Анализ диффузионных моделей, применяемых в экономике
Правительство Российской Федерации
Санкт-Петербургский филиал
Федеральное государственное
автономное образовательное учреждение высшего профессионального образования
"Национальный исследовательский университет "Высшая школа
экономики"
Факультет экономики
Кафедра математики
КУРСОВАЯ РАБОТА
на тему: Анализ диффузионных моделей,
применяемых в экономике
Студентки группы № 123
Салимьяновой Э.Ф.
Научный руководитель
Кольцов С.Н.
Санкт-Петербург, 2014 г.
Содержание
Введение
Глава 1. Инновационные модели
.1 Модель Басса
.2 Модель Роджерса
.3 Модель Fourt и Woodlock
.4 Модель Mansfield
Глава 2. Стохастические модели
.1 Модель Монте-Карло
.2 Модель Блэка-Шоулза
.3 Скачкообразно-диффузионная модель
.4 Скачкообразный Марковский процесс
Глава 3. Практическая часть
Заключение
Список литературы
Приложения
Введение
Современный мир развивается быстрыми темпами, так же как и экономическая
система. Кажется невозможным предсказать, что будет завтра, какое воздействие
появление новых технологий окажет на весь рынок, и как изменения случайного
фактора повлияет на товар и на рынок в целом. Математическое моделирование
является одним из основных способов исследования экономических объектов и
процессов. Именно поэтому, развитие диффузионных моделей важно. Благодаря им,
владея определенной статистикой можно сделать прогноз и предположительные
выводы. Возникновение и распространение новых и значительно улучшенных
продуктов на сегодняшний день - обычное явление и носит термин «инновация». Для
определения скорости проникновения инновации в использование используются
именно диффузионные модели.
Целью данной работы является ознакомление с основными математическими
моделями и методами моделирования экономических систем, выбор модели (моделей)
для исследования распространения инновации и продемонстрировать данную модель
для анализа вендоров. В данной работе будут рассмотрены основные инновационные
модели и стохастические модели, которые являются необходимыми при работе с
диффузионными моделями, так как большинство функций нельзя задать однозначно и
в них присутствуют переменные. Так же будут представлен метод работы с
выбранной моделью и предположительный уровень продаж вендоров в следующий
период.
При решении поставленной цели были выделены следующие задачи:
. Поиск информации и изучение структуры диффузионных моделей. Для
этого будут использоваться основные работы Басса, Роджерса, Fourt and Woodlock
и Mansfield, так же некоторые источники дающие представление о стохастических
моделях.
. Определение главных параметров модели. В различных диффузионных
моделях используются коэффициенты, дающие характеристику товаров, и переменные,
меняющиеся во времени.
. Выбор оптимальной модели, пригодной для анализа рынка вендоров.
После изучения теоретической части каждой модели, будет выбрана наиболее
удобная модель для практического применения относительно рынка вендоров.
Благодаря теории и практическим подсчетам, будет сделана попытка
предсказать будущее вендоров. В данной работе будет использоваться рынок
мобильных операционных систем, таких как Android, iOS и Windows. На основе статистических данных
уровня продаж, будет решена обратная задача нахождения необходимых
коэффициентов.
Глава 1. Инновационные модели
Инновационный процесс претерпел радикальные изменения в XXI в. по
сравнению с предшествующим периодом. Наибольшие изменения коснулись значения
новых и малых инновационных предприятий в высокотехнологичных систем. От того
как и сколько используются нововведения зависит уровень жизни людей. Поэтому
слово «инновация» становится неотъемлемой частью речи большинства людей. На
сегодняшний день, наиболее известные и популярные теории распространения
инноваций - это диффузионные модели Френка Басса и Эверетта Роджерса. Данные
модели называются диффузионными, так как новые идеи не могут обхватить все
общества за один момент, а со временем проникают через разные социальные слои и
группы. Именно поэтому диффузия может быть только в тех обществах, которые
находятся в тесных контактах. В некоторых случаях, диффузию намеренно
увеличивают и уменьшают. Следовательно, диффузия носит селективный характер.
Классическим определением диффузии инноваций стало определение, предложенное Э.
Роджерсом: «диффузия инновации есть процесс, посредством которого инновация
проходит по коммуникационным каналам во времени и в пространстве среди
участников социальной системы». Иными словами, диффузия инноваций это
коммуникационный процесс, в течение которого нововведения принимаются рынком.
Согласно теории диффузии, любая инновация распространяется в обществе по определённой
предсказуемой модели.
Предметом диффузионной модели является представление уровня
распространения инновации среди данного набора потенциальных потребителей с
точки зрения математической зависимости от времени, прошедшего с момента
введения инноваций. Цель модели изобразить последовательное увеличение числа
потребителей и прогнозировать продолжение разработки процесса уже в ходе
диффузии. В продукт-инновационном контексте, модели диффузии обеспокоены
распространением нового продукта от его производства до конечных пользователей
или потребителей и акцентом на развитие кривой жизненного цикла продукта.
Основной поведенческой теорией в развитии этих моделей является то, что новые
приемки продукции являются имитацией.
Известнейшие диффузионные модели принятия инноваций это модель Басса
(1969), Fourt and Woodlock (1960) и Mansfield (1961). Модель Басса была успешно
продемонстрирована в розничных услуг, промышленных технологиях, производстве
сельскохозяйственной и потребительской сектора, в то время как модель Fourt and
Woodlock был использован для изучения успехов некоторых продуктовых товаров.
Модель Mansfield и ее пересмотренные формы, такие как предложенная Blackham и
Фишера и Pry, были использованы в технологических исследованиях замещения
промышленных инноваций.
.1 Модель Роджерса
В своей модели Роджерс исследовал различные способности к принятию
инновации у разных слоев общества. Он сделал вывод, что в большинстве случаях
кривая принятия инноваций обществом имеет вид нормального распределения, разделенного
на 5 частей (рис. 1). Каждую из частей он классифицировал, опираясь на
стандартные девиации, и дал им оценку:
. Новаторы - индивиды способные на риск, устанавливающие связи, не
смотря на географические расстояния
. Ранние последователи - лидеры, источники информации, стремятся
использовать новые технологии
. Раннее большинство - люди, не склонные приобретать новшества
первыми, предпочитают оценить все плюсы и минусы. Данная категория показывает
обществу, что принятие инноваций желательно и необходимо
. Позднее большинство - скептическое отношение к инновациям,
принимают продуктовое новшество лишь тогда, когда оно внедрено среди
большинства потребителей лишь под давлением общества или из-за экономической
необходимости
. Отстающие - люди старых взглядов, привязаны к прошлому
выступающие против новшеств. Принимают новые технологии последними, лишь тогда,
когда он полностью интегрирован в окружение и в этот момент «инновация» может
уже устаревает.
Эверетт Роджерс использовал в своей модели кривую, ранее предложенную
Габриэлем Тарди в 1903. Математическая интерпретация модели имеет вид:
N(t) - N(t-1)=k*N(t-1)*(M-N(t-1)),
где N(t) количество людей, принявших инновацию к моменту времени t,
M-
максимальное количество потенциальных потребителей, а (M-N(t)) количество людей, которых можно
привлечь. Графически функция имеет вид S-образной кривой социальных процессов.
.2 Модель Басса
На основе работы Роджерса, Бассом была разработана новая модель
распространения новшеств. Идея данной модели состоит в том, что рост количества
потребителей нового продукта объясняется двумя эффектами. Первая группа
начинает использовать товар под воздействием рекламы - «эффект рекламы». Другая
группа людей узнает о товаре через представителей первой группы - «эффект
межличностной коммуникации». В диффузионной модели Басса описывается ранние
фазы жизненного цикла продукта в математических терминах, моделируя долю
новаторов и имитаторов среди клиентов (рис. 2). Модель Басса синтезирует Fourt
and Woodlock и Mansfield и использует обобщенную логистическую кривую, которая
содержит модели Fourt and Woodlock, и Mansfield как его особые случаи. В связи
с логистической кривой появляется кривая Гомперца (рис. 3), которая также была
использована для моделирования роста продукта. Модифицированная
экспоненциальная кривая, логистическая кривая, и кривая Гомперца являются
основами диффузии модели роста продукции.
На первом этапе существования продукта работает эффект рекламы, так как
пока никто не знает о данном новшестве, следовательно не может его купить. С
ростом количества потребителей влияние эффекта рекламы уменьшается, однако
начинает увеличиваться эффект межличностной коммуникации. Басс описывал
зависимость между двумя этими эффектами. И пришёл к выводу, что количество
людей, потребляющих продукт, увеличивает численность новых потребителей за счет
эффекта межличностной коммуникации. По модели Басса существуют две категории
людей:
· Люди, сами узнающие о данном продукте и пробующие его
· Люди, которые узнают о новшестве от первой категории людей,
следовательно, действие рекламы здесь минимально.
Широкое распространение этой модели объясняется относительно простым
использованием для прогноза диффузионного процесса. Модель Басса учитывает как
инновационных, так и покупателей-имитаторов, объединенных в одной модели.
Количество покупателей в период t можно представить следующим образом:
n(t)=p*(M-N(t))+ 
(M-N(t))*N(t).
Бас определили постоянную р как коэффициент инноваций, так как термин,
содержащий постоянную р в уравнении представляет приобретения без
«взаимодействия» с потребителями. Точно так же он называется постоянную q коэффициентом имитации, чтобы
изобразить связь между потребителями N(t) и потенциальными потребителями (M-N(t)). Кроме того, он
показал, что для успешного продукта, значение q должно быть больше, чем значение р.
Характеризуя в упрощенной форме модель Басcа, можно отметить, что
количество проданного нового товара есть сумма инновационных и имитационных покупок
(покупателей). Модель Басса была проверена в ряде эмпирических исследований и
подтверждена в том числе и российскими исследователями: С.Ю. Казанцевым, И.Б.
Гурковой, В.С. Тубаловой, Т. Ткалич, К.А. Забродской и др. Нетрудно отметить в
модели Басса линейную зависимость количества компаний покупателей, принявших
инновацию, в первую очередь от самого потенциала рынка.
На основе существования двух группам потребителей: инновационных и
имитаторов, формируются следующие базовые диффузионные модели:
) модели с учетом инновационного покупательского поведения;
) модели с учетом имитационного покупательского поведения;
) модели с учетом как инновационного, так и имитационного покупательского
поведения.
.3 Модель Fourt and Woodlock
Модель Fourt and Woodlock (рис. 4) изображает процесс диффузии, с точки
зрения количества клиентов, которые купили продукт к моменту времени t, по
модифицированной экспоненциальной кривой. Модель Fourt и Woodlock (1960 г.)
является примером инновационного покупательского поведения (группа I). Она
учитывает лишь экзогенное влияние на потенциальных адопторов и формирует, таким
образом, хорошую разъяснительную базу, в случае если при внедрении нового
продукта присутствует значительный спрос. Модель исходит из того, что
количество первых покупателей в определенный период можно представить следующим
образом:
n(t)=p*(M- N(t)),
где p- коэффициент инноваций, N(t)- потребители, (M-N(t))- потенциальные потребители. Причем, модель Fourt and
Woodlock предполагает распространение товара только через новаторов.
Количество первых покупателей является результатом разницы всего
потенциала рынка и совокупного числа покупателей до последнего периода.
Параметр p представляет собой, так называемый
диффузионнный уровень или степень проникновения на рынок. Анализируя содержание
модели (1), можно констатировать, что диффузия при высоком значении p протекает достаточно быстро,
означая, что большинство индивидов склоняются к восприятию нового продукта.
Число первых покупателей со временем уменьшается, т.к. модель ограничивается
инновационным поведением покупателей.
.4 Модель Mansfield
Модель Mansfield (1961 г.) описывает имитационное поведение индивидов
(группа II). Модель Mansfield (рис. 5) представляют собой процесс диффузии по
логистической кривой. В своей сущности она базируется на учете коммуникации
между индивидами и передает, таким образом, динамику диффузионного процесса.
Отсюда формируется основа для начала этого процесса. Mansfield формулирует
равенство для описания диффузного процесса с опорой на Fourt и Woodlock:
(t) /(M-N(t)) = b*N(t).
n(t)= b*N(t)* (M-N(t)),
где
b=
,
анологично модели Басса.
Модель
Mansfield, в отличие от модели Fourt and Woodlock, предполагает чисто
имитационный процесс диффузии.
Третья группа диффузных моделей опирается на обе категории покупателей,
которые интегрированы в одной модели. Наиболее значимым представителем данной
группы моделей является модель Басcа (1969 г.).
Глава 2. Стохастические модели
Стохастическая модель - это способ финансового моделирования, в котором
одна или более переменных в модели имеют стохастическую природу, то есть
представляют собой случайный процесс. Следовательно, решением уравнения также
оказываются стохастические процессы. В основе стохастического уравнения лежит
Броуновское движение.
Он широко используется для прогнозирования того, как фондовые рынки,
облигации и свитки будет действовать в будущем. Статистическое моделирование
является средством оценки вероятности исходов и предсказания условий в
различных ситуациях. Используемые случайные величины, как правило, ограничены
историческими данными, такими как последние рыночные доходы. К примеру, при
использовании модели в оценке портфеля, несколько моделирований представления
портфеля делаются на основе вероятностных распределений отдельных доходностей
акций. Статистический анализ результатов может помочь определить вероятность
того, что портфель будет предоставлять нужную производительность. Главная цель
статистического исследования - узнать свойства популяции по свойствам выборки.
Например, сделать прогноз - это значит узнать вероятностное распределение
будущих наблюдений популяции по выборке значений из прошлого. Чтобы сделать
это, нам необходимо уметь описывать стохастические процессы и временные ряды и
знать классы стохастических моделей, пригодных для описания встречающихся на
практике ситуаций. Сторонники стохастического моделирования утверждают, что
случайность является фундаментальным характеристикой финансовых рынков.
Статистическое моделирование обеспечивает
структурированный способ изучения портфеля, с учетом случайных факторов, таких
как инфляция или терпимости к риску. Если моделирование показывает низкую
вероятность достижения инвестиционных целей, фонд может быть диверсифицированы
или уровни взносов изменены.
Статистическое моделирование представляет собой метод представления
данных или прогнозирования результатов, учитывающий определенную степень
случайности или непредсказуемости. Рынок страховых услуг, например, во многом
зависит от стохастического моделирования для прогнозирования будущего состояния
компании балансах, так как они могут зависеть от непредсказуемых событий,
приводящих к оплате претензий. Многие другие отрасли и области исследования
могут извлечь выгоду из стохастического моделирования, таких как статистика,
фондовых инвестиций, биологии, лингвистики, и квантовой физики.
Особенно в мире страхования, стохастическое моделирование имеет решающее
значение в определении того, какие можно ожидать результаты, и какие вряд ли
могут произойти. Вместо того чтобы использовать фиксированные переменные, как в
других математических моделях, стохастические включают в себя случайные
изменения чтобы предсказать будущие условия и посмотреть, какими они могут
быть. Конечно, возможность одного случайного изменения означает, что возможно
много исходов. По этой причине, стохастические процессы работают не один раз, а
сотни или даже тысячи раз. Большой сбор данных не только выражает возможные
результаты, но и ожидаемые колебания.
Другой реальное применение стохастического моделирования, помимо
страхования, является производство. Производство рассматривается как
стохастический процесс из-за эффекта, как неизвестные или случайные величины
могут влиять на конечный результат. Например, завод, который делает
определенный продукт всегда знает, что небольшой процент из продуктов не
выходят, как задумано, и не могут быть проданы. Это может быть связано с целым
рядом факторов, таких как качество входов, рабочее состояние производственного
оборудования, а также компетентности сотрудников, и многое другое. То, как эти
факторы влияют на результаты, могут быть смоделированы, чтобы предсказать
определенный коэффициент ошибок в производстве, для планировки производства.
.1 Метод Монте-Карло
Статистическое моделирование опирается на метод Монте-Карло, для
генерации случайных чисел, на которых применяются стохастические формулы. Это
показывает, какое влияние конкретные случайные события будут иметь на
распределение вероятных исходов. Возможность моделирования случайных величин и
процессов может быть использована для моделирования реальных явлений и
ситуаций. При этом наблюдение небольшого числа реализаций случайной величины
вряд ли принесет пользу, но наблюдение за большим их числом позволяет сделать
правильные выводы об их средних характеристиках. Такой подход лежит в основе
метода Монте-Карло, который использует различные предельные соотношения теории
вероятностей:
• закон больших чисел;
• предельные теоремы.
Метод Монте-Карло имеет четыре основных этапа:
. Определение диапазона возможных входов
. Генерирование случайного входа из домена
. Выполнение детерминированных вычислений, используя эти входы
. Агрегирование результатов отдельных вычислений.
2.2 Модель Блэка-Шолза
Модель Блэка-Шолза, предназначенная для расчета премии
опционов, была выведена в 1973 году, и называется «Ценообразование опционов и
корпоративные обязательства». Формула разработана тремя экономистами - Фишером
Блэком, Майроном Скуолзом и Робертом Мертоном - это самая известная в мире
модель ценообразования опционов, которая строится на предположении о том, что
процесс изменения цен рисковых активов является винеровским.
Модель Блэка-Шоулза используется для расчёта
теоретической цены европейских опционов, игнорируя любые дивиденды, выплаченные
в течении существования опциона. Именно поэтому, модель может быть адаптирована
для учета дивидендов путем определения стоимости экс-дивиденда на ценную
бумагу.
Ее построение основывается на следующих предпосылках:
· торговля активами производится в
непрерывном времени;
· безрисковая процентная ставка r
постоянна и одинакова для всех сроков погашения;
· рынок эффективен;
· по акциям не выплачиваются дивиденды;
· все активы и их производные свободно
продаются и покупаются, нет возможности арбитража. Цена актива изменяется
случайным образом, но колебания достаточно слабые, что позволяет использовать
нормальное распределение. Однако кривая нормального распределения симметрична
относительно центральной оси, то есть имеет положительные и отрицательные
области, хотя цена акции не может опуститься ниже нуля. Более того, нормальное
распределение предполагает равную вероятность подъема и снижения цены, а в
реальной жизни инфляция приводит к постепенному росту. Поэтому в модель
вводится распределение натурального логарифма доходности акции. Кривая логнормального
распределения положительна и имеет правостороннюю скошенность (вероятность
повышения цены). Формула Блэка-Шоулза имеет следующий вид:
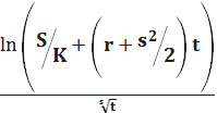
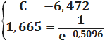
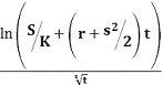
C=SN(d1)- N(d2)Ke-rt,
d1=
,
d2=d1-
,
C -
предварительная премия
S- текущий курс
акций
t- время до
применения опциона
K- цена
использования опциона
r- без рисковая
процентная ставка
N- совокупное
стандартное нормальное распределение
e- экспонента
s-
стандартное отклонение.
Модель
по существу разделена на две части: первая часть, SN (d1), умножает цену
изменения на предварительную премию по отношению к изменению базовой цены. Это
часть формулы показывает ожидаемую пользу приобретения базового актива. Вторая
часть, N (d2) Ke(-rT), демонстрирует текущее значение страйк-цены (цена, по
которой владелец опциона может купить или продать ценную бумагу или другой
актив, лежащий в основе опционного контракта) по истечению времени. Стоимость
опциона рассчитывается как разность между двумя частями, как показано в
уравнении.
2.3
Скачкообразная-дифузионная модель
В
отличие от основных моделей ценообразования, которые вызываются случайными
процессами с дальнейшими непрерывными траекториями, скачкообразные процессы
используются в финансах, что бы проиллюстрировать скачкообразное поведение в
ценообразовании активов.
Основоположником
данной модели является Роберт С. Мертон, которые вывел ее, расширив
скачкообразную модель. Скачкообразная диффузионная модель является одним из
видов модели использующихся для определения стоимости опциона. Он смешивает два
метода ценообразования: более традиционные диффузионные модели, в которых
факторы играют в гладкой и относительно последовательной манере, а также модели
со скачкообразным процессом, в котором единичные события могут вызвать
значительные изменения. Теория состоит в том, что скачкообразная диффузионная
модель, таким образом, создает более реалистичное представление о поведении
рынков. Он пытается охватить идею, что рынки имеют сочетание общих тенденций,
незначительных изменений изо дня в день и крупных потрясений.
Скачкообразная
диффузионная модель являются частными случаями экспоненциальной модели Леви, в
которых частота прыжков конечна. Их можно рассматривать в качестве прототипов
для большого класса более сложных моделей, таких как стохастическая
волатильность и скачкообразная модель Bates.
Рассмотрим
рынок без рисковых акций (облигаций) и один рисковый актив (акция), цена
которого в момент времени t обозначается St. В
скачкообразной модели, стохастическое дифференциальное уравнение для котировки
данных выражается как:
dSt=мSt- dt+уSt-dZt+St-dJt,
где
Zt это Броуновское движение и Jt=∑Yi это процесс Пуассоновского распределения, в котором размеры скачок Yi
независимы и одинаково распределены с распределением F и количества скачков Nt
представляет собой процесс Пуассона с интенсивностью прыжка ƛ. Цена актива St
таким образом следует за геометрическим Броуновским движением между скачками.
Процесс моделирования Монте-Карло может осуществляться путем первой имитации
количества переходов Nt, времени прыжка и имитации геометрического
броуновского движения на интервалах между прыжками. Стохастическое
дифференциальное уравнение имеет точное решение:
St=S0 exp {мt+уZt-у2t/2+ Jt}.
Мертон
рассматривает случай, где размер скачка Yi
задается нормальным распределением.
Последнее
десятилетие, научно-исследовательские отделы крупных банков начал принимать
скачкообразную диффузионную модель как ценный инструмент в их ежедневном
моделировании.
.4 Скачкообразный Марковский процесс
В Марковском процессе, или процессе без последействия, для каждого
момента времени вероятность любого состояния системы в будущем зависит только
от состояния системы в настоящий момент и не зависит от того, каким образом
система пришла в это состояние. Марковские процессы являются частным видом
случайных процессов.
Особое место марковских процессов среди других классов случайных
процессов обусловлено следующими обстоятельствами: для марковских процессов
хорошо разработан математический аппарат, позволяющий решать многие
практические задачи; с помощью марковских процессов можно описать (точно или
приближенно) поведение достаточно сложных систем.
Классификация марковских случайных процессов производится в зависимости
от непрерывности или дискретности множества значений функции X{t) и параметра
t.
Различают следующие основные виды марковских случайных процессов:
• с дискретными состояниями и дискретным временем (цепь Маркова);
• с непрерывными состояниями и дискретным временем (марковские
последовательности);
• с дискретными состояниями и непрерывным временем (непрерывная цепь
Маркова);
• с непрерывным состоянием и непрерывным временем.
Глава 3. Практическая часть
В данной части работы будут сравниваться новые операционные системы для
мобильных устройств Android Jelly Bean, Windows Phone 8 и IOS 7. Какие
новшества имеются в данных системах и как скоро системы переймут данные
новшества? Для этого буду разобраны преимущества каждой системы. Следующим
шагом является нахождение информации об уровне продаж и составление функции
объема продаж от времени. На основе имеющихся статистических данных будут
найдены коэффициенты инновации и имитации.
. Android Jelly Bean.
Самые высокие результаты показала самая популярная и востребованная
программная платформа Android:
• качественный голосовой сервис;
• огромный выбор аппаратов на любой вкус и кошелек.
. IOS 7. Почетную вторую ступень программного топа уже несколько
лет подряд занимает фирменная операционная система iOS от американской
корпорации Apple. Главным преимуществом указанной операционной системы можно
назвать высокий уровень защиты от постороннего влияния.
· качественный сенсорный экран;
· большое количество встроенных и сторонних приложений;
· продуманный интерфейс.
. Windows Phone 8, текущий рыночный показатель которой составил
3,5 процента.
· наличие встроенных офисных
приложений;
· возможность передачи данных с помощью
NFC.
Для анализа рынка вендоров будет использоваться модель
Басса. В уравнение данной модели присутствуют коэффициенты инновации и
имитации, которые различны для товаров и стран.
Для нахождения коэффициентов инновации и имитации используется
мета-анализ ANOVAs. Для коэффициента имитации функция
имеет следующий вид:
Q=м+б1X1i+б2X2i+в1X3i+в2X4i+гX5i+уX6i+єi,
где, Xii-векторы фиктивных переменных,
представляющих определенный эффект, б, в, г и у являются соответствующими
векторами параметров.
Для расчета коэффициента инновации используется идентичная функция,
только без параметра вji.
Данный процесс нахождения коэффициентов очень сложен и был высчитан в
статье A Meta Analysis of Applications of Diffusion Models на основании 213 испытаний.
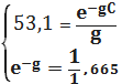
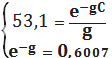
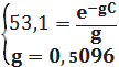
Наименьшее значение коэффициента инновации pmin=-0.18, наибольшее
значение pmax=0,22. Наименьшее значение коэффициента имитации qmin=-0.76, наибольшее
значение qmax=0,76 (таблица 1).
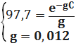
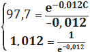
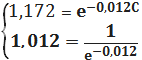
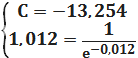
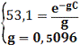
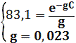
Некторые значения g:
= pmin+ qmin=-0,94
g= pmin+ qmax=0,58
g= pmax+ qmin=-,054
g= pmax+ qmax=0,98
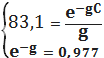
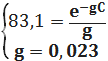
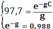
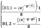
Из имеющихся данных в таблице 1, решаем обратную задачу
нахождения g.
Так как, для упрощения, g в любой момент времени одинаков,
значит g=const.
Решение уравнения:
Полученное решение применяем к вендорам, используя данные из таблицы 2:
1. Android











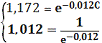
g=0,5096

=
(рис 6.)
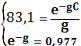
2. iOS











g=0,023

=
(рис 7.)
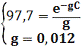
3. Windows











=0,012

(рис 8.)
Таким
образом, были найдены сумма коэффициентов инновации и имитации для трех
вендоров. Благодаря этому можно построить кривые, изображающие функции продаж
от времени.
Заключение
В данной работе было проведено анализ рынка вендоров при помощи
диффузионной модели. В первую очередь были освещены теоретические аспекты
данного понятия. В работе рассматривалось понятие диффузионной модели, как
процесса, посредством которого инновация проходит по коммуникационным каналам
во времени и в пространстве среди участников социальной системы. Первая глава
посвящена описанию наиболее популярным видам диффузионных моделей, таким как:
1. Модель Басса
2. Модель Роджерса
. Модель Fourt и Woodlock
4. Модель Mansfield.
Так же были описаны сходства и различия данных моделей.
Во второй главе изложены основные виды стохастических моделей. Значимость
этих моделей в диффузионном процессе высока, так как многие функции имеют не
постоянную природу, в них присутствуют случайные переменные.
Базируясь на изложенном теоретическом материале, были выведены функции
уровня продаж трех операционных систем Android. iOS и Windows. Для выведения данной функции
использую модель Басса, в результате была получена данная функция:
Проведенное в работе исследование можно продолжить, изучив
распространение инноваций в различных социальных сетях. Так же продолжить
углубленное познание модели Басса и изучить нахождение коэффициентов инновации
и имитации с помощью мета-анализа ANOVA.
В результате проведенной работы можно предположить будущий уровень продаж
ОС. Коэффициенты g для разных ОС
выглядят следующим образом:
1. Android g= 0,5096
2. iOS g=0,023
3. Windows g=0,012
Следовательно, можно сделать вывод, что уровень продаж Androida будет расти, благодаря высокому
показателю инноваций и имитаций. Продажи iOS и Windows
так же буду расти, однако со слабой скоростью из-за малого суммарного
коэффициента инновации и имитации.
математический диффузионный вендор модель
Список литературы
1. В.А. Гальперин, В.В. Домровский. Динамическое
управление инвестиционным портфеле диффузионно-скачкообразном финансовом рынке
с переключающимися режимами / Автоматика и телемеханика - 2005, - №5, - С.
175-188.
. Казанцев С.Ю. Использование диффузионной модели в
прогнозировании долей рынка. - 2012, - С. 248-260.
. Математические методы моделирования экономических
систем/Е.В. Бережная, В.И. Бережной. - М.: Финансы и статистика, - 2006, - 432
с.
. Моделирование и управление в экономике (часть 1)/
Е.Б. Цой, И.В. Самочернов. - Новосибирск: НГТУ, -2003, - 104 с.
. Халл Джон К. Опционы, фьючерсы и другие производные
финансовые инструменты. - М.: Вильямс, - 2007, - 1056 с.
7. Bass F.M. A new product growth model for
consumer durables // Management Science. - 1969. - P. 215-227.
. Fareena Sultan, John U. Farley, Donald R.
Lehmann. A Meta Analysis of Applications of Diffusion Models/ Journal of
Marketing Research. - NY, - 1990, -
7 p.
. Fourt L.A., J.W. Woodlock. “Early Prediction
of Market Success for New Grocery Products”//Journal of Marketing. - 1960, - №10, - P. 31-48.
. Mansfield E. “Technical Change and the rate
of Imitation”//Econimetrica. -1961, - №10, - P. 741-766.
. Rogers E.M. “New Product adoption and diffusion”
//Journal of Consumer Research. - 1976, -
№3, - P. 290-301.
. Shengkun Xie. Markov switching and jump
diffusion models with applications in mathematical finance //Wilfrid Laurier
University. -
2006, - 84 p.
Приложения
Таблица 1.
Таблица 2.
Рисунок 1.
Рисунок 2.
Рисунок 3.
Рисунок 4
Рисунок 5.
Рисунок 6.
Рисунок 7.
Рисунок 8.