Анализ переходного режима функционирования территориальной системы контроля транспорта
Министерство Образования Республики Беларусь
Белорусский Национальный Технический Университет
Машиностроительный факультет
КУРСОВАЯ РАБОТА
по дисциплине
«СИСТЕМОТЕХНИКА И СИСТЕМЫЙ АНАЛИЗ
БОЛЬШИХ СИСТЕМ»
на тему
«АНАЛИЗ ПЕРЕХОДНОГО РЕЖИМА ФУНКЦИОНИРОВАНИЯ
ТЕРРИТОРИАЛЬНОЙ СИСТЕМЫ КОНТРОЛЯ ТРАНСПОРТА»
Выполнил:
студент гр. 103610
Сокольников
М. Д.
Научный
руководитель
Зайцев
Владимир Михайлович
Минск-2014г.
Введение
В данной работе будет проведен анализ переходного режима функционирования
территориальной системы контроля транспорта.
В проекте необходимо:
1. построить структурную схему системы по ее
функционально-лингвистическому описанию;
2. синтезировать граф реализации и взаимодействия системных
процессов;
. для переходного режима функционирования рассчитать вероятности
нахождения системы в различных состояниях как функции времени (10…12 точек) и
оценить длительность переходного процесса, по завершении которого система
переходит в стационарный режим;
. на основании расчетов произвести анализ влияния среднего времени
контроля транспортного средства на длительность переходного процесса в системе.
1. Решение
задач синтеза графов реализации и взаимодействия системных процессов для систем
с множеством дискретных состояний
Обширный класс реальных систем допускает выделение конечного (счетного)
или бесконечного множества дискретных состояний, которые образуют функционально
полный набор возможных состояний системы. Функционально полный набор возможных
состояний системы отличается тем свойством, что суммарная вероятность
нахождения системы в этих состояниях равна 1. Допустим, что выделено множество
возможных состояний системы
вероятности
нахождения системы в момент времени t в состояниях
Набор
возможных состояний будет функционально полным, если для любого момента времени
t будет выполняться равенство
Построение
функционально полного набора дискретных состояний реальной системы позволяет
определить ее возможные переходы из одних состояний в другие под действием
внешних и внутренних системных процессов. В результате возникают предпосылки
синтеза ориентированного графа, который отражает общую динамику функционирования
системы и схему изменения ее возможных состояний.
Синтез
ориентированных графов реализации и взаимодействия системных процессов для
систем с множеством дискретных состояний является важнейшей задачей
системотехники.
Уровень
детализации возможных состояний системы определяет размерность будущего графа,
а, следовательно, и всех системных уравнений. Желание разработчика подробно
специфицировать все детали и особенности функционирования системы неминуемо
сопровождается ростом размерности. Разумная граница детализации должна
определяться целями системного исследования.
Общая
методика решения задач синтеза графов реализации и взаимодействия системных
процессов для систем с множеством дискретных состояний предполагает выполнение
следующих этапов:
специфицировать
возможные дискретные состояния в соответствии с целями системного исследования
и построить функционально полный набор состояний;
для
каждого возможного состояния системы специфицировать процессы и события, под
действием которых система может переходить в другие состояния;
построить
граф реализации и взаимодействия процессов путем замыкания для каждого
возможного состояния системы дуг переходов в другие состояния;
верифицировать
граф, т.е. провести проверку в целях установления истинности синтезированного
графа [2].
.
Построение конструктивных моделей для стохастических систем с конечным
множеством дискретных состояний
Системный
анализ предполагает, что в соответствии с принципом моделируемости сложных
объектов и явлений реального мира для изучения конкретных свойств определенной
системы может быть применена ее модель. Под моделью понимается вспомогательное
средство, которое для достижения конкретных целей заменяет сложный объект или
явление реального мира. Схема системного анализа требует последовательного перехода
от общесистемной модели функционирования к системной модели, а от системной - к
конструктивной. Именно конструктивная модель системы позволяет получить
желаемые прагматические параметры и характеристики.
Значительное
множество систем при изучении может быть заменено линейными стохастическими
моделями с конечным множеством дискретных состояний и с простейшими потоками.
Для
подобных систем существуют регулярные методы построения аналитических
конструктивных моделей, которые описывают динамику реализации и взаимодействия
системных процессов и позволяют оценить интегративные свойства системы. Синтез
аналитических конструктивных моделей заключается в построении базовых
уравнений, последующее решение которых позволяет получить вероятности
нахождения системы в отдельных состояниях, как для нестационарного, так и для
стационарного режима функционирования. Знание вероятностей нахождения системы в
отдельных состояниях создает основу для определения различных прагматических
параметров и характеристик. Первым этапом построения конструктивной модели
системы с конечным множеством дискретных состояний является синтез графа
реализации и взаимодействия системных процессов. Будем полагать, что для
некоторой системы в соответствии с постановкой задачи граф реализации и взаимодействия
системных процессов построен. Кроме того, будем полагать, что в такой системе
граф G задан множеством вершин
и
множеством дуг
Поскольку
каждая дуга dj графа отображает возможный переход системы из некоторого
состояния hi1, в некоторое состояние hi2 под
воздействием определенного потока событий, то все дуги графа предварительно
необходимо нагрузить интенсивностями соответствующих потоков событий
Указанные
интенсивности потоков событий устанавливаются по результатам анализа постановок
задач и сводятся в табл. 1.
Таблица
1
|
Номер дуги
|
1
|
2
|
3
|
∙∙∙
|
M
|
|
Номера инцидентных узлов
|
hi1 hi2
|
hi3,
hi4
|
hi5,
hi6
|
∙∙∙∙
|
∙∙∙∙∙∙
|
|
Интенсивности потоков событий (с-1)
|
L1
|
L2
|
L1
|
∙∙∙
|
LM
|
Рассмотрим фрагмент графа реализации и взаимодействия системных процессов
с некоторым состоянием hi (1).
Рисунок 1
Предположим, что в состояние hi возможен переход из некоторых состояний hi1, hi2,
..., himi под действием потоков событий с
интенсивностями Li1, Li2, …, Limi соответственно. Кроме того, будем полагать, что из
состояния hi, возможен переход в некоторые
состояния hj1, hj2, ..., hjni
под действием потоков событий с интенсивностями Lj1, Lj2,
…, Ljmi соответственно. Предполагается, что
все потоки событий являются простейшими.
Для всех состояний могут быть построены следующие дифференциальные
уравнения, образующие систему:
Так
как возможные состояния системы образуют функционально полный набор, то эта
система должна быть дополнена нормирующим уравнением:

Существует
более простое правило практического составления дифференциальных уравнений на
основе графа реализации и взаимодействия системных процессов: производная
вероятности нахождения системы в любом состоянии равна сумме произведений
интенсивностей потоков и соответствующих вероятностей нахождения системы в
состояниях, из которых возможен переход в рассматриваемое состояние под
воздействием этих потоков, при этом сумма должна быть уменьшена на величину
произведения вероятности нахождения системы в рассматриваемом состоянии и суммы
интенсивностей потоков, переводящих систему из рассматриваемого состояния в
другие состояния.
Решение
системы дифференциальных уравнений совместно с нормирующим уравнением дает
вероятности нахождения системы в возможных состояниях для неустановившегося
режима функционирования.
В
результате строятся таблицы функций
которые
соответствуют вероятностям нахождения исследуемой системы в различных
состояниях для нестационарного режима функционирования.
При
под действием стационарных потоков событий система
переходит в стационарный режим, когда все вероятности перестают зависеть от
времени, а производные от них обращаются в нуль.
Стационарному
режиму соответствует система линейных алгебраических уравнений вида
Решение соответствует значениям финальных вероятностей пребывания системы
в различных состояниях для стационарного режима функционирования.
Следует отметить, что для получения решения системы линейных
алгебраических уравнений одно из уравнений с нулевой правой частью должно быть
заменено на нормирующее уравнение [2].
. Построение структурно-функциональной схемы системы
Построение структурно-функциональной схемы системы включает следующие
этапы:
·
Анализ словесного
или словесно-процессуального описания системы, в результате которого выделяют
набор атомарных функций, реализуемых системой. Уровень атомарности определяет
сам разработчик системы;
·
Изображение
элементов, входящих в состав системы, и наделение их выделенными атомарными
функциями;
·
Установление
связей элементами;
·
Упрощение и
укрупнение структурно-функциональной схемы. Выделение общих функций, которые
повторяются в различных «кусках» системы. Группировка функций;
·
Подбор элементов,
которые могут выполнить те или иные функции. Отображение их на структурной
схеме;
·
Оценка
реализуемости.
Построение структурно-функциональной схемы является наглядным и удобным
методом при описании систем.
На рис. 1 приведена структурно-функциональные блоки обнаружения и
регистрации координат объектов в пространственном стробе
Для построения структурно-функциональных блоков составим таблицу блоков,
воспользовавшись функционально-лингвистическим описанием заданной системы.
Каждому блоку, вводимому в систему, припишем определенную функцию. Все блоки
системы приведены в таблице 1.
Таблица 1. Спецификация состояний системы
|
№
|
Наименование блока
|
|
1
|
Блок счетчик транспортных средств
|
|
2
|
Блок регистрации транспортных средств
|
|
3
|
Блок взимания дорожных сборов
|
|
4
|
Блок вывода транспортного средства
|
Определим связи между блоками, входящими в систему. Подробное описание
всех связей приведено в таблице 2.
Таблица 2. Спецификация связей между блоками
|
№
|
N элемента источника
|
N элемента приемника
|
Наименование связи
|
|
1
|
1
|
2
|
Дуплексная
|
|
2
|
2
|
3
|
Дуплексная
|
|
3
|
3
|
4
|
Дуплексная
|
|
4
|
4
|
1
|
Информационная
|
На основании таблицы 1 и таблицы 2 составим структурно-функциональную
схему. Данная схема представлена на рис. 2
. Построение графа реализации и взаимодействия системных процессов
=-
=-
=-
=-
=
=-
=-
=-
=-
=-
Таблица 3. Спецификация связей
|
№
|
N элемента источника
|
Наименование связи
|
|
1
|
0
|
1
|
информационная
|
|
2
|
1
|
2
|
информационная
|
|
3
|
1
|
4
|
управляющая
|
|
4
|
2
|
3
|
информационная
|
|
5
|
2
|
6
|
управляющая
|
|
6
|
3
|
8
|
управляющая
|
|
7
|
4
|
2
|
информационная
|
|
8
|
4
|
5
|
управляющая
|
|
9
|
5
|
6
|
|
|
10
|
5
|
0
|
информационная
|
|
11
|
6
|
3
|
информационная
|
|
12
|
6
|
7
|
управляющая
|
|
13
|
7
|
8
|
информационная
|
|
14
|
7
|
1
|
информационная
|
|
15
|
8
|
9
|
управляющая
|
|
16
|
9
|
2
|
информационная
|
Уравнения
относительно вероятностей нахождения системы в различных состояниях.
Построим совокупность дифференциальных и алгебраических уравнений
относительно вероятностей нахождения системы в различных состояниях.
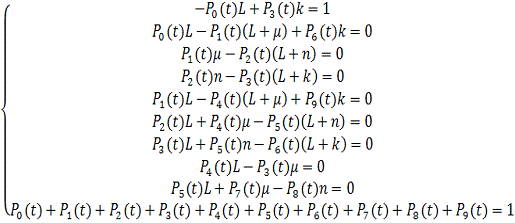
Так, как в данной системе сотояний 10, получаем систему из 10
дифферинциальных уравнений и одного нормирующего:
Переходному режиму функционирования соответствует следующая система
алгебраических уравнений вида:
Начальные условия
При составлении системы одно из уравнений заменяется нормирующим. В нашем
случае было заменено уравнение вида:
Данную систему будем решать численным методом Рунге-Кутта при помощи
математической системы MathCad.
Случайной величиной в нашей задаче является время контроля транспортного
средсва, средние значения которого равны 25с, 35с, 45с. Таким образом, в ходе
решения будут рассмотрены 3 случая.
Задание начальных условий и системы:
Матрица
Р задает начальные условия. Матрица D - систему уравнений. Численное
значение констант взято для первого случая (N = 25c).
Для решения системы дифференциальных уравнений применим функцию rkfixed.
Результат
численного решения приведен в виде графиков - зависимостей вероятности
нахождения системы в различных состояниях от времени Pi(t)
Рисунок
4.1 - Графики вероятности нахождения системы в различных состояниях для N =
25 с.
Рисунок 4.2 - Графики вероятности нахождения системы в различных
состояниях для N= 35 с.
Рисунок
4.3 - Графики вероятности нахождения системы в различных состояниях для N= 45
с.
Численное решение произведено на промежутке от 0 до 800 секунд для
наглядного представления графиков. При их анализе видно, что вероятности с
течением времени стремятся к какому-то константному значению. Причем, вероятности
всех состояний кроме нулевого увеличиваются в начальный период времени. Это
понятно, т.к. в начальный момент времени мы задали вероятность 0-го состояния
равной 1.
Таблица 4.1 - Определение длительности переходных процессов
|
Тпп для N=25 с
|
Тпп для N=35 с
|
Тпп для N=45 с
|
|
Тпп для Р0
|
698
|
791
|
796
|
|
Тпп для Р1
|
566
|
133
|
416
|
|
Тпп для Р2
|
325
|
197
|
457
|
|
Тпп для Р3
|
674
|
198
|
349
|
|
Тпп для Р4
|
483
|
613
|
606
|
|
Тпп для Р5
|
460
|
680
|
638
|
|
Тпп для Р6
|
419
|
492
|
554
|
|
Тпп для Р7
|
789
|
785
|
634
|
|
Тпп для Р8
|
579
|
689
|
659
|
|
Тпп для Р9
|
457
|
607
|
539
|
|
Тпп системы
|
789
|
791
|
796
|
По прошествии переходного процесса вероятности (Pi) равны соответственно:
Таблица 4.2 - Вероятности нахождения системы в различных состояниях при
N=25с
|
Вероятность (N=25c)
|
Значение, полученное решением дифференциальных уравнений
|
Значение, полученное решением линейных уравнений
|
0,504
|
0,5042
|
|
P1
|
0,136
|
0,1355
|
|
P2
|
0,113
|
0,113
|
|
P3
|
0,061
|
0,0605
|
|
P4
|
0,046
|
0,0459
|
|
P5
|
0,057
|
0,0571
|
|
P6
|
0,037
|
0,0371
|
|
P7
|
0,009
|
0,0093
|
|
P8
|
0,021
|
0,0206
|
|
P9
|
0,017
|
0,0168
|
|
Сумма
|
1,001
|
1
|
Таблица 4.3 - Вероятности нахождения системы в различных состояниях при
N=35с
|
Вероятность (N=35c)Значение, полученное решением
дифференциальных уравненийЗначение, полученное решением линейных уравнений
|
|
|
|
P0
|
0,441
|
0,4411
|
|
P1
|
0,126
|
0,1265
|
|
P2
|
0,138
|
0,1383
|
|
P3
|
0,053
|
0,0529
|
|
P4
|
0,05
|
0,0499
|
|
P5
|
0,085
|
0,0848
|
|
P6
|
0,038
|
0,0381
|
|
P7
|
0,009
|
0,01
|
|
P8
|
0,038
|
0,0377
|
|
P9
|
0,021
|
0,0207
|
|
Сумма
|
0,999
|
1
|
Таблица 4.4 - Вероятности нахождения системы в различных состояниях при
N=45с
|
Вероятность (N=45c)Значение, полученное решгением
дифференциальных уравненийЗначение, полученное решением линейных уравнений
|
|
|
|
P0
|
0,3842
|
|
P1
|
0,117
|
0,1171
|
|
P2
|
0,155
|
0,1549
|
|
P3
|
0,046
|
0,0461
|
|
P4
|
0,053
|
0,0534
|
|
P5
|
0,111
|
0,1116
|
|
P6
|
0,038
|
0,0382
|
|
P7
|
0,011
|
0,0107
|
|
P8
|
0,059
|
0,0594
|
|
P9
|
0,024
|
0,0244
|
|
Сумма
|
0,999
|
1
|
В таблицах представлены для сравнения значения, полученные численным
методом при решении системы дифференциальных уравнений и значения, выведенные
путём решения системы алгебраических уравнений с заменой одного из них
нормирующим уравнением. Поиск финишных значений вероятностей осуществлялся при
помощи программного продукта MatLab.
5. Анализ
влияния среднего времени взимания дорожных сборов на длительность переходного
процесса
Сравним два графика. На них изображена зависимость P0(t). Первый график
расчитан для N=25c, а второй - для N=45c.

Рисунок
5.1 - Анализ влияния времени взимания дорожных сборов на длительность
переходного процесса
При
их анализе графиков видно, что переходной процесс для второго случая более
продолжителен. Исходя из этого можно сделать вывод, что при увеличении среднего
времени взимания дорожных сборов время переходного процесса увеличивается.
стохастический
система дорожный сбор
Заключение
В ходе выполнения данной курсовой работы был выполнен анализ переходного
режима функционирования территориальной системы контроля транспорта. Для
определения численных значений уравнений использовалась математическая система
MathCad, а так же программный продукт MatLab. Подсчёт осуществлялся на основе
численного метода
Рунге-Кутта. Было наглядно представлено, что длительность среднего времени
взимания дорожных сборов влияет на время переходного процесса, при этом
увеличение среднего времени контроля транспортного средства сопровождается
увеличением длительности переходных процессов и ухудшением качества
функционирования системы.
Список
используемой литературы
1. Венцель
Е.С. Исследование операций. Задачи, принципы, методология. -М.: Наука, 1988. -
203с.
2. Зайцев,
В.М. Системотехника и системный анализ микросистем: метод. пособие по
выполнению практических работ для студ. спец. 1-55 01 02 «Интегральные
сенсорные системы» / В.М. Зайцев. - Мн.: БНТУ, 2005.
3. Николаев
В.И., Брук В.М. Системотехника: методы и приложения. Ленинград: Машиностроение,
1985.