Основные климатические показатели

  • Вид работы:
    Контрольная работа
  • Предмет:
    Геология
  • Язык:
    Русский
    ,
    Формат файла:
    MS Word
    103,3 Кб
  • Опубликовано:
    2014-03-24
Вы можете узнать стоимость помощи в написании студенческой работы.
Помощь в написании работы, которую точно примут!

Основные климатические показатели

Министерство образования Российской Федерации

ТОМСКИЙ ГОСУДАРСТВЕННЫЙ УНИВЕРСИТЕТ

Геолого - географический факультет

Кафедра метеорологии и климатологии








Основные климатические показатели


Выполнила:

Студентка гр.02003

Чернышева А.А.

Проверила:

Носырева О.В.





Томск 2012

1. Теоретическая часть

1. Понятие о метеорологических рядах.

За продолжительное время на станциях накапливается материал метеорологических наблюдений, который служит основой для составления метеорологических рядов. Метеорологический ряд - статистическая совокупность числовых значений метеорологических величин или характеристик атмосферного явления. Статистическая совокупность может быть представлена:

. В виде простого статистического ряда (простая статистическая совокупность).

. В виде статистического распределения (группированный ряд).

. В виде ранжированного ряда.

В первом случае значения хi величины х, наблюдавшиеся в момент времени tj, обычно располагаются в хронологической последовательности (хронологический ряд). Примером хронологического ряда служат различного рода таблицы последовательных записей результатов метеорологических наблюдений (например, таблицы месячной отчетности). Метеорологический ряд, представленный в виде хронологической последовательности, имеет важное значение, так как только по хронологическому ряду возможно рассчитать различные характеристики динамики ряда (например, изменения и колебания климата), изучить закономерности изменения случайной величины во времени - от года к году, от одного десятилетия к другому десятилетию и т.д.

Одним из видов обобщения результатов многолетних наблюдений является представление метеорологического ряда в виде статистического распределения. Он состоит в группировке числовых значений метеорологических величин по определенным градациям (интервалам). Статистическое распределение записываются в виде таблицы, входами в которую являются интервалы (или середины интервалов) и численности, выражающие частоту значении данного элемента, входящих в каждый интервал:

Середина интервала.......... xj x1 x2 x3 xk

Абсолютная частота......... mj m1 m2 m mk

Относительная частота...... pj p1 p2 p3 pk

Численностями интервалов служат абсолютная (mj) и относительная (pj) частоты интервалов.

Абсолютная частота интервалов - это число случаев попадания значений метеорологических величин в тот или иной интервал.


где N - объем статистической совокупности (число наблюдений).

Относительная частота интервала выражается отношением числа случаев со значениями элемента, входящими в данный интервал, к общему числу наблюдении:


Метеорологический ряд в виде статистического распределения представляет обобщение результатов наблюдении и позволяет получить верное представление об основных закономерностях многолетнего режима метеорологических величин: о наиболее часто встречающихся значениях элемента и диапазоне его изменении.

При представлении группированного ряда важно выбрать размер градации. Однозначных рекомендаций по этому вопросу нет в литературе. Однако имеются некоторые эмпирические правила определения ширины интервала.

При выборе числовых градаций рекомендуется основываться на следующих положениях: 1) при группировке необходимо руководствоваться генетическими соображениями, объемом выборки и изменчивостью элемента; 2) градации не должны перекрываться; 3) не должны группироваться вблизи одной границы распределения; 4) при затруднении выбора числа градаций на основе генетических соображений необходимо использовать числовые оценки.

Одним из наиболее простых способов определения числа градаций является выражение:


где k - число градаций, N - объем обрабатываемой информации, lgN -десятичный логарифм N.

Установлено примерно следующее максимально возможное число градаций в зависимости от числа наблюдений:

число наблюдений (п) 30 50 100 500

число градаций (k) 7 8 10 13

Из всего объема совокупности выбирают наименьшее значение хmin.- и наибольшее значение хmax величины и определяют размер градации:


где i - размер градации.

С учетом асимметричности распределений при наличии известного среднеквадратического отклонения (σ) группировку рекомендуется проводить следующим образом.

. По средним квадратическим отклонениям с границами градаций:

. То же по 0,5<J - всего 14 градаций.

В специальных целях может быть принята и другая последовательность результатов наблюдений. Метеорологический ряд представляется в порядке возрастания (или убывания) числовых значений членов ряда - ранжированный ряд.


По ранжированному ряду можно вычислить (определить) интегральную вероятность (накопленную - кумулятивную повторяемость): где m - порядковый номер члена ряда, n - объем совокупности.

Для ранжированного ряда в качестве средней величины находится медиана.

Медианой называется значение, стоящее в центре ранжированного ряда, т.е. расположенного в порядке убывания или возрастания значений хi. При этом число единиц совокупности с большим или меньшим, чем медиана, значением ряда одинаково.

Если всем единицам ряда придать порядковые номера, то номер медианы в ряду с нечетным числом "n" определяется как (n+1)/2. Например, в ряду из 81 члена номер медианы (81+1)/2=41, т.е. медианой является значение, стоящее в ряду под номером 41.

Если число членов в ряду четное, то медиану определяют как среднюю из двух центральных значений ранжированного ряда, порядковые номера которых n/2 и (n/2+l).

Так, если в ряду 80 значений, то центральными будут ранжированные значения с порядковыми номерами 80/2=40 и (80/2+1)=41.

Медиану рекомендуется определять в дополнение к средней арифметической при асимметричных распределениях. Медиана может быть определена графическим путем. По интегральной кривой распределения медиана (Me) определяется как 50% квантиль (значение метеорологической величины, накопленная вероятность которой p=0,5)

Ряды, подлежащие климатологической . обработке, могут быть составлены из средних суточных, экстремальных величин, средних месячных значений метеовеличин за отдельные годы, из средних широтных за отдельные месяцы и т.д.

. Виды климатических показателей.

Для описания климата используют, получаемые в результате математической обработки метеорологических рядов различные статистические характеристики. Их называют климатическими показателями. Показателями отдельных метеорологических величин обычно служат: средние значения; крайние (максимальные и минимальные) значения; повторяемость (или вероятность) и накопленная (кумулятивная) повторяемость различных значений элементов; показатели изменчивости; показатели асимметрии и крутости кривой распределения. Все климатические показатели вычисляются по многолетним данным для каждого месяца (сезона) или в целом за год.

Средние значения. В качестве среднего в климатологии чаще всего используется среднее арифметическое значение метеорологического элемента. Оно выражает в виде одного числа наиболее важную часть информации о режиме метеорологических элементов и очень удобно для сопоставления метеоэлементов.во времени и пространстве.

Пользуясь средними значениями метеорологических величин легко сравнивать особенности климатов различных районов, что имеет научное и практическое значение. Это сравнение становится особенно наглядным после нанесения на карту многолетних средних значений метеорологических величин, представленных в виде изолиний.

Кроме того, среднее арифметическое является оценкой параметров многих теоретических распределений и удобно при различных математических расчетах.

Среднее представляет собой сумму значений членов ряда х1, x2, x3 .... xn деленную на их общее число n:


Если для вычисления среднего в качестве исходных данных используется сгруппированный метеорологический ряд (статистическое распределение), то применяют формулу:


где хi - срединное значение интервала, m - частота градации, k - число градаций.

Крайние значения. Если бы условия погоды отличались устойчивостью из года в год и изо дня в день, то для характеристики климата было бы достаточно средних данных. Однако характерная черта климата на большей части территории земного шара - это неустойчивость, непостоянство, что и является причиной трудностей при описаниях климата, а также при прогнозах погоды.

В связи с этим в климатологии большое внимание уделяется крайним. значениям метеорологических величин. Они указывают на аномалии погодных процессов, учет которых полезен для многих отраслей народного хозяйства. Так, в северной части Черноморского побережья Кавказа в общем достаточно тепла для выращивания цитрусовых культур, но иногда здесь бывают и заморозки, оказывающие губительное влияние на урожай.

Крайние значения температуры и влажности воздуха необходимы для оценки условий хранения различных материалов и оборудования на открытом воздухе. Резкие повышения температуры до нуля в морозные периоды -оттепели - сокращают сроки эксплуатации различных сооружений. Кратковременные ливневые осадки приводят к наводнениям, разрушают наземные пути сообщения. Сильные снегопады и метели создают снегозаносы и нарушают работу наземного транспорта.

Для оценки крайних значений метеорологических . величин в климатологии принято определять:

а) абсолютный максимум и абсолютный минимум;

б) средние из абсолютных максимумов или минимумов (средние из' годовых экстремальных величин);

в) средние экстремумы за месяц, т.е. средние значения из максимумов и минимумов за сутки.

Крайние значения выбираются из многолетних наблюдений. Выборку можно производить независимо от того, в каком календарном периоде отмечались экстремальные значения на данной станции или выбирать эти значения только из наблюдений в одноименные календарные периоды (месяцы, сезоны) различных лет. В первом случае мы получаем абсолютный максимум или абсолютный минимум, присущий станции вообще, во втором случае получаем абсолютный максимум или минимум, присущий станции в определенный календарный период. Например, самая низкая температура, которая наблюдалась на ст. Иркутск с 1891 по 1995 гг., была отмечена 12 января 1915 года и составляла -50° С. Эта величина является абсолютным минимумом температуры воздуха на станции Иркутск за этот ряд лет наблюдений.

Другой пример. Просматривая результаты наблюдений по температуре воздуха на той же станции за июль с 1891-1995 гг., отмечаем, что самая низкая температура была отмечена 6 июля 1898 года и составляла 0,4° С. Эта температура является абсолютным минимумом для июля на станции Иркутск.

Так как величины, близкие к абсолютным максимумам и минимумам, наблюдаются редко, то для получения представления о более вероятных низких и высоких значениях температуры вычисляют среднее из экстремальных. Различают средний максимум или средний минимум метеорологических величин и среднее из абсолютных максимумов или минимумов.

Первую характеристику вычисляют как среднее из ежедневных максимальных и минимальных значений, вторую - как среднее из абсолютных максимумов или минимумов, наблюдавшихся за каждый год. Чаще всего в климатологии пользуются средним из абсолютных максимумов (минимумов) по температуре воздуха. Для этого выписывают абсолютный максимум (минимум) за каждый отдельный год и подсчитывают среднее за весь период наблюдений. По крайним значениям метеорологических величин можно судить о климатических контрастах на земном шаре.

Амплитуды. Для решения многих практических вопросов большое значение имеет амплитуда колебаний. В метеорологии и климатологии амплитудой называют разность между максимальным и минимальным значением метеорологической величины. Если разность вычисляется между абсолютным максимумом и абсолютным минимумом, она называется абсолютной амплитудой.

Разность между наибольшими и наименьшими средними месячными (за ряд лет) значениями метеорологических величин называется годовой амплитудой. Амплитуда, полученная как разность между максимальными и минимальными значениями за сутки, называется суточной амплитудой.

Характеристики изменчивости. Характеристиками изменчивости или рассеивания значений элемента относительно среднего служат среднее абсолютное и среднее квадратическое отклонения и коэффициент вариации.

Для того, чтобы показать, насколько сильно колеблются значения элементов в отдельные годы, вычисляют их среднее абсолютное отклонение, т.е. отклонение от многолетней средней. .

Если среднее многолетнее по данному элементу за п лет обозначим через х, а значения за отдельные годы через у,, то получим формулу для вычисления среднего абсолютного отклонения (V):


Смысл среднего абсолютного отклонения прост. Оно показывает, насколько в среднем отдельные значения случайной величины отклоняются от средней арифметической. Чем больше V, тем больше изменчивость данной случайной величины.

При использовании среднего абсолютного отклонения V вклад малых и больших отклонений х от  учитывается одинаково, что снижает ценность V как показателя изменчивости и в настоящее время он употребляется для расчетов редко.

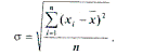
Наиболее распространенным показателем изменчивости является среднее квадратическое отклонение - "сигма". Сигма имеет размерность осредненного признака и вычисляется по формуле:


В тех случаях, когда исходным материалом является статистическое распределение (сгруппированный ряд) используется формула:


где х, - срединное значение интервала (градации), тi - частота градации, k -число градаций.

Среднее квадратическое отклонение является параметром многих теоретических распределений.

Коэффициент вариации является относительной характеристикой, особенно в тех случаях, когда непосредственное сопоставление (средних квадратических отклонений) для. оценки изменчивости является непоказательным. Если возникает необходимость сравнения изменчивости различных рядов или отдельных частей одного ряда, сопоставление рассеивания осуществляется с помощью


Квадрат среднего квадратического отклонения называют дисперсией σ2.

Дисперсия вычисляется по формулам для сгруппированных и несгруппированных данных.

Для простого хронологического ряда дисперсия (σ 2) вычисляется по формуле:


Для статистического распределения (сгруппированный ряд):


Возможная точность средних значений. Какова же вообще точность многолетних средних и какую точность рационально применять для климатологических характеристик - нужны ли, например, десятые доли градуса в средних по температуре и т.д.? Абсолютно точной многолетней средней можно считать среднюю за очень длинный период, такой, что от добавления новых лет средняя практически не меняется.

Точность средних определяется обычно путем вычисления их возможных отклонений (ошибок) от средней для бесконечно длинного ряда. Эти ошибки зависят от длины взятого периода наблюдений. Эти отклонения (ошибки) средних, как и ошибки ежегодных данных вычисляются в виде средних квадратических отклонений. Например, по широко известной формуле:


Из формулы делается еще один важный вывод. А именно, можно подсчитать, какой период необходим для того, чтобы средние из этого периода имели заданную точность. Для определения периода представим формулу в таком виде:


Например, зададим для средних температур в Казани точность 0,1°, следовательно, принимаем σ=0,1°. Тогда, зная величины о , получим следующее число лет n, нужное для определения средней многолетней температуры с точностью 0,1°, 1089 лет (январь), 289 лет (июль), 81 год (за год).

Результаты вычисления показывают, что только средние годовые температуры воздуха могут быть определены из имеющихся в настоящее время рядов наблюдений с точностью до 0,1°. Несмотря на только что сделанные выводы, средняя месячная температура приводится с десятыми долями градуса. Нет ли здесь противоречия? Дело в том, что ошибки средних рассчитывались выше по отношению к бесконечно длинному периоду. Это . имеет теоретический интерес и дает представление о возможных колебаниях средних в зависимости от использованного периода наблюдений. Для большинства же вопросов климатологии и для многих практических задач важно иметь среднюю не столько из очень длинных, сколько из одинаковых по длительности рядов наблюдений. Имея одинаковые по длительности ряды, можно правильно решать такие важные вопросы, как сравнение климатических условий различных районов земного шара, изменения и колебания климата и т.д.

Вертикальные градиенты температуры в свободной атмосфере (и некоторые другие величины), рассчитанные на 100 м, необходимо давать в сотых долях градуса, так как ошибка в десятых долях градуса на 100 м повлечет за собой ошибки в несколько градусов для самой температуры уже при нескольких километрах поднятия.

В других случаях десятые и сотые доли градуса являются излишними. Абсолютные максимумы и минимумы температуры принято давать в целых градусах. Эти величины, полученные по единичным наблюдениям, отличаются меньшей точностью, чем средние. Температура на поверхности почвы как средняя, так н крайняя, тоже дается в целых градусах, так как сами наблюдения отличаются небольшой точностью.

Таким образом, точность средней величины зависит от характера запросов. Например, сравнение средних месячных температур с точностью до десятых долей имеет важное значение для сельского хозяйства, для курортологии и вообще в том случае, когда имеют значения систематические различия температуры, повторяющиеся из года в год. Очень точно нужно вычислять вероятность ливня, который может размыть железнодорожную насыпь или разрушить мост данной конструкции и т.д.

В других случаях точность с десятыми долями не требуется. Например, при обслуживании аэродромов, в общедоступных климатических описаниях различных стран и районов.

2. Практическая часть

метеорологический статистический атомсферный климатический

Находим средние температуры по городу Рубцовску с 1960 по 1989 года за август и ранжируем.

1969

15,3

32,5

1967

15,4

25,8

1978

15,5

62,5

1972

15,7

42,5

1960

16,1

2,5

1977

16,2

59,2

1975

16,8

52,5

1979

17,1

65,8

1970

17,2

35,8

1971

17,4

39,2

17,6

69,2

1963

17,6

12,5

1985

17,6

85,8

1961

17,7

5,8

1982

17,7

75,8

1973

17,9

45,8

1965

18,0

19,2

1984

18,0

82,5

1976

18,0

55,8

1968

18,1

29,2

1986

18,4

89,2

1988

18,5

95,8

1964

18,6

15,8

1966

18,9

22,5

1989

18,9

99,2

1983

19,0

79,2

1962

19,0

9,2

1974

19,2

49,2

1987

19,4

92,5

1981

19,7

72,5

макс

19,7

 

мин

15,3

 


Рассчитываем шаг: 0,64

Карман

15,3

15,9

16,6

17,9

18,5

19,1

19,8


Находим интегральную вероятность:


Строим гистограмму:


Карман

Частота

Интегральный %

15,3

1

3,33%

15,9

3

13,33%

16,6

2

20,00%

17,2

3

30,00%

17,9

6

50,00%

18,5

7

73,33%

19,1

5

90,00%

19,8

3

100,00%

Еще

0

100,00%


Находим средние температуры по городу Колпашево с 1960 по 1989 года за август и ранжируем.

1961

11,3

2,5

1976

13,0

5,8

1962

13,0

9,2

1960

13,3

12,5

1964

13,3

15,8

1965

13,5

19,2

1972

13,5

22,5

1963

13,7

25,8

1971

13,8

29,2

1968

13,8

32,5

1974

45,3

1967

13,9

39,2

1966

14,0

42,5

1977

14,0

45,8

1970

14,2

49,2

1983

14,2

52,5

1982

14,3

55,8

1980

14,4

59,2

1973

14,8

62,5

1985

14,9

65,8

1969

15,0

69,2

1978

15,1

72,5

1981

15,1

75,8

1975

15,1

79,2

1984

15,3

82,5

1979

15,3

85,8

1986

15,8

89,2

1987

16,2

92,5

1988

16,8

95,8

1989

17,9

99,2

макс

17,9


мин

11,3



Находим шаг : 0,95

карман

11,3

12,25

13,19

14,14

15,09

16,03

17,93


Находим интегральную вероятность:



Карман

Частота

Интегральный %

11,3

1

3,33%

12,2

0

3,33%

13,2

2

10,00%

14,1

11

46,67%

15,1

7

70,00%

16,0

6

90,00%

17,0

2

96,67%

17,9

1

100,00%

 

 

 


Похожие работы на - Основные климатические показатели

 

Не нашли материал для своей работы?
Поможем написать уникальную работу
Без плагиата!
Без нейросетей!