Анализ и пути повышения уровня организованности производственной системы
на тему
Анализ и пути повышения уровня
организованности производственной системы
Введение
производственный оборудование управление
Уровень организованности производства характеризует количественная оценка
состояния организации производства на предприятии, в его производственном
подразделении (цехе, участке, отделении), и его оценка является существенным
рычагом совершенствования организации производства. Потребность в такой оценке
возникает при решении как проектных, так и эксплуатационных задач организации
производства, то есть на всех стадиях «жизни» производственных систем.
Анализ уровня организованности один из наиболее важных вопросов, решение
которого может коренным образом изменить не только оперативные цели, но
стратегию дальнейшего развития предприятия. Часто на проектирование и
строительство предприятия затрачивают много ресурсов, не обосновав и не
проанализировав уровень организованности, пренебрегая принципами организации
производства (пропорциональности, непрерывности, ритмичности, и другие). Это
приводит к тому, что на стадии эксплуатации система выходит из равновесия и
результат, полученный в ходе ее функционирования, не оправдывает ожиданий
собственников и руководителей предприятия. Поэтому даже на стадии эксплуатации
необходимо оценить уровень организованности производственной системы и найти
пути повышения данного уровня.
Расчет и анализ на стадии эксплуатации производственных систем
показателя, характеризующего уровень организации производства, позволяет
сравнивать работу производственного подразделения за различные отрезки времени,
работу различных производственных подразделений за определенный период времени,
выявлять резервы совершенствования организации производства и принимать
обоснованные решения, направленные на совершенствование производственных
систем.
Цель данного курсового проекта - обоснование оптимального количества
единиц оборудования, установленного на вспомогательном участке.
Достижение поставленной цели возможно через решение следующих задач:
расчет производственной мощности основного и вспомогательного
оборудования;
расчет производственной мощности системы;
расчет показателей использования производственных мощностей;
анализ пропорций производственных мощностей.
В данном курсовом проекте будет рассмотрена многопродуктовая
производственная система, которая находится на стадии эксплуатации. Поэтому
необходимо найти «узкие места» в ее работе путем исследования и анализа
различных показателей и соблюдения принципов организации производства. На
основе результатов анализа необходимо предложить пути повышения уровня
организованности системы. При анализе будет использоваться учебная модель для
моделирования производственного процесса, выбора оптимального количества единиц
оборудования, определения оптимальной интенсивности входящего потока.
В работе использованы классические методы экономического
анализа, графические методы и пр.
1. Краткая
характеристика исследуемого объекта
1.1
Назначение и производственная структура объекта
Исследуемый производственный объект предназначен для производства трёх
видов продукции: А, В и С, которые отличаются друг от друга трудоемокстью - на
это указывает длительность операций. Наиболее трудоёмкое изделие вида С,
наиболее востребована продукция - В. Производственная структура объекта представлена
на рисунке 1.
Рисунок 1 - Производственная структура объекта
Технологическая цепочка изготовления продукции состоит из двух
последовательно расположенных участков, выполняющих определенные операции.
Перед каждым из участков оборудован склад: перед первым - для хранения
поступающих на данный объект исходных сырья и материалов, перед вторым - для
хранения полуфабрикатов.
Ёмкость склада ограничена и определяется как произведение количества
заявок в данной фазе и средней массы единицы готовой продукции при учете
коэффициента прямых затрат первой фазы. Она составит:
На производственном участке №1 расположено 3 единицы оборудования
одинаковой производительности, что свидетельствует об однотипности
оборудования. Данный участок является вспомогательным, продолжительность
технологических операций по обработке предметов труда отличается и зависит от
характера труда.
После завершении работ первой фазы полуфабрикаты поступают на хранение на
склад, оборудованный перед вторым участком. Ёмкость склада также ограничена, он
может вмещать не более чем:
Время технологических операций по обработке исходных предметов труда
отличается в зависимости от вида производимой продукции.
На втором участке установлено три единицы однотипного оборудования,
предназначенных для одних и тех же целей и имеющих одинаковую
производительность. Время обработки изделий - есть случайная величина, и также,
как показали исследования, подчиняется нормальному закону распределения.
Известны математические ожидания этих случайных величин длительности этих
производственных операций и их средние квадратические отклонения при
производстве каждого вида продукции. Второй участок является основным.
После обработки на втором участке продукция поступает к потребителю.
Исходя из описания можно сделать заключение о том, что данный объект
может быть формализован как двухфазная многоканальная система массового
обслуживания с ожиданием и с ограниченной длиной очереди. Здесь имеются заявки,
поступающие на обслуживание (сырье, материалы, полуфабрикаты в расчете на
производство 1 единицы продукции массой 150тонн). Здесь есть входящий поток
заявок, очередь (то количество заявок, скапливающихся на складе), каналы
обслуживания (единицы оборудования на каждом участке) и выходящий поток
(готовая продукция).
Схема системы массового обслуживания приведена на рисунке 2.
Далее более подробно рассмотрим производственный процесс, протекающий в
рамках данной производственной системы.
,2,3 - каналы обслуживания
Рисунок 2 - Структурная схема СМО формализованное представление
исследуемого объекта
Рассмотрим более подробную характеристику производственного процесса
протекающего на данном объекте.
1.2 Характеристика
производственного процесса
Производственный процесс - это сочетание предметов и орудий труда, а
также живого труда в пространстве и во времени, функционирующих для
удовлетворения потребностей производства [1].
Дадим классификацию данному процессу, которая протекает на данном
производственном процессе:
по роли в производстве производственный процесс на 1 участке
вспомогательный, на втором основной;
по степени оснащенности орудием труда на первом участке процесс
автоматизированный, а на втором - механизированный;
по характеру протекания во времени - циклический (процесс в котором все
технологические операции повторяются с каждой новой единицей продукции);
по характеру движения труда в процессе обработки: на вспомогательном
участке - дискретный; на основном - полунепрерывный;
по возможности наблюдения за ходом процесса: на вспомогательном -
открытый, на основном - полуоткрытый;
по виду движения труда по ступеням, по способу передачи предмета труда со
ступени на ступень данный процесс относится к процессам с параллельным
протеканием операций по ступеням (т.к. на каждом участке возможно производство
нескольких единиц оборудования);
по степени сложности - сложный.
Процесс на исследуемом объекте относится к типу поточному типу
производства (производственный поток - последовательное циклическое
производство) сколько агрегатов на основном участке столько и потоков. При этом
потоки комбинированные (однотипное оборудование), т.к. на предыдущих ступенях
меньшее количество агрегатов и каждый из них обслуживает все потоки (основные
агрегаты) и являются сквозными потоками.
График производственного процесса представлен на рисунке №3. Покажем
график для продукции В, который составляет наибольший удельный вес 0,50 в общем
объеме производства.
(1)
где

-
производительность одной единицы оборудования основного участка, заявок/сутки; 
- величина
текущих простоев на основном участке по отношению к номинальному времени, доли
единицы;

-
длительность операций на основном участке, мин.
(2)
где

-
скорректированная длительность операции на основном участке на величину текущих
простоев, мин.
(3)
где

производительность
одной единицы оборудования вспомогательного участка, заявок/сутки;

нормативная
величина технически необходимых простоев на вспомогательном участке за сутки в
расчете на одну единицу оборудования, мин;

нормативная
величина нециклических операций на вспомогательном участке за сутки в расчете
на одну единицу оборудования, мин;

длительность
операций на вспомогательном участке, мин.
Далее,
по формуле (2), определим скорректированную длительность операции на
вспомогательном участке на величину текущих простоев:
Таким
образом, с учетом текущих простоев основного оборудования и технически
необходимых простоев и нециклических операций на вспомогательном участке
продолжительность операций на основном участке увеличивается до 94,7 минут, а
на вспомогательном - до 86,1 минут.
Далее
рассчитаем такт, продолжительность операций по ступеням, перекрытие,
длительность перерывов.
(4)
где

минимально
возможный такт работы участка, минуты;

количество
единиц оборудования на участке i.
Такт
процесса определим по формуле:

(5)
где
R - такт процесса, минуты.

Продолжительность
цикла рассчитывается по формуле:
(6)
где

продолжительность
цикла, минуты.
Рассчитаем перекрытие цикла (П):

(7)

Продолжительность перерывов на каждом участке (фni) определим по формуле:
(8)


Графики
по остальным видам продукции будут аналогичны. Данные для построения графиков
сведены в таблицу №1.
Для
того чтобы оценить эффективность производственного процесса, необходимо
провести более детальный анализ уровня организованности производственной
системы.
Рисунок
3 - График производственного процесса при производстве продукции А
Таблица
№1 - данные для построения графиков производственного процесса при производстве
продукций А,В,С.
|
Продукция
|
№ ступени
|
Количество ед.оборудования, шт.
|
Длительность операций на участке, мин
|
Нормативная величина текущих простоев на основном участи,
доли единиц
|
Нормативная величина технически необходимых
простоев и нециклических операций на вспомогательном участке за сутки в
расчете на 1 ед. оборудования, мин
|
Производительность 1 ед. продукции на участке,
заявок/сут
|
Скорректированная длительность операций на
участке с учетом текущих простоев, мин
|
Такт процесса, мин
|
Продолжительность цикла, мин
|
Перекрытие цикла, мин
|
Продолжительность перерывов на участке, мин
|
|
А
|
1 фаза
|
3
|
90
|
0
|
186
|
13,93
|
103,37
|
34,46
|
192,87
|
158,41
|
0
|
|
2 фаза
|
3
|
85
|
0,05
|
0
|
16,09
|
89,50
|
|
|
|
13,88
|
|
В
|
1 фаза
|
3
|
75
|
0
|
186
|
16,72
|
86,1
|
31,56
|
180,8
|
149,2
|
8,58
|
|
2 фаза
|
3
|
90
|
0,05
|
0
|
15,2
|
94,7
|
|
|
|
0
|
|
С
|
1 фаза
|
3
|
105
|
0
|
186
|
11,94
|
120,60
|
40,2
|
225,86
|
185,36
|
0
|
|
2 фаза
|
3
|
100
|
0,05
|
0
|
13,68
|
105,26
|
|
|
|
15,34
|
2. Анализ
уровня организованности производственной системы
.1 Расчет
производственной мощности основного оборудования
Производственная мощность - это максимально возможный годовой выпуск
продукции или объем добычи или переработки сырья в номенклатуре и ассортименте
соответствующих фактическому выпуску (для отчетного года) или предусматриваемых
планов (для планового периода), при полном использовании производственного
оборудования и производственных площадей с учетом применения передовой
технологии, улучшения организации производства и труда [2]. Производственная
мощность может измеряться в натуральных единицах (штуках, килограммах, тоннах и
т.п), условно-натуральных единицах, когда выпуск разнохарактерных единиц изделия
приводиться к одной единицы измерения, трудовых единицах (нормо/часах,
человеко/часах, тонн/километр).
Различают производственную мощность оборудования (элемента системы) и
производственную мощность системы.
Производственная мощность единицы оборудования рассчитывается следующим
образом:
(9)
где

производственная
мощность единицы оборудования, т;

техническая
норма производительности оборудования в сутки, т/сутки;

действительный
фонд времени работы оборудования за год, сутки.
Техническая
норма производительности оборудования - это максимально возможная
производительность оборудования по паспортным данным или полученным на основе
расчетов при использовании лучших показателям, устойчиво достигнутых на
рассматриваемом оборудовании за все время его эксплуатации на данном
предприятии [3].
Для
основного оборудования производственную мощность можно рассчитать по двум
вариантам, как через производительность в номинальные (формула 10), так и через
производительность в фактические сутки (формула 11). При этом результаты
расчетов должны совпасть.

,(10)
где

производственная
мощность единицы основного оборудования, т;

техническая
норма производительности основного оборудования в номинальные сутки, т/сутки;

номинальное
время работы основного оборудования, сутки.

, (11)
где

техническая
норма производительности основного оборудования в фактические сутки, т/сутки;

фактическое
время работы основного оборудования, сутки.
Рассчитаем
фонды времени работы основного оборудования.
Номинальный фонд времени работы оборудования определяется по формуле:
(12)
где

суммарная
продолжительность ремонтов оборудования за год, сутки.
Так как год не високосный, то календарный фонд времени работы оборудования
примем равным 365 суткам.
Фактический фонд времени работы оборудования не зависит от вида
выпускаемой продукции (структуры сортамента) и определяется по формуле:
, (13)
где
- продолжительность текущих простоев оборудования за
год, сутки.
(14)
где

еличина
текущих простоев по отношению к номинальному времени, доли единиц.
Рассчитаем производительность основного оборудования:
в фактические сутки (то есть, сколько было бы произведено продукции, если
бы не было простоев):
(15)
где

техническая
норма производительности основного оборудования в фактические сутки при
производстве l-ого вида продукции, т/сутки;
l - вид продукции,

k - количество
видов продукции, шт.;

продолжительность
операции, выполняемой единицей основного оборудования при производстве l-ого
вида продукции, минуты;

средняя
масса единицы готовой продукции, т.
в
номинальные сутки:
(16)
где

техническая
норма производительности основного оборудования в номинальные сутки при
производстве l-ого вида продукции, т/сутки;
l - вид
продукции, 
k - количество
видов продукции;

нормативная
величина текущих простоев на основном участке, доли единицы.
Рассчитаем производственную мощность основного оборудования через
производительность в фактические и в номинальные сутки. Данные расчеты можно
сделать двумя способами.
Первый способ.
(17)
(18)
где

средняя
техническая норма производительности оборудования по всем видам продукции в
фактические и номинальные сутки соответственно, т/сутки.
Среднюю
техническую норма производительности оборудования по всем видам продукции в
фактические и номинальные сутки можно определить по формуле 19.
(19)
где

доля l-того
вида продукции в общем объеме, доли единицы;
l - вид продукции,

k - количество
видов продукции.
Средняя техническая норма производительности оборудования по всем видам продукции
в фактические сутки больше, чем в номинальные. Это объясняется тем, что при
расчете в фактические сутки не учитываются простои.
Рассчитаем производственную мощность единицы основного оборудования.
Расчеты верны, так как производственная мощность единицы основного
оборудования, рассчитанная через производительность в фактические сутки равна
производственной мощности основного оборудования, рассчитанной через
производительность в номинальные сутки.
Второй способ.
В следствии того, что структура сортамента не влияет на время работы
оборудования, можно рассчитать производственную мощность основного оборудования
через производственную мощность единицы основного оборудования при производстве
l-ого вида продукции.
(20)
(21)
где

производственная
мощность оборудования при производстве l-ого вода
продукции.
Расчеты верны, так как производственная мощность единицы основного
оборудования, рассчитанная через производительность в фактические сутки равна
производственной мощности основного оборудования, рассчитанной через
производительность в номинальные сутки.
Далее рассчитаем производственную мощность единицы основного оборудования
по формуле 22:
(22)
Правильность расчетов подтверждается тем, что производственная мощность
единицы основного оборудования, рассчитанная по первому способу, равна
производственной мощности единицы основного оборудования, рассчитанной по
второму способу.
На основе полученных данных и том факте, что оборудование на участках
однотипное, определим производственную мощность участка по формуле:
(23)
Производственная мощность основного участка:
Далее повторим расчеты для вспомогательного оборудования.
2.2 Расчет
производственной мощности вспомогательного оборудования
Для вспомогательного оборудования производственная мощность будет
рассчитываться через производительность в номинальные сутки. Для расчета
производственной мощности вспомогательного оборудования через
производительность в фактические сутки нам потребуется определить фактический
фонд времени работы оборудования. Сделать мы этого не сможем ввиду отсутствия
исходных данных, в частности технически необходимых простоев.
(24)
где

техническая
норма производительности вспомогательного оборудования в номинальные сутки при
производстве l-ого вида изделия, т/сутки;
k - количество
видов продукции, производимых в данном объекте;

продолжительность
операции, выполняемой единицей вспомогательного оборудования при производстве l-ого
вида изделия, мин.;

нормативная
величина технически необходимых простоев на вспомогательном участке за сутки в
расчете на одну единицу оборудования, мин;

нормативная
величина нециклических операций на вспомогательном участке за сутки в расчете
на одну единицу оборудования, мин.

=350
(суток).
Рассчитаем
производственную мощность вспомогательного оборудования через
производительность в номинальные сутки двумя способами. Структура сортамента не
оказывает влияния на производственную мощность единицы оборудования, поэтому
результаты расчетов обоими способами должны совпасть.
Средняя
техническая норма производительности вспомогательного оборудования в
номинальные сутки рассчитывается аналогично, как и по основному оборудованию.
(25)
Расчёт производственной мощности единицы вспомогательного оборудования
через производительность в номинальные сутки:
(26)
Расчёт производственной мощности единицы вспомогательного оборудования
при производстве l-ого вида
продукции через производительность в номинальные сутки:
(27)
(28)
Расчеты верны, так как производственная мощность единицы вспомогательного
оборудования, рассчитанная по первому способу, равна производственной мощности
единицы вспомогательного оборудования, рассчитанной по второму способу.
Производственная мощность вспомогательного участка рассчитывается по
формуле (23):
На основе полученных данных о производительности и производственной
мощности основного и вспомогательного оборудования можно рассчитать
производственную мощность системы.
.3 Расчет
производственной мощности системы
Существует три подхода к расчету производственной мощности системы:
) подход, основанный на принципе ведущего звена. Данный подход дает
неточные результаты;
2)расчет производственной мощности системы на основе
структурно-статического анализа. Данный подход применим для систем с гибкой
связью, а для систем с жесткой связью он подходит лишь в случаях, когда «узкое
место» во всех ситуациях, связанных с наличием или отсутствием ремонтов
оборудования за год не меняется, т.е. производительность системы определяется
одной и той же фазой. В данном примере связь между элементами системы является
жесткой, т.к. между фазами присутствует накопитель предметов труда.
Рассчитаем производственную мощность на основе структурно-статического
анализа. На первом этапе рассчитаем производственную мощность каждого участка
при производстве l-ого вида
продукции по формуле (23).
Производственная мощность основного участка при производстве различных
видов продукции составит:
Производственная мощность вспомогательного участка при производстве
различных видов продукции составит:
Далее
определим мощность системы при производстве каждого l-ого вида
продукции (
) по формуле:
(29)
где
k - количество видов продукции;

производственная
мощность i-ого элемента при производстве l-ого
вида продукции, т.
Производственная
мощность системы при производстве каждого l-ого вида
продукции составит:
Определим
производственную мощность системы по всему сортаменту 
по
формуле:
(30)
Однако,
более точные результаты расчёта производственной мощности, во многих случаях
даёт подход, основанный на структурно-динамическом анализе ситуаций, связанных
с наличием или отсутствием ремонтов оборудования, в течение года.
Производственная мощность будет представлять собой сумму максимально возможных
объёмов производства системы по всем выделенным ситуациям;
3) расчет производственной мощности системы на основе
структурно-динамического анализа. Данный подход дает более точные результаты
для систем с жесткой связью между фазами и позволяет устранить существенные
недостатоки предыдущих подходов. Структурно-динамический анализ - это метод
исследования объектов (систем) самой различной природы и сложности, основанный
на учете взаимосвязей и взаимодействия структурных элементов объекта (системы)
в процессе его функционирования. Выполним расчёт производственной мощности
системы посредством структурно-динамического анализа, первый этап которого
предполагает определение потребности в согласовании ремонтов. Определим
гипотетические ситуации с учётом ограничения: одновременно в фазе не может
находиться больше одной единицы оборудования на ремонте, так как в составе
ситуаций рассматриваются только ситуации, связанные с наличием или отсутствием
ремонтов, поэтому производительность будем брать в номинальные сутки.
Графическое изображение ситуаций представлено на рисунке 4.
Рисунок 4 - Варианты гипотетических ситуаций, связанные с наличием или отсутствием
ремонтов оборудования
Производственная система характеризуется данными, приведенными в таблице
1.
Таблица 1 - Исходные данные для анализа потребности в согласовании
ремонтов
|
№ ступени, i
|
Единичная производительность
оборудования в номинальные сутки, , т/сутки
|
|
|
|
A
|
B
|
C
|
|
1
|
3
|
2090
|
2508
|
1791,43
|
|
2
|
3
|
2414,12
|
2280
|
2052
|
Таблица 2 - Производительность системы при производстве товара А
|
№ ситуации
|
№ фазы
|
Кол-во единиц оборудования в фазе, ед.
|
Производительность фазы, т/сутки
|
Производительность системы, т/сутки
|
|
1
|
1
|
3
|
6270
|
6270
|
|
2
|
3
|
7242,36
|
|
|
2
|
1
|
2
|
4180
|
4180
|
|
2
|
3
|
7246,36
|
|
|
3
|
1
|
3
|
6270
|
4828,24
|
|
2
|
2
|
4828,24
|
1
|
2
|
4180
|
4180
|
|
2
|
2
|
4828,24
|
|
Таблица 3 - Производительность системы при производстве товара В
|
№ ситуации
|
№ фазы
|
Кол-во единиц оборудования в фазе, ед.
|
Производительность фазы, т/сутки
|
Производительность системы, т/сутки
|
|
1
|
1
|
3
|
7524
|
6840
|
|
2
|
3
|
6840
|
|
|
2
|
1
|
2
|
5016
|
5016
|
|
2
|
3
|
6840
|
|
|
3
|
1
|
3
|
7524
|
4560
|
|
2
|
2
|
4560
|
|
|
4
|
1
|
2
|
5016
|
4560
|
|
2
|
2
|
4560
|
|
Таблица 4 -Производительность системы при производстве товара С
|
№ ситуации
|
№ фазы
|
Кол-во единиц оборудования в фазе, ед.
|
Производитель-ность фазы, т/сутки
|
Производительность системы, т/сутки
|
|
1
|
1
|
3
|
5374,29
|
5374,29
|
|
2
|
3
|
6156
|
|
|
2
|
1
|
2
|
3582,86
|
3582,86
|
|
2
|
3
|
6156
|
|
|
3
|
1
|
3
|
5374,29
|
4104
|
|
2
|
2
|
4104
|
|
|
4
|
1
|
2
|
3582,86
|
3582,86
|
|
2
|
2
|
4104
|
|
Проанализировав таблицы 2, 3 и 4, можно сделать вывод что узкое место при
производстве все видов продукции переменчиво. Следовательно, есть потребность в
согласовании ремонтов, поскольку оно позволит увеличить объем производства.
Кроме того, результаты расчетов производственной мощности, выполненные на
расчёте структурно-статического анализа окажутся завышенными, то есть будут
больше результата, полученного на основе структурно-динамического анализа.
На втором этапе осуществляется формирование графиков ремонтов
оборудования, обеспечивающих максимально возможную степень согласованности, и
определение состава ситуаций и их продолжительности за год.
Согласование ремонтов - это обеспечение одновременного проведения
ремонтов оборудования связанных участков. Существует три варианта построения
графиков ремонта оборудования в фазе:
- непрерывно-последовательный - в соответствии с этим
графиком, ремонты оборудования в фазе выполняются последовательно и непрерывно
с организацией циклов ремонтов;
- рассредоточенный - ремонты проводятся через определенно равный
промежуток времени, называемый ремонтным тактом;
смешанный, включает элементы названных выше вариантов построения графиков
ремонта оборудования в фазе.
В каждом варианте графиков ремонтов можно наблюдать
чередование двух периодов: периода ремонта и периода работы оборудования.
Графики ремонтов формируются на основе нормативных данных о
продолжительности и периодичности ремонтов оборудования всех видов, график
строится на год.
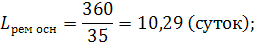
Периодичность ремонтов - период времени между началом ремонта единицы
оборудования до начала следующего подобного ремонта этой же единицы
оборудования.
Исследуемая нами производственная система располагает следующей
периодичностью ремонтов:
- на основном участке - 35 суток,
на вспомогательном - 15 суток.
Периодичность необходима для определения количества ремонтов в год,
которое рассчитывается по формуле:
(31)
где

количество
ремонтов, осуществляемых в течение года, на i-ой фазе;

период,
за который осуществляется расчет (360 суток);

периодичность
ремонтов на i-ой фазе, сутки.
Следовательно:
Далее
рассчитаем продолжительность одного ремонта одной единицы оборудования для i-ой
фазы (
, для
этого используем формулу следующего вида:
(32)
где

суммарная
продолжительность ремонтов одной единицы оборудования, установленного на i-ой
фазе, за год (по нормативам), сутки.
В таблице 5 отразим данные, необходимые для построения графика ремонтов.
Таблица 5 - Данные для построения графика ремонтов
|
№ фазы, i
|
Количество единиц оборудования, ni
|
Периодичность ремонтов (Пi), сутки
|
Продолжительность одного ремонта единицы
оборудования , суткиСуммарная продолжительность ремонтов за
год (Тpi), сутки
|
|
|
I
|
3
|
15
|
0,63
|
45
|
|
II
|
3
|
35
|
3,40
|
105
|
Продолжительность
ремонтов, подлежащих согласованию (
),
определяется как минимальная из продолжительностей ремонтов каждой фазы.
(33)
где

суммарная
продолжительность ремонтов всех единиц оборудования в i-ой фазе по
нормативу, сутки.
Таким
образом, согласованию подлежат:
В первой фазе график ремонтов построим рассредоточено, а во второй фазе -
непрерывно-последовательно. При этом ремонтный такт для первой ступени (R) определим по формуле 34.
Ремонтный такт - это период времени между одноименными моментами.
(34)
где

периодичность
ремонтов 2 фазы, сутки;

целое
число, принимающее значение от 2 до n (количество единиц оборудования
во второй фазе) включительно. Примем х=2.
Для удобства осуществления процедуры согласования
ремонтов, график ремонтов оборудования фазы целесообразно показывать на одной
оси.
Рисунок 5 - График ремонта оборудования
Как видно из рисунка 5, лишь половина ремонтов оборудования первой фазы,
подлежаще согласованию, проводятся одновременно с ремонтами второй фазы, то
есть, согласованы на 1000%. Рассчитаем коэффициент согласованности (Кс):
Кс = Тс.р /Тп.ср , (35)
где Тср - продолжительность согласованных ремонтов, сутки.
Кс = 45 / 45 = 1,00.
Коэффициент согласованности равный единице показывает, что достигнута
максимальная степень согласованности ремонтов оборудования, что все ремонты
первой фазы согласованы с ремонтами второй.
На основе полученных данных определим состав и продолжительность
ситуаций, связанных с наличием или отсутствием ремонтов оборудования за год.
Графическое изображение состава и продолжительности ситуаций, связанных с
наличием или отсутствием ремонтов за год представлено на рисунке 6.
Рисунок 6 - Состав ситуаций, связанных с наличием или отсутствием
ремонтов
Т1 - ситуация, когда и в первой и во второй фазе имеется оборудование на
ремонте;
Т2 - ситуация, когда только во второй фазе одно оборудование находится на
ремонте;
Т3 - ситуация, когда всё оборудование работает.
Т1 = 45; T2 = 60; T3 = 260 (суток).
Третий этап расчёта производственной мощности системы посредством
структурно-динамического подхода является непосредственный расчёт по
определённому алгоритму мощности системы.
Рассчитаем максимально возможную производительность системы в j - ой ситуации при производстве l-го вида продукции по формуле:
(36)
где

максимально
возможная производительность системы в каждой j-ой ситуации
при производстве продукции вида l, т/сутки;

максимально
возможная производительность i-ой фазы в каждой j-ой ситуации
при производстве l-ого вида продукции, т/сутки.
Рассчитаем максимально возможный объем производства системы за время ее
нахождения в j-той ситуации при производстве l-го вида продукции по формуле:
(37)
где

продолжительность
нахождения системы в j-той ситуации за год, дни.
Рассчитаем производственную мощность системы при производстве l-го вида продукции по формуле:
(38)
Далее определим производственную мощность системы при заданной структуре
сортамента:
(39)
Производственная мощность системы, рассчитанная на основе
структурно-динамического анализа, составит:
Действительно,
результаты расчетов производственной мощности, выполненные при
структурно-статическом анализа оказались выше результатов расчетов
производственной мощности, полученных на основе структурно-динамического
анализа, на 45604,46 т/год (
.
Для определения этого отклонения по каждому виду продукции используется
разница в производительности фаз при смене узкого места умноженная на
продолжительность такой ситуации. Отклонение складывается оттого, что не всегда
одна и та же фаза является узким местом.
Эти отклонения совпадают с отклонениями, полученными как разница
производственной мощности системы, рассчитанной на основе
структурно-статического анализа и производственной мощности системы,
рассчитанной на основе структурно-динамического анализа по каждому виду
продукции, и тем самым подтверждают правильность расчетов:
Как и предполагалось ранее производственная мощность системы при выпуске
продукции В при расчете по методу ССА и СДА получилась одинаковая. Для анализа
уровня использования имеющихся производственных мощностей рассчитаем показатели
использования производственных мощностей.
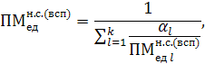
.4 Расчет
показателей использования производственных мощностей
Анализ использования производственных мощностей оборудования проводится
для выявления резервов. В процессе анализа рассчитываются показатели использования
оборудования в динамике, то есть рассматривается изменение этих показателей во
времени [2].
Для оценки уровня использования ПМ могут использоваться общие и частные
показатели. Частные показатели отражают какую-то одну сторону использования
оборудования (влияние времени или производительности на ПМ).
Для оценки уровня использования производственных мощностей применяется
такой общий показатель использования как коэффициент интегрального
использования оборудования, который рассчитывается по формуле:
(40)
где

-
коэффициент использования производственной мощности, доли единицы;

объём
производства готовой продукции за год, т;

производственная
мощность i-ой фазы, т.
По
основной фазе рассчитаем частные показатели использования оборудования. Расчёт
коэффициентов использования оборудования осуществляется в фактические сутки.
(41)
где

коэффициент
интенсивного использования оборудования, доли единицы;

единичная
производительность оборудования за анализируемый период в фактическое время,
т/сутки;

техническая
норма производительности оборудования, т/сутки.
(42)
где

коэффициент
экстенсивного использования оборудования, доли единицы;

фактическое
время работы оборудования по отчёту за год, агрегато-сутки;

фактическое
время работы оборудования, взятое в расчет производственной мощности,
агрегато-сутки.
Коэффициент
интенсивного использования оборудования отражает использование оборудования по
производительности, а экстенсивного - во времени.
Для
проверки, осуществляется расчет интегрального показателя использования
оборудования по формуле:
(43)
Тождество

должно
быть верным.
(44)
(45)
В
связи с тем, что в процессе расчета производственной мощности была
необходимость использования фактического времени работы одной единицы
оборудования, при вычсилении коэффициента экстенсивного использования
оборудования 
необходимо
умножить на количество единиц оборудования (
Правильность
расчетов подтверждена, так как 
По
вспомогательному оборудованию расчет 
не
производится в силу нехватки информации для расчёта коэффициента экстенсивного
использования оборудования.
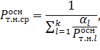
Средний
коэффициент использования производственных мощностей системы рассчитывается как
средневзвешенная величина из общих показателей использования производственных
мощностей:
(46)
где

весовой
коэффициент при коэффициенте использования производственных мощностей i-ой
фазы, доли единицы.
В
нашем случае это доля потерь от простоев канала обслуживания i-ой
в общей сумме потерь от простоев канала обслуживания. Весовые коэффициенты для
основной и вспомогательной фаз находятся с учетом количества единиц
оборудования на участке:
(47)
где

весовой
коэффициент при коэффициенте использования производственных мощностей первой
фазы, доли единицы;

издержки
от простоев канала обслуживания первой фазы, руб./мин.;

издержки
от простоев канала обслуживания второй фазы, руб./мин.
(48)
где

весовой
коэффициент при коэффициенте использования производственных мощностей второй
фазы, доли единицы.
На
основании рассчитанных коэффициентов, можно сделать вывод о том, что
производственные мощности исследуемого производственного объекта используются
всего на 82,12%. Это связано с недостаточно высокой производительностью
оборудования и нерациональным использованием оборудования во времени.
В
определённом смысле, использование производственных мощностей отражает
коэффициент структурной согласованности системы, потому что он показывает максимально
возможный уровень использования производственных мощностей фазы (частные
коэффициенты использования) или системы в целом (общий коэффициент
использования).
(49)
где

коэффициент
структурной согласованности системы i-ой фазы, доли единицы;

производственная
мощность системы, рассчитанная на основе структурно-динамического анализа, т;

производственная
мощность i-го элемента системы, т.
(50)
Общий
коэффициент структурной согласованности превышает средний коэффициент
использования производственных мощностей системы (93,76% >82,12%). Это
означает, что неэффективное использование производственных мощностей вызвано не
структурной несогласованностью, а другими причинами. Текущий резерв (то есть
без структурных изменений системы) повышения уровня использования
производственных мощностей 
для основного
оборудования составляет 11,65% (93,83% - 82,18%=11,65%), и для вспомогательного
оборудования 11,34% (91,31% - 79,97%=11,34%). Дальнейшее (потенциальное), еще
большее увеличение уровня использования производственных мощностей, требует
структурных изменений системы.
Для
окончательных выводов по поводу эффективности использования производственной
мощности необходимо определить пропорции производственных мощностей и сравнить
их с оптимальным значением.
.5 Анализ
пропорций производственных мощностей
Пропорции в системе можно измерить с помощью коэффициента
пропорциональности.
(51)
где
коэффициент
пропорциональности i-й фазы, доли единицы;

производственная
мощность i-го участка, выраженная в единицах готовой продукции i-й
фазы, т;

производственная
мощность второй фазы, т;

коэффициент
комплексных затрат i-й фазы, доли единицы.
Коэффициент
комплексных затрат отражает, сколько единиц продукции данной фазы идет на
производство одной единицы готовой продукции всей системы.
(52)
где

коэффициент
прямых затрат s-ой фазы, доли единицы.
Коэффициент
прямых затрат показывает, сколько единиц продукции s-ой фазы идет
на изготовление одной единицы продукции следующей за ней фазы.
В
связи с тем, что производственная мощность первой и второй фаз выражена в
единицах готовой продукции, коэффициент прямых затрат не учитывается:
Пропорции
в производственной системе выглядят следующим образом:
Следовательно,
производственная мощность первой фазы в 1,028 раз больше производственной
мощности второй фазы.
Однако,
по фактическим соотношениям мощностей трудно судить насколько они оптимальны.
Для того чтобы это оценить, необходимо найти оптимальные пропорции и на основе
сопоставления фактических пропорций с оптимальными, сделать окончательные
выводы об уровне организованности производственной системы или уровне
пропорциональности.
При
этом условимся, что эти оптимальные пропорции будут рассчитываться при условии
неизменного количества основного оборудования. Таким образом, варьируемым
параметром будет количество единиц вспомогательного оборудования.
Определим
оптимальные пропорции производственных мощностей системы.
Расчёт
потребного количество единиц вспомогательного оборудования можно выполнить
различными методами:
расчётным;
графическим;
с
помощью имитационного моделирования [3].
Расчётный
метод заключается в определении количества единиц оборудования по формуле:
(53)
где
количество
единиц потребного вспомогательного оборудования, шт.;

количество
циклов, которое должно выполнить вспомогательного оборудования за сутки или,
если за один цикл обслуживается одна единица продукции, это производительность
всего основного оборудования за сутки, т;

количество
циклов, которое может выполнить одна единица вспомогательного оборудования за
сутки (или производительность одной единицы вспомогательного оборудования), т;

коэффициент
неравномерности входящего потока, 
.
(54)
где

максимальный
объём производства продукции на основном оборудовании, т;

средний
объём производства продукции на основном оборудовании, т.
Далее
определим потребное количество единиц вспомогательного оборудования на примере
производства наиболее востребованного вида продукции В.
В
связи с тем, что на основной ступени несколько единиц оборудования, а
производительность рассчитана на единицу, умножим 
на
количество единиц оборудования (
).
Полученное
число округляется до большего целого, с целью избегания ситуации простаивания
основного оборудования.
Таким
образом, получаем, что для обеспечения максимального объема производства
системы при выпуске продукции В потребуется 3 единицы оборудования.
(55)
где

коэффициент
загрузки оборудования, доли единицы;

расчетное
количество единиц оборудования на вспомогательном участке, шт.;

принимаемое
округленное количество единиц оборудования на вспомогательном участке, шт.
По остальным видам продукции (А, С) расчёт выполняется аналогично.
В результате расчета получили:
При этом коэффициенты загрузки оборудования составят:
При производстве двух из трех видов продукции требуется 4 единицы
оборудования, поэтому анилитическим способ (те есть на основе расчетов)
установили потребность на вспомогательном участке в 4 единицы оборудования.
Расчётный метод имеет весьма существенные недостатки:
использование коэффициента неравномерности входящего потока приводит,
зачастую, к неоправданному завышению потребного количества единиц оборудования;
не учитывается вероятностный характер производственного процесса (то есть
колеблимость временных параметров производственного процесса);
округление до большего целого также приводит к появлению избыточных
резервных мощностей.
При использовании графического метода расчёта потребного количества
единиц оборудования строятся графики ремонтов. Для их построения используются
длительности операций, которые можно скорректировать с учётом технологических и
нециклических операций.
Также определим потребное количество единиц вспомогательного оборудования
при производстве продукции В, которая является наиболее востребованной.
Проведём анализ системы на определение такта процесса.
Таблица 6 - Минимальный такт работы i-ой ступени при изменении количества
оборудования во вспомогательной фазе
|
№ фазы, i
|
Скорректированная длительность операции, Количество единиц
оборудования в каждой фазе, УiМинимальный такт работы i-ой ступени,
|
|
|
|
1
|
86,1
|
3
|
28,7
|
|
2
|
94,7
|
3
|
31,57
|
|
1
|
86,1
|
2
|
43,05
|
|
1
|
86,1
|
4
|
21,53
|
|
1
|
86,1
|
5
|
17,22
|
Таким образом, проанализировав таблицу 6, можно сделать вывод, что при
четырёх и при трех единицах вспомогательного оборудования - узкое место вторая
фаза, а при двух единицах вспомогательного оборудования - узкое место первая
фаза.
У1 = 5;
R = max{17,22;31,57} = 31,57;
У1 = 4;
R = max{21,53;31,57} = 31,57;
У1 = 3;
R = max{28,7;31,57} = 31,57;
У1 = 2;
R = max{43,05; 31,57} = 43,05.
При У1 = 3 достигается минимальный такт процесса и дальнейшее увеличение
количества единиц оборудования на вспомогательном участке не приведет к уменьшению
такта (узким местом будет оставаться основная ступень), а приведет лишь к
увеличению единовременных и текущих (эксплуатационных) затрат. А значит,
дальнейшее увеличение экономически не целесообразно. Таким образом, оптимальным
следует признать с тремя единицами оборудования на вспомогательном участке.
Построим график производственного процесса при наличии четырёх, трех и
двух единиц оборудования на вспомогательном участке.
Длительность простоев при двух единицах оборудования на вспомогательном
участке:
Производительность установившегося процесса:
Длительность простоев при трех единицах оборудования на вспомогательном
участке:
Производительность установившегося процесса:
Длительность простоев при четырёх единицах оборудования на
вспомогательном участке:

Длительность простоев при пяти единицах оборудования на вспомогательном
участке:
Производительность установившегося процесса:
Более точный результат о количестве единиц потребного вспомогательного
оборудования можно получить с использованием информации о потерях от простоев
оборудования на участках.
(56)
где
количество
циклов, которое необходимо совершить оборудованию при j-ом варианте организации
системы;

такт
процесса, мин.
(57)
где

суммарная
величина простоев оборудования i-ой фазы по j-ому варианту организации системы,
мин.;

длительность
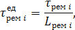
простоев оборудования i-ой фазы по j-ому варианту организации системы, мин.
Графики
производственного процесса при производстве продукции вида В приведены на
рисунках 7, 8, 9 соответственно при наличии 2, 4, 5 единиц вспомогательного
оборудования. График производственного процесса при 3 единицах вспомогательного
оборудования был приведен ранее (рисунок 3).
Рисунок
7 - График производственного процесса при производстве продукции В при
устройстве двух единиц вспомогательного оборудования
Тогда,
для I варианта организации системы (то есть при наличии
двух единиц вспомогательного оборудования) количество циклов оборудования
составит:
А
величина простоев оборудования 1 и 2 фаз соответственно определиться:
Рисунок
8 - График производственного процесса при производстве продукции В при устройстве
четырех единиц вспомогательного оборудования
Рисунок
9 - График производственного процесса при производстве продукции В при
устройстве пяти единицах вспомогательного оборудования
Для
второго варианта организации (при наличии трех единиц вспомогательного
оборудования):
Для
третьего варианта организации (при наличии четырех единиц вспомогательного
оборудования):
Для
четвертого варианта организации (при наличии пяти единиц вспомогательного
оборудования):
Суммарные
издержки определим по формуле 58:
(58)
где
суммарные потери в системе связанные с простоем каналов обслуживания по j-ому
варианту организации ее работы, руб./т;

потери от
простоев оборудования в соответствующей фазе, руб./мин;

нормативный
коэффициент сравнительной экономической эффективности капитальных вложений,
доли единицы (
;

интервал
моделирования, сутки;

капитальные
вложения в расчёте на единицу оборудования на вспомогательном участке, руб.;

количество
единиц оборудования на участке i, шт.;

объем
производства системы за интервал моделирования по j-ому варианту организации
системы, т.
j -
номер варианта.
Критерий оптимальности:
(59)
Представим графически зависимость целевой функции от количества каналов
обслуживания на вспомогательной ступени.
Рисунок 10 - Значение целевой функции в зависимости от количества единиц
вспомогательного оборудования для продукции В
Таким образом, оптимальным, при данных условиях, по критерию «минимум
издержек в системе связанных с простоем каналов обслуживания» является вариант
с тремя единицами оборудования на вспомогательной ступени. Аналогичным образом
можно отыскать оптимальные пропорции для других видов продукции.
Расчет оптимального количества единиц вспомогательного оборудования
графическим методом имеет ряд недостатков: не учитывается вероятностный
характер производственного процесса, недостаточно полно учитывается характер
связей между фазами. Для учета данных факторов необходимо использовать
имитационное моделирование.
3.
Моделирование оптимальной производственной структуры системы
.1 Постановка
задачи
Необходимо определить оптимальные пропорции в производственной системе,
исходя из условия отсутствия ограничений на объемы потребления продукции и
поставок исходного сырья, материалов и полуфабрикатов, а также неизменного
(постоянного) количества единиц основного оборудования. Т.е. объем производства
системы не будет превышать производственной мощности основной фазы.
Задача поиска оптимальных пропорций сводится к обоснованию оптимального
количества единиц вспомогательного оборудования, исходя из условия обеспечения
наиболее высокого уровня использования производственной мощности системы.
Недостаточное количество вспомогательного оборудования хотя и обеспечивает
высокий уровень использования его производственных мощностей, приводит к недостаточно
полной загрузки основного оборудования его простоям. Избыточное количество
единиц вспомогательного оборудования хотя и обеспечивает наиболее высокий
уровень использования производственной мощности основного участка, приводит к
недостаточно полному использованию производственной мощности вспомогательного
участка, простоям и потерям (текущим и единовременным). Т.о. для выбора
оптимального варианта производственной структуры системы из возможных
вариантов, отличающихся количеством единиц вспомогательного оборудования
необходимо использовать критерий, учитывающий указанные обстоятельства.
3.2
Формирование критерия оптимальности
В качестве критерия оптимальности при решении задачи обоснования
оптимального количества единиц вспомогательного оборудования используется
показатель - минимум суммарных издержек (текущих и единовременных) в расчете на
одну единицу продукции.
Критерий оптимальности:
,(60)
где
- суммарные издержки в системе при h-том
варианте организации производственной системы в расчете на одну единицу
продукции, руб.:
,(61)
где
- значение целевой функции по вариантам организации
производственной системы при производстве l-го вида
продукции, руб.:
,(62)
где
- потери от простоя средств труда в i-й
фазе по h-му варианту организации производственной системы при
производстве l-го вида продукции за год, руб.;
- потери
от пролёживания предметов труда перед i-й фазой по h-му
варианту организации производственной системы при производстве l-го
вида продукции за год, руб.;
Ен
- нормативный коэффициент сравнительной экономической эффективности капитальных
вложений, Ен=0,2;
-
интервал моделирования (примем
=1 год);
-
капиталовложения по h-му варианту организации производственной системы,
руб.:
,(63)
где
- капитальные вложения в расчете на одну единицу
оборудования на вспомогательном участке, руб.;
-
количество единиц вспомогательного оборудования при h-ом варианте
организации производственной системы;

объем
производимой продукции по h-му варианту организации производственной системы при
производстве l-го вида продукции за год, т:
(64)
где

количество
обслуживаемых заявок по h-му варианту организации производственной системы при
производстве l-го вида продукции за год;

средняя
масса единицы готовой продукции, т.
Потери
от простоя средств труда в i-й фазе по h-му варианту организации
производственной системы при производстве l-го вида
продукции за год определяются по формуле:
,(65)
где
- продолжительность простоев средств труда в i-й
фазе по h-му варианту организации производственной системы при
производстве l-го вида продукции за год, машино-мин;
-
издержки от простоев канала обслуживания в i-й фазе,
руб./мин.
Потери
от пролеживания предметов труда перед i-й фазой по h-му
варианту организации производственной системы при производстве l-го
вида продукции за год определяются по формуле:
,(66)
где
- продолжительность пролеживания предметов труда перед
i-й фазой по h-му варианту организации
производственной системы при производстве l-го вида
продукции за год, заявко-мин.;
-
издержки от простоев заявки в очереди перед i-й фазой,
руб./мин.
.3 Краткая
характеристика модели
Для моделирования вариантов производственной системы в курсовом проекте
используется учебная имитационная модель двухфазной многоканальной системы
массового обслуживания. Данная модель относится к классу вероятностных
(стохастических) моделей.
Объект моделирования - система массового обслуживания (двухфазная
многоканальная СМО) с ожиданием и с ограниченной длинной очереди перед фазой.
В качестве случайных величин в модели выступает временные параметры.
При построении моделирующего алгоритма использован принцип особых
состояний. Шаг моделирования - случайный, он равен интервалу между текущим
моментом модельно времени и ближайшим особым моментом. В качестве особых
моментов времени выступают: моменты прибытия заявок в систему, моменты начала и
окончания обслуживания заявки в каждой фазе. Случайными величинами являются
временные параметры работы оборудования (длительности обслуживания заявки), а
также интервал поступления заявок в систему. При построении моделирующей
программы использован модульный подход. Схема моделирующей программы
представлена на рисунке 10.
Рисунок 10 - Схема моделирующей программы
Схема моделирующего алгоритма, расшифровка условных обозначений,
используемых в этой схеме, а также описание работы операторов приведены в приложениях Б и В.
3.4
Планирование модельных экспериментов и проведение моделирования
Планирование модельных экспериментов включает:
) определение альтернативных вариантов, которые необходимо рассмотреть;
) определение количества прогонов модели, которое требуется сделать.
Расчётный и графический методы определения количества потребных единиц
оборудования во второй фазе показали, что, целесообразно проводить
моделирование и рассчитывать критерий оптимальности при наличии на основной
фазе двух, трёх, четырёх единиц оборудования. Однако в целях проверки
правильности расчетов моделирование проведение при наличии от двух до 5 единиц
включительно.
Состав ситуаций определим тем, что одновременно на ремонте может
находиться не более одной единицы оборудования в фазе.
Исходные данные для проведения моделирования по вариантам и всем
экспериментам приведены в приложении Д для каждого вида продукции.
Тм примем равным 1 суткам (1440 минут) для удобства дальнейших расчетов.
Т3 примем равным нулю, так как процесс рассматривается с начала
функционирования системы. М2 возьмем равной 1. М1 примем равным 1 для
исключения простоев вспомогательного участка из-за отсутствия заявок. Y(N) примем равной нулю. Y1(1) также примем равной нулю. S2 примем равной нулю, поскольку внешние факторы не оказывают
влияния на данную величину. Значения показателей Р1 и S1 приведены в исходных данных.
На основании исходных данных, подготовленных в приложении Д, по описанной
выше модели проведем модельные эксперименты. Данные для расчета суммарных
издержек системы, полученные по результатам экспериментов, разместим в
приложении Е.
3.5 Оценка результатов модельных экспериментов и выбор оптимального
варианта производственной структуры системы
Опираясь на полученные данные, рассчитаем суммарные издержки системы по k-ому варианту организации при
производстве одной единицы l-ого
вида изделия. Приведём пример расчёта суммарных издержек системы при
производстве продукции по второму варианту организации, то есть при нахождении
на вспомогательной фазе трех единиц оборудования.
В связи с тем, что связь между фазами жесткая, то необходимо учитывать и
суммарное время простоев заявок в очереди перед первой фазой.
Суммарные издержки в системе по I-ому варианте её организации:
Аналогично рассчитаем суммарные издержки в системе по I, III, IV
вариантам производственной организации системы и результаты расчетов сведем в
таблицу 7.
Таблица 7 - Издержки системы при различных вариантах ее организации
|
Издержки по видам продукции, j
|
Вариант производственной организации системы, i
|
|
I
|
II
|
III
|
IV
|
|
A, руб/т
|
53,85
|
48,06
|
56,94
|
69,25
|
|
B, руб/т
|
44,71
|
46,00
|
59,26
|
73,45
|
|
C, руб/т
|
64,94
|
56,04
|
66,17
|
83,75
|
|
Суммарные издержки, руб/т
|
53,16
|
49,82
|
61,33
|
76,43
|
Представим графически зависимость целевой функции от количества каналов
обслуживания на вспомогательной ступени.
Рисунок 17 - Значение целевой функции в зависимости от количества единиц
вспомогательного оборудования
Таким образом, используется показатель минимум суммарных издержек от
простоев оборудования, оптимальным следует признать II-ой вариант организации производственной системы, то есть
вариант при наличии трех единиц оборудования на вспомогательном участке.
Результаты моделирования подтвердили выводы об оптимальном количестве
вспомогательного оборудования, сделанные на основе графического и расчётного
методов.
3.6
Разработка рекомендаций по повышению уровня организованности производственной
системы
На основе произведенных расчетов и исходных данных было выявлено, что
производственная система организована оптимальным образом, поскольку наиболее
высокий уровень производительности системы при минимуме издержек достигается
при наличии на вспомогательном участке трех единиц оборудования. Данное
количество и было установлено на первой фазе производственной системы.
Поэтому повышение производительности будет возможным в рассматриваемом
случае лишь при изменении технологии производства, замене существующего
оборудования на усовершенствованные образцы с более высокими техническими
характеристиками как основного, так и вспомогательного оборудования.
Заключение
В данном курсовом проекте был осуществлен анализ двухфазной
производственной системы, выпускающей 3 вида продукции заданной доли в общем
объеме выпуска.
Производственная
мощность системы была определена посредством структурно-статического и
структурно-динамического анализа и составила соответственно 
т и 
т.
Расхождение в результатах объясняется изменением узкого места системы. Если бы
узкое место оставалось неизменным, то результаты расчетов бы совпали и составил
т.
Коэффициент структурной согласованности составляет 93,76%, что свидетельствует
о средней степени эффективности системы.
Посредством
имитационного моделирования было определено оптимальное количество единиц
вспомогательного оборудования. Результаты расчетов выявили, что система
организована оптимальным образом, поскольку расчетное количество единиц
оборудования совпало с исходным.
Список
использованных источников
1. Производственный менеджмент: Учебник для вузов. 4-е
изд. / Р.А. Фатхутдинов. - СПб.: Питер, 2003. - 491 с.
2. Степанов И.Г. Организация производства на
предприятиях черной металлургии / И.Г.Степанов. - М.: Металлургия, 1992. - 55
с.
. Ефимов Н.А., Видяйкин Ю.И., Степанов И.Г.
Совершенствование организации и планирования производства в
кислородно-конвертерных цехах. - М.: Металлургия, 1992. - 112 с.
. Организация производства и управление предприятием:
Учебник / Туровец О.Г., Бухалков М.И., Родинов В.Б. и др.; под ред. О.Г.
Туровца. - 2-е изд. - М.: ИНФРА-М, 2009. - 544 с.
Приложения
Приложение А
Таблица А.1 - Исходные данные
|
Наименование показателей
|
14
|
|
Число каналов обслуживания: в фазе 1 в фазе 2
|
3 3*
|
|
Предельная длина очереди (количество заявок)
перед фазой 1 фазой 2
|
4 3
|
|
Структура выпускаемого сортамента, % в общем
объеме: А В С
|
15 50 35
|
|
Интервал поступления заявок в систему, мин.
|
30
|
|
СКО интервала поступления заявок в систему
|
0,81
|
|
Среднее время обслуживания заявки на основном
участке по видам продукции, мин: А В С
|
85 90 100
|
|
СКО времени обслуживания заявки на основном
участке по видам продукции: А В С
|
2,50 2,80 3,00
|
|
Среднее время обслуживания заявки на
вспомогательном участке по видам продукции, мин: А В С
|
90 75 105
|
|
СКО времени обслуживания заявки на
вспомогательном участке по видам продукции: А В С
|
4,0 3,6 5,2
|
|
Фактический объем производства готовой
продукции за год, тыс. т
|
1800
|
|
Коэффициент прямых затрат первой фазы
|
1,10
|
|
Средняя масса единицы готовой продукции, т
|
150
|
|
Фактическое время работы основного оборудования
по отчету за год, агрегато-сутки
|
895
|
|
Нормативная величина текущих простоев на
основном участке, % к номинальному времени
|
5
|
|
Нормативная величина технически необходимых
простоев и нециклических операций на вспомогательном участке за сутки в
расчете на одну единицу оборудования, мин.
|
186
|
|
Суммарная продолжительность ремонтов одной
единицы основного оборудования за год (по нормативам), сутки
|
35
|
|
Суммарная продолжительность ремонтов одной
единицы вспомогательного оборудования за год (по нормативам), сутки
|
15
|
|
Издержки от простоев канала обслуживания,
руб./мин.: фазы 1 фазы 2
|
350 11600
|
|
Издержки от простоев заявки в очереди,
руб./мин.: фазы 1 фазы 2
|
8,0 5,0
|
|
Капитальные вложения в расчете на один канал
обслуживания на вспомогательном участке, млн.руб.
|
190
|
Приложение Б
В1 Управляющий модуль
Блоки 1.1, 1.2, 1.3 осуществляют объявления массивов и ввод следующих
исходных данных: Тм; Т3, М1, Р1, У(N), Е1, S1, Т1(К), К1, Е2, S2, У1(N), М2, Р2, Т2(L), L1, Е3, S3, U(К).
Блок 1.4 определяет ближайший из моментов изменения состояния системы.
Блок 1.5 определяет, не наступил ли момент окончания периода
моделирования. В случае окончания периода моделирования блоки 1.8, 1.9 выводят
результаты моделирования на печать. Если момент окончания моделирования еще не
наступил, то блоки 1.6, 1.7 определяют, какой именно из моментов изменения состояния
системы наступил. Если текущий момент модельного времени равен моменту
освобождения К - того канала обслуживания в первой фазе, управление передается
модулю первой фазы, если нет - модулю второй фазы.
В2 Модуль входящего потока
Блок 2.1 проверяет, существуют ли свободные места в очереди перед первой
фазой. Если свободных мест в очереди нет, то в блоке 2.6 происходит
формирование следующего момента прибытия заявки в систему путем приравнивания
текущего момента модельного времени ближайшему моменту освобождения К-того
канала обслуживания, скорректированному на бесконечно малую случайную величину e зацикливания, после чего
осуществляется переход к блоку 1.4.
Если в очереди существуют свободные места, в блоках 2.2 и 2.3 происходит
приращение количества заявок в очереди перед первой фазой и запись в табель
очереди: поступившей заявке присваивается порядковый номер и значение момента
постановки заявки в очередь.
В блоке 2.4 осуществляется формирование случайной величины интервала
поступления заявок в систему e1 на основе математического ожидания Е1 и среднеквадратического
отклонения S1.
В блоке 2.5 происходит формирование следующего момента прибытия заявки в
систему путем увеличения текущего момента модельного времени на вличину
интервала поступления заявок в систему e1, после чего осуществляется переход к блоку 1.4.
В3 Модуль первой фазы
Блок 3.1 интерпретирует момент освобождения К-того канала обслуживания в
первой фазе либо как момент окончания работы этого канала, либо как момент
начала работы. Если это момент начала работы, то происходит переход к блоку
3.6, если момент окончания - блок 3.2 проверяет, существуют ли свободные места
в очереди перед второй фазой. Если свободных мест в очереди нет, то в блоке 3.9
происходит расчет суммарного времени простоев каналов обслуживания в первой
фазе из-за блокировок.
В блоке 3.10 осуществляется формирование следующего момента освобождения
К-того канала обслуживания в первой фазе путем приравнивания текущего
ближайшему моменту освобождения L-того
канала обслуживания, скорректированному на бесконечно малую случайную величину e для того, чтобы избежать
зацикливания, после чего осуществляется переход к блоку 1.4.
Если в очереди существуют свободные места, в блоке 3.3 происходит
приращение количества заявок в очереди перед первой фазой.
В блоке 3.4 признак, идентифицирующий момент освобождения К-того канала
обслуживания первой фазы Т1(К) приравнивается 0.
В блоке 3.5 происходит запись в табель первой очереди перед второй фазой:
поступившей заявке присваивается порядковый номер и значение момента постановки
заявки в очередь.
В блоке 3.6 выясняется наличие в очереди перед первой фазой заявок,
ожидающих обслуживания. Если заявки в очереди отсутствуют, то в блоке 3.7
происходит расчет суммарного времени простоев каналов обслуживания в первой
фазе из-за отсутствия заявок в очереди.
В блоке 3.8 осуществляется формирование следующего момента освобождения
К-того канала обслуживания в первой фазе путем приравнивания текущего
ближайшему моменту поступления заявки в систему, после чего осуществляется
переход к блоку 1.4.
Если в очереди перед первой фазой имеются заявки, то в блоке 3.11
рассчитывается суммарное время простоев заявок в очереди перед первой фазой.
В блоке 3.12 признак, идентифицирующий момент освобождения К-того канала
обслуживания первой фазы Т1(К) приравнивается 1.
Блок 3.13, 3.14 осуществляет сокращение длины очереди перед первой фазой
на одну заявку и сдвиг в табеле очереди на одну единицу влево.
В блоке 3.15 осуществляется формирование случайной величины времени обслуживания
заявки в первой фазе e2
на основе математического ожидания Е2 и среднеквадратического отклонения S2.
В блоке 3.16 происходит формирование следующего момента освобождения
К-того канала обслуживания первой фазы Т1(К) путем увеличения текущего значения
на величину времени обслуживания заявки в первой фазе e2.
В блоке 3.17 происходит выбор следующего канала обслуживания по
минимальному значению момента освобождения К-того канала обслуживания первой
фазы Т1(К), после чего осуществляется переход к блоку 1.4.
В4 Модуль второй фазы
В блоке 4.1 выясняется наличие в очереди перед второй фазой заявок,
ожидающих обслуживания. Если заявки в очереди отсутствуют, то в блоке 4.2
происходит расчет суммарного времени простоев каналов обслуживания во второй
фазе путем приравнивания текущего ближайшему моменту освобождения К-того канала
обслуживания в первой фазе, после чего осуществляется переход к блоку 1.4. Если
в очереди перед первой фазой имеются заявки, то в блоке 4.4 рассчитывается
количество обслуженных за рассмотренный период заявок.
В блоке 4.5 рассчитывается суммарное время простоев заявок в очереди
перед второй фазой.
Блок 4.6, 4.7 осуществляют сокращение длины очереди перед второй фазой на
одну заявку и сдвиг в табеле очереди на одну единицу влево.
В блоке 4.8 осуществляется формирование случайной величины времени
обслуживания заявки во второй фазе e2 на основе математического ожидания Е3 и
среднеквадратического отклонения S3.
В блоке 4.9 происходит формирование следующего момента освобождения L-того канала обслуживания первой фазы
Т2(L) путем увеличения текущего значения
на величину времени обслуживания заявки во второй фазе e3.
В блоке 4.10 происходит выбор следующего канала обслуживания по
минимальному значению момента освобождения L-того канала обслуживания первой фазы Т2(L), после чего осуществляется переход
к блоку 1.4.
Приложение Г
Таблица Г.1 - Исходные данные для проведения моделирования по вариантам и
необходимым прогонам для производства продукции А
|
Показатели
|
Вариант производственной организации системы
|
|
2 - 3*
|
3 - 3*
|
4 - 3*
|
5 - 3*
|
|
Период моделирования,  1440
|
|
|
Число каналов обслуживания в фазе 1,  2345
|
|
|
|
|
|
Число каналов обслуживания в фазе 2,  3
|
|
|
Предельная длина очереди перед фазой 1,  4
|
|
|
Число заявок в очереди перед фазой 1,  1
|
|
|
Предельная длина очереди перед фазой 2,  3
|
|
|
Число заявок в очереди перед фазой 2,  1
|
|
|
Момент поступления заявки в систему,  0
|
|
|
Математическое ожидание интервала поступления
заявки в систему,  (30-20%)24
|
|
|
СКО величины интервала поступления заявки в
систему,  0
|
|
|
Математическое ожидание величины времени
обслуживания заявки в фазе 1,  90
|
|
|
СКО величины времени обслуживания в фазе 1,  4
|
|
|
Математическое ожидание величины времени
обслуживания заявки в фазе 2,  85
|
|
|
СКО величины времени обслуживания в фазе 2,  2,5
|
|
|
Момент освобождения канала в фазе 1:
|
|
|
|
|
|
1
|
0
|
0
|
0
|
0
|
|
2
|
44,74
|
29,82
|
22,37
|
17,89
|
|
3
|
-
|
59,64
|
44,74
|
35,78
|
|
4
|
-
|
-
|
67,11
|
53,67
|
|
5
|
-
|
-
|
-
|
71,56
|
|
Момент освобождения канала в фазе 2:
|
|
|
|
|
|
1
|
0
|
0
|
0
|
0
|
|
2
|
31,57
|
31,57
|
31,57
|
31,57
|
|
3
|
63,14
|
63,14
|
63,14
|
63,14
|
|
Момент поступления заявки в очередь перед фазой
1,  0
|
|
|
Момент поступления заявки в очередь перед фазой
2,  1
|
|
|
|
|
|
|
|
|
|
Таблица Г.2 - Исходные данные для проведения моделирования по
вариантам и необходимым прогонам для производства продукции В
|
Показатели
|
Вариант производственной организации системы
|
|
2 - 3*
|
3 - 3*
|
4 - 3*
|
5- 3*
|
|
Период моделирования,  1440
|
|
|
Число каналов обслуживания в фазе 2,  2345
|
|
|
|
|
|
Число каналов обслуживания в фазе 1,  3
|
|
|
Предельная длина очереди перед фазой 1,  4
|
|
|
Число заявок в очереди перед фазой 1,  1
|
|
|
Предельная длина очереди перед фазой 2,  3
|
|
|
Число заявок в очереди перед фазой 2,  1
|
|
|
Момент поступления заявки в систему,  0
|
|
|
Математическое ожидание интервала поступления
заявки в систему,  (30-20%)24
|
|
|
СКО величины интервала поступления заявки в
систему,  0
|
|
|
Математическое ожидание величины времени
обслуживания заявки в фазе 1,  75
|
|
|
Окончание таблицы Г.2
|
|
СКО величины времени обслуживания в фазе 1,  3,6
|
|
|
Математическое ожидание величины времени
обслуживания заявки в фазе 2,  90
|
|
|
СКО величины времени обслуживания в фазе 2,  2,8
|
|
|
Момент освобождения канала в фазе 1:
|
|
|
|
|
|
1
|
0
|
0
|
0
|
0
|
|
2
|
47,35
|
31,56
|
23,68
|
18,94
|
|
3
|
-
|
63,12
|
47,36
|
37,88
|
|
4
|
-
|
-
|
71,04
|
56,82
|
|
5
|
-
|
-
|
-
|
75,76
|
|
Момент освобождения канала в фазе 2:
|
|
|
|
|
|
1
|
0
|
0
|
0
|
0
|
|
2
|
28,7
|
28,7
|
28,7
|
|
3
|
57,4
|
57,4
|
57,4
|
57,4
|
|
Момент поступления заявки в очередь перед фазой
1,  0
|
|
|
Момент поступления заявки в очередь перед фазой
2,  1
|
|
|
|
|
|
|
|
|
|
Таблица Г.3 - Исходные данные для проведения моделирования по
вариантам и необходимым прогонам для производства продукции С
|
Показатели
|
Вариант производственной организации системы
|
|
2- 3*
|
3 - 3*
|
4 - 3*
|
5 - 3*
|
|
Период моделирования,  1440
|
|
|
Число каналов обслуживания в фазе 2,  2345
|
|
|
|
|
|
Число каналов обслуживания в фазе 1,  3
|
|
|
Предельная длина очереди перед фазой 1,  4
|
|
|
Число заявок в очереди перед фазой 1,  1
|
|
|
Предельная длина очереди перед фазой 2,  3
|
|
|
Число заявок в очереди перед фазой 2,  1
|
|
|
Момент поступления заявки в систему,  0
|
|
|
Математическое ожидание интервала поступления
заявки в систему,  (30-20%)24
|
|
|
СКО величины интервала поступления заявки в
систему,  0
|
|
|
Математическое ожидание величины времени обслуживания
заявки в фазе 1,  105
|
|
|
СКО величины времени обслуживания в фазе 1,  5,2
|
|
|
Математическое ожидание величины времени
обслуживания заявки в фазе 2,  100
|
|
|
СКО величины времени обслуживания в фазе 2,  3
|
|
|
Момент освобождения канала в фазе 1:
|
|
|
|
|
|
1
|
0
|
0
|
0
|
0
|
|
2
|
52,63
|
35,09
|
26,32
|
21,05
|
|
3
|
-
|
70,18
|
52,64
|
42,10
|
|
4
|
-
|
-
|
78,96
|
63,15
|
|
5
|
-
|
-
|
-
|
84,20
|
|
Момент освобождения канала в фазе 2:
|
|
|
|
|
|
1
|
0
|
0
|
0
|
0
|
|
2
|
36,84
|
36,84
|
36,84
|
36,84
|
|
3
|
73,68
|
73,68
|
73,68
|
73,68
|
|
Момент поступления заявки в очередь перед фазой
1,  0
|
|
|
Момент поступления заявки в очередь перед фазой
2,  1
|
|
Таблица Д.1 - Результаты моделирования по процессу
производства продукции А
|
Вариант производственной организации системы
|
|
|
2 - 3*
|
3 - 3*
|
4 - 3*
|
5 - 3*
|
|
|
№ фазы
|
1
|
2
|
1
|
2
|
1
|
2
|
1
|
2
|
|
|
Количество единиц оборудования
|
2
|
3
|
3
|
3
|
4
|
3
|
5
|
3
|
|
|
Суммарное время простоев каналов обслуживания
из-за отсутствия заявок, мин.
|
0
|
1266,21
|
0
|
0
|
0
|
0
|
0
|
0
|
|
|
Суммарное время простоев каналов обслуживания
из-за блокировок, мин.
|
0
|
|
0
|
|
1138,13
|
|
2577,93
|
|
|
|
Суммарное время простоев каналов обслуживания,
мин.
|
0
|
1266,21
|
0
|
0
|
1138,13
|
0
|
2577,93
|
0
|
|
|
Суммарное время простоев заявок в очереди, мин.
|
4879,21
|
3862,20
|
1914,71
|
3674,71
|
22,67
|
3790,52
|
17,94
|
3887,54
|
|
|
Количество обслуживаемых заявок
|
33
|
48
|
51
|
52
|
|
|
Количество заявок в очереди перед каждой фазой
|
4
|
3
|
3
|
3
|
0
|
3
|
0
|
2
|
Таблица Д.2 - Результаты моделирования по процессу
производства продукции В
|
Вариант производственной организации системы
|
|
|
2 - 3*
|
3 - 3*
|
4 - 3*
|
5 - 3*
|
|
|
№ фазы
|
1
|
2
|
1
|
2
|
1
|
2
|
1
|
2
|
|
|
Количество единиц оборудования
|
2
|
3
|
3
|
3
|
4
|
3
|
5
|
3
|
|
|
Суммарное время простоев каналов обслуживания
из-за отсутствия заявок, мин.
|
0
|
508,33
|
0
|
0
|
0
|
0
|
0
|
0
|
|
|
Суммарное время простоев каналов обслуживания
из-за блокировок, мин.
|
0
|
|
678,62
|
|
2073,41
|
|
3490,76
|
|
|
|
Суммарное время простоев каналов обслуживания,
мин.
|
0
|
508,33
|
678,62
|
0
|
2073,41
|
0
|
3490,76
|
0
|
|
|
Суммарное время простоев заявок в очереди, мин.
|
4254,56
|
3851,22
|
27,70
|
3729,82
|
20,52
|
3793,08
|
16,22
|
3837,60
|
|
|
Количество обслуживаемых заявок
|
39
|
48
|
49
|
49
|
|
|
Количество заявок в очереди перед каждой фазой
|
4
|
3
|
0
|
3
|
0
|
3
|
0
|
3
|
Таблица Д.3 - Результаты моделирования по процессу
производства продукции С
|
Вариант производственной организации системы
|
|
|
2 - 3*
|
3 - 3*
|
4 - 3*
|
5 - 3*
|
|
|
№ фазы
|
1
|
2
|
1
|
2
|
1
|
2
|
1
|
2
|
|
|
Количество единиц оборудования
|
3
|
2
|
3
|
3
|
3
|
4
|
3
|
5
|
|
|
Суммарное время простоев каналов обслуживания
из-за отсутствия заявок, мин.
|
0
|
1149,94
|
0
|
0
|
0
|
0
|
0
|
0
|
|
|
Суммарное время простоев каналов обслуживания
из-за блокировок, мин.
|
0
|
|
4,12
|
|
1231,36
|
|
2565,69
|
|
|
|
Суммарное время простоев каналов обслуживания,
мин.
|
0
|
1149,94
|
4,12
|
0
|
1231,36
|
0
|
2565,69
|
0
|
|
|
Суммарное время простоев заявок в очереди, мин.
|
4480,52
|
3791,91
|
1602,35
|
3961,46
|
26,63
|
4015,67
|
21,11
|
3898,91
|
|
|
Количество обслуживаемых заявок
|
27
|
41
|
44
|
43
|
|
|
Количество заявок в очереди перед каждой фазой
|
4
|
3
|
3
|
3
|
0
|
3
|
0
|
3
|