Перспективы использования минерально-сырьевых ресурсов в Северо-Восточной Азии

  • Вид работы:
    Курсовая работа (т)
  • Предмет:
    Мировая экономика, МЭО
  • Язык:
    Русский
    ,
    Формат файла:
    MS Word
    92,91 Кб
  • Опубликовано:
    2014-04-01
Вы можете узнать стоимость помощи в написании студенческой работы.
Помощь в написании работы, которую точно примут!

Перспективы использования минерально-сырьевых ресурсов в Северо-Восточной Азии

Содержание

 

Введение

1. Прогнозирование и поиски месторождений полезных ископаемых

1.1 Принципы и задачи изучения недр для целей прогнозирования и поисков месторождений полезных ископаемых

1.2 Объекты прогнозирования при геологосъемочных и поисковых работах

1.3 Методы поисков месторождений полезных ископаемых

1.4 Методика выделения перспективных рудоносных площадей

1.5 Региональное минерагеническое прогнозирование

2. Методы количественной оценки и подсчета прогнозных ресурсов

2.1 Методы подсчета прогнозных ресурсов

2.2 Критерии геолого-экономической оценки потенциальных месторождений

2.3 Прогнозные ресурсы - важнейший фактор рациональных поисковых оценочных и разведочных работ

3. Ресурсы и перспективы минерально-сырьевого сектора северо-восточной азии

3.1 Обеспеченность минеральными ресурсами и развитие горнодобывающей промышленности в Северо-Восточной Азии

3.2 Современная минеральная политика в странах Северо-Восточной Азии

Заключение

Список литературных источников

Введение

Последние десятилетия характеризовались постоянным ростом потребления минерального сырья. Наряду с количественным ростом расширялась и номенклатура потребляемого сырья. В сферу хозяйственного потребления непрерывно вовлекаются все новые нетрадиционные виды полезных ископаемых. Они становятся основой технического и инновационного развития экономики страны. Такой постоянный рост потребления полезных ископаемых обусловил активизацию поисково-разведочных работ во многих странах мира. На современном этапе развития геологоразведочных работ актуальной задачей оказалось решение проблемы расширения минерально-сырьевой базы в известных и новых горнопромышленных центрах стран. Потребовалось улучшение географического размещения месторождений с повышенными качествами руд. Стали вовлекаться в производство все более объемные рудные объекты с низкими качественными показателями руд, но имеющих стратегическое значение для ускорения инновационного пути развития экономики. Новые типы месторождений необходимо выявлять там, где они наиболее необходимы для обеспечения расширенного воспроизводства минеральных ресурсов. Развивающиеся отрасли промышленности и сельского хозяйства требуют постоянного вовлечения в хозяйственный оборот новых нетрадиционных типов месторождений. По качеству и условиям отработки, переработки руды должны удовлетворять возрастающим требованиям промышленности.

Одновременно возникла проблема резкого сокращения числа "легко открываемых месторождений" прежде всего в известных горнорудных центрах страны. Это предопределило переход к прогнозированию и поискам трудно открываемых "скрытых" месторождений. В настоящее время открытие новых месторождений полезных ископаемых требует больших коллективных усилий, сочетания научно обоснованных прогнозов с индустриальными методами производства. Сегодня трудно открыть месторождение, выходящее на поверхность, но эти трудности многократно возрастают при поисках скрытого оруденения. Научное прогнозирование и поиски скрытых, глубокозалегающих месторождений требуют постоянной доработки методологических вопросов и новых технологий для мобилизации возможностей современных прогнозно-поисковых методов.

Таким образом, актуальность темы курсовой работы заключается в необходимости прогнозирования использования полезных ископаемых, а также определения перспектив использования минерально-сырьевых ресурсов в регионе для развития системы управления горной промышленностью.

Объектом исследования является минерально-сырьевой сектор Северо-Восточной Азии.

Целью курсовой работы является определение перспектив использования минерально-сырьевых ресурсов в Северо-Восточной Азии.

Задачами настоящего исследования являются:

)        изучение теоретической основы прогнозирования и поиска месторождений полезных ископаемых;

2)      изучение методов оценки прогнозных ресурсов;

)        анализ обеспеченности минеральными ресурсами регионов Северо-Восточной Азии;

)        определение перспектив использования минерально-сырьевых ресурсов в Северо-Восточной Азии.

1. Прогнозирование и поиски месторождений полезных ископаемых


1.1 Принципы и задачи изучения недр для целей прогнозирования и поисков месторождений полезных ископаемых


В полном объёме недра Земли недоступны для наблюдения и изучения. Поэтому они исследуются выборочным путем посредством сети пространственно разобщенных точек наблюдений в естественных обнажениях, горных выработках, буровых скважинах. От густоты сети наблюдений зависит полнота и достоверность информации по геологическому строению, прогнозным ресурсам, запасам сырья изучаемого рудного района, рудного узла, рудного поля или месторождения.

Геологоразведочный процесс в конечном итоге всегда направлен на выявление и оценку ресурсов, затем запасов залегающих в недрах полезных ископаемых. Министерством природных ресурсов Российской Федерации определяется последовательность и полнота геологического изучения недр с целью обеспечения рационального использования, воспроизводства и охраны минерально-сырьевых ресурсов страны. В основу прогнозирования, поисков и разведки любого месторождения заложены единые подходы и принципы. А.Б. Каждан в основу методологического подхода к изучению недр определил такие положения:

) принцип последовательных приближений,

) принцип аналогии,

) принцип выборочной детализации наблюдений.

По принципу последовательных приближений изучение недр осуществляется от общего к частному. При прогнозе, поисках и разведке полезных ископаемых изучение начинается с выделения крупных рудоносных площадей - минерагенических провинций, минерагенических зон, рудных районов и отбраковки заведомо безрудных территорий. После этого производится более детальное изучение выявленных рудоносных площадей с последовательным выделением наиболее продуктивных структур и участков, отвечающих рангам рудных узлов и рудных полей. Завершается процесс обнаружением, оценкой и разведкой месторождений полезных ископаемых с подсчетом прогнозных ресурсов и запасов минерального сырья. Дается геолого-экономическая оценка значимости запасов. Реализация принципа последовательных приближений происходит путём разделения общего геологоразведочного процесса на этапы и стадии, которые и обеспечивают последовательные приближения в познании месторождений как конечных продуктов общего процесса геологических исследований.

Принцип аналогии базируется на сходстве условий залегания, строения, состава и масштаба месторождений, сформированных в близких геологических условиях. Общими свойствами обладают формационные и геолого-промышленные типы месторождений полезных ископаемых. Степень подобия рудных объектов всегда выше у близко расположенных объектов. Ещё большим подобием обладают рудные залежи конкретного рудного поля и месторождения, особенно смежные участки их. С позиции принципа аналогии необходимо создавать аналоги - эталоны объектов для решения прогнозно-минерагенических, поисковых и разведочных задач. Такие проблемы решают разрабатываемые методы и приемы моделирования рудоносных площадей и рудных месторождений.

Принцип выборочной детализации предусматривает сочетание геологоразведочных работ в объеме всего объекта исследований с выборочными, более детальными работами на отдельных участках. Важно правильно выбрать эталонные участки и обеспечить рациональное сочетание общих и детализационных работ и оптимальную степень геологических наблюдений. Участки детализационных работ, как эталоны-аналоги, должны быть представительными для изучаемого объема недр. При выполнении поисков опережающие детализационные работы проводятся на рудопроявлениях, геофизических и геохимических аномалиях, а при разведке - на типичных участках месторождений, рудных зон или залежей. На эксплуатируемых объектах в качестве эталонов-аналогов выступают типовые отработанные участки месторождений.

Задачи геологического прогнозирования

Стратегия поисков новых месторождений полезных ископаемых строится на целенаправленном и эффективном выборе объектов для дальнейших геологических исследований. Точный и надежный геологический прогноз резко повышает результативность поисков. Отсюда важнейшим направлением становится совершенствование методов прогноза рудоносных площадей и месторождений. Прогнозирование рудоносных территорий и рудных объектов осуществляется на всех этапах и стадиях общего геологоразведочного процесса. Прогноз размещения рудных полей, месторождений, их внутреннего строения, масштаба и практического значения, содержащихся в них ресурсов полезных ископаемых представляет собой важнейшую конечную цель геологического изучения недр. Фактический материал, получаемый после завершения каждой стадии геологоразведочных работ, расширяет и углубляет представление об исследуемом рудном объекте, позволяет опровергнуть или подтвердить сделанные ранее выводы, более точно интерпретировать наблюдаемую геологическую ситуацию как благоприятную или неблагоприятную для локализации промышленного оруденения. Критериями перспективности рудных объектов служат прогнозные ресурсы полезных ископаемых категорий Р1, Р2, Р3 [1].

Согласно приказу Министра природных ресурсов Российской Федерации от 11.12.06 № 278 введена "Классификация запасов месторождений и прогнозных ресурсов твердых полезных ископаемых".

Прогнозными считаются ресурсы неразведанных или необнаруженных месторождений полезных ископаемых, наличие которых предполагается на основании благоприятной геологической обстановки, прямых или косвенных поисковых признаков образования, размещения месторождений определенных генетических, формационных, промышленных типов. Прогнозные ресурсы устанавливаются преимущественно без привязки к конкретным рудным телам и характеризуют объем недр, в котором предполагается залегание рудных тел.

Прогнозные ресурсы категории Р1 учитывают возможность расширения границ распространения полезного ископаемого за контуры запасов С2 или выявления новых рудных тел полезного ископаемого на рудопроявлениях, разведанных или разведуемых месторождениях. Для количественной оценки ресурсов этой категории используются геологически обоснованные представления о размерах и условиях залегания известных тел. Оценка ресурсов основывается на результатах геологических, геофизических и геохимических исследований участков недр возможного нахождения полезного ископаемого, на материалах структурных и поисковых скважин, а в пределах месторождений - на геологической экстраполяции структурных, литологических, стратиграфических и других особенностей, установленных на более изученной их части, ограничивающих площади и глубину распространения полезного ископаемого, представляющего промышленный интерес.

Прогнозные ресурсы категории Р2 учитывают возможность обнаружения в бассейне, рудном районе, узле, поле новых месторождений полезных ископаемых, предполагаемое наличие которых основывается на положительной оценке выявленных при крупномасштабной (в отдельных случаях среднемасштабной) геологической съемке и поисковых работах проявлений полезного ископаемого, а также геофизических и геохимических аномалий, природа и возможная перспективность которых установлены единичными выработками. Количественная оценка ресурсов, представления о размерах предполагаемых месторождений, минеральном составе и качестве руд основаны на комплексе прямых и косвенных признаков рудоносности, на материалах отдельных рудных пересечений, а также по аналогии с известными месторождениями того же формационного (геолого-промышленного) типа. Прогнозные ресурсы выявляются при крупномасштабной геологической съемке, поисках и (частично) при геологических съемках с комплексом прогнозно-поисковых работ, геолого-минерагеническом картировании масштаба 1: 200000. Прогнозные ресурсы в количественном выражении с привязкой к локальным площадям служат основой для постановки детальных поисковых работ.

Прогнозные ресурсы категории Р3 учитывают лишь потенциальную возможность открытия месторождений того или иного вида полезного ископаемого на основании благоприятных геологических и палеогеографических предпосылок, выявленных в оцениваемом районе при средне-мелкомасштабных геолого-геофизических и геологосъемочных работах, дешифрировании космических снимков, а также при анализе результатов геофизических и геохимических исследований. Прогнозные ресурсы категории Р3 оцениваются при геологосъемочных работах масштаба 1: 200000 с комплексом прогнозно-поисковых работ, геолого-минерагеническом картировании масштабов 1: 200000 и 1: 500000, а также по итогам геологического картографирования масштаба 1: 1000000. Их количественная оценка производится без привязки к конкретным объектам [3].

Количественно оцененные ресурсы служат основанием для постановки геологического картографирования масштаба 1: 50000 и поисковых работ.

Количественная и качественная оценка прогнозных ресурсов производится до глубин, доступных для эксплуатации при современном и возможном в ближайшей перспективе уровне техники и технологии разработки месторождений, на основе ориентировочных технико-экономических расчетов.

По результатам геологического прогноза принимаются решения о целесообразности проведения дальнейших более детальных геологосъемочных, поисковых, оценочных и разведочных работ на выделенных перспективных участках, основанные на геологоэко-номической оценке ожидаемых ресурсов полезных ископаемых.

Геологический прогноз опирается на известные и новые эволюционные закономерности геологического строения земной коры и мантии - на структурно-тектонические, петрологические, формационные, геофизические, геохимические, металлогенические и прочие закономерности образования месторождений. Точность и надежность прогноза во многом зависят от качества геологической информации, которая привлекается для построения прогнозных заключений. Конечным результатом абстрагирования реальной геологической системы и рудных объектов становится их упрощенные модели - геолого-генетические, структурно-тектонические, геолого-формационные, геофизические, геохимические, физико-химические, изотопно-геохимические, статистические и другие. Эти модели с помощью определенных процедур позволяют получить новую прогнозную информацию о поведении рассматриваемой системы. Если рудное поле, месторождение рассматривать как геологическую систему, то элементами его структуры можно считать типы пород и руд, связи между элементами - все процессы породо- и рудообразования, а состояние системы - совокупность количественных параметров, характеризующих ресурсы месторождений, его размеры, условия залегания и т.п. Важнейшими прогнозными показателями являются масштабы и качество ресурсов полезных ископаемых, объемы или линейные параметры месторождений, рудных тел, особенности их состава, строения и т.п.А.Г. Харченков отмечает такие особенности прогноза минерально-сырьевых ресурсов:

) использование геологических прогнозов как основы экономических прогнозов развития и освоения минерально-сырьевой базы отраслей народного хозяйства;

) существование обратной связи между прогнозом ресурсов полезных ископаемых и прогнозом развития народного хозяйства страны;

минеральный сырьевой ресурс азия

3) многовариантность способов реализации прогнозных ресурсов в разведанные запасы и необходимость выбора оптимальных путей удовлетворения потребностей народного хозяйства в минеральном сырье;

) обоснованность геологического прогноза минеральных ресурсов и экономических прогнозов развития минерально-сырьевой базы страны или отдельного региона на допущении о закономерной эволюции геологических процессов и возможностей выявления и использования этих закономерностей;

) прямая зависимость точности и надежности прогнозов от качества исходной информации и совершенства научно-методических основ прогнозирования.

С точки зрения применимости методов анализа и прогноза геологических систем используются такие подходы:

) изучение материальных тел;

) рассмотрение абстрактных моделей поведения элементов;

) исследование источников и каналов информации [1].

1.2 Объекты прогнозирования при геологосъемочных и поисковых работах


Основными объектами изучения и прогнозирования в процессе геологосъемочных и поисковых работ являются рудоносные территории и участки - минерагенические провинции и зоны, рудные районы, рудные узлы, рудные поля и месторождения полезных ископаемых.

Прогноз рудоносности территорий, локальных участков осуществляется на основе выявления закономерностей пространственного размещения месторождений полезных ископаемых в структурно-формационных зонах, минерагенических поясах, в рудных районах, рудных узлах, рудных полях. Применительно к геологоразведочной практике (этапное и стадийное выполнение геологоразведочных работ) прогнозирование заключается в обосновании наибольшей вероятности пространственной локализации рудных объектов на площадях различных стадий геологоразведочных работ. Отсюда геологическое прогнозирование разделяется на региональное, мелко-, средне-, крупномасштабное и локальное. Целью такого прогноза любого масштаба является выделение и количественная оценка рудоносности перспективных площадей, структур, участков в рангах минерагенической провинции и зоны, рудного района, рудного узла, рудного поля, месторождения, рудной залежи. Тогда задачами прогнозно-минерагенических исследований будут:

) сбор, обобщение и систематизация имеющейся геологической информации в масштабе планируемых работ;

) анализ полученных данных с выявлением основных геологических предпосылок объекта прогнозирования (минерагеническая провинция - рудная залежь) и его реальные модели;

) синтез данных и общая оценка перспектив изучаемой площади с выделением потенциально рудоносных участков и структур, соответствующих масштабу и типу модели прогноза;

) количественная оценка прогнозных ресурсов рудоносных объемов недр (потенциальная минерагеническая провинция - рудная залежь) и их геолого-экономической значимости в условиях конкретного региона;

) определение рациональных путей, комплекса методов и объемов геологоразведочных работ для реализации прогноза [6].

По условиям проведения прогнозно-минерагенических исследований большое значение приобретает типизация территорий. Эта типизация позволяет наметить рациональный комплекс методов прогноза и составить представление о возможной промышленно значимой минерализации на изучаемой площади. На условия проведения прогнозных работ влияют ландшафтно-геохимические, географо-экономические особенности, геолого-тектоническая обстановка и зональное размещение месторождений. Различают три типа регионов, имеющих специфику использования различных методов прогнозно-минерагенических исследований:

) горно-складчатые с покровом рыхлых отложений - проявлены хорошо вторичные ореолы и потоки рассеяния рудных элементов;

) регионы преимущественного развития мощных осадочных толщ, с глубоко залегающим кристаллическим фундаментом - вторичные ореолы и потоки рассеяния минералов, элементов не проявлены;

) закрытые складчатые регионы аккумулятивно-денудационных равнин с чехлом аллохтонных отложений до 500 м мощности - вторичные ореолы и потоки рассеяния минералов и элементов залегают в чехле.

Из географо-экономических условий проведения прогнозно-минерагенических исследований важную роль играет промышленная освоенность района. Она определяет глубинность работ, объем предыдущей информации, детальность изучения объектов, обоснованность прогнозов. Рекомендуется выделять такие территории: освоенные и изученные потенциально перспективные, неосвоенные и неизученные, в пределах которых не установлено промышленных месторождений, но потенциально перспективные.

Важнейшими геолого-тектоническими условиями проведения прогнозно-минерагенических исследований является ярусность строения территории и геолого-тектонические обстановки в её пределах. От ярусности района зависят комплекс работ и глубинность применяемых методов исследований. Каждый ярус обычно характеризуется своей степенью литификации и дислоцированности пород. Различают одноярусные, двухъярусные, многоярусные регионы: четвертичный комплекс рыхлых отложений + покровный осадочный комплекс + покровный вулканический комплекс + складчатый кристаллический комплекс [1].

1.3 Методы поисков месторождений полезных ископаемых


По характеру пространства, на котором проводятся поиски месторождений полезных ископаемых, различают дистанционные, наземные и подводные методы.

К дистанционным методам относятся следующие:

)        геологические аэрометоды;

2)      дистанционные фотографические съемки;

)        аэрогаммасъемка;

)        космогеологические методы;

)        телевизионные съемки;

)        спектрометрические съемки;

)        радарные или радиолокационные съемки;

)        космомагнитная и косморадиометрическая съемки;

)        космофотоснимки.

К наземным методам относятся следующие:

)        геологические методы поисков)    визуальные поиски;

b)      геологическая съемка;

2)      обломочно-речной метод;

3)      валунно-ледниковый метод;

)        шлиховый метод;

)        геохимические методы;

a)       литохимический;

b)      гидрохимический;)      биохимический;) атмохимический;)        эманационный метод;)         газортутные поиски;)   ядерно-физические поисковые методы;

6)      физико-химические методы;

7)      геофизические методы поисков;

)        технические (горно-буровые) методы поисков.

Моря и океаны - огромные вместилища различных полезных ископаемых: нефти и газа, руд золота, платины, олова, вольфрама, железа, марганца, хрома, никеля, кобальта, меди, фосфора, драгоценных камней. Они заключены в донных осадках и в коренных породах. В настоящее время основными объектами исследований являются осадки в пределах береговой зоны суши и мелководной зоны шельфа. Некоторые страны в значительной степени удовлетворяют свои потребности в том или ином минеральном и энергетическом сырье путем разработки и поисков подводных месторождений нефти и газа, россыпей золота, платины, ильменита, циркона, касситерита, титаномагнетита, алмазов, строительного песка и фосфорита.

К подводным (объект исследования - шельф) методам относятся следующие:

)        методика непрерывного сейсмоакустического профилирования (САП);

2)      методика геолого-экономической оценки;

)        гидрологическое обеспечение поисков и изучение гидродинамических характеристик морских россыпей;

)        техническое обеспечение опробования подводных месторождений.

1.4 Методика выделения перспективных рудоносных площадей


Научной основой выделения рудоперспективных площадей и других рудных объектов служат достижения теоретической минерагении и учения о месторождениях полезных ископаемых. Основное положение минерагении-металлогении о взаимосвязи процессов рудообразования с другими геологическими процессами позволяет достоверно прогнозировать оруденение на конкретных площадях. Методика выделения перспективных участков при геологосъемочных работах основана на выявлении практикой прямых поисковых признаков оруденения. При этом основным принципом оценки рудоносности площадей является принцип аналогии. При выделении рудоперспективных территорий и объектов используется рациональное ком-плексирование разных методов исследований. Но основными из них являются региональный минерагенический анализ, структурно-геометрический анализ, регионально-геофизический, регионально-геохимический.

Регионально-минерагенический анализ направлен на выделение перспективных площадей разного ранга на основе анализа всех данных о рудоконтролирующих факторах, на разработку критериев прогноза и определения рудоперспективных участков. Критерии прогнозирования делятся на универсальные, применимые для многих типов оруденения, и частные, пригодные для прогнозирования лишь конкретных месторождений одного типа. Широко используются минералого-геохимические критерии, в том числе кристаллографические (типы кристаллов), геометрические. Они позволяют выделять конкретные рудоносные участки и отбраковывать неперспективные площади. Используются шлиховые ореолы рудных минералов, зоны рудоносного метасоматоза, геохимические поля и ореолы, гидрохимические, атмохимические аномалии, элементы-индикаторы оруденения, зональное размещение оруденения. На основе рудно-метасоматической зональности уточняется прогнозируемый тип месторождений, возможные размеры и выдержанность ору-денения на глубину.

Структурно-геометрический метод основан на расположении месторождений полезных ископаемых в виде правильного геометрического узора в узлах пересечения сети контролирующих разломов и разнородных по литологии пород. Этот метод базируется на законах геометрической кристаллизации природного вещества в пространстве.

Регионально-геофизический метод основан на вскрытии и использовании закономерных геологических обстановок проявления оруденения в физических полях - гравиметрических, сейсмических, магнитных, электрических, радиометрических, выявляемых геофизическими съемками. Геофизические методы существенно повышают глубинность прогноза, особенно в регионах, перекрытых мощным слоем рыхлых отложений, покровами эффузивных пород. Специальные глубинные геофизические исследования типа ГСЗ, МОВ, МОВЗ, сейсмической томографии иногда позволяют выявлять глубинные неоднородности в строении нижних слоев-блоков земной коры, подстилающие крупные рудоконтролирующие и рудовмещающие структуры. Особенно показательными оказываются блоки разуплотненных пород.

Регионально-геохимический метод использует закономерные взаимосвязи промышленного оруденения и региональных геохимических полей. В результате проводится геохимическое районирование территорий, выявляются геохимические поля и геохимическая зональность геологических структур. Для этого используются результаты геологического картирования и литохимических съемок территорий при региональном прогнозировании.

Прогнозная оценка перспективных площадей и объектов предусматривает оценку количества минерального сырья в недрах рассматриваемой территории на основе регламентированных прогнозных ресурсов категорий Р3, Р2, Р1. Результаты геологического прогноза разных стадий геологоразведочных работ должны выражаться не только в виде контуров, ограничивающих наиболее перспективные участки на карте, но и в виде первой оценки количества и качества минеральных ресурсов объектов, находящихся на исследуемой территории - рудные узлы, рудные поля, месторождения. По результатам геологического прогноза проектируются и ставятся более детальные исследования на рудоперспектиных площадях. Они дают материал для дальнейшего экономического прогнозирования, то есть по развитию горной промышленности в регионе. Прогнозные ресурсы являются основой текущего и перспективного планирования, а также для долгосрочного прогнозирования направлений и объемов геологоразведочных работ. Прогноз опирается на минераге-нические, структурно-тектонические, петрологические, минералого-геохимические и другие закономерности образования месторождений. Но не всякое скопление минерального сырья является месторождением, а только то, в котором есть потребность и рентабельность добычи и переработки. Поэтому комплекс геологических факторов дополняется технико-экономическими показателями.

Процедура прогнозирования должна включать такие операции:

) определение границ системы - объекта;

) выявление её элементов и взаимосвязей между ними;

) установления их влияния и воздействия на параметры состояния системы или объекта.

Поэтому к важным прогнозным показателям относятся масштабы, количество ресурсов, линейные параметры объектов, особенности геологического строения, состава и т.п. В качестве элементов системы можно рассматривать отдельные рудные узлы, рудные поля, месторождения сходного геологического строения и состава. Разрабатываются методы автоматизированного прогнозирования рудоносных территорий на ЭВМ.

1.5 Региональное минерагеническое прогнозирование


Прогнозно-минерагенические (металлогенические) региональные исследования выполняются в масштабах 1: 1000000, 1: 500000 и 1: 200000. При региональном комплексном геологическом прогнозировании поисковыми объектами являются минерагенические провинции и зоны, рудные районы, рудные узлы. Основными задачами таких региональных работ являются:

) выявление рудоконтролирующих структур первого порядка и связанных с ними рудоносных осадочных, магматических, метаморфических, метасоматических и иных комплексов и формаций;

) определение локальных рудоносных геологических структур (складчато-блоковых, разрывных, дайковых поясов и штоков магматитов, вулкано-плутонических центров, зон метасоматитов, тектоно-магматической активизации), их соотношений между собой и с разновозрастными уровнями эрозионного среза отдельных блоков изучаемой территории;

) выяснение природы геологических, геофизических, геохимических, минералогических аномалий, выявленных в изучаемом регионе.

Решение первой задачи способствует выявлению перспективных рудоносных площадей - минерагенических зон, рудных узлов, рудных районов, а второй и третьей - выявлению точек минерализации и рудопроявлений.

Региональное прогнозирование опирается не только на изучение вскрываемых формаций и комплексов с помощью анализа геологических карт масштабов 1: 1000000.1: 200000 (1: 100000), но и учитывает данные о глубинном строении земной коры. При выделении рудоперспективных структурно-формационных зон используются такие исследования:

) сопоставление выявляемых зон между собой; определение их эволюционного развития по основным этапам рудообразования;

) изучение последовательности структурно-тектонических, магматических, метаморфических, метасоматических этапов;

) минерагенический анализ изучаемых территорий;

) выявление рудопроводящих, рудоконтролирующих, рудоконцентрирующих структур.

Региональное прогнозирование служит для проектирования на первом этапе геолого-геофизических исследований территорий. В результате получают прогнозные ресурсы категории Р3. Эти прогнозные ресурсы оцениваются при геологосъемочных и геофизических работах масштабов 1: 1000000.1: 200000. Их количественная оценка выполняется без привязок к конкретным объектам. Прогнозные ресурсы категории Р3 учитывают лишь потенциальную возможность открытия месторождений полезных ископаемых того или иного вида на основании благоприятных геологических и палеогеографических предпосылок, выявляемых при аэрокосмических и наземных геолого-геофизических и геологосъемочных исследованиях.

При отраслевом минерагеническом анализе и прогнозировании в основу положена структура баланса данного вида минерального сырья. Намечаются типы месторождений, отвечающих требованиям промышленности к масштабам и качеству сырья. Затем выполняется специальный анализ территории страны, отдельных регионов с целью выявления мест наиболее вероятного их обнаружения. Изучаются типы месторождений, выделяются рудные и рудоносные формации, анализируются закономерности их размещения, устанавливаются факторы, контролирующие оруденение. На этой основе формируется банк критериев перспективной оценки территорий применительно к различным формационным или геолого-промышленным типам. Региональные комплексные и отраслевые прогнозно-металлогенические исследования дополняют друг друга.

Методика анализа геологических данных при комплексном и отраслевом прогнозировании различается. Комплексный многоступенчатый прогнозный анализ территорий с последовательной детализацией перспективных площадей включает обзорное прогнозирование, мелко-, среднемасштабное (1: 1000000.1: 200000) и выборочное крупномасштабное (1: 50000) прогнозирование. Особенностью методики такого прогнозирования является последовательное вовлечение в анализ все более крупномасштабных геологических карт; использование критериев прогноза от региональных геологоструктурных, формационных к более детальным минералогическим и геохимическим. В одних случаях такой многоступенчатый анализ заканчивается выделением и оценкой масштабов прогнозируемого оруденения в пределах минерагенических поясов и провинций, зон, областей. В других случаях он заканчивается на уровне рудных зон, узлов, рудных районов.

При отраслевом геологическом прогнозировании главным является выделение возможных конкретных типов месторождений. Затем для каждого намеченного формационного типа и для родственной группы типов месторождений, сходных по геологическим условиям локализации, производится разбраковка изучаемой территории по перспективности. В итоге устанавливаются перспективные площади с оценкой прогнозных ресурсов по категории Р3.

Но всегда должна соблюдаться соподчиненность от мелкомасштабных региональных к крупномасштабным и детальным исследованиям: минерагеническая провинция - минерагеническая область - минерагенический район или минерагенический пояс - структурно-формационная (минерагеническая) зона - рудный узел-рудное поле [7].

2. Методы количественной оценки и подсчета прогнозных ресурсов

 

.1 Методы подсчета прогнозных ресурсов


Сложность и разномасштабность количественного прогноза оруденения определили разнообразие методов оценки прогнозных ресурсов (Таблица 1). Выбор конкретного комплекса методов зависит от следующих факторов:

) уровня прогнозно-поисковых исследований (мелко-, средне - масштабные, крупномасштабные и локальные);

) характера объекта прогноза и поисков;

) наличие выявленных критериев и признаков оруденения.

Таблица 1

Методы оценки прогнозных ресурсов




Уровень прогнозных исследований


Оценка прогнозных ресурсов

а) Крупно-масштабный

б) Детальный

в) Локальный


1

2

3

4

1)

Методы экспертных оценок


+


+

+

2)

Методы прямых расчетов


+


+

+

3)

Методы экстраполяции:




а)

Собственно экстраполяции


+


+

+

б)

Ближайшего блока



+

в)

Тренд-анализа



+

+

4)

Методы аналогии:




а)

Близкой аналогии


+


+


б)

Дальней аналогии


+



5)

Геохимические методы:




а)

По потокам рассеяния элементов


+



б)

По вторичным ореолам рассеяния элементов


+


+


в)

По первичным ореолам рассеяния элементов


+


+

+

6)

Геофизические методы


+


+

+

7)

Математическое моделирование


+


+

+

 

Методы экспертных оценок количества прогнозных ресурсов используются на различных уровнях исследований. В основе их находится получение оценки прогнозных ресурсов без строго доказательства путем интуитивного обобщения опыта, накопленного отдельными исследователями и его преломления с учетом современных геологических концепций, гипотез, теорий. Поскольку экспертная оценка прогнозных ресурсов проводится не всегда строго логически обоснованным и четко осознанным путем, этот подход имеет важное значение на ранних стадиях исследований, а также для анализа нестандартных ситуаций и объектов, когда формальные способы оценки прогнозирования оказываются неэффективными или невозможными.

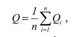
Недостатком методов является невоспроизводимость результатов. Среди экспертных методов различаются индивидуальные, когда оценка перспектив выполняется одним специалистом, и коллективные, когда экспертиза осуществляется группой лиц. В первом случае экспертизу проводит квалифицированный специалист, обладающий и специальными и теоретическими знаниями. На основе имеющейся геологической информации он создает собственную интуитивную модель объекта и подсчитывает ресурсы. При групповых оценках прогнозируемых характеристик они могут иметь определенный разброс. Истинное значение их находится в пределах диапазона индивидуальных оценок. Наиболее распространенными коллективными методами являются метод "комиссий", "сценария", "дельфи" и "мозговой атаки". Они отличаются друг от друга порядком получения приемлемого для всех экспертов или большинства из них усредненного результата. Формула расчета прогнозных ресурсов Q имеет следующий вид:


где Qi - оценка прогнозных ресурсов, данная i-м экспертом; n - число экспертов.

Методы прямых расчётов. Расчет прогнозных ресурсов этими методами проводят в тех случаях, когда есть возможность хотя бы предположительно установить параметры, доступные для расчёта по формуле:

=VDC,

 

где Q - прогнозные ресурсы, т; V - прогнозируемый или измеренный объём объекта, м3; D - прогнозируемая или измеренная плотность пород, т/м3; С - содержание полезного компонента на единицу массы, г /т или г/ м3.

Тогда прогнозируемый объём полезного ископаемого вычисляется:

= Lx LyLz или V= SH,

 

где Lx, Ly, Lz - прогнозируемая или измеренная протяженность оцениваемого объекта по простиранию Lx, падению Ly, мощности Lz; S - площадь прогноза, Н - глубина прогноза.

Произведение длины объекта по простиранию на длину по падению и на его мощность характеризует объём прямоугольного параллелепипеда, которым для упрощения заменяется объём действительного тела полезного ископаемого. На ранних стадиях работ объём полезного ископаемого определяется по правилу Гувера - оконтуривается тело на глубину по типу прямоугольника (на глубину 1/2 расстояния глубины подсчетного блока) или треугольника (на полную глубину подсчета). Количество прогнозных ресурсов определяют по данным опробования руд, а если этих данных нет, то по аналогии с хорошо известным эталонным объектом.

При расчёте прогнозных ресурсов прямыми методами генетически однотипные месторождения и рудные тела разных классов крупности рассматривают в качестве геометрических и геохимических фигур подобия. Отношение линейных и площадных размеров которых характеризует коэффициент подобия:


где mi и m2 - линейные размеры (длина или мощность), м; Si и S2 - площади выхода объекта на дневную поверхность, м2; Qi и Q2 - ресурсы металла, т. Полные ресурсы металла в таких объектах составят: Qi = x3Q2,При наличии эталонного объекта с известными запасами-ресурсами и оценок уровня эрозионного среза у оцениваемых объектов в метрике эталона подсчёт прогнозных ресурсов с учётом геометрического подобия является более объективным.

Методы экстраполяции широко используются для оценок прогнозных ресурсов на всех стадиях прогнозных исследований. В их основе заложен принцип приближённого распространения закономерностей, полученных в одной части объекта на другую, неизученную часть. Считается, что показатели мало отличаются или не отличаются вовсе принятым в эталоне. Для новых участков допускается аналогичная рудонасыщенность прогнозируемых зон эталонным.

На стадиях крупномасштабных и детальных исследований используется метод собственно экстраполяции, базирующийся на распространении основных параметров, достоверно установленных на изученных (эталонных) объектах с известными запасами-ресурсами руды, на оцениваемые площади, смежные с эталонными. Для оценки прогнозных ресурсов используется удельная продуктивность эталонного месторождения D3, рассчитанная путём определения количества руды (или металла) на 1 м2 при углубке в 1 м среднего горизонтального сечения эталонного объекта. Расчёт прогнозных ресурсов выполняют по методическим разработкам ВИЭМС по формуле:

 


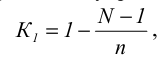
где Qn - прогнозные ресурсы металла (или руды) оцениваемой площади, т; Sn - оцениваемая площадь за вычетам площади эталона, м2; К1 - коэффициент сходства (подобия), учитывает сопоставимость суммы критериев и признаков перспективной площади и эталона; К2 - коэффициент рудоносности; К3 - коэффициент надежности прогноза; Hn - экстраполируемая глубина распространения оруденения, м.

Коэффициент сходства определяется на основе анализа критериев и признаков по программам распознавания образов или упрощено по формуле

 


где N - суммарный вес признаков на эталонном объекте; n - суммарный вес признаков на оцениваемом объекте. Суммы весов значений критериев и признаков перспективной и эталонной площадей вычисляются как средние величины из попавших в данные площади элементарных прогнозных ячеек. Коэффициент надёжности прогноза К3 принимается от 0,3 до 0,8 в зависимости от достоверности геологических данных. С помощью коэффициента рудоносности К2 учитывают дискретность распределения оруденения на площади


где Sэ - площадь эталона, на которой подсчитаны запасы-ресурсы; Sn - оцениваемая площадь, по которой определяют прогнозные ресурсы.

Удельная продуктивность эталона (месторождения) определяют по формуле:


где Qэ - запасы-ресурсы металла (или руды) по эталону (месторождению), т; Sэ - площадь выхода оруденелых пород эталона, м2; Нэ - глубина подсчёта запасов, м.

При локальном прогнозе оруденения подсчёт прогнозных ресурсов методом ближайшего блока предусматривается непосредственное распространение параметров оруденения эталонного объекта (с подсчётом запасов) на прогнозируемую прилегающую к нему площадь [4].

 

2.2 Критерии геолого-экономической оценки потенциальных месторождений


На основе анализа геологических факторов и учета технико-экономических требований выделяются объекты различного ранга. При детальном и локальном прогнозировании такими объектами являются месторождения или рудные поля с несколькими однотипными месторождениями. Для них определяются основные оценочные параметры: ресурсы категорий Р2 и Р1 и возможно запасы С2 и С1. По этим данным месторождение может быть отнесено к крупным, средним или мелким с богатыми, рядовыми или бедными рудами. Появляется возможность расширения минерально-сырьевой базы конкретного региона в определенной географо-экономической обстановке. На основе прогнозных ресурсов может быть получено только весьма ориентировочное представление о возможной промышленной значимости месторождения. Для окончательного решения вопроса необходимо провести дальнейшие геологоразведочные работы вплоть до разведки. Решение о передаче месторождения в эксплуатацию обычно принимается по результатам разведки объекта с подсчётом запасов на основе разработанных в технико-экономическом обосновании (ТЭО) постоянных кондиций к качеству и количеству сырья. Этому предшествует оценка объекта на стадии оценочных работ после проведения поисковых исследований на основе временных кондиций, разработанных в технико-экономическом докладе (ТЭД). Количественная и качественная оценка параметров оруденения на всех стадиях геологоразведочного процесса имеет различную степень достоверности или обоснованности, что отражается на отнесении их к различным категориям ресурсов и запасов. Однако сами по себе получаемые цифровые параметры отдельно взятого объекта ещё не дают полного представления о его хозяйственной значимости. Только его сравнение с другими рудными объектами того же минерального сырья, учёт состояния разведанных запасов и потребностей хозяйства страны в нём позволяет выяснить действительную промышленную ценность рассматриваемого объекта.

Для сравнительной оценки необходимо знать минимально допустимые значения основных оценочных параметров сырья, при которых объект может быть отнесён к промышленно перспективным. Такими параметрами при детальном и локальном прогнозировании оказываются среднее содержание полезного компонента, ресурсы и запасы руды, горно-геологические условия, определяющие выбор открытой или подземной отработки сырья, географо-экономические условия, осложняющие освоение прогнозируемых минеральных ресурсов.

Параметры браковочных кондиций устанавливают по результатам технико-экономического анализа работы действующих горнодобывающих предприятий и состояния минерально-сырьевой базы страны и отдельных регионов.

Результаты анализа периодически обобщают и освещают в специальных документах страны и в Интернете. В этих материалах для каждого вида минерального сырья даются браковочные кондиции в зависимости от геолого-промышленного типа месторождения и предполагаемого способа отработки. Приводятся значения поправочных коэффициентов на географо-экономические условия, которые учитываются путём повышения требований к качеству минерального сырья. В конечном счёте геолого-экономическая оценка (ГЭО) может представляться в табличном варианте (Таблица 2).

Таблица 2

Геолого-экономическая оценка прогнозных ресурсов

Наименование объекта и его геолого-промышленный тип

Характеристика ресурсов

Параметры браковочных

Заключение по геолого-экономической оценке объекта


оцениваемого объекта


кондиций



Ресурсы руд, млн. т. или т

Содержание полезного компонента, % (г/т)

Способ добычи

Ресурсы руд, млн.Т. или Т

Содержание полезного компонента, % (г/т)

Поправочный коэффициент

Содержание полезного компонента с учетом поправочного коэффициента, %


1

2

3

4

5

6

7

8

9

Месторождение А колчеданного типа

32

4,9

Подземный

25

4

1,2

4,8

Соответствует требованиям

Месторождение Б








Не соответствует

стратиформного типа

150

1,3

Открытый

120

1,2

1,2

1,44

по содержанию п. к.

Месторождение В жильного типа

2,5

9,0

Подземный

3

1,0

1,2

8,4

Не соответствует по ресурсам


В приведенных примерах месторождение А отвечает параметрам; месторождение Б, несмотря на высокое содержание полезного компонента и большие ресурсы, оценивается отрицательно в связи с неблагоприятными географо-экономическими условиями; месторождение В при весьма богатых рудах оценивается по количеству ресурсов.

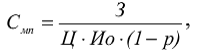
При наличии многих оцениваемых объектов такое сравнение позволяет установить очерёдность постановки дальнейших более детальных геологоразведочных работ на прогнозируемых площадях. Сотрудники ВИМС предлагают рассчитывать браковочные кондиции исходя из равенства извлекаемой продукции, то есть принципа бесприбыльно-безубыточной деятельности предприятий. Для расчёта рекомендуется использовать стандартную формулу для определения минимально-промышленного содержания компонента Смп:


где 3 - затраты на добычу и переработку единицы минерального сырья, тыс. руб; Ц - цена единицы конечного продукта, тыс. руб.; Ио - коэффициент извлечения металла, доли ед.; Р - коэффициент разубоживания при добыче, доли ед.

За основу принимается модель с типичными для данного промышленного типа характеристиками, нормированными на горно-геологические и географо-экономические условия. Поэтому при оценке объектов, отличающихся от "нормализованных" условий, принимаются поправочные коэффициенты.

Было рекомендовано этот принцип "бесприбыльно-безубыточной" деятельности горных предприятий применять только к прогнозируемым объектам с прогнозными ресурсами категории Р3, а для объектов с ресурсами Р2 и Р1 предусматривать рентабельность предприятий. При этом минимально-промышленное содержание предложено увеличивать на величину нормативной прибыли для окупаемости капитальных вложений, выражающихся величиной:


где Ен - нормативный коэффициент экономической эффективности капитальных вложений, доли ед.; Куд - удельные капитальные затраты в промышленное строительство в расчёте на 1 т готовой продукции, руб.

Основной задачей последующих оценочных работ является отбраковка обнаруженных проявлений и определение промышленной значимости отдельных объектов. Ресурсы оцениваются по категории Р1, возможных запасов С2, оконтуренных выработками и возможно категории С1. Рекомендуется использовать методику оценки резервных месторождений.

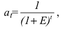
При оценке эффективности освоения месторождений требуется соизмерять разновременные затраты и показатели путём дисконтирования (приведения) их к базису времени - началу строительства горнодобывающего предприятия путём умножения на коэффициент дисконтирования:


где t - число лет; Е - норма дисконтирования, рекомендуется от 12 до 20% в зависимости от вида полезного ископаемого.

При региональном геологическом изучении недр объектами прогноза являются потенциально перспективные территории - металлогенические пояса, провинции, зоны, рудные узлы, рудные районы, где определяются прогнозные ресурсы категории Р3. Эти ресурсы имеют положительную оценку, если комплекс геологических факторов свидетельствует о возможности открытия на территории прогноза промышленно значимых месторождений. Перспективность ресурсов определяется по параметрам возможных месторождений, отвечающих требованиям к промышленным объектам.

Прямые геолого-экономические расчёты тогда не применяются. Параметры минимально значимых месторождений устанавливаются на основе оценочных кондиций.

Экономическая оценка прогнозных ресурсов категории Р2 осуществляется по аналогии с разведанным и оцененным для данных экономических условий месторождением по укрупненным технико-экономическим расчётам для прогнозируемого объекта. Учитывается промышленный тип, возможный масштаб, качество руд, способ будущей отработки и географо-экономические условия региона.

Для этого используются браковочные (оценочные) кондиции. Браковочные кондиции составляются применительно к конкретным промышленным типам месторождений. Они выражают минимальные требования промышленности к количеству и качеству сырья. Браковочные кондиции могут представляться в виде графиков, разграничивающих ресурсы и содержания компонента.

Браковочные кондиции по достоверности и точности параметров существенно отличаются от временных и постоянных кондиций, применяемых на стадии разведки. Они играют роль граничного условия при оценке новых объектов (рудных полей, месторождений) на ранних стадиях общего геологоразведочного процесса при обосновании отбраковки рудопроявлений непромышленного значения от промышленно интересных.

2.3 Прогнозные ресурсы - важнейший фактор рациональных поисковых оценочных и разведочных работ


Прогнозно-минерагенические и прогнозно-поисковые исследования в общей схеме геологоразведочного процесса занимают строго определенное положение - они завершают работы одних стадий и определяют целесообразность открытия работ следующих стадий. Выявляемые прогнозные ресурсы, определяющие потенциальную рудоносность площадей различных уровней в количественном выражении, позволяют ранжировать прогнозируемые структуры по степени их перспективности и масштабу ожидаемого оруденения. Определяют очередность и виды дальнейших геологоразведочных работ, необходимых для реализации прогнозов.

Прогнозные ресурсы категории Р3 служат базой для планирования крупномасштабных геологических съемок и поисков с целью обнаружения рудоперспективных участков, рудопроявлений и оценки их потенциальной продуктивности. Прогнозные ресурсы категории Р2 являются основой для составления проекта на проведение поисковых и оценочных работ в пределах наиболее перспективных и первоочередных для промышленного освоения участков. Прогнозные ресурсы категории Р1, оцененных на стадии оценочных работ, считаются подготовленным геологическим резервом для обоснованного проведения объектов разведки и пообъектного планирования прироста запасов категорий С2 и С1. На разведуемых и разведанных месторождениях - это база для прироста запасов промышленных категорий С1, В и А, для строительства горнодобывающих предприятий.

Следовательно, прогнозные ресурсы являются важнейшим фактором управления прогнозно-поисковыми работами и для рациональных методов разведки и геолого-промышленной оценки месторождений полезных ископаемых [5].

3. Ресурсы и перспективы минерально-сырьевого сектора северо-восточной азии


Азиатско-Тихоокеанский регион (далее АТР) является крупнейшим мировым продуцентом минерального сырья и ценных минеральных продуктов, здесь же находятся и крупнейшие потребители продукции минерально-сырьевого комплекса. Тенденциям развития минерально-сырьевого сектора АТР в начале нового тысячелетия посвящено немало появившихся в последнее время работ. Целью политики в минеральном секторе экономики должно стать обеспечение устойчивого развития, направленного на максимизацию чистой социальной и экономической выгоды, получаемой от горнодобывающей промышленности". Определяющими факторами развития минерально-сырьевого сектора АТР в перспективе станут:

общие темпы экономического роста в регионе;

возрастающее воздействие экологических проблем;

взаимоотношения горнодобывающих компаний с местными сообществами и органами власти различных уровней;

возрастание наукоемкости и технологичности процессов поисков, добычи и переработки минерального сырья и связанное с этим усложнение требований к подготовке специалистов минерально-сырьевого комплекса.

3.1 Обеспеченность минеральными ресурсами и развитие горнодобывающей промышленности в Северо-Восточной Азии


Северо-Восточная Азия довольно хорошо обеспечена минеральными ресурсами. Здесь сосредоточено около половины мировых запасов сурьмы и вольфрама, значительны запасы олова, плавикового шпата, железных руд, цинка, свинца, молибдена, меди (табл.1), при этом распределение запасов минерального сырья по странам Северо-Восточной Азии крайне неравномерно.

Как видно из таблицы 3, Китай - достаточно богатая минеральными ресурсами страна, их общий потенциал оценивается более чем в 11 трлн. дол. США, или как третий в мире. Более 200 тыс. месторождений металлических и неметаллических ресурсов, в том числе 25 тыс. крупных и 87 гигантских, обнаружены в различных частях страны. Северо-Восточный Китай располагает половиной общегосударственных запасов нефти, четвертью - железной руды, имеет большие запасы руд цветных металлов, марганцевых руд, магнезитов и т.д. Здесь добываются алюминиевое сырье, руды меди, никеля, молибдена, свинца, цинка, титана и др. В регионе сосредоточены месторождения золота, значительные залежи которого находятся в провинции Хэйлунцзян.

Таблица 3

Доля стран Северо-Восточной Азии в мировых запасах основных видов минерального сырья, в% (по подтвержденным запасам* на 01.01.2009 г.)


Монголия

Китай

КНДР

Республика Корея

Япония

Всего по СВА (без России)

Золото

0,1

2,6

0,1

-

0,4

3,2

Серебро

1,0

1,0

0,1

0,5

2,7

5,3

Вольфрам

0,3

43,7

1,0

3,0

0

48,0

Олово

0,2

25,7


0,1

0,2

26,2

0,6

4,6

0,6

1,2

1,5

8,5

Цинк

0,8

4,3

0,3

1,0

2,5

8,9

Медь

1,4

5,7

0,1

-

0

7,2

Молибден

3,0

5,2

-

-

0,1

8,3

Сурьма

-

52,1

-

-

0

52,1

Железные руды

0,3

9,6

0,6

0,1

0

10,6

Плавиковый шпат

6,1

11,7

0,5

0,5

0

18,8


Значительный минеральный потенциал еще остается неизученным, в частности в Западном Китае, где с 2000 г. интенсифицировались геологоразведочные работы в связи с провозглашением государственной политикой развития этих районов и существенным увеличением целевой финансовой поддержки. Освоение богатых, по мнению китайских специалистов, минеральных и энергетических ресурсов Центрального и Северо-Западного Китая должно стать одним из главных направлений увеличения их добычи. Одновременно с освоением своих северо-западных районов Китай выходит к ресурсам республик Средней Азии.

В Монголии практически повсеместно залегают разнообразные рудные и нерудные полезные ископаемые - более 6 000 месторождений и проявлений по 40 видам: каменный и бурый уголь, полиметаллы, плавиковый шпат, вольфрам, золото, фосфориты, редкие металлы и т.д. Если в прошлом оценка и освоение минерально-ресурсного потенциала сдерживались неразвитостью инфраструктуры, нерыночной экономикой и другими ограничениями, то теперь эти факторы значительно и быстро меняются. Более 80% всей территории Монголии покрыто геологической съемкой масштаба 1: 200000, а на 15% проведены геологическая съемка и работы общих поисков масштаба 1: 50000. Сведения о результатах хранятся в геоинформационном центре, доступном для всех инвесторов. Сейчас выдано более 2 000 лицензий на разведку и добычу полезных ископаемых, в том числе 12% - иностранным и совместным компаниям, включая крупные международные. Более чем на 11% территории страны выданы лицензии на разведку и добычу полезных ископаемых, всего же около 75% территории страны возможны для лицензирования по этим видам деятельности.

Корейская Народно-Демократическая Республика имеет на своей территории до 80-90% полезных ископаемых Корейского полуострова: золото, вольфрам, графит, сульфатный барит и др.

Республика Корея считается страной с невысокой обеспеченностью собственными минеральными ресурсами, однако есть месторождения золота, серебра, железной руды, графита, алунитов, свинцово-цинковых, медно-золото-серебросодержащих и вольфрамовых руд. Около 100% необходимых экономике энергетических и минеральных ресурсов импортируется со всего мира, при этом спрос на них возрастает ежегодно.

Японию считают бедной минерально-сырьевыми ресурсами. Ее полезные ископаемые крайне незначительны и невысокого качества. Однако здесь есть свинец, цинк и серебро. Что касается серебра, то Япония входит в число основных стран-держателей запасов серебра (его подтвержденные запасы превышают 15 тыс. т).

Исследование обеспеченности стран СВА наиболее важными минерально-сырьевыми ресурсами (Таблица 4) говорит о ее неоднородности. В табл. 2 сравнение проведено на основании так называемых "индексов запасов", полученных следующим образом. Наибольшему абсолютному значению величины запасов по каждому виду сырья присвоен индекс, равный единице.

Таблица 4

Соотношение обеспеченности стран и регионов Северо-Восточной Азии важнейшими видами минеральных ресурсов (по уровню общих запасов на 01.01.2009 г.)

Виды минеральных ресурсов

Дальний Восток России

Монголия

Китай

КНДР

Республика Корея

Япония

1

2

3

4

5

6

7

Золото


0,06

1,00

0,04

0,01

0,21

Серебро

0,57

0,57

0,57

0,05

0,23

1,00

Вольфрам

0,09

0,01

1,00

0,03

0,06

0,0

Олово

0,10

0,01

1,00

-

0,0

0,01

Свинец

0,05

0,05

1,00

0,35

0,13

0,11

Цинк

0,02

0,08

1,00

0,26

0,10

0,16

Медь

0,0

0,15

1,00

0,04

0,0

0,02

Молибден


0,50

1,00


0,02

0,0

Сурьма

0,10

0,0

1,00

0,0

0,0

0,0

Железные руды

0,14

0,03

1,00

1,13

0,01

0,01

Плавиковый шпат

0,76

0,24

1,00

0,02

0,01

0,0


Далее, внутри каждого вида сырья все остальные значения по странам сравниваются с этой величиной.

Как следует из таблицы 4, Китай значительно опережает страны и регионы СВА. Однако, несмотря на высокие абсолютные оценки минерального потенциала, многие специалисты в Китае весьма сдержанно относятся к оценке собственных запасов природных ресурсов. При всем богатстве минеральными ресурсами на душу населения их приходится значительно меньше мирового среднедушевого уровня. Уже известные запасы минерального сырья недостаточны. По оценкам Министерства земельных и природных ресурсов КНР нынешние запасы по 24 видам из 45 главных видов минералов смогут удовлетворить внутренний спрос только до 2010 г., а к 2020 г. в стране будут достаточные резервы только по шести видам минералов.

Важную роль в национальной экономике играет не только собственно наличие минеральных ресурсов, но и масштабы их добычи, глубина переработки, т.е. развитие горнодобывающей промышленности. Выше говорилось, что Северо-Восточная Азия является регионом как с высоким уровнем спроса на продукты переработки минерального сырья, так и с достаточно развитой горнодобывающей промышленностью.

Горнодобывающая промышленность играет значительную роль в экономическом развитии Монголии. Горнорудная отрасль, являясь самой крупной отраслью национальной экономики, производит 55% промышленной и от 40 до 60% экспортной продукции страны, в ней заняты 17 тыс. чел. Монголия - один из самых крупных производителей и экспортеров меди и молибдена в Азии и лидер мирового производства плавикового шпата (четвертое место в мире). Состояние горнодобывающей промышленности обусловлено развитием таких ее подотраслей, как медно-молибденовая, плавикошпатовая, золотодобывающая и угольная. Наиболее значительными в отрасли являются совместные монголо-российские предприятия "Монголросцветмет" и "Эрдэнет". Динамика производства продукции горнодобывающего комплекса Монголии в 1990-2000 гг. выглядела неоднозначно. Так, за этот период добыча золота возросла более чем в 14 раз, серебра в 1,7 и медно-молибденовой руды в 1,2 раза. При этом почти на 25% снизилась добыча плавико-шпатовой руды, на 35% - производство вольфрамового концентрата, практически прекращена добыча олова.

Горнодобывающая промышленность Китая - крупнейшая в мире. КНР - лидер мирового производства угля, олова, вольфрама, цинка, меди, золота, сурьмы, графита и редкоземельных металлов. В национальной экономике около 20% общей суммы торговли дают минеральные продукты; минерально-сырьевой сектор обеспечивает 95% энергии и 80% сырья, используемого в экономике. В этой сфере занято около 21 млн. чел., работают 10,3 тыс. государственных и 280 тыс. находящихся в частной и коллективной собственности предприятий. Динамика производства продукции горнодобывающего комплекса Китая в 1990-2000 гг. практически по всем видам минеральных продуктов положительна: в 1,6-1,8 раза возросло в этот период производство серебра, олова, свинца и цинка (в концентрате и рафинированных продуктов); почти в полтора раза - добыча золота; росло производство меди и плавикового шпата. Практически не изменилась добыча железных руд и производство вольфрама в концентрате, снижение коснулось только молибдена (на 16%) и сурьмы (почти на 20%).

Северная Корея располагает благоприятными условиями для развития черной и цветной металлургии, и до 1994 г. основным экспортным товаром страны являлась продукция металлургии, однако в настоящее время наблюдается тенденция к сокращению этой важной статьи северокорейского экспорта. Что касается динамики производства важнейших видов металлов, то следует отметить сохранение объемов добычи железной руды, вольфрама, свинца, меди, плавикового шпата. В 1995-1999 гг. значительно снизилась добыча драгоценных металлов: золота более чем в 2 раза, серебра - в 12 раз. Сократились более чем в два раза объемы добычи и переработки цинка, оставаясь, однако, достаточными для удовлетворения внутренней потребности страны в этом металле. Недостаточно первичного алюминия - потребление его в два раза превышает собственное производство. Производство рафинированной меди обладает определенным экспортным потенциалом: ее потребление в КНДР в два раза ниже сложившегося уровня производства.

Республика Корея имеет два крупных предприятия по выплавке цветных металлов - по производству меди (LG Metals) и цинка (Korea Zinc), обеспечивающих своей продукцией соответственно около 40 и 80% общего потребления этих металлов в стране. Поскольку своей минерально-сырьевой базы у Кореи нет, предприятия импортируют концентраты. Другие базовые цветные металлы импортируются в виде слитков и готовых изделий из них. Соотношение между добычей собственных минеральных ресурсов и получением конечных минеральных продуктов (в основном из импортного сырья), и соответственно уровень обеспеченности потребностей экономики собственной минерально-сырьевой базой в Республике Корея достаточно ясно прослеживается в таблице 5. Важным структурным элементом сырьевой базы становятся в Корее отходы металлургического и обогатительного производства.

Такие же тенденции характерны и для Японии (Таблица 6). Небогатая минерально-сырьевая база предопределила и незначительный уровень развития собственной горнодобывающей промышленности, имеющей к тому же тенденцию к снижению объемов производства в 1970-1980 гг. он снизился практически на треть). Если в 1950-е годы эксплуатировалось более 750 месторождений цветных металлов, а с 1970 по 1990 г. численность предприятий по добыче металлических руд снизилась с 236 до 22, то к концу XX столетия их осталось только около десяти.

Несмотря на незначительное развитие собственной горнодобывающей отрасли, роль национальной металлургической промышленности существенна не только в экономике Японии, но и в АТР и оказывает серьезное влияние на развитие горнодобывающей и металлургической отрасли всего региона. Япония традиционно является крупнейшим в регионе импортером руд и концентратов цветных металлов для дальнейшей переработки (плавка и рафинирование).

Анализ ситуации с развитием горнодобывающей промышленности в СВА позволяет сделать некоторые выводы. Северо-Восточная Азия, являясь крупнейшим мировым потребителем и импортером минерального сырья, в то же время один из крупных мировых производителей важнейших видов минеральных продуктов. Здесь сосредоточен почти весь мировой выпуск вольфрама в концентрате (87,0% мирового производства на начало 2000 г.), сурьмы в концентрате (88,4%) и первичной сурьмяной продукции (92,3%); около 60% производства плавикошпатовых концентратов; около 40% - олова в концентрате и рафинированного олова; добывается четверть железных руд, выплавляется более трети стали и пятая часть рафинированной меди; добывается и производится от 20 до 30% свинца, цинка, молибдена и их продуктов, около 10% золота и серебра. В таблицах 7 и 8 показан вклад стран и регионов Северо-Восточной Азии в производство наиболее важных первичных и конечных минеральных продуктов.

Таблица 5

Динамика производства минеральных продуктов в Республике Корея

Виды минеральных продуктов

2004

2005

2006

2007

2008

2009

1

2

3

4

5

6

7

Свинец в концентрате, тыс. т

4,00

4,0

4,0

5,00

3,6

1,5

Рафинированный свинец, тыс. т

181,00

141,0

182,0

180,00

150,0

181,0

Цинк в концентрате, тыс. т

8,00

9,0

9,0

11,00

10,0

9,5

Рафинированный цинк, тыс. т

279,00

287,0

336,0

390,00

430,0

473,9

Медь рудничная, тыс. т

0,03

0


0,04

0

Н. д.

Медь рафинированная, тыс. т

233, 20

246,2

265,0

368,80

454,0

Н. д.


Таблица 6

Динамика производства минеральных продуктов в Японии

Виды минеральных продуктов

2004

2005

2006

2007

2008

2009

1

2

3

4

5

6

7

Свинец в концентрате, тыс. т

10,0

8,0

5,0

6,00

6,10

8,8

Рафинированный свинец, тыс. т

288,0

287,0

297,0

302,00

293,50

312,1

Цинк в концентрате, тыс. т

95,0

80,0

72,0

68,00

64,00

63,5

Продолжение таблицы 6

1

2

3

4

5

6

7

Рафинированный цинк, тыс. т

664,0

599,0

603,0

608,00

633,00

700,5

Медь рудничная, тыс. т

2,4

1,1

0,9

1,07

1,04

Н. д.

Медь рафинированная, тыс. т

1 188,0

1 251,0

1 278,7

1 277,40

1 342,00

Н. д.


Безусловным лидером по уровню развития минерального сектора экономики в Северо-Восточной Азии является Китай. При этом высок уровень производства не только концентратов (табл. 5), но и продуктов конечного передела - рафинированных металлов (табл. 6). Это принципиально отличает Китай от двух других регионов, минерально-сырьевая база которых достаточно богата и горнодобывающая промышленность входит в отрасли специализации - Дальнего Востока России и Монголии. Добыча на этих территориях золота, серебра, вольфрама, олова, меди, молибдена, сурьмы, плавикового шпата вносит заметный вклад в продукцию минерального сектора СВА, однако здесь практически не развита стадия конечного передела - получение рафинированных металлов из концентратов. Высокий уровень развития именно конечных переделов - получение чистых металлов и сплавов из концентратов - характерен для Республики Корея и Японии (несмотря на их бедную минерально-сырьевую базу).

Таблица 7

Доля стран и регионов в производстве первичных минеральных продуктов в Северо-Восточной Азии на начало 2009 года, %

Виды продуктов

Дальний Восток России

Китай

Монголия

КНДР

Республика Корея

Япония

1

2

3

4

5

6

7

Вольфрам в концентрате

7,0

90,3

0,1

2,6

0

0

Олово в концентрате

5,6

94,4

0

0

0

0

Продолжение таблицы 7

1

2

3

4

5

6

7

Свинец в концентрате

1,4

85,1

0

11,9

0,6

1,0

Цинк в концентрате

0,9

91,2

0

2,6

0,7

4,6

Медь рудничная


77,9

19,7

2,2

0

0,2

Молибден в концентрате

0

91,2

8,5

0

0

0,3

Сурьма в концентрате

4,2

95,8

0

0

0

0

0

95,9

0

4,0

0,1

0

Плавикошпатовый концентрат

0,6

93,9

4,2

1,3

0

0


Таблица 8

Доля стран и регионов в производстве конечных минеральных продуктов в Северо-Восточной Азии на начало 2000 года, %

Виды продуктов

Дальний Восток России

Китай

Монголия

КНДР

Республика Корея

Япония

1

2

3

4

5

6

7

Золото

26,0

62,8

4,4

2,7

0,3

3,8

Серебро

5,9

81,6

2,0

1,7

3,3

5,5

Рафинированное олово

0

99,4

0

0

0

0,6

Рафинированный свинец

0,5

62,0

0

5,4

10,8

21,3

Рафинированный цинк

0

60,6

0

1,4

15,4

22,6

Медь рафинированная

0

39,9

0,1

0,8

14,9

44,2


3.2 Современная минеральная политика в странах Северо-Восточной Азии

Государственная политика в минерально-сырьевой сфере наряду с ресурсным потенциалом является одной из важнейших доминант деловой активности в этом секторе экономики. В таблице 9 представлены факторы, являющиеся ключевыми для корпораций при принятии решений об инвестировании проектов в минерально-сырьевом секторе, и среди важнейших - политика правительства, выраженная через регулирующую и финансовую системы.

Таблица 9

Важнейшие критерии инвестирования проектов в минерально-сырьевом секторе

Главные критерии

Наиболее существенные характеристики

Геологический потенциал


Политическая стабильность в стране


Законодательство в минерально-сырьевой области

Система собственности, безопасность и охрана прав собственника в добывающей сфере; законодательно закрепленный период разведки и добычи сырья; право передачи собственности

Финансовый режим

Стабильность и/или предсказуемость финансового режима; возможность вывоза прибыли; уровень налогового бремени; разумность регулирования обмена валюты; допустимость внешних счетов

Другие факторы, отмеченные компаниями

Обеспечение соответствующего уровня менеджмента; беспристрастность и справедливость принимающей страны при возможных конфликтных ситуациях; обязательства по охране окружающей среды; трудовое законодательство; право на продажу добытого сырья; конфиденциальность информации


Многие страны Восточной Азии, признавая эти детерминанты, находятся в процессе пересмотра своей политики в минеральном секторе, придавая особое значение свободным рыночным принципам и расширению роли частного сектора с целью стимулирования активности и внутренних, и зарубежных компаний как в добывающей, так и в геологоразведочной деятельности. Главными чертами происшедших изменений стали:

устранение или снижение барьеров для иностранных инвестиций в минеральный сектор;

уменьшение финансовых ограничений через изменение налоговых схем;

более тщательное определение связи между правами на разведку и правами на добычу минерального сырья;

ужесточение экологических и социальных требований к деятельности по добыче минерального сырья;

усиление роли государства как регулятора, а не производителя минеральной продукции.

Вместе с изменением законодательства правительства многих азиатских стран пересмотрели и налоговую политику в горнодобывающем секторе. Наиболее типичные черты складывающейся законодательной и финансовой систем в минерально-сырьевом секторе стран Азиатско-Тихоокеанского региона представлены в таблице 10.

Сегодня в Северо-Восточной Азии можно выделить несколько типов минеральной политики, различающихся между собой по целям, задачам и механизмам реализации.

Несмотря на то, что по обеспеченности минеральными ресурсами Китай, Дальний Восток России, Монголия и Северная Корея попадают в одну группу стран, следовало бы выделить как минимум два типа политики в этой группе. Во-первых, это минерально-сырьевая политика Китая, в которой доминируют тенденции самообеспечения при разумных объемах вынужденного экспорта и импорта. Для других же территорий этой группы - Дальнего Востока России и особенно Монголии - характерна политика "настроенности" преимущественно на внешний спрос для развития минерального сектора. Особенно активна и достаточно результативна политика Монголии в этой сфере.

Трудно детально охарактеризовать политику Северной Кореи, но, по оценкам специалистов, если в середине 90-х годов ее минерально-сырьевой сектор был закрыт для иностранных и совместных предприятий, то сейчас наблюдаются проявления политики "открытых дверей" для США, Великобритании, Европейского Союза.

Таблица 10

Типичные характеристики законодательной и финансовой систем в минерально-сырьевом секторе стран АТР

Законодательная система

Основные характеристики

Финансовая система

Основные характеристики

Период доступа к недрам для:


Налог на прибыль корпораций

30-40%

Разведки

6-8 лет

Роялти

2-4% продаж или ценности

Добычи

25-30 лет

Импортные пошлины

Отсутствуют либо минимальные

разведки и добычи

40-50 лет

Налог на дивиденды

10-20%

Гарантия владения

Да

Налоговые каникулы

От 3 лет

Возможность концессии

Да

Вывоз иностранной валюты

Да


В другой группе стран (Япония и Южная Корея), практически не обладающих собственной минерально-сырьевой базой, происходят принципиальные изменения в стратегии обеспеченности минеральным сырьем своих экономик: во-первых, происходит существенное уменьшение импорта руд и концентратов, закрываются мощности по их переработке, возрастает ввоз чистых и высокочистых металлов; во-вторых, в этих странах происходит активный переход от роли покупателя сырьевых ресурсов к роли равноправного партнера минерально-сырьевой деятельности в зарубежных странах.

Важнейшей составляющей интеграционного сотрудничества на международном уровне является институциональный потенциал, определяемый уровнем развития и сопряженности нормативно-правовой базы недропользования в разных странах этого региона. Такие институциональные составляющие, как система собственности, безопасность и охрана прав собственника в добывающей сфере; законодательно закрепленный период разведки и добычи сырья; право передачи собственности, являются определяющими для иностранных инвесторов и компаний для "вхождения" в национальный минеральный сектор других стран. Наиболее важные характеристики национальных Законов о минеральных ресурсах, действующих в странах Северо-Восточной Азии, приведены в таблице 11.

Таблица 11

Основные характеристики законов о минеральных ресурсах, действующих в странах Северо-Восточной Азии


Россия

Монголия

Китай

Республика Корея

Япония

1

2

3

4

5

6

Правовая база

Закон о недрах от 21.02.1992 г. (ред. от 06.06.2003)

Закон о минеральных ресурсах от 01.07.1997 г.

Закон о минеральных ресурсах от 01.01.1997 г.

Закон о минеральных ресурсах от 24.03.1994 г.

Закон о минеральных ресурсах от 20.12.1950 г.

Собственник недр

Государство

Государство

Государство

Владелец минеральных прав

Владелец минеральных прав

Период для геологического изучения

До 5 лет

В целом 7 лет с возможностью продления сроков дважды по 2 года

Не определен, устанавливается по соглашению собственника и недропользо-вателя

Не определен

2 года с возможностью продления дважды на такой же срок

Период для добычи полезных ископаемых

На срок отработки месторождения, исходя из ТЭО

В целом 100 лет, включая возможность продления один раз на 40 лет

 

25 лет с возможностью продления на такой же срок

Не определен

Возможность передачи лицензии

Лицензия не может быть передана третьим лицам, в т. ч. и в пользование

Лицензия может быть передана другому владельцу или использована в качестве залога под заем

Передача лицензии и продажа прав на разведку и добычу полезных ископаемых запрещена

Передача прав на разведку и добычу полезных ископаемых возможна

Передача прав на разведку и добычу полезных ископаемых возможна

Роялти

3,8-8,0% стоимости добываемого сырья (по видам)

2,5% от реализуемой ценности для всех видов полезных ископаемых

0,5-4% стоимости (по видам полезных ископаемых)

Нет данных

0,7-1,0% от стоимости добываемого сырья


Таким образом, экономика Северо-Восточной Азии характеризуется высоким спросом на минеральное сырье и продукты его переработки; значительным, но неравномерно распределенным потенциалом полезных ископаемых и развитием горнодобывающей промышленности. Для этого региона характерна также различная по целям, задачам и механизмам, но активная минеральная политика. Все эти факторы создают объективные предпосылки и "работают" на расширение и интенсификацию сотрудничества в регионе. И диапазон связей в минеральном секторе в зависимости от видов сырья может колебаться от реальной интеграции до реальной конкуренции [2].

Заключение


Успешное экономическое развитие государств зависит от интенсификации инновационного пути преобразования науки и образования для исполнения намеченных программ и обеспечение новыми кадрами, вооруженных новыми научными идеями.

Интенсификация развития топливно-энергетического комплекса, черной и цветной металлургии, химической промышленности, машиностроения, строительных материалов, новых нанотехнологий должна обеспечиваться своевременным укреплением и расширением минерально-сырьевой базы страны. Особая роль при этом отводится стратегическим видам минерального сырья - драгоценным, цветным и редким металлам как основы дальнейшего прогресса в развитии нанотехнологий и водородной энергетики.

Успешное решение проблем прогнозирования, поисков и оценки месторождений разных видов минерального сырья требует подготовки кадров высшей квалификации, владеющих новыми научными знаниями и прогрессивными технологиями.

Целью политики в минеральном секторе экономики стран Северо-Восточной Азии будет стать обеспечение устойчивого развития, направленного на максимизацию чистой социальной и экономической выгоды, получаемой от горнодобывающей промышленности. Определяющими факторами развития минерально-сырьевого сектора в перспективе станут:

общие темпы экономического роста в регионе;

возрастающее воздействие экологических проблем;

взаимоотношения горнодобывающих компаний с местными сообществами и органами власти различных уровней;

возрастание наукоемкости и технологичности процессов поисков, добычи и переработки минерального сырья и связанное с этим усложнение требований к подготовке специалистов минерально-сырьевого комплекса.

Наиболее важные тенденции в минерально-сырьевом секторе Северо-Восточной Азии следующие:

)        сохраняется доминирование канадских и австралийских компаний;

2)      перемещаются вложения в добычу минерального сырья из развитых стран (США, Канада и Австралия) в развивающиеся: в ближайшем будущем от 50 до 70% всех затрат на добычу может быть израсходовано развивающимися странами (по сравнению с 10% в 80-е годы);

)        приоритеты в добыче отдельных видов минерального сырья до 2015 г. не изменятся, и наибольший интерес по-прежнему будет вызывать добыча золота, меди, цинка, серебра, титана, циркония;

)        перспективными для добычи горнодобывающие компании считают никель, алмазы, платину, свинец, редкоземельные металлы, кобальт, алюминий.

Список литературных источников


1.       Коробейников, А.Ф. Прогнозирование и поиски месторождений полезных ископаемых [Текст]: учебник для вузов / А.Ф. Коробейников. - Томск: Изд-во Томского политехнического университета, 2009. - 2-е издание, исправленное и дополненное.

2.       Ломакина, Н.В. Минерально-сырьевой сектор Северо-Восточной Азии. Ресурсы и перспективы [Текст] / Н.В. Ломакина // Россия и АТР <http://elibrary.ru/contents.asp?issueid=292176>. - 2004. - № 4 <http://elibrary.ru/contents.asp?issueid=292176&selid=9025544>.

.        Приказ МПР РФ от 11 декабря 2006 г. №278 "Об утверждении классификации запасов и прогнозных ресурсов твердых полезных ископаемых"

.        Овсянников, Ю.А. Прогнозирование и планирование природопользования [Текст]: учеб. пособие / Ю.А. Овсянников, Я.Я. Яндыганов; Федер. агентство по образованию, Урал. гос. экон. ун-т. - Екатеринбург.: Изд-во Урал. гос. экон. ун-та, 2008.

.        Лукьянчиков, Н.Н. Экономика и организация природопользования Текст]: учеб. пособие / Н.Н. Лукьянчиков, И.М. Потравный. - М.: Юнити-Дана, 2010. - 4-е издание, исправленное и дополненное.

.        Липилин, А.В. Прогнозно-геохимические работы в новых национальных проектах России [Текст] / А.В. Липилин, Б.К. Михайлов, А.А. Головин // Разведка и охрана недр. - 2006. - №10.

.        Сунгатуллин, Р.Х. Минерагенические системы и интегральные модели [Текст] / Р.Х. Сунгатуллин, Г.М. Сунгатуллина // Разведка и охрана недр. - 2007. - №11.

Похожие работы на - Перспективы использования минерально-сырьевых ресурсов в Северо-Восточной Азии

 

Не нашли материал для своей работы?
Поможем написать уникальную работу
Без плагиата!
Без нейросетей!