Анализ эффективности инвестиций в строительство теплоэлектроцентрали

  • Вид работы:
    Курсовая работа (т)
  • Предмет:
    Эктеория
  • Язык:
    Русский
    ,
    Формат файла:
    MS Word
    834,52 Кб
  • Опубликовано:
    2014-01-29
Вы можете узнать стоимость помощи в написании студенческой работы.
Помощь в написании работы, которую точно примут!

Анализ эффективности инвестиций в строительство теплоэлектроцентрали

Введение

Данная курсовая работа посвящена оценке эффективности инвестиционного проекта «Строительство ТЭЦ». Одним из важнейших решений, предшествующих созданию организации является определение вида, метода, и объёмов инвестирования в проект. Данное решение определяет дальнейшую деятельность организации, её доходность и эффективность.

В данной курсовой работе, оценивается эффективность инвестиций в ТЭЦ, сооружаемую на берегу реки на участке площадью 200 га и предназначеную для обеспечения потребности в тепле жилищно-коммунального сектора, покрытия дефицита в других районах города и дефицита электрической мощности в энергосистеме региона.

В проекте используется современная технология парогазовых установок(ПГУ). Парогазовый энергоблок обеспечивает более эффективное использование топлива и реализацию преимуществ электростанций с ПГУ, т.е. более высокий КПД, высокую экономичность, маневренность, быстрое сооружение и окупаемость, минимальное воздействие на окружающую среду, низкую удельную металлоемкость.

Предприятие проектируется на выпуск двух видов продукции: отпуск теплоты потребителям в объеме 3554 тыс.Гкал; отпуск электроэнергии потребителям в объеме 5500 млн кВт/ч. Гарантией реализации проектных объемов продукции является имеющийся в настоящее время в зоне действия ТЭЦ дефицит как по теплу, так и по электроэнергии.

Основным топливом для парогазовых энергоблоков является природный газ, аварийным - тяжелое дизельное топливо производства местного нефтеперерабатывающего завода. Для подачи газа проектируется соответствующее газовое хозяйство.

Источником водоснабжения является городской водопровод, а также специально сооружаемый на реке водозабор для технического водоснабжения. Для охраны водного бассейна предусмотрено проведение специальных мероприятий.

Расчетный период проекта строительства и эксплуатации ТЭЦ принят в 30 лет.

Отрасль, которой относится проектируемый объект, является естественной монополией, поэтому цена на продукцию, реализуемую потребителям, устанавливается государством и примерно соответствует темпам инфляции в народном хозяйстве. Поставщик топлива также является естественной монополией, регулирование цен по которой производится государственным органом. Поэтому в расчетах экономической эффективности принято условие, что инфляционные составляющие взаимно компенсируют друг друга и не оказывают существенного влияния на конечные результаты.

Проект социально значим, и служит для покрытия дефицита тепла. Кроме того, выработка дополнительной электроэнергии, покрывающей дефицит региона, будет способствовать стабилизации электроснабжения и устранит причину убытков, возникающих в связи с внезапным отключением энергии.

1. Источники финансирования проекта

проект теплоэлектроцентраль амортизация фонд

Выручка от реализации продукции формирует основную часть доходов, генерируемых проектом. Основную часть выручки предприятие получает в конце года, в это же время предприятие рассчитывается с бюджетом, а расчеты с поставщиками производятся в начале расчетного периода.

К источникам финансирования капитальных вложений относятся денежные средства, аккумулируемые в целевых фондах, на счетах предприятий и направляемые на капитальные вложения: при строительстве объектов - на оплату проектно-изыскательских, строительно-монтажных работ, приобретение оборудования; при покупке объектов на оплату их цены.

Финансирование капитальных вложений производится за счет:

) собственных финансовых ресурсов и внутрихозяйственных резервов инвестора (прибыли, амортизации накопленных денежных средств и сбережений граждан, юридических лиц, средств страхования (возмещения потерь от пожаров, стихийных бедствий и др.;

) заемных финансов инвестора или его средств (облигационных займов и др.);

) привлеченных финансовых средств инвесторов (продажи акций, паевых взносов членов трудовых коллективов, граждан, юридических лиц);

) финансовых средств, предоставленных организациями, а именно союзами предприятий;

) внебюджетных фондов и их средств;

) федерального бюджета и его средств, предоставляемых на безвозвратной и возвратной основе, и средств бюджетов субъектов РФ;

) иностранных инвесторов и их средств.

Капитальное вложение и его финансирование по строительным объектам может осуществляться как за счет одного, так и за счет нескольких источников.

В данном инвестиционном проекте финансирование производится за счёт собственных и заёмных капитальных вложений. Собственные средства составляют 5,5 млрд.рублей, а кредитные в свою очередь 4,5 млрд.рублей. Одновременное сочетание двух видов финансирования сглаживает недостатки каждого по отдельности и уменьшает риски.

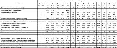
Капитальные вложения и ввод основных фондов


Денежная (или стоимостная) оценка основных фондов необходима для определения их общего объема, динамики, структуры, величины стоимости, переносимой на готовую продукцию, а также для расчетов экономической эффективности капитальных вложений.

Существует шесть видов денежной оценки основных фондов:

·        первоначальная стоимость;

·        восстановительная стоимость;

·        остаточная стоимость;

·        ликвидационная стоимость;

·        балансовая стоимость;

·        рыночная стоимость.

Первоначальная стоимость основных фондов включает стоимость приобретения оборудования (постройки здания), транспортные расходы по доставке и стоимость монтажа. По первоначальной стоимости фонды принимаются на учет, определяется их амортизация и другие показатели. Текущая остаточная стоимость определяется вычитанием суммарной накопленной амортизации основного средства из первоначальной стоимости.

Восстановительная стоимость - это затраты на воспроизводство основных фондов в современных условиях. Она устанавливается, как правило, во время переоценки основных фондов. Для определения восстановительной стоимости основных средств производится их периодическая переоценка. За базисную оценку принимается первоначальная их стоимость. Пересчет ее производится с помощью специальных коэффициентов, характеризующих уровень изменения (как правило - это их рост) цен и расценок на создание основных фондов. Эта стоимость также корректируется в последующем периоде в связи с модернизацией, реконструкцией и износом. Под модернизацией и реконструкцией принято понимать улучшение качественных характеристик объектов основных средств (увеличение их мощности, срока службы и т.п.). Затраты на модернизацию и реконструкцию основных средств в себестоимость не включается, а относятся на увеличение их первоначальной стоимости.

Переоценка основных фондов - это определение реальной стоимости основных фондов (основных средств) организаций на современном этапе становления рыночной экономики и создания предпосылок для нормализации инвестиционных процессов в стране. Переоценка позволяет получить объективные данные об основных фондах, их общем объеме, отраслевой структуре, территориальном разделении и техническом состоянии. Организация имеет право не чаще одного раза в год (на начало отчетного года) переоценивать объекты основных средств

Остаточная стоимость - разность между первоначальной или восстановительной стоимостью основных фондов и суммой их износа. Оценка по остаточной стоимости служит для выявления реальной стоимости ОПФ, она позволяет определить размер неизношенной или годной части фондов, т.е. величину стоимости ОПФ, неперенесенную через амортизацию на стоимость изготовленной при их использовании продукции.

Ликвидационная стоимость - стоимость реализации изношенных или выведенных из эксплуатации отдельных объектов основных фондов.

Балансовая стоимость - это стоимость объектов с учетом переоценки, по которой они числятся на балансе предприятия. Является смешанной оценкой: для одних объектов в качестве балансовой стоимости используется восстановительная стоимость, для других - первоначальная.

 

. Расчет амортизации и остаточной стоимости основных фондов



Амортизационные отчисления - это отчисления, периодически производимые по установленным нормам от стоимости амортизируемого имущества и включаемые в себестоимость продукции (издержки производства или обращения). Накопленные амортизационные отчисления являются источником финансирования расходов на замену (восстановление, воспроизводство) основных фондов путем включения в издержки производства или обращения.

Амортизационные отчисления являются собственным финансовым ресурсом предприятия и не облагаются налогом.

Начисление амортизации может осуществляться только теми способами, которые разрешены к применению. В настоящее время амортизация объектов основных средств в России производится одним из следующих способов:

·        линейным способом;

·        способом уменьшаемого остатка;

·        способом списания стоимости по сумме чисел лет срока полезного использования;

·        способом списания стоимости пропорционально объему продукции (работ);

Линейный способ относится к самым распространенным. Его используют примерно 70 % всех предприятий. Популярность линейного способа обусловлена простотой применения.

Суть его в том, что каждый год амортизируется равная часть стоимости данного вида основных средств.

Ежегодную сумму амортизационных отчислений рассчитывают следующим образом:

А= (С_перв*На )/100,

где А - ежегодная сумма амортизационных отчислений; Сперв - первоначальная стоимость объекта; На - норма амортизационных отчислений.

Срок полезного использования объектов определяется организацией самостоятельно при принятии объекта к бухгалтерскому учету.

При способе уменьшаемого остатка годовая сумма амортизационных отчислений определяется исходя из остаточной стоимости объекта основных средств на начало отчетного года и нормы амортизации, исчисленной на основании срока полезного использования этого объекта:

А= С_ост*(к*На )/100,

где Сост - остаточная стоимость объекта; к - коэффициент ускорения; На - норма амортизации для данного объекта.

При способе списания стоимости по сумме чисел лет срока полезного использования годовая сумма амортизации определяется исходя из первоначальной стоимости объекта основных средств и годового соотношения, где в числителе число лет, остающихся до конца срока службы объекта, а в знаменателе - сумма чисел лет срока службы объекта:

А= С_перв*(Тост )/(Т(Т+1)/2),

где Сперв - первоначальная стоимость объекта; Тост - количество лет, оставшихся до окончания срока полезного использования; Т - срок полезного использования.

Этот способ эквивалентен способу уменьшаемого остатка, но дает возможность списать всю стоимость объекта без остатка

При способе списания стоимости пропорционально объему продукции (работ) начисление амортизационных отчислений производится на основе натурального показателя объема продукции (работ) в отчетном периоде и соотношения первоначальной стоимости объекта основных средств и предполагаемого объема продукции (работ) за весь срок полезного использования объекта основных средств:

А= (С )/В,

где А - сумма амортизации на единицу продукции; С - первоначальная стоимость объекта основных средств; В - предполагаемый объем производства продукции.

Данный метод применяется там, где износ основных средств напрямую связан с частотой их использования.

Способ расчета амортизации пропорционально объему работы применяется преимущественно для автотранспорта. При способе списания стоимости основного средства пропорционально объему продукции (работ, услуг) начисление амортизационных отчислений производится исходя из натурального показателя объема продукции (работ) в отчетном периоде и соотношения первоначальной стоимости объекта основных средств и предполагаемого объема продукции (работ) за весь срок полезного использования объекта основных средств.

На данном нам предприятии для начисления амортизации, используется линейный метод. Что предполагает предполагает равномерное отнесение первоначальной стоимости объекта на расходы в продолжение срока его полезного использования.

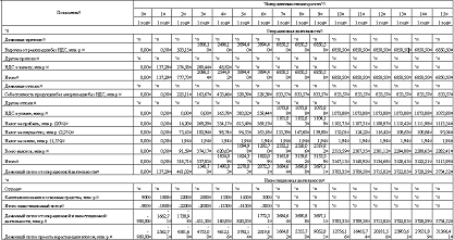
3. Расчет объема производства и реализации продукции



Налог на добавленную стоимость. Сумма налога - соответствующая налоговой ставке процентная доля налоговой базы, а при раздельном учете - сумма налога, полученная в результате сложения сумм налогов, исчисляемых отдельно как соответствующие налоговым ставкам процентные доли соответствующих налоговых баз.

Сумма налога, подлежащая уплате в бюджет, исчисляется по итогам каждого налогового периода. Сумма налога к уплате рассчитывается как общая сумма налога минус сумма налоговых вычетов плюс суммы восстановленного налога.

Выручка от реализации продукции на данном предприятии складывается из выручки от реализации электроэнергии и выручки от реализации теплоты.

3. Расчет полных производственных затрат




Затраты на производство и реализацию продукции представляют собой совокупность выраженных в денежной форме расходов предприятий на производство и реализацию продукции (работ, услуг). Они обеспечивают непрерывность производства и создают условия для реализации продукции.

По способу включения затрат в себестоимость рассматриваются:

·        прямые затраты - это затраты, которые на основе первичных документов могут быть непосредственно отнесены на определенный вид продукции;

·        косвенные затраты - это затраты, которые связаны с производством всех видов продукции и распределяются между ее отдельными видами пропорционально выбранным критериям распределения.

По динамике уровня затрат, связанной с изменением объемов производства выделяются:

·        постоянные (условно-постоянные) затраты - это затраты, не связанные непосредственно с изменением объемов производства продукции (в определенных интервалах), например общехозяйственные расходы;

·        переменные затраты - это затраты, которые изменяются прямо пропорционально изменению объемов производства выпускаемой продукции.

Затраты, рассчитанные в таблице расчета полных производственных затрат, можно классифицировать следующим образом:

.Прямые затраты:

)Материальные затраты:

·        затраты на топливо

·        затраты на воду

·        затраты на хим.реактивы

.Косвенные затраты:

·        Затраты на оплату труда персонала

·        Отчисления на социальные взносы

·        Амортизация

·        Прочие расходы

Себестоимость - денежное выражение затрат на производство и реализацию единицы продукции. Выступает качественной характеристикой деятельности производителя, показателем конкурентоспособности. Включает в себя: затраты на сырье и материалы; оплату труда; отчисления на социальные нужды; амортизацию основных фондов; прочие расходы.

Социальные налоги - это отчисления в пенсионный фонд, в фонд социального страхования, в фонд занятости, в фонд медицинского страхования. Величина перечисленных социальных налогов жестко связана с расходами на заработную плату предприятия, поддается количественному измерению, включается в себестоимость продукции в качестве самостоятельной статьи затрат - отчисления на социальные нужды.

Налоги, реализуемые ценой, позволяют ей выполнять значительную социально-экономическую роль. Во-первых, налоги в цене являются главным источником формирования доходов государственного бюджета. Во-вторых, влияют на развитие производства, способствуя его росту или, наоборот, сокращению. В-третьих, могут быть фактором регулирования уровня цен, средством воздействия на их рост, инфляцию или снижение. В-четвертых, налоги выполняют активные социальные действия - определяют степень социальной справедливости, влияя на доходы различных слоев населения.

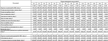
4.Расчет прибыли и убытков



5. Денежные потоки проекта



6. Расчет обслуживания кредита, млн. р.


7. Расчет показателей эффективности



Под денежным потоком (cash flow) инвестиционного проекта понимают поступления и выплаты денежных средств, связанные исключительно с реализацией этого проекта. К денежным потокам проекта не относится движение денежных средств, возникающее в результате текущей деятельности предприятия.

Денежный поток инвестиционного проекта - это зависимость от времени денежных поступлений (притоков) и платежей (оттоков) при реализации проекта, определяемая для всего расчётного периода.

В зависимости от вида деятельности различают денежные потоки по операционной, инвестиционной и финансовой деятельности.

Потоки денежных средств от операционной деятельности, главным образом, возникают из основной, приносящей доход, деятельности организации и являются результатом операций и событий, входящих в определение чистой прибыли (убытков). К денежным потокам от операционной деятельности на данном предприятии относятся:

·        денежные поступления в виде выручки от реализации продукции (электроэнергии и теплоты)

·        денежные выплаты налогов и сборов в бюджеты всех уровней и внебюджетные фонды (НДС, налог на прибыль, налог на имущество, налог на землю, так же себестоимость продукции)

Инвестиционной деятельностью считается деятельность компании, связанная с капитальными вложениями в связи с приобретением основных средств, нематериальных активов и других внеоборотных активов, а также их продажей; с осуществлением долгосрочных финансовых вложений в другие предприятия и т.п.

Таким образом, инвестиционная деятельность - это приобретение и реализация долгосрочных активов и финансовых вложений, не относящихся к эквивалентам денежных средств.

Финансовой деятельностью компании считается деятельность, связанная с осуществлением краткосрочных финансовых вложений, выпуском акций и других ценных бумаг, привлечением и погашением займов, процентов по кредитам и другие выплаты, связанные с осуществлением финансовой деятельности. Финансовая деятельность приводит к изменениям в размерах и структуре собственного и заемного капитала (за исключением текущей кредиторской задолженности).

На начальной стадии осуществления проекта (инвестиционный период) денежные потоки, как правило, оказываются отрицательными. Это отражает отток ресурсов, происходящий в связи с созданием условий для последующей деятельности (например, приобретением внеоборотных активов и формированием чистого оборотного капитала). После завершения инвестиционного и начала операционного периода, связанного с началом эксплуатации внеоборотных активов, величина денежного потока, становится положительной.

Наряду с денежными потоками при оценке инвестиционного проекта используется также накопленный (кумулятивный) денежный поток. Его характеристиками являются накопленный приток, накопленный отток и накопленное сальдо (накопленный эффект). Эти показатели определяются на каждом шаге расчётного периода как сумма соответствующих характеристик денежного потока за данный и все предшествующие шаги.

В расчете показателей эффективности инвестиционного проекта используется интегральный эффект или чистый дисконтированный доход т.е. текущая стоимость будущих доходов. Он равен сумме приведенных по стоимости потоков:


где D_i - суммарный доход в i-ом периоде;_i - суммарные расходы в i-ом периоде;_i -коэффициент дисконтирования в i-ом периоде;- число периодов.

Срок окупаемости проекта определяется рядом лет, в течении которых, совокупные прогнозируемые потоки денежных средств покрывают первоначальные инвестиции. В данном инвестиционном проекте, срок окупаемости равен 7 лет 4 месяца.

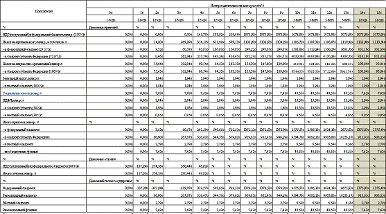
Наиболее приемлемой, для нахождения точной нормы доходности долгосрочных активов является так называемая норма доходности дисконтированных потоков денежных средств - внутренняя норма доходности - это такая ставка дисконта, при которой чистая приведенная стоимость равняется нулю.

На практике ВНД обычно находят методом подбора при использовании таблиц текущей стоимости либо применяют финансовые калькуляторы. Самым информативным способом нахождения данной служит способ графического построения кривой внутренней нормы доходности - различные варианты ставки дисконтирования и соответствующей ей ЧДД.

Для построения кривой находятся несколько положительных ЧДД (при относительно низкой ставке дисконтирования) и хотя бы один отрицательный (при относительно высокой ставке дисконтирования), затем наносятся на сетку координат - и искомая ставка дисконтирования находится в точке пересечения с осью координат.

В приложенном графике по данному инвестиционному проекту видно, что ВНД = 27%. Он больше ставки дисконтирования, следовательно, проект является выгодным. Но не большая положительная разница говорит о том, что риск по проекту относительно высок.

Индекс доходности дисконтированных инвестиций показывает текущую стоимость будущих денежных потоков инвестиционного проекта, поделенную на его стоимость.

В данном инвестиционном проекте ИДД равен 2,15 руб. Что говорит о том, что на один вложенный рубль инвестор может получить доход в 2,15 рублей за расчетный период осуществления проекта(30 лет).

8.Расчет бюджетной эффективности проекта




. Сравнение двух альтернативных проектов

Для сравнения был взят инвестиционный проект третьего варианта. У этого варианта, капитальные вложения были в виде собственных средств в размере 4 млрд.рублей и в виде акционерных средств в размере 6 млрд.рублей.

Для сравнения взяты такие показатели как индекс доходности дисконтированных инвестиций (ИДД), внутренняя норма доходности (IRR) и срок окупаемости проекта.

Показатель ИДД в третьем варианте равен 2,11, тогда как в данном варианте ИДД составляет 2,15. Это означает, что в инвестиционном проекте третьего варианта на один рубль затраченных средств, инвестор может получить 2,11 рубля дохода, тогда как в данном варианте на один рубль затраченных средств, инвестор может получить 2,15 рубля дохода, что больше на 0,04 рубля и что делает данный вариант более доходным.

Показатель IRR в третьем варианте равен 29%, тогда как в данном варианте IRR равен 27%. Данный показатель характеризует доходность инвестиционного проекта и чем IRR выше, тем выше будет доходность проекта. У данного варианта этот показатель ниже на 2%,что говорит о том, что инвестиционный проект третьего варианта является более доходным.

Срок окупаемости инвестиционного проекта третьего варианта равен 8 лет 7 месяцев, тогда как срок окупаемости в данном варианте равен 7 лет 2 месяце, что на 1 год 5 месяцев меньше. Чем меньше срок окупаемости проекта, тем он считается более эффективным.

Таким образом, в данном проекте показание ИДД и срок окупаемости выше, не смотря на то, что значение показателя IRR в 3 варианте более высокий можно сделать вывод о том что проект 19 варианта является более выгодным за счет более высоких объемов выпуска, более высокой цены и меньших норм расходов. 

Похожие работы на - Анализ эффективности инвестиций в строительство теплоэлектроцентрали

 

Не нашли материал для своей работы?
Поможем написать уникальную работу
Без плагиата!
Без нейросетей!