя и получателя функции выбора текущего адреса отправителя FN(i) и получателя FS(i), где i = 1, 2, 3, …, в соответствии с которыми на i-м шаге назначают новые текущие адреса и устанавливают равными единице номера шагов смены адресов у отправителя io=1 и получателя iп=1.

Пример выбора текущих адресов у отправителя или получателя в соответствии с функцией FN,S(i), где FN,S(i) позиция соответствующей пары адресов в предварительно сформированной базе адресов (см. рис. 3.2) на i-м шаге назначения новых текущих адресов, представлен на рис. 3.6. Например, при N, S = 20, i = 2 Ф(i)=1, FN,S(i)=1 и, согласно таблице на рис. 3.2, адреса отправителя и получателя соответствуют первой паре адресов - 218.113.77.1 и 218.113.78.1; при i=21 Ф(i)=10946, FN,S(i)=6 и, согласно таблице на рис. 3.2, адреса отправителя и получателя соответствуют шестой паре адресов - 218.113.77.6 и 218.113.78.6.

Также предварительно назначают из базы адресов текущие адреса отправителя Ато и получателя Атп сообщений. Устанавливают равными единице номера шагов смены адресов у отправителя io=1 и получателя iп=1.

Назначают из базы адресов текущие адреса отправителя Ато и получателя Атп сообщений. Также у отправителя и получателя задают функцию FК(i), определяющую число ∆k ПС, которые будут передаваться с одинаковыми адресами отправителя и получателя на i-ом шаге.

В качестве функции FК(i), определяющей число ∆k, где К - максимально допустимое число одноадресных ПС, которое, например, задают в пределах К=200-250. Пример выбора числа одноадресных ПС представлен на рис. 3.6. Вычисляют первоначальное число ∆k. Устанавливают равным нулю число отправленных jо= 0 и полученных jп= 0 ПС.

Дополнительно задают у отправителя GN(i) ≠ FN(i) и GS(i) ≠ FS(i) - функции выбора адресов отправителя и получателя для ложных ПС, где i = 1, 2, 3, …, в соответствии с которыми на i-м шаге назначают ложные адреса отправителя и получателя для ложных ПС.

Пример выбора ложных адресов отправителя и получателя в соответствии с функцией GN,S(i) представлен на рис. 3.7.

Например, при N = 20, i = 5 Ф(i)=7, GN,S(i)=7 и, согласно таблице на рис. 3.2, ложные адреса отправителя и получателя соответствуют седьмой паре адресов - 218.113.77.7 и 218.113.78.7; при i = 22 Ф(i)=25476, GN,S(i)=16 и, согласно таблице на рис. 3.2, ложные адреса отправителя и получателя соответствуют шестнадцатой паре адресов - 218.113.77.16 и 218.113.78.16.

i

Ф(i)

FN, S(i)

1

2

3

1

1

1

2

1

1

3

2

2

4

3

3

5

5

5

...

...

...

20

6765

5

21

10946

6

22

17711

11

...

...

...

Рис. 3.6 Пример таблицы для назначения номера пары адресов в зависимости от номера шага смены адресов

i

Ф(i)

К, F (i) K = 200

i Ф(i) GN, S(i)  1 2 3  1 2 2  2 1 1  3 3 3  4 4 4  5 7 7  ... ... ...  20 9349 9  21 16127 7  22 25476 16  ... ... ... 

1

2

3


1

1

1


2

1

1


3

2

2


4

3

3


5

5

5


...

...

...


20

6765

165


21

10946

146


22

17711

111


а)                                                     б)

Рис. 3.7. Примеры таблицы для назначения а) числа одноадресных пакетов в зависимости от номера шага смены адресов и б) номера пары адресов для ложных пакетов сообщений в зависимости от номера шага смены адресов

Передача ПС между УС происходит только тогда, когда необходима передача данных, соответственно при отсутствии данных ПС не формируются и не передаются. Вследствие этого, в моменты, когда у отправителя нет данных для передачи, формируют и передают ложные ПС.

Первоначально у отправителя определяют, есть ли данные для передачи получателю на входе у передающего устройства отправителя (бл. 2 на рис. 3.5).

В случае отсутствия данных генерируют управляющий сигнал на формирование ложного исходного пакета данных, который подается на специальный программный или программно-аппаратный модуль формирования ложных исходных пакетов данных.

Затем в указанном модуле одним из возможных способов, например, при помощи генератора псевдослучайной последовательности, формируют ложный исходный пакет данных необходимой длины (бл. 3 на рис. 3.5). После этого кодируют полученный ложный или истинный пакет (бл. 4 на рис.3.5) и преобразуют его в формат TCP/IP (бл. 5 на рис. 3.5) или другой, принятый в ТС СС ВН (ЕСЭ). Преобразование заключается в добавлении IP-заголовка к кодированному пакету данных.

Полученный в результате пакет является информационным ПС (рис. 3.8). В поля «адрес отправителя» и «адрес получателя» IP-заголовка информационного ПС включают ложные адреса отправителя и получателя получая, таким образом, ложный информационный ПС.

После этого сформированный ложный информационный ПС передают (бл. 7 на рис. 3.5) «получателю» и вновь проверяют у отправителя наличие данных для передачи.

В случае, когда у отправителя есть данные для передачи, у него формируют исходный пакет данных (бл. 8 на рис. 3.5, рис. 3.8 а). Кодируют его (бл. 9 на рис. 3.5, рис. 3.8 а), затем преобразуют в формат TCP/IP (бл. 10 на рис. 3.5) или другой, принятый в ТС СС ВН (ЕСЭ), включают в него предварительно запомненные текущие адреса отправителя Aто и получателя Атп (бл. 11 на рис. 3.5) и передают полученный информационный ПС получателю (бл. 12 на рис. 3.5, рис. 3.8, а). После этого увеличивают у отправителя число отправленных ПС jо на единицу: jо=jо+1 (бл. 13 на рис. 3.5). Затем сравнивают полученное jо с предварительно вычисленным ∆k (бл. 14 на рис. 3.5). При несовпадении переходят к приему у получателя ПС. Таким образом, у следующего информационного ПС адреса отправителя и получателя не изменяются. Если jо = ∆k, то заново устанавливают jо = 0 и вычисляют новое ∆k (бл. 15 на рис. 3.5). Затем увеличивают номер шага назначения новых текущих адресов на единицу: iо=iо+1. То есть у отправителя происходит изменение текущих адресов отправителя и получателя.

Изменение текущих адресов отправителя и получателя осуществляют следующим образом. У отправителя из заданной базы адресов (таблицы, БД) в соответствии с предварительно заданными функциями выбора текущих адресов назначают новые текущие адреса (бл. 16 на рис. 3.5) отправителя Атоi получателя Атпi. Затем эти адреса запоминают в качестве текущих адресов отправителя Ато и получателя Атп (бл. 17 на рис. 3.5). После этого у отправителя заменяют ранее назначенный текущий адрес Ато на новый текущий адрес отправителя Ато. (бл. 18 на рис. 3.5).

После приема у получателя информационного ПС (бл. 19 на рис. 3.5, рис. 3.8 б), выделяют из него адреса отправителя Ато и получателя Атп (бл. 20 на рис. 3.5) и сравнивают их с предварительно заданными в таблице текущими адресами (бл. 21 на рис. 3.5). При несовпадении адресов принятый ПС не анализируют, а при совпадении из него выделяют кодированные данные (бл. 22 на рис. 3.5, рис. 3.8 б) и декодируют их (бл. 23 на рис. 3.5). После этого, исходный пакет данных обрабатывают (бл. 24 на рис. 3.5).

Затем увеличивают у получателя число полученных ПС jп на единицу: jп=jп+1 (бл. 25 на рис. 3.5). Сравнивают полученное jп с предварительно установленным ∆k (бл. 26 на рис. 3.5). При несовпадении переходят к формированию отправителем очередного информационного ПС. Таким образом, у получателя для анализа пришедших ПС адреса отправителя и получателя не изменяются. Если jп=∆k, то заново устанавливают jп= 0 и вычисляют новое ∆k (бл. 27 на рис. 3.5). Затем увеличивают номер шага назначения новых текущих адресов на единицу: iп = iп+1. То есть у получателя происходит изменение текущих адресов отправителя и получателя.

Изменение текущих адресов отправителя и получателя осуществляют следующим образом. У получателя из заданной базы адресов (таблицы, БД) в соответствии с функциями выбора текущих адресов назначают новые адреса (бл. 28 на рис. 3.5) отправителя Атоi и получателя Атпi. Затем эти адреса запоминают в качестве текущих адресов отправителя Ато и получателя Атп (бл. 29 на рис. 3.5). Далее у получателя заменяют ранее назначенный текущий адрес Атп на новый текущий адрес получателя Атп (бл. 30 на рис. 35). Представленный способ может быть реализован в качестве модулей закрытого информационного обмена в ОУЗ.

Реализуемая способом ЛССС формирует на информационном поле КР структуру, статистические свойства которой согласованы со свойствами ЕСЭ. Программный вариант (специализированное ПО) позволяет реализовать функции ОУЗ на уже существующем телекоммуникационном оборудовании. Разработанные способы и устройства за счет расширения адресного пространства корреспондирующих элементов СС ВН и управления интенсивностью их трафика позволяют управлять ЛССС. В случае, когда КР осуществляет перехват и анализ трафика между корреспондирующими УС, достигается возможность формирования на информационном поле КР противника искаженной ЛССС.

Если у отправителя предусмотреть дополнительную базу адресов не входящих в состав СС ВН узлов (например, входящих в ЕСЭ РФ), и часть ложных ПС отправлять на эти адреса, существует возможность создать у КР противника видимость присутствия дополнительных УС в СС ВН.

Криптографическое преобразование ПС (как истинных так и ложных) позволяет не только защитить от НСД реальную передаваемую информацию, но также и скрыть факт маскирующего обмена, т. к. не декодировав ПС КР противника не сможет определить что в нем содержится реальная информация или случайная последовательность символов. Достоинство подхода заключается в том, что физически количество УС не изменяется, а новые УС на информационном поле КР имитируются за счет использования дополнительных адресов при осуществлении информационного обмена, а также за счет использования маскирующего обмена.

.2 Оценка эффективности научно-технических решений по реализации защищенной логической структуры интегрированной цифровой системы связи

Представленные научно-технические решения разработаны с целью реализации защищенной ЛССС, формирование которой осуществляется с помощью методики формирования защищенной ЛССС.

Основной целью формирования защищенной ЛССС является введение КР противника в заблуждение относительно структуры СУ. Достижение этой цели осуществляется путем искажения ЛССС на информационном поле КР. Для этого в ЛССС вводятся новые логические элементы и связи, изменяются параметры связей (направление и интенсивность ИП). В результате достигается изменение оперативно-тактической принадлежности УС на информационном поле КР для того чтобы снизить вероятность ПДВ на наиболее важные УС ПУ.

Вероятность осуществления ПДВ на УС PПДВ напрямую зависит от его оперативно-тактической принадлежности (важности) hi - чем выше важность, тем выше вероятность ПДВ (рис. 3.21).

Это связано с тем что, во-первых, для реализации ПДВ необходим некоторый ресурс, во-вторых, КР осуществляет ПДВ на УС не для того чтобы лишить ПУ связи, а для того, чтобы лишить его возможности осуществлять управление. Следовательно КР может достичь своей цели, осуществив ПДВ на один наиболее важный УС и сконцентрировав при этом все усилия на него, а подавление большего количества УС может осуществляться в случае наличия свободного ресурса на ПДВ. При этом, чем больше количество УС, подвергаемых ПДВ, тем меньше эффективность использования ресурса.

В идеальном случае в целях защиты путем формирования защищенной ЛССС может быть осуществлено «инвертирование» оперативно-тактической принадлежности УС, т.е. представление перед КР наиболее важного УС как самого второстепенного и наоборот. В этом случае вероятность осуществления КР ПДВ должна иметь обратную зависимость от реальной важности УС (рис. 3.9).

При оценке эффективности вариантов защищенной ЛССС использовался показатель доступности ПУ rпу (формула 2.10).

Этот показатель введен для того, чтобы иметь возможность оценки возможных потерь в случае реализации противником ПДВ на элементы СС (УС ПУ). С помощью этого показателя можно оценить возможные потери для случая, когда «инвертирование» важности УС не осуществляется и для случая, когда оно осуществляется.

Рисунок 3.9 - Вероятность осуществления ПДВ на УС в зависимости от его важности

Для примера расчета была принята СС, состоящая из 10 УС. Каждому из 10 УС был задан коэффициент важности h от 1 до 10 (h=10 для самого важного, h=1 для наименее важного). Далее по формуле 2.10 был рассчитан исходный показатель доступности ПУ rпуИСХ . В даном случае rпуИСХ =55.

После этого показатель был рассчитан на случай подавления КР противника одного, двух, трех и т. д. до десяти УС в условиях, когда путем формирования защищенной ЛССС «инвертирование» важности УС (их оперативно-тактической принадлежности) осуществлялось и не осуществлялось (рис. 3.10). Показатель расчитывался 10 раз для каждого случая, для чего каждый раз индикатор состояния УС ПУ k одного, двух, трех,… и всех УС приравнивался нулю. При этом первыми «подвергались ПДВ» те УС, вероятность ПДВ PПДВ для которых в соответствии с рис. 3.9 была больше.

Таким образом, результаты расчетов показали, что при осуществлении КР ПДВ на УС значение показателя доступности ПУ при применении защищенной ЛССС (в условиях «инвертирования» важности УС) для заданных условий в среднем на 30 % выше, чем в случае, когда защищенную ЛССС не формируют. Одинаковое значение показателя достигается только в случае, когда КР осуществляет ПДВ на все УС ПУ, т. е. когда показатель доступности равен нулю. Следовательно, формирование защищенной ЛССС, реализуемой разработанными научно-техническими предложениями, позволяет повысить защищенность СС от КР.

Рисунок 3.10 - Зависимость изменения значения показателя доступности ПУ от количества подавляемых КР УС

Выводы по главе 3

Разработанное в главе в рамках научно-технического предложения и способов, обеспечивающих условия для защиты информационной инфра- структуры систем связи военного назначения от компьютерной разведки при интеграции систем связи различного предназначения, комплекс технологических решений отличается тем, что предоставляет возможности осуществления мероприятий введения КР противника в заблуждение путем управления ЛССС ВН в соответствии с замыслом оперативной маскировки.

Технологическое управление защитой СС ВН от КР решает задачи динамического управления логической структурой объекта защиты путем: расширения адресного пространства элементов СС ВН, использования управляемой маршрутизации (в целях скрытия реальных и демонстрации ложных информационных потоков); создания ложных информационных систем (в целях имитации ложных элементов СС ВН).

Разработаны способы расширения адресного пространства элементов логической структуры системы связи, имеющие аппаратный и программный варианты реализации. При решении задачи масштабирования структуры ис- пользуется управление интенсивностью трафика. Варианты реализации ложных информационных систем отличаются методами управления процессом взаимодействия с нарушителем.

При управлении ЛССС осуществляется видимое изменение оперативно-тактической принадлежности УС ПУ вскрываемой КР ЛССС, при котором УС ПУ низшего звена может быть выдан за более важный.

Разработанные технологические решения позволяют повысить защищенность СС ВН от преднамеренных деструктивных программных воздействий, характеризующихся как высокой интенсивностью, так и использованием некорректных параметров пакетов сообщений.

ЗАКЛЮЧЕНИЕ

В дипломной работе решена задача, имеющая важное значение для повышения защищенности СС ВН - разработаны методика и способы защиты информационной инфраструктуры СС ВН от вскрытия технической компьютерной разведкой и научно-технические предложения, обеспечивающие при интеграции систем связи различного предназначения условия для защиты инфраструктуры СС ВН от компьютерной разведки.

Разработаны алгоритмы, позволяющие формировать защищенную функционально-логическую структуру системы военной связи, в целях введения компьютерной разведки противника в заблуждение относительно оперативно-тактической принадлежности пунктов управления.

Описан макет устройства, реализующего разработанные алгоритмы, и позволяющего обеспечить функционирование защищенной от компьютерной разведки противника функционально-логической структуры системы связи оперативных объединений.

Выполнена оценка эффективности предлагаемых научно-технических решений, позволяющая сделать вывод о том, что реализация защищенной функционально-логической структуры позволяет повысить защищенность системы военной связи от компьютерной разведки.

Результаты могут быть использованы при защите распределенных автоматизированных систем на узлах связи оперативных объединений ВС РФ при их подключении к сетям связи общего пользования от вскрытия инфраструктуры и реализации преднамеренных деструктивных программных воздействий, направленных на дискриминацию трафика корреспондентов и подавление его источников.

ЛИТЕРАТУРА

1. Максимов Р.В. И др. Безопасность ведомственных интегрированных инфокоммуникационных систем. Учебное пособие. СПб.: СПбГТУ, 2011. - 192 с.

. Петров С.В. Графовые грамматики и задачи графодинамики // Автоматика и телемеханика. №10, 1977. с. 133.

. Петров С.В. Нормальная форма графовых грамматик // Автоматика и телемеханика. №6, 1977. с. 153.

4. Жамбю М. Иерархический кластер-анализ и соответствия: Пер. с фр.- М.: Финансы и статистика, 1988. - 300с.

. Петренко С.А. Управление информационными рисками. Экономически оправданная безопасность / Петренко С.А., Симонов С.В. -М.: Компания АйТи; ДМК Пресс, 2004. - 384 с.

. Абчук В.А. и др. Справочник по исследованию операций / Под общ. ред. Ф.А. Матвейчука - М.: Воен. издат., 1979 г. - 368 с.

. Максимов Р.В., Кожевников Д.А., Павловский А.В. и др. Способ защиты вычислительной сети (варианты). Патент РФ №2325694, от 27.05.08 г. по заявке № 2006138743 от 02.11.06.

. Максимов Р.В., Кожевников Д.А., Павловский А.В. и др. Способ (варианты) и устройство (варианты) защиты канала связи вычислительной сети. Патент РФ №2306599 от 20.09.2007 г.

. Максимов Р.В., Кожевников Д.А., Павловский А.В. и др. Способ (варианты) защиты вычислительных сетей. Патент РФ №2307392 от 27.09.2007 г. по заявке №2006114974 от 02.05.06.

. Максимов Р.В., Андриенко А.А., Иванов В.А., Костырев А.Л., Костин А.А. Способ мониторинга безопасности автоматизированных систем. Патент РФ №2261472 от 27.09.2005 г.

. Максимов Р.В., Андриенко А.А., Иванов В.А., Костырев А.Л. Способ мониторинга безопасности автоматизированных систем. Патент РФ №2265242 от 27.11.2005 г.

. Максимов Р.В., Андриенко А.А., Костырев А.Л., Павловский А.В. и др. Способ контроля информационных потоков в цифровых сетях связи. Патент РФ №2267154 от 27.12.2005 г.

. Максимов Р.В., Андриенко А.А., Костырев А.Л., Павловский А.В. и др. Способ защиты вычислительных сетей от несанкционированных воздействий. Патент РФ №2271613 от 10.03.2006 г.

. Максимов Р.В., Андриенко А.А., Костырев А.Л., Павловский А.В. и др. Способ защиты вычислительных сетей от несанкционированных воздействий. Патент РФ №2279124 от 27.06.2006 г.

. Максимов Р.В., Андриенко А.А. и др. Способ обслуживания разноприоритетных запросов абонентов вычислительной системы. Патент РФ №2296362, 27.03.07 г. по заявке №2005129370 от 20.09.05.

. Максимов Р.В., Куликов О.Е., Липатников В.А., Можаев О.А. Способ защиты информационно-вычислительных сетей от компьютерных атак. Патент РФ №2285287 от 10.10.2006 г.

. Разработка механизмов защиты систем связи военного назначения от компьютерной разведки. / Итоговый отчет о НИР «Мотив» / Научный руководитель Стародубцев Ю. И. - СПб.: ВАС, 2007.

Похожие работы на - Защита функционально-логической структуры интегрированных инфокоммуникационных систем от вскрытия технической компьютерной разведкой

 

Не нашли материал для своей работы?
Поможем написать уникальную работу
Без плагиата!
Без нейросетей!