Методы предупреждения и ликвидации гидратообразования при эксплуатации газовых скважин на примере месторождения Узловое

  • Вид работы:
    Дипломная (ВКР)
  • Предмет:
    Геология
  • Язык:
    Русский
    ,
    Формат файла:
    MS Word
    2,03 Мб
  • Опубликовано:
    2014-01-24
Вы можете узнать стоимость помощи в написании студенческой работы.
Помощь в написании работы, которую точно примут!

Методы предупреждения и ликвидации гидратообразования при эксплуатации газовых скважин на примере месторождения Узловое

Введение

. Геологическая часть

.1 Общие сведения о месторождении Узловое

.2 Литолого-стратиграфический разрез месторождения

.3 Тектоническое строение месторождение

.4 Коллекторские свойства и нефтегазонасыщенность продуктивных пластов

.5 Технологические показатели разработки месторождения Узловое

. Технологическая часть

.1 Особенности эксплуатации газовых скважин

.2 Осложнения при эксплуатации газовых скважин

.3 Причины гидратообразования

.4 Методы предупреждения и ликвидации гидратов на месторождении

.5 Система сбора и подготовки газа на промысле

.6 Определение условий гидратообразования

.7 Расчет условий гидратообразования

.8 Применение метода подачи метанола на забой газовых скважин

3. Экономическая часть

3.1 Расчет себестоимости сбора и подготовки природного газа

.2 Расчет себестоимости продукции и ликвидации гидратообразования при закачке метанола в скважину

. Безопасность и экологичность проекта

.1 Организация работ по обслуживанию и эксплуатации газовых скважин

.2 Требования безопасности при эксплуатации комплексных установок подготовки газа

.3 Требования безопасности и охраны окружающей среды при использовании метанольных установок

Заключение

Список литературы

Введение

Природный газ в настоящий момент времени является основным энергоносителем для Хабаровского края и Северного Сахалина. Газоснабжение Хабаровского края осуществляется природным газом по магистральным газопроводам "Даги - Оха" и "Оха - Комсомольск". Источником природного газа являются газовые и газоконденсатные месторождения Северного Сахалина. Транспорт газа до Комсомольск-на-Амуре - бескомпрессорный, производится за счет высокой пластовой энергии газа на месторождениях и высокой пропускной способности газопровода при низких объемах транспортируемого газа.

С момента ввода в эксплуатацию газопровода "Оха - Комсомольск" и по настоящий момент в разработку были введены газовые и газоконденсатные месторождения им. Р.С. Мирзоева, Монги, Усть-Эвай, Шхунное, Волчинка, Малое Сабо, Крапивненское, Узловое. Газоснабжение Северного Сахалина осуществляется низконапорным газом давлением до 1,6 МПа по магистральным газопроводам "Кыдыланьи - Тунгор - Оха" и "Даги - Ноглики - Катангли". Источником низконапорного газа являются газовые и газоконденсатные месторождения с истощенной пластовой энергией и нефтяные месторождения, где вместе с нефтью добывается попутный газ.

Газовые и газоконденсатные месторождения залегают в земной коре на различных глубинах: от 250 до 10000м и более. Для извлечения углеводородных компонентов пластового флюида на поверхность земли бурятся газовые и газоконденсатные скважины. Газовые скважины используются для:

) движения газа из пласта в поверхностные установки промысла;

) защиты вскрытых горных пород разреза от обвалов;

) разобщения газоносных, нефтеносных и водоносных пластов друг от друга;

) предотвращения подземных потерь газа.

Газовые скважины эксплуатируются в течение длительного времени в сложных, резко изменяющихся условиях. Действительно, давление газа в скважинах доходит от 100 МПа, температура газа достигает 523ºК, горное давление за колоннами на глубине 10 000 м превышает 250 МПа. В процессе освоения, исследований, капитального ремонта и во время эксплуатации скважин резко изменяются давление, температура, состав газа, движущегося в скважине.

Скважины - дорогостоящие капитальные сооружения. В общих капитальных вложениях в добычу газа удельный вес капитальных вложений в строительство скважин может составлять 60-80% в зависимости от глубины залегания месторождения, геологических условий бурения скважин, географических условий расположения месторождений

В целью выпускной квалификационной работы является разработка эффективной методики для предупреждения и борьбы с гидратообразованием на месторождении Узловое, а также изучение физических и химических свойств газа, особенности конструкции и оборудования газовых скважин, выбор режимов работы и промысловой подготовки газа.

Задачами выпускной квалификационной работы являются:

) Определение мест и условий гидратообразования;

) Выбор метода для предупреждения и ликвидации гидратообразования;

) Расчет экономического и технологического эффекта выбранного метода.

1. Геологическая часть

.1 Общие сведения о месторождении Узловое

Многопластовое газоконденсатное месторождение Узловое расположено в северо-западной части о. Сахалина и находится в 70 км от г. Оха (рисунок 1). Связь с г. Оха осуществляется по грунтовой дороге и вертолетами.

Месторождение Узловое было открыто в 1968 г., введено в промышленную разработку в 1997 году.

Рисунок 1 - Обзорная карта месторождений

В административном отношении площадь входит в Охтинский район. В орографическом отношении район представляет слабохолмистую низменную равнину, расположенную на северо-западном борту Сахалинской низменности.

Почти по центру площади с юга на север протягивается холмистая гряда, на которой расположены верховья рек Успеновки, Коплуна, Полищука и их притоков. Высотные отметки гряды составляют 40 - 60 м.

Реки протекают по широкой заболоченной долине. Уровень воды в них зависит от количества выпадающих атмосферных осадков. Ширина рек 3 - 4 м, ручьев 1 - 2 м, глубина 0,5 - 2 м.

Растительный покров представлен в основном березой и лиственницей. Встречаются также осина, ольха, ель и пихта. Болотистые участки покрыты травянистой и кустарниковой растительностью, на редких песчаных почвах растет кедровый стланик.

Климат района суровый: продолжительная, холодная (до -40 градусов) с постоянными западными, северо-западными ветрами зима, и короткое дождливое лето. Снег выпадает в конце октября и сходит в конце мая.

Добытый газ по газопроводу подается на месторождение им. Р.С. Мирзоева для газлифтной эксплуатации нефтяных горизонтов, конденсат - в нефтяной коллектор Даги-Погиби и далее Оха-Комсомольск-на-Амуре.[10,11]

1.2 Литолого-стратиграфический разрез месторождения

Стратиграфический разрез месторождения представлен песчано-глинистыми отложениями миоцен-плиоценового возраста; по фаунистическим и литологическим признакам подразделяется на пять свит (снизу-вверх): даехуриинскую (нижний миоцен), уйнинскую (средний миоцен), дагинскую (средний миоцен), окобыкайскую (верхний миоцен) и нутовскую (плиоцен).

Вскрытая мощность отложений даехуриинской свиты - 200-240 м, свита представлена неравномерным переслаиванием аргиллитов и алевролитов с подчиненными прослоями песчаников.

Уйнинская свита толщиной 640 м, литологически представлена тонким переслаиванием алевролитов, песчаников, глин и аргиллитов с преимуществом глинисто-алевролитовых разностей.

В разрезе уйнинских отложений выделены и прослежены по площади три песчано-алевролитовых пласта - III un, II un, I un. Эти пласты вскрыты полностью или частично 14 скважинами из 15 пробуренных (скв. №№1, 2, 3, 9, 5, 6, 7, 8, 10, 11, 12, 13, 14, 15, 20).

Отложения дагинской свиты представлены чередованием песчаников, песков, алевролитов, глин и тонких прослоев бурого угля. Литологический состав свиты неоднородный. Нижняя часть свиты более глинистая, а верхняя более песчаная. Мощность отложений дагинской свиты 1000 метров.

Отложения окобыкайской свиты вскрыты всеми пробуренными скважинами. Мощность ее 1460 - 1500 метров.

По литологическому составу отложения свиты расчленены на три литологические подсвиты: глинистая, песчано-глинистая, песчаная.

Песчано-глинистая подсвита включает в себя XVIIIок - XIок пласты.

Отложения нутовской свиты представлены, в основном, песками с подчиненными прослоями глин и алевролитов. Встречены прослои бурых углей. Мощность отложений нутовской свиты 600 метров.

Месторождение Узловое приурочено к одноименной антиклинальной складке, расположенной в Северосахалинском складчатом районе, на западном крыле Байкальской грабенсинклинальной зоны и представляет собой брахиантиклиналь северо-западного простирания. Размеры складки 20 × 5 км.

Строение свода складки несколько меняется с глубиной. По верхнеокобыкайским отложениям свод складки широкий и пологий. Углы падения в приосевой части свода менее 1 градуса. С удалением от оси складки на 700 - 800 м углы падения на крыльях возрастают до 2,5 градусов.

Постепенно с глубиной свод складки становится уже.

Складка осложнена шестью поперечными разрывами сбросового характера.

Поверхности сбросов наклонены в сторону свода.

Сбросы 1, 2, 2a, 3, 3a, 4, 5 подсекаются рядом скважин на глубинах 460 - 3170 м. Амплитуда сбросов колеблется в пределах 30 - 100 м.

В пределах изученной части разреза сбросы 2, 2а, 3, 4, 5 являются экранирующими и вместе со складкой создают условия для скопления углеводородов в коллекторах вскрытого на месторождении разреза. По характеру ловушки залежи газа относятся к тектонически-экранированным.

Интересной особенностью месторождения Узловое, как и всех изученных на тектонически-экранированных газовых и газоконденсатных залежей на переклиналях, является их экранирование не глинистыми породами соседнего блока, а непосредственно зоной разрыва, вследствие чего продуктивные пласты по плоскости приведены в контакт с водоносными песчаными пластами. К их числу относятся относительно крупные для данного месторождения скопления газа в XVIIок, XIVок и других пластах.

Положения контуров газоносности залежей обоснованы и проведены в соответствии с анализом результатов опробования скважин и комплексной интерпретации промыслово-геофизических материалов. [10]

1.3 Тектоническое строение месторождения

На месторождении (рисунок 2) выполнен большой объем промыслово-геофизических исследовании.

Замеры сопротивления глинистого раствора скважинным резистивиметром проводились совместно с регистрацией кривых БЭЗ и использовались при интерпретации кривых зондирования. Средняя температура пород, полученная по кривым термоградиента в скважинах 5, 6, 11, 12 составляет для пластов окобыкайской свиты 30-62°C, дагинской свиты 62-88°С, уйнинской свиты 88-100 и более градусов. Геотермическая ступень соответственно равна 32 м/ градус, 36-37 м/ градус, 30 м/ градус.

Рисунок 2 - Газоконденсатное месторождение Узловое. Структурная карта по кровле XVII пласта окобыкайской свиты

Испытание скважин, давших воду, производилось по общепринятой методике и включало изучение гидродинамических параметров пласта, физических свойств и состава подземных вод, а также изучение состава, содержания и упругости водорастворенного газа.

Гидродинамические параметры определялись методом установившихся отборов (при самоизливе) и по восстановлению уровня. Температура воды на глубине спуска прибора замерялась максимальным термометром, а пластовое давление - глубинными манометрами МГГ. В скважинах, вскрывших подземные воды без признаков нефти и газа, определение пластового давления производилось расчётным путём по статическому уровню с учётом удельного веса воды в стволе.

Состав и свойства вод месторождения, а также содержание и состав растворённого в воде газа изучались по данным исследования глубинных проб. В процессе освоения скважин велись систематические наблюдения (по контрольным пробам) за составом воды до его постоянства, после чего проводился поинтервальный отбор проб глубинным пробоотборником ПД-3, усовершенствованной конструкции. В самоизливающихся скважинах определение газового фактора и отбор проб воды и водорастворенного газа осуществлялись на устье.[2]

При получении фонтанного притока газа скважина исследовалась при стационарных режимах фильтрации. Время стабилизации устьевых давлений колебалось в пределах 30-170 минут. Обычно испытания производились не менее чем на 6 режимах. Время работы на каждом режиме составляло 1-4 часа. По скважине замерялись дебиты газа, температуры и давления на головке и в затрубном пространстве.

При испытании объекта переходили от меньших дебитов к большим, кроме того две-три контрольных точки снимали при обратном ходе.

Давление и дебит измерялись начиная с момента пуска скважины до их стабилизации.

Депрессии на пласт создавались в основном от 0,1-0,2 до 3,0-3,8 МПа.

Дебиты газа на 8 - 10 мм штуцерах составляли от 41 до 558 тыс.м3/сут.

Пластовые давления замерялись глубинными манометрами или определялись расчетным путём с учетом замера устьевого давления; величины пластовых давлений изменяются по залежам от 11,4 до 30,4 МПа.

При получении фонтана газа с конденсатом в скважинах №№6, 7, 12 после гидродинамического исследования скважины проводилось исследование скважины на газоконденсатность с помощью сепарационной установки на ЛПГ-114.

При испытании на газоконденсатность задавались несколько режимов сепарации (различные давления). Время работы на каждом режиме от 1 часа до 4-х часов. После замеров дебитов сырого конденсата отбирались пробы газа сепарации и сырого конденсата. Количество выделившегося сырого конденсата по пластам изменяется от 42,7 до 263 м33.

Всего проведено 41 исследование скважин по 23 залежам. Полученные в результате обработки данных испытаний коэффициенты фильтрационного сопротивления изменяются в пределах А= 0,4-26,0; В= 0,00032-0,305. Месторождение Узловое является частью Северо-Восточного артезианского бассейна и расположено на его северо-западной окраине. Областью питания окобыкайских и дагинских отложений является, вероятно, северное окончание Гыргыланьинской гряды в районе которой они выходят на поверхность с абсолютными отметками 80-120 м. Питание подземных вод уйнинской свиты возможно только в северных отрогах Восточно-Сахалинского хребта, где она залегает на отметках 200-300 м. Влияние этой области инфильтрационного питания, очевидно, мало сказывается в районе месторождения (разрывы, невыдержанность песчаных пластов). С точки зрения разгрузки подземных вод вызывает интерес протягивающееся западнее месторождения глубинное региональное нарушение.

В разрезе рассматриваемой площади, представленном отложениями нутовской, окобыкайской, дагинской и уйнинской свит, можно выделить пять гидрогеологических комплексов, отличающихся по водным свойствам пород.

Учитывая хорошие фильтрационные свойства пород II и V-го комплексов, принадлежность их к полузакрытой гидродинамической системе и состав подземных вод, можно при работе пластов этих комплексов ожидать влияние водонапорного режима.

1.4 Коллекторские свойства и нефтегазонасыщенность продуктивных пластов

Промышленная газоносность месторождения связана с песчано-алевролитовыми отложениями окобыкайской, дагинской и уйнинской свит. Во вскрытой части разреза выделено 17 газоносных пластов, из которых 10 чисто газовых (X, XI, XII, XIII, XIV, XVI, XVII, XVIII пласты окобыкайской свиты, I, Ia пласты дагинской свиты), а остальные - газоконденсатные (II, IV, VII, IX пласты дагинской и I, II, III пласты уйнинской свит).

Газоносные пласты приурочены к отложениям верхнего и среднего миоцена и залегают на глубине от 1180 до 3160 м. Газоконденсатные залежи располагаются на глубинах от 2100 м и более.

Всего на месторождении выделено 32 залежи (18 газовых и 14 газоконденсатных). По типу природного резервуара все залежи относятся к пластовым, тектонически-экранированным. Исключение составляет залежь III пласта уйнинской свиты, которая является пластовой, сводовой.

Наибольший вертикальный диапазон газоносности установлен в 3а и 5 блоках, в первом из которых выявлено 9 залежей, во втором 8 залежей. В остальных продуктивных блоках содержится от шести залежей (2 блок) до одной (1, 2а блоки).

Высота залежей различна - от 9 м (IV дагинский пласт, 3а блок) до 75 м (XVII пласт, 5 блок окобыкайской свиты); их размеры изменяются от 300 * 800 м (VII пласт 3а блок дагинской свиты) до 1300 * 2200 м (I пласт, 4 блок уйнинской свиты).un пласт - залегает на глубинах 3114 - 3318 м, толщина его изменяется от 28 до 71 м. Представлен песчаниками с прослоями алевролитов, глин и аргиллитов.

По пласту выполнено 87 определений пористости, из которых 67 характеризуют коллектор. Величина пористости изменяется от 10,2 до 18,6% при проницаемости 0,9 - 33,7 мД.un пласт вскрыт на глубинах 2924 - 3195 м, общей мощностью от 50 до 68 м.

Сложен пласт разнозернистыми и мелкозернистыми песчаниками, переслаивающимися с алевролитами. Отмечаются прослои очень крепких аргиллитов.

По пласту выполнено 186 определений пористости и 177 определений проницаемости.

Открытая пористость разнозернистых песчаников имеет величины 12,8 - 20,5%, проницаемость - 4 - 562 мД. В мелкозернистых песчаниках открытая пористость равна 16 - 19,6%, проницаемость 4 - 240 мД. Более низкими коллекторскими свойствами обладают алевролиты.

Открытая их пористость колеблется от 13,3 до 18,9%, проницаемость от 1,5 до 43,5 мД. I un пласт вскрыт на глубинах 2855 - 3070 м. Общая мощность 4,5 - 13 м.

Породы I un пласта представлены чередующимися песчаниками и алевролитами с редкими прослоями крепких глин и аргиллитов. По пласту сделано 22 определения пористости и 17 определений проницаемости. По коллекторским свойствам песчано-алевролитовые породы неоднородны. Пористость мелкозернистых песчаников изменяется от 12,2 до 18,7%, проницаемость - от 1 до 101 мД. Мелкозернистые песчаники имеют более высокие значения пористости, равные 21,5 - 22,8%. Проницаемость их колеблется в пределах 234,2 - 313,8 мД. Открытая пористость алевролитов составляет 16,4 - 16,9%, проницаемость 1 - 3 мД.dg пласт залегает на глубинах 2442 - 2733 м. Общая мощность пласта составляет 23 - 77 м. По пласту сделано 100 определений пористости и 94 определения проницаемости. Пористость разнозернистых песчаников и песков изменяется от 19,2 до 25,0%, проницаемость - от 62 до 2883,5 мД. Мелкозернистые песчаники имеют пористость от 26 до 25%, проницаемость от 22 до 170, 16 мД.dg пласт вскрыт на глубинах 2337 - 2622 м. Общая мощность составляет 43 - 68 м.

Представлен пласт массивными, иногда слоистыми песчаниками и песками, переслаивающимися с алевролитами.

По пласту сделано 55 определений пористости и 48 определений проницаемости. Открытая пористость варьирует от 20,04 до 24,5% (в мелкозернистых песчаниках) и от 21,83 до 24,5% (в разнозернистых песчаниках). Проницаемость в песчаных породах изменяется от 14,6 до 510 мД. Пределы её изменения составляют от 14,6 до 294,85 мД в мелкозернистых и от 85,3 до 510 мД в разнозернистых песчаниках. Алевролиты имеют открытую пористость равную 17,4 - 23,3%, проницаемость 11,4 - 155,58 мД.dg пласт вскрыт на глубинах 2236 - 2507 м. Общая мощность составляет 16 - 77 м.

Сложен пласт мелкозернистыми, разнозернистыми, алевритистыми, алевритисто-глинистыми песчаниками. По пласту сделано 65 определений пористости и 61 определение проницаемости. Открытая пористость в мелкозернистых песчаниках варьирует в пределах 16,5 - 26,5%, проницаемость 3,94 - 319 мД. Меньшей проницаемостью обладают песчаники со значительным содержанием глинистого и карбонатного цемента. В мелкозернистых песчаниках открытая пористость колеблется от 18,8 до 24,7%, проницаемость от 16,6 до 1044,3 мД.dg пласт вскрыт на глубинах 2121 - 2431 м, общей мощностью 21 - 49 м. Породы пласта представлены уплотнёнными песками с прослоями песчанистых и глинистых алевролитов, крепких карбонатизированных песчаников и аргиллитов.

Коллекторские свойства пласта - пористость определена по 22 образцам керна, проницаемость по 62 образцам. Коллекторские свойства песчаников изменяются в широких пределах: открытая пористость 15,5 - 35,2%, проницаемость 15,5 - 1664 мД. II dg пласт вскрыт на глубинах 2010 - 2335 м.

Общая мощность 50 - 96 м. Пласт слагается песчаниками и песками с прослоями алевролитов, реже - глин и аргиллитов. По пласту сделано 72 определения пористости и 69 определений проницаемости. Пористость пород-коллекторов (песчаников и алевролитов) II dg пласта колеблется в пределах 13,8 - 26,2%, проницаемость 24 - 947,02 мД.dg пласт вскрыт на глубинах 1959 - 2180 м, мощностью 11 - 31, 5 м.dg вскрыт на глубинах 1930 - 2147 м, мощностью 26 - 36 м.

Отложения I dg - Ia dg пластов представлены песчаниками, песками и алевролитами. Песчаники мелкозернистые, реже разнозернистые, алевролитово-глинистые, слабосцементированные, переходящие в песок.

Алевролиты песчано-глинистые, слабосцементированные.

По пласту сделано 22 определения пористости, 14 определений проницаемости. Пористость песчаников колеблется в пределах 0,86 - 29,3%, проницаемость 67,1 - 1084,4 мД. Пористость алевролитов варьирует от 11 до 25,3%, проницаемость 0 - 655,2 мД.пласт окобыкайской свиты залегает на глубинах 1752 - 1973 м, мощность его изменяется от 47 до 64 м. Представлен песчаниками мелкозернистыми, мелкосреднезернистыми и разнозернистыми, часто с гравием, алевритово-глинистыми и алевритисто-глинистыми, слабо- и среднесцементированными, массивными.

По пласту выполнено 41 определение пористости, величина которой изменяется от 22,10 до 31,66%, по результатам 6 определений проницаемость изменяется от 190 до 1093 мД.ok пласт залегает на глубинах 1657 - 1837 м. Мощность его изменяется от 51 до 90 м. Отложения XVII ok пласта представлены песчаниками, песками, алевролитами, реже глинами.

По пласту выполнено 148 определений пористости и 43 определения проницаемости.

Открытая пористость песчаников и песков колеблется от 17,16% до 35,25%, проницаемость от 191,94 до 1409 мД. Открытая пористость алевролитов находится в пределах 17,51 - 36,3%, проницаемость 30,69 - 943,4 мД.

Глины алевритисто-песчаные, слабокарбонатистые, крепкие с содержанием основной глинистой массы от 58,61 до 88,39%, песка от 0,77 - 28,8%, алеврита от 11,67 до 36,73%. Открытая пористость глин колеблется в пределах от 12,84 до 22,36%, проницаемость от 0,01 до 0,11 мД.ok пласт вскрыт на глубинах 1595 - 1784 м, мощность его изменяется от 11 до 32 м.

Пласт представлен чередованием песчаников и алевролитов с редкими прослоями глин.

По пласту выполнено 58 определений пористости, величина которой изменяется от 23,36 до 32,90% при проницаемости от 83 до 946 мД.пласт окобыкайской свиты залегает на глубинах 1440-1656 м, мощность его изменяется от 46 до 63 м. Пласт сложен песчаниками и алевролитами с прослоями глин и песков.

По пласту выполнено 119 определений пористости, величина которой изменяется для песчаников 19,66 - 31,62% при проницаемости 17,8 - 383,17 мД и для алевролитов 9,03-31,14% при проницаемости 0,35-21,7 мД.пласт окобыкайской свиты залегает на глубинах 1427 - 1579 м, мощность его изменяется от 50,5 до 71,0 м.

Пласт сложен песчаниками, песками, алевролитами и маломощными прослойками глин.

По пласту сделано 45 определений пористости и 33 определения проницаемости. Открытая пористость песчаников варьирует в пределах 13,4 - 27,4% при проницаемости 0,25 - 192,22 мД. Пористость алевролитов 13,7 - 29,5% при проницаемости 0,07 -1776,35 мД.пласт окобыкайской свиты вскрыт на глубинах 1178 - 1299м, мощностью 20 - 74 м. Пласт сложен песчаниками мелкозернистыми, реже разнозернистыми, алевритово-глинистыми, и алевролитами песчано-глинистыми.

По пласту выполнено 140 определений пористости и 45 определений проницаемости. Величина пористости для песчаников колеблется в пределах 3,52 - 31,52%, проницаемости 159,8 - 1711,5 мД. Для алевролитов пористость варьирует от 21,49 до 35,5%, проницаемость от 20,34 до 515,15 мД.

X пласт окобыкайской свиты вскрыт на глубинах 1166 - 1250 м, общей мощностью от 4 до 24 м.

Породы-коллекторы пласта слагаются песками, песчаниками с прослоями гравия.

Коллекторские свойства пласта керном не охарактеризованы. Средняя пористость коллектора по промыслово-геофизическим данным 29%.

Покрышки продуктивной толщи Узлового месторождения сложены терригенными породами разнообразного литологического состава (глины, алевриты, пески) и имеют толщины от 2 до 30, редко более 40 м. Характеристика газа и конденсата определялась по пробам, отобранным с устьев скважин.

Газы всех горизонтов состоят, в основном, из метана (от 88 до 99,2%), количество этана, пропана и других более тяжелых углеводородов составляет от 0,1 до 5,9%. Содержание азота незначительно- от 0,1 до 1,3%. Углекислый газ содержится не во всех пробах и, в основном, содержание его не превышает 1%. В опробованных пластах окобыкайской свиты содержание его от 0,1 до 4,6%.

Газ из пластов окобыкайской свиты по своему составу отличается от газов дагинских и уйнинских пластов.

Если в пластах окобыкайской свиты в газе содержание С5+ равно нулю, то начиная со II dg пласта с глубиной содержание С5+ постепенно возрастает от 0,46 до 3%, а содержание метана уменьшается от 98,4 до 88,7%.

Относительный удельный вес газа в пластах дагинской и уйнинской свит выше, чем в пластах окобыкайской свиты. Увеличение удельного веса происходит за счёт уменьшения объёма метана до 89,2% и увеличения гомологов метана до 9,5%.

Все исследованные газы характеризуются отсутствием сероводородов.

Пластовые газы всех дагинских и уйнинских пластов содержат конденсат. Содержание конденсата в граммах на 1 м3 газа в пластовых условиях от 28,7 до 160, наибольшее - в пластах уйнинской свиты.

Групповой углеводородный состав конденсатов определялся по пробам из скважины 7 (2482 - 2490 м) - VII dg пласт, из скважины 6 (2573 - 2578 м) - IX dg пласт и из скважины №13 (2237 - 2249 м; 2105 - 2120 м) - IX dg и II dg пласты. Для всех проб, кроме пробы из скважины 13 II dg пласта, характерно преобладание нафтеновых углеводородов. В пробе из VII dg пласта их содержание 67,5%, в пробах из IX dg и IV dg пластов их содержание соответственно 46 и 49%. Для пробы из II dg пласта характерно преобладание метановых углеводородов, содержание которых 48,9%.[10]

Таким образом, исследованные конденсаты по групповому химическому составу могут быть отнесены к низкоароматическим с преобладанием нафтеновых и метановых углеводородов.

Состав и свойства вод месторождения, а также содержание и состав растворенного в воде газа изучались по данным исследования глубинных проб, в самоизливающихся скважинах отбор проб воды осуществлялся на устье.

.5 Технологические показатели разработки месторождения Узловое

В основу составления настоящего документа положены запасы углеводородов, подсчитанные СахалинНИПИморнефть объёмным методом и утвержденные ГКЗ от 19.10.76 г.

Исходные данные о принятых подсчетных параметрах и запасах газа и конденсата по залежам и в целом по месторождению приведены в табл. 1 и 2.[11]

Таблица 1. - Основные технологические показатели разработки месторождения Узловое при добыче газа

 

 

Ед.

2007 г

2008 г

2009 г.

Показатели

измер.

факт

проект

факт

 +-к проекту

проект

1.

Добыча природного газа

млн. м3

23.3

273.4

20.9

-252.5

193.6

2.

Добыча конденсата

тыс. т

0.0

1.4

0.0

-1.4

0.1

3.

Средний дебит скважины по газу

т.м3/сут

31.8

69.0

31.4

-37.6

59.0

4.

Коэффициент эксплуатации

доли ед.

0.893

 

0.909

 

 

5.

Фонд газовых скважин:

скв.

 

 

 

 

 

 

 действующий

скв.

2

12

2

-10

10

 

бездействующий

скв.

0

 

0

 

 

 

 в освоении

скв.

 

 

 

 

 

 

эксплуатационный

скв.

2

12

2

-10

10


Таблица 2. - Основные технологические показатели разработки месторождения Узловое при добыче газа

Узловое (св.газ+газ.ш)

ед.изм

2007г. факт

 2008г факт

2009г. б-план

2010г. б-план

2011г. б-план

2012г. б-план

Балансовые запасы газа

млн.м3

8425

8425

8425

8425

8425

8425

категории В+С1 =

млн.м3

7664

7664

7664

7664

7664

7664

категории С2 =

млн.м4

761

761

761

761

761

761

Запасы природ. газа на начало года

млн.м3

5901

5878

5870

5845

5825

5805

Накопленная добыча газа

млн.м3

2547.3

2554.6

2580

2600

2620

2640

Газоотдача

%

30.2

30.3

30.6

30.9

31.1

31.3

Использование запасов

%

30.2

30.3

30.6

30.9

31.1

31.3

Темп отбора от НИЗ

%

0.28

0.09

0.30

0.24

0.24

0.24

Темп отбора от ТИЗ

%

0.40

0.13

0.43

0.34

0.34

0.35

Добыча за год: газа

млн.м3

23.3

7.3

25.0

20.0

20.0

20.0

 конденсата

тыс.т

 

 

 

 

 

 

Среднесут. добыча газа

тыс.м3/сут

63.8

80.7

68.5

54.8

54.8

54.6

Эксплуатационный фонд

скв.

2

2

3

3

3

3

Действующий фонд

скв.

2

2

3

3

3

3

Средний дебит 1 скв., газа

тыс.м3/сут

31.9

40.4

22.8

18.3

18.2

Процент падения добычи

%

43.9

68.5

-240.3

20.0

0.0

0.0

2. Технологическая часть

.1 Особенности эксплуатации газовых скважин

Газовые и газоконденсатные месторождения представляют собой сложные природные комплексы, главным признаком которых является наличие скопления углеводородов в пористом пласте-коллекторе, ограниченном непроницаемыми покрышкой и основанием. Размеры скопления, состав, фазовое состояние и реологические свойства углеводородной смеси характеризуются большим разнообразием. Весьма разнообразны также коллекторские свойства, глубины залегания, толщины и начальные термобарические параметры вмещающих углеводороды пород. Если учесть еще и широту спектра природно-климатических условий в зонах расположения месторождений, то очевидно, сколь многообразны проблемы, решение которых необходимо при проектировании разработки залежей и отборе запасов природного газа.

Фазовое состояние скоплений углеводородов имеет большое значение при выборе методики разведочных работ. Некоторые свойства газа и особенности разработки его залежей позволяют применять при разведке методы, существенно отличающиеся от методов разведки нефтяных месторождений. Основные положения методики разведки газовых месторождений состоят в следующем:

. Газ извлекается из залежи при ее эксплуатации почти полностью без применения законтурного или внутриконтурного заводнения. В результате отпадает необходимость детальной разведки приконтурной зоны газовой залежи для выяснения мест заложения нагнетательных скважин и их количества, в то время как для нефтяных залежей такую разведку в большинстве случаев необходимо проводить.

. Из отдаленных участков залежи нефть отобрать практически невозможно, газ же подходит к эксплуатационным скважинам с этих же участков с относительно небольшой потерей давления. Это позволяет закладывать эксплуатационные газовые скважины вдали от контура газовой залежи в наиболее благоприятных условиях, преимущественно в самых высоких ее частях. В связи с этим нет необходимости проводить детальную площадную разведку газовой залежи, особенно приконтурной ее части, чтобы выяснить условия заложения эксплуатационных газовых скважин. Для нефтяных залежей такая разведка необходима.

. Рабочий дебит газовых скважин при прочих равных условиях непременно больше рабочего дебита нефтяных скважин. Это, а также дренаж газа эксплуатационными скважинами с более отдаленных участков позволяет разрабатывать газовую залежь несравненно меньшим количеством эксплуатационных скважин.

Весьма существенно то обстоятельство, что если по окончании разведки нефтяной залежи всегда необходимо бурение эксплуатационных скважин, то по окончании разведки газовой залежи для ее разработки очень часто хватает разведочных скважин, давших газ.

А в некоторых случаях, как показывает практика разведки мелких и средних газовых месторождений, количество этих скважин даже больше того, которое нужно для эксплуатации. Поэтому один из принципов разведки газовых залежей состоит в том, что количество разведочных скважин, которые могут дать газ, не должно превышать количества скважин, необходимых для разработки этой залежи.

. Законтурная вода в большей части месторождений не успевает восстанавливать давление газа в процессе его отбора из залежи, причем в первой стадии разработки залежи продвижение воды в ней практически ничтожно. Это дает возможность достаточно достоверно оценить запасы по данным относительно кратковременной опытной эксплуатации с использованием падения давления. Такая возможность позволяет резко сократить объемы работ по промышленной разведке газовых залежей для подсчета запасов, что, однако, совершенно не применимо к нефтяным залежам.

Газовые и газоконденсатные месторождения залегают в земной коре на различных глубинах: от 250 до 10 000м и более. Для извлечения углеводородных компонентов пластового флюида на поверхность земли бурятся газовые и газоконденсатные скважины. Газовые скважины используются для:

) движения газа из пласта в поверхностные установки промысла;

) защиты вскрытых горных пород разреза от обвалов;

) разобщения газоносных, нефтеносных и водоносных пластов друг от друга;

) предотвращения подземных потерь газа.

Газовые скважины эксплуатируются в течение длительного времени в сложных, резко изменяющихся условиях. Действительно, давление газа в скважинах доходит от 100 МПа, температура газа достигает 523ºК, горное давление за колоннами на глубине 10000 м превышает 250 МПа. В процессе освоения, исследований, капитального ремонта и во время эксплуатации скважин резко изменяются давление, температура, состав газа, движущегося в скважине.

Скважины - дорогостоящие капитальные сооружения. В общих капитальных вложениях в добычу газа удельный вес капитальных вложений в строительство скважин может составлять 60 - 80% в зависимости от глубины залегания месторождения, геологических условий бурения скважин, географических условий расположения месторождений.

Долговечность работы и стоимость строительства скважин во многом определяются их конструкциями.

Конструкцией скважины называют сочетание нескольких колонн обсадных труб различной длины и диаметра, спускаемых концентрично одна внутри другой в скважину. Колонны обсадных труб скрепляются с породами геологического разреза цементным камнем.

Конструкция добывающих газовых скважин зависит от многих факторов, в частности от пластового давления и отношения его к гидростатическому, геологических условий бурения, геолого-физических параметров пласта, физических свойств пластового флюида, разности давлений между пластами, технологических условий эксплуатации скважин, режима эксплуатации пласта, экономических соображений.

Особенности конструкции и оборудования газовых скважин по сравнению с нефтяными, в частности с фонтанными скважинами, обусловлены отличиями свойств газа и нефти.

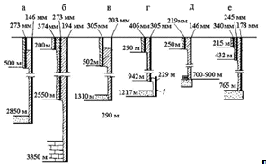
На рисунке 3 приведены конструкции газовых и газоконденсатных скважин.

Рисунок 3 - Конструкции скважин на газовых, газоконденсатных месторождениях и подземных хранилищах газа: 1 - хвостовик.

Плотность и вязкость газа на 2-3 порядка меньше плотности и вязкости нефти. Скорость движения газа в стволе скважины в 5-25 раз больше, чем скорость движения нефти. Извлечение газа из недр на поверхность происходит пока только за счет использования пластовой энергии. Газ некоторых месторождений содержит агрессивные, коррозионные компоненты (сероводород, углекислый газ). Отсюда к прочности и герметичности газовой скважины предъявляют более жесткие требования.

Различие плотностей газа и жидкостей вызывает необходимость спуска кондуктора в газовых скважинах на большую глубину, чем в нефтяных, для предотвращения разрыва газом горных пород, загрязнения водоносных горизонтов питьевой воды, выхода газа на дневную поверхность.

Глубину спуска кондуктора в газовых скважинах Н (в м) можно определить подбором из равенства


где L - глубина скважины; R - удельная газовая постоянная; Т - средняя температура на длине (L - h); ρср - средняя объемная плотность горных пород разреза на длине h; Pн - начальное пластовое давление газа; g - ускорение свободного падения, или приближенно по формуле


где ρв - плотность пластовой воды

Малая вязкость газа вызывает необходимость принимать особые меры по созданию герметичности как обсадных колонн, так и межтрубного пространства газовых скважин

Герметичность колонн обсадных труб достигается различными способами применением резьбовых соединений на концах труб и муфтах со специальной трапецеидальной формой поперечного сечения с тефлоновыми уплотнительными кольцами, использованием фторопластовой уплотнительной ленты, герметизирующих уплотнительных составов для муфтовых соединений типа УС-1, ГС-1. Герметичность заколонного пространства скважин обеспечивается применением цементов определенных марок, дающих газонепроницаемый, трещиностойкий цементный камень

Давление газа на устье газовой скважины всего на 5-10% меньше забойного давления или пластового давления в остановленной скважине. При истощении залежи или при особых условиях (открытый газовый фонтан, перекрытие ствола скважинным клапаном-отсекателем) устьевое давление приближается к атмосферному давлению. Значит, на обсадные трубы создаются большие давления и их перепады при наличии температурных напряжений. В случае малейшей негерметичности обсадной колонны вследствие малой вязкости газ проникает в вышележащие пласты, может привести к загазованности территорий, образованию грифонов и создать взрывоопасные условия. Агрессивные компоненты не должны вызывать снижение прочности обсадных колонн и газопромыслового оборудования. Вследствие больших скоростей газа повышается опасность эрозии оборудования в газовой струе. Поэтому подбирают соответствующие материалы обсадных колонн, повышают герметичность труб применением уплотнительных смазок для резьбовых или сварных соединений, цементируют трубы по возможности на большую высоту (до устья) и др.

При движении газа в стволе с забоя на поверхность, особенно в высокодебитных скважинах, происходят большие потери давления на гидравлическое сопротивление, которые при дебите 0,5 млн. м3/сут в 2-3 раза превышают депрессию. Эти потери давления могут уменьшать дебит газовой скважины. При увеличении диаметра скважины (эксплуатационной колонны) уменьшается расход пластовой энергии, но возрастают капитальные вложения на строительство скважины и снижается надежность.

В настоящее время экономически оправдано применение в высокодебитных газовых скважинах эксплуатационных колонн диаметром 219-245 мм.

Сероводород при взаимодействии с металлами вызывает их сульфидное растрескивание и наводораживание, в результате чего оборудование не выдерживает регламентированных ГОСТом нагрузок. С учетом этого применяют обсадные трубы в антикоррозионном исполнении (стали марок С-75 и С-95), повышают герметичность резьбовых соединений, предусматривают «запас» толщины стенок труб, повышают качество цементирования (коррозионно-стойкие тампонажные материалы, подъем цементного раствора до устья), исключают элементы оборудования, работающие при нагрузках, близких к предельным, а также защищают эксплуатационную колонну от прямого длительного влияния агрессивной среды. [1]

Оборудование устья газовой скважины (рисунок 4).

Рисунок 4 - Оборудование устья скважины

а - тройниковая арматура: 1, 11 - фланцы, 2, 9 - буферы, 3 - вентиль, 4 - манометр; 5 - задвижка; 6 - крестовина; 7, 10 - катушки; 8 - тройник; 12 - штуцер; 6 - крестовиковая арматура: 1 - фланец, 2 - уплотнитель, 3, 8, 11 - буферы, 4 - вентиль; 5 - манометр; 6 - задвижка; 7, 9 - крестовины; 10 - тройник; 12 - штуцер; 13 - катушка; 14 - фланец

Оборудование устья газовой скважины предназначено для соединения верхних концов обсадных колонн и фонтанных труб, герметизации межтрубного пространства и соединений между деталями оборудования, осуществления мероприятий по контролю и регулированию технологического режима эксплуатации скважин. Оно состоит из трех частей 1) колонной головки, 2) трубной головки и 3) фонтанной елки.

Колонная головка (рисунок 5) соединяет верхние концы кондуктора и эксплуатационной колонны, герметизирует межтрубное пространство, служит опорой трубной головки с фонтанной елкой.

Рисунок 5 - Колонная головка: 1, 3, 7, 9 - уплотнители; 2, 8 - кольцевая прокладка; 4, 11 - подвеска клиньевая; 5 - фланец глухой; б -корпус двухфланцевый; 10 - корпус однофланцевый; 12 - заглушка; 13 - кран запорный; 14 - задвижка; 15 - фланец инструментальный

 

Трубная головка (рисунок 6) служит для подвески фонтанных труб и герметизации межтрубного пространства между эксплуатационной колонной и фонтанными трубами. На трубную головку непосредственно устанавливают фонтанную елку крестовикового или тройникового типа.

Рисунок 6 - Трубная головка с перепускным клапаном:

- опорный фланец; 2 - корпус; 3 - боковой отвод; 4 - несущая головка; 5 - уплотнительные прокладки; 6 - седло; 7 - шарик; 8 - контргайка; 9 -запорная пробка; Г - канал

Фонтанная елка монтируется выше верхнего фланца трубной головки. Она предназначена для:

) освоения скважины;

) закрытия скважины;

) контроля и регулирования технологического режима работы скважины.

Основной элемент фонтанной елки крестовикового типа - крестовина, а тройниковой елки - тройник. На ней монтируются штуцеры, термометры, установки для ввода ингибитора гидратообразования и коррозии, устьевой клапан-отсекатель

Устьевой клапан-отсекатель предназначен для автоматического перекрытия выходной линии от скважины (шлейфа) при аварийном повышении давления до него или понижении давления после него (в шлейфе). Запорный элемент клапана-отсекателя выполнен в виде заслонки. Она удерживается в горизонтальном положении с помощью штока чувствительного элемента. При уменьшении давления в трубопроводе шток перемещается, освобождает заслонку, которая и перекрывает поток газа. Клапан-отсекатель открывается вручную после выравнивания давлений до и после заслонки.

Фонтанная арматура (елка) тройникового типа имеет два тройника. Верхний - рабочий, нижний - резервный. Нижний используется только во время ремонта или замены верхнего. Фонтанная арматура тройникового типа имеет большую высоту (до 5 м от поверхности земли), неудобна в обслуживании, неуравновешенна. Применяется в особо сложных условиях эксплуатации скважины - при наличии твердых взвесей в потоке газа, вызывающих абразивный износ оборудования, газообразных или жидких коррозионных агентов (углекислый газ, сероводород, пропионовая, масляная или другие кислоты жирного ряда), при резких колебаниях давления и температуры. В верхней части фонтанной елки устанавливается буферный патрубок с манометром, показывающим давление на головке скважины (буферное давление).

Фонтанная арматура выпускается на рабочие давления 7,0; 21; 35; 70 и 100 МПа. Внутренний диаметр фонтанной арматуры (50 или 100 мм) выбирают в зависимости от дебита скважины и давления газа. Научно-технический прогресс в добыче газа приводит к необходимости увеличения дебита скважины и диаметра эксплуатационной колонны, а следовательно, диаметра фонтанной арматуры.

При эксплуатации скважин большое внимание должно уделяться надежности, долговечности и безопасности работы, предотвращению открытых газовых фонтанов, защите среды обитания. Условиям надежности, долговечности и безопасности работы должны удовлетворять как конструкция газовой скважины, так и оборудование ее ствола и забоя. Подземное оборудование ствола скважины позволяет осуществлять:

) защиту скважины от открытого фонтанирования;

) освоение, исследование и остановку скважины без задавки ее жидкостью;

) воздействие на призабойную зону пласта с целью интенсификации притока газа к скважине;

) эксплуатацию скважины на установленном технологическом режиме;

) замену колонны насосно-компрессорных (фонтанных) труб без задавки скважины жидкостью. Схема компоновки подземного оборудования скважины показана на рисунке 7.

Рисунок 7 - Схема компоновки подземного оборудования газовой скважины:

- пакер эксплуатационный; 2 - циркуляционный клапан; 3 - ниппель; 4 - забойный клапан-отсекатель с уравнительным клапаном; 5 - разобщитель колонны НКТ; 6 - ингибиторный клапан; 7 - клапан аварийный, срезной; 8 - НКТ; 9 - жидкий ингибитор коррозии и гидратообразования; 10 - хвостовик

Для надежной эксплуатации газовых скважин используется следующее основное подземное оборудование: разобщитель (пакер); колонна насосно-компрессорных труб (НКТ); ниппель; циркуляционный клапан; ингибиторный клапан; устройство для автоматического закрытия центрального канала скважины, которое включает в себя забойный клапан-отсекатель, уравнительный клапан, переводник и замок; клапан аварийный, срезной; разъединитель колонны НКТ; хвостовик. Дополнительное рабочее оборудование для работы с клапанами-отсекателями включает в себя: посадочный инструмент; ловители; шар с седлом для посадки пакера; приемный клапан; головку к скважинным приборам; грузы; гидравлический ясс; механический ясс; шлипсовый замок; груз для обрыва скребковой проволоки; двурогий крюк; уравнительную штангу; инструмент для управления циркуляционным клапаном. [4]

2.2 Осложнения при эксплуатации газовых скважин

Если продуктивный пласт сложен рыхлыми неустойчивыми породами (песок), то при эксплуатации скважин с большим дебитом возможно разрушение призабойной зоны. Твердые частицы, выносимые из пласта, способствуют эрозии (разъеданию) подземного и наземного оборудования, образованию пробок, подземным обвалам и т.д. Обеспечить нормальную эксплуатацию скважины можно поддержанием минимального градиента, меньшего, чем допустимое его значение, созданием условий выноса частиц из ствола на поверхность и применением методов крепления призабойной зоны пласта.

Нарушение условий, влияющих на установление технологического режима работы газовых скважин, или невозможность их учета в полной мере приводит к различным осложнениям при эксплуатации. Рассмотрим основные виды осложнений и мероприятия по их устранению.

Гидратообразование

Образовавшиеся гидраты могут закупорить скважины, газопроводы, сепараторы, нарушить работу измерительных приборов и регулирующих средств. Часто вследствие образования гидратов выходят из строя штуцера и регуляторы давления, дросселирования газа в которых сопровождается резким понижением температуры.

Предупреждение гидратообразования. Для предупреждения гидратообразования необходимо создать режим в соответствии с условием P≤ Pp и T≥Tp, причем для призабойной зоны принимаются условия на забое, а для ствола скважины - условия на устье. Если безгидратный режим не представляется возможным обеспечить, особенно при расположении скважины в зоне вечной мерзлоты, то образование гидратов можно предупредить применением ингибиторов гидратообразования. Ингибитор гидратообразования снижает температуру гидратообразования. Основные ингибиторы, применяемые в газовой промышленности - метиловый спирт СН3ОН (метанол), хлористый кальций, гликоли (этиленгликоль, ди- и триэтиленгликоль).

Ввод ингибитора в скважину осуществляется, в основном, через затрубное пространство или на устье скважины, а также применяется ввод ингибитора в газопровод. Известны и другие методы предупреждения образования гидратов: применение забойных нагревателей, теплоизолированных стволов скважины, гидрофобного покрытия труб. Метанол или другой ингибитор вводят в газопровод каплями с помощью регулировочного вентиля из бачка высокого давления, который расположен над газопроводом. Давление газа в бачке над метанолом и в газопроводе создается одинаковым посредством сообщающей трубки.

Для предотвращения образования гидратов и их ликвидацию можно применить подогрев газа путем теплообмена с горячей водой, паром или дымовыми газами. Огневой метод подогрева опасен в пожарном отношении и приводит к порче изоляции труб, поэтому запрещается.

Борьба с гидратообразованием. Когда гидратная пробка уже образовалась, то резкое снижение давления в системе приводит к разложению гидратов, которые затем выносятся продувкой через отводы в атмосферу.

На некоторых месторождениях из-за присутствия в газе сероводорода и углекислого газа возможна интенсивная коррозия оборудования. Коррозия зависит от концентрации агрессивных компонентов в газе, давления и температуры среды, скорости потока, минерализации воды, применяемого материала оборудования. При заданном оборудовании ствола скважины наиболее опасным участком, на котором возможна коррозия, является устье.

На устье должна поддерживаться критическая скорость, превышение которой значительно увеличивает интенсивность коррозии. На практике в таких условиях применяют оборудование в антикоррозионном исполнении или эксплуатацию осуществляют с подачей антикоррозионных ингибиторов.[4]

Значительные осложнения вызывает поступление воды в скважину.

Особенности эксплуатации обводняющихся газовых скважин

Многие газовые и газоконденсатные месторождения страны эксплуатируются при упруговодонапорном режиме, причем в отрасли растет число месторождений, вступивших в позднюю стадию разработки с естественным закономерным обводнением продукции скважин.

В работе газовой скважины можно выделить четыре периода. Первый период - безводный. Во втором периоде происходит накопление притекающей воды в стволе сначала без выноса ее на поверхность и с образованием пленки на стенках труб (первая фаза периода), а затем с выносом ее в виде диспергированных капелек потоком газа. Третий период характеризуется тем, что сколько воды притекает в скважину, столько же ее выносится на поверхность. При этом в стволе имеется определенный объем накопившейся воды. По мере истощения залежи в зависимости от технологического режима эксплуатации скважины происходит уменьшение либо дебита газа, либо забойного давления. Условия для выноса воды ухудшаются, особенно при увеличении расхода притекающей воды. Наступает четвертый период, характеризующийся новым ускоряющимся накоплением воды в стволе. Вследствие этого работа обводняющейся газовой скважины переходит на режим нулевой подачи газожидкостного подъемника. Так как при этом приток воды продолжается, то скважина захлестывается водой и прекращает работу. Наступает «самоглушение» скважины водой. С позиций интенсификации работы обводняющейся газовой скважины в четвертом периоде выделяем две фазы: естественного выноса воды и принудительного ее удаления.

Начало принудительного удаления воды и длительность четвертого периода следует устанавливать из экономических расчетов себестоимости добычи газа и народнохозяйственной эффективности. Отметим только, что в обводняющихся газовых скважинах фонтанные трубы должны спускаться до нижних отверстий фильтра, особенно при малых депрессиях давления.

Для принятия решений по интенсификации работы и способам дальнейшей эксплуатации обводняющейся газовой скважины необходимо располагать данными о расходе притекающей воды или объеме накопившейся в скважине воды, об условиях ее выноса или принудительного удаления.

Способы эксплуатации обводняющихся газовых скважин можно подразделить на способы, уменьшающие поступление воды в скважину, и способы, освобождающие ствол от поступившей воды.

Уменьшение поступления вод в скважину достигается регулированием потоков в пласте, изоляцией скважины от поступления пластовых вод (изоляция обводнившихся пропластков смолами, цементным раствором, пеной и другими материалами; установка горизонтальных экранов при конусообразовании вод; селективное вскрытие пропластков; исправление герметичности колонн и цементного камня), а также ограничением отборов газа до исключения поступления воды из пласта.

Способы принудительного удаления воды подразделяем на газогидродинамические, физико-химические и механизированные.

Освобождать ствол скважины от воды можно путем подъема на поверхность либо подачи в поглощающий пласт (тот же или другой). Первая подгруппа способов предусматривает создание скоростей газа больше критической для выноса, диспергирование жидкости или остановки для поглощения жидкости пластом. Наибольшее применение из них нашли периодические продувки скважины.

Для периодического удаления жидкости из скважин путем перекрытия потока газа, накопления энергии и удаления жидкости предназначен автоматический комплекс «Забой-l». Он может использоваться на скважинах, работающих с большими депрессиями и малыми расходами жидкости (до 1-2 т/сут).

Комплекс настраивается на разность давлений в за трубном пространстве и выкидной линии. Питание пневмоавтоматики комплекса осуществляется газом из затрубного пространства.

Два датчика давления управляют мембранным исполнительным механизмом запорного клапана.

Автоматическая система «Ласточка-73» является многофункциональным устройством и позволяет поддерживать условия для непрерывного или периодического выноса воды, а также заданный режим эксплуатации. Она обеспечивает перераспределение потоков газа по трубам и затрубному пространству, а тем самым - условия для выноса воды.[5]

Наиболее широкое применение из всех способов удаления воды получил физико-химический способ - ввод в скважину пенообразующих поверхностно-активных веществ (ПАВ) в жидком виде. Сущность способа состоит в том, что при закачке водного раствора пенообразующего ПАВ в скважину, растворенного в пластовой воде и прохождении газа образуется пена. Так как плотность пены значительно меньше плотности воды, то она выносится газовым потоком при скоростях всего 0,1-0,2 м/с, то есть в 50 раз меньше, чем для воды. В качестве пенообразующих ПАВ применяют ОП-10, превоцелл, сульфанол и др. Концентрация ПАВ, необходимая для вспенивания удаляемой жидкости, составляет 2-3 г/л. При наличии газоконденсата концентрацию ПАВ увеличивают. Для предупреждения замерзания в зимних условиях в водный раствор ПАВ вводят антифриз (метанол, гликоль, хлористый кальций). Раствор ПАВ закачивается в затрубное пространство посредством передвижного или стационарного агрегата любого типа, основные элементы которого - емкость для раствора ПАВ и насос. Периодический и непрерывный ввод ПАВ можно проводить с помощью различных аппаратов и устройств, устанавливаемых на устье скважины, а также с помощью метанольной установки капельного типа.

2.3 Причины гидратообразования

Природный газ газовых месторождений в пластовых условиях насыщен парами воды. При отборе газа из пласта, сопровождающемся понижением его температуры и давления, пары воды конденсируются и скапливаются в скважинах и газопроводах. При определенных условиях компоненты природного газа (метан, этан, пропан, бутаны), взаимодействуя с водой, способны образовывать твердые кристаллические вещества, называемые гидратами. Каждая молекула перечисленных компонентов способна связать 6-7 молекул воды, например, СН4×6Н2О; С2Н6 ×7Н20.

Уменьшение температуры ΔТ связано с уменьшением давления Δр уравнением


где εг - среднеинтегральный коэффициент Джоуля - Томсона или дроссельный коэффициент (дросселирование - понижение давления при прохождении газа или жидкости через дроссель - местное гидравлическое сопротивление). Пары воды конденсируются и скапливаются в скважине и газопроводах. При определенных условиях каждая молекула компонентов углеводородного газа (метан, этан, пропан, бутан) способна связать 6-17 молекул воды, например СН4·6Н2О; С2Н6·8Н2О; С3Н8•17Н2О. Таким образом, образуются твердые кристаллические вещества, называемые кристаллогидратами.

Гидраты представляют собой физико-химическое соединение воды с углеводородными газами.

По внешнему виду гидраты похожи на рыхлый снег с желтоватым оттенком, или лед. Это неустойчивые соединения и при нагревании или понижении давления быстро разлагаются на газ и воду. Безгидратный режим работы возможен при условии≤ Pp и T≥Tp

где рр и Тр - равновесные давление и температура гидратообразования. Величины рр и Тр определяют экспериментально.

Причем, чем выше давление, тем выше Тр. В условиях высокого давления гидраты не могут существовать при температуре выше критической tкр:

Таблица 3. - Температура гидратообразования

Газ

СН4

С2 Н6

i- С3Н3

n-С4Н10

Tкр 0С

21,5

14,5

5,5

1,5


Влияние неуглеводородных компонентов и свойств природного газа на гидратообразование.

Увеличение процентного содержания сероводорода углекислого газа приводит к повышению равновесной температуры гидратообразования и понижению равновесного давления. Например, при давлении 50атм. для чистого метана температура образования гидратов составляет 6оС, а при 25-ом содержании H2S она достигает 10оС. Природные газы, содержащие азот, имеют более низкую температуру образования гидратов, т. е. в этом случае гидраты становятся менее устойчивыми. Например, если в природном газе с относительной плотностью 0,6 отсутствует азот, гидраты его при температуре 10°С остаются устойчивыми до давления 34 атм., если же в газе содержится 18% азота, равновесное давление гидратообразования снижается до 30 атм.

Для образования гидратов в жидких углеводородных газах требуются более высокое давление и более низкие температуры. В отличие от природных газов выделение гидратов в жидких углеводородных газах сопровождается увеличением давления системы (в замкнутом объеме). Кроме того, как и в природных газах, в этом случае выделяется теплота, в результате чего повышается температура системы. Поскольку объем остается постоянным, с увеличением температуры в системе растет и давление.

Разложение гидратов жидких углеводородных газов сопровождается уменьшением объема и, следовательно, понижением давления. Образование гидратов в жидких углеводородах идет несравнимо труднее, чем в газообразных. Чтобы начался этот процесс, требуется выдержать систему при соответствующих условиях в течение некоторого времени и в основном в условиях равновесия. Однако при отрицательных температурах после появления мелких кристалликов льда гидраты начинают образовываться быстро. Гидраты жидких углеводородных газов легче воды

При движении нефтяного и природного газа по газосборным сетям температура и давление его всегда падают с выделением углеводородного и водного конденсатов.

Углеводородный и водный конденсат в пониженных местах газопровода образует жидкостные пробки, сильно снижающие пропускную способность газопроводов. Кроме того, при определенных термодинамических условиях газы в контакте с водным конденсатом могут образовывать гидраты, которые, отлагаясь на стенках труб, уменьшают сечение газопровода. [7]

2.4 Методы предупреждения и ликвидации гидратов на месторождении

Борьба с гидратами, как и с любыми осложнениями, ведется в направлениях их предупреждения и ликвидации. Следует всегда отдавать предпочтение методам предупреждения гидратообразования.

Это нарушает нормальную работу газопромыслового оборудования, особенно при низких температурах окружающей среды.

Борьба с гидратами ведется в двух направлениях:

а) предупреждение образования гидратов;

б) ликвидация образовавшихся гидратов.

Для предотвращения образования гидратов в скважинах применяют следующие методы:

а) устанавливают соответствующий технологический режим эксплуатации скважины;

б) непрерывно или периодически подают на забой скважины антигидратные ингибиторы;

в) применяют футерованные насосно-компрессорные (подъемные) трубы;

г) систематически удаляют с забоя скапливающуюся жидкость;

д) устраняют причины, вызывающие пульсацию газа в скважине.

Ствол скважины очищают от гидратных отложений:

а) продувкой в атмосферу с необходимой предварительной выдержкой скважины в закрытом состоянии с целью частичного разложения гидратов под влиянием тепла окружающих пород;

б) закачкой большого объема антигидратного ингибитора непосредственно на гидратную пробку с выдержкой для разложения гидратной пробки и с последующей продувкой в атмосферу.

Предупреждают образование гидратов в фонтанной арматуре и в обвязке скважин, а также на различных участках, в узлах и звеньях системы сбора и транспортирования газа (в зависимости от конкретных условий) следующими методами, применяемыми как самостоятельно, так и комплексно:

а) обогревом отдельных узлов и участков;

б) вводом в поток газа антигидратных ингибиторов (метанола, раствора хлористого кальция, диэтиленгликоля и др.);

в) устранением резких перепадов давления, которые вызывают движение температуры газа, ведущее к конденсации парообразной влаги и образованию гидрата;

г) систематическим удалением жидкости, скапливающейся в пониженных местах системы сбора и внутрипромыслового транспортирования газа, при помощи конденсатосборников или дренажных патрубков;

д) регулярной продувкой газопроводов от окалины, грязи и т. п., в местах скопления которых образуются кристаллы гидратов.

Рассмотрим некоторые способы предотвращения образования гидратов и льда.

Ввод метанола в газовый поток.

Если безгидратный режим не представляется возможным обеспечить, особенно при расположении скважины в зоне вечной мерзлоты, то образование гидратов можно предупредить применением ингибиторов гидратообразования (рисунок 8). Ингибитор гидратообразования снижает температуру гидратообразования.

Основные ингибиторы, применяемые в газовой промышленности, - метиловый спирт СН3ОН (метанол), хлористый кальций, гликоли (этиленгликоль, ди- и триэтиленгликоль).

Потребное количество нелетучего ингибитора гидратообразования


и летучего (испаряющегося) ингибитора, например метанола


где qн(л) - расход нелетучего (летучего) ингибитора, кг/1000 м3 газа; W1, W2 -влагосодержание газа до и после ввода ингибитора (в пласте и на устье); G1, G2-массовые концентрации свежего и отработанного ингибитора; ам-отношение содержания метанола в газе, необходимого для насыщения газа, к концентрации метанола в жидкости (определяется графически в зависимости от давления и температуры).[8]

Рисунок 8 - Понижение температуры (Δt) гидратообразования различными ингибиторами в зависимости от их концентрации (К):

- хлористый кальций; 2 - метанол: 3 - триэтиленгликоль и этилкарбитол, 4 - диэтиленгликоль

Метанол применяют как профилактическое средство для предупреждения образования гидратов. Этот способ получил наибольшее распространение на газовых промыслах. В газовый поток вводят метанол, т. е. метиловый спирт (СН3ОН), являющийся понизителем точки замерзания.

Метанол вместе с парами воды, насыщающей газ, образует спиртоводные растворы, температура замерзания которых значительно ниже нуля. Так как количество водяных паров, содержащихся в газе, при этом уменьшается, точка росы понижается и, следовательно, опасность выпадения гидратов становится значительно меньше. Однако следует учитывать, что метанол растворяется в воде. Если в газопроводе имеется вода, метанол растворяется в ней целиком и становится уже менее эффективным.

Применение метанола для ликвидации и предупреждения образования гидратов имеет ряд существенных недостатков:

) метанол - сильный яд, вызывающий загрязнение окружающей среды и отравление не только при попадании внутрь организма, но и при вдыхании его паров;

) в рабочий бачок этот агент закачивается ручным насосом, на что оператор расходует много времени;

) применение метанола связано с удорожанием себестоимости газа.

В настоящее время потребление метанола в газовой промышленности России достигло 655 тыс.т в год, а по прогнозам к 2030 г. объем потребления метанола составит 1 млн.т. Поэтому ведется работа по разработке современных методов борьбы с гидратообразованием, направленная на снижение количества применяемого метанола.

Метанол или другой ингибитор вводят в газопровод каплями с помощью регулировочного вентиля из бачка высокого давления, который расположен над газопроводом. Давление газа в бачке над метанолом и в газопроводе создается одинаковым посредством сообщающей трубки.

В условиях месторождения Узловое для закачки метанола применяют метанолопровод, насосы, ёмкости для хранения метанола. Метанолопровод с узла протянут на устье скважин и на главную площадку входных ниток. Ещё закачка может быть осуществлена непосредственно с промывочного агрегата в скважину.

Для хранения метанола предусматривается четыре горизонтальных надземных резервуара Р-1 объёмом до 25 м3 каждый. Общий объём метанола, хранимого на УКПГ составит 100 м3, либо в пересчёте на массу и коэффициент наполнения резервуаров -72 т. Т.к. нормами не оговаривается объём хранения на УКПГ реагентов при трубопроводном транспорте, то в расчёт принят минимальный срок 20 дней, как при отгрузке в железнодорожных цистернах.

Для аварийного слива метанола из резервуаров Р-1 предусматривается подземный резервуар Р-2 объёмом 12,5 м3 со встроенным насосом. Возврат метанола - в резервуары Р-1.[11]

Подогрев газа.

Этот способ применяют для предотвращения образования гидратов, а также для их ликвидации.

Подогревать газ можно огневым способом и путем теплообмена с горячей водой, паром или дымовыми газами. Огневой подогрев нерационален, так как приводит к порче изоляции трубопроводов, арматуры и аппаратуры и опасен в пожарном отношении. Поэтому таким способом пользуются редко, а подогревают газ горячей водой или паром в теплообменниках различной конструкции.

Передвижные парогенераторные установки и паровые котельные общего назначения предназначены для обработки призабойной зоны скважин паром или горячей водой, а также для подогрева трубопроводов и другого нефтегазопромыслового оборудования.

Промысловая паровая передвижная установка ППУА-1600/100 смонтирована на монтажной раме, установленной на шасси автомобиля КрАЗ-250 или КрАЗ-260 (рисунок 9).

Установка включает в себя парогенератор, цистерну для воды, питательный и топливный насосы, вентилятор высокого давления, кузов, привод, укрытие для цистерны, ёмкость для топлива, приборы КИП и А, магистральные трубопроводы. Парогенератором служит вертикальный прямоточный змеевиковый котел. Из кабины автомобиля осуществляется управление рабочим процессом и контроль за работой установки.

Рисунок 9 - Промысловая паровая передвижная установка ППУА-1600/100:

- цистерна для воды; 2 - укрытие для цистерны; 3 - ёмкость для топлива; 4 - кузов; 5 - парогенератор; 6 - питательный насос; 7 - вентилятор высокого давления; 8 - топливный насос; 9 - приборы КИП и А; 10 - привод установки; 11 - магистральные трубопроводы; 12 - монтажная рама.

Основные технические параметры приведены в таблице.

Таблица 4. − Техническая характеристика ППУА-1600/100

Показатели

Значения

Производительность по пару, м3/с

1,6

Давление пара, МПа

10

Температура пара, 0С

310

Вместимость цистерны для воды, м3

5,2

Габаритные размеры установки, мм: на базе КрАЗ-250 на базе КрАЗ-260

 9520х2500х3432 9452х27722х3540

Масса установки, т.: на базе КрАЗ-250 на базе КрАЗ-260

 21,0 21,7


С переходом на гликолевую осушку на шлейфах скважин были установлены путевые подогреватели. Температура газа в шлейфах при этом будет безусловно выше температуры начала гидратообразований. Однако после редуцирования на блоках площадки входных ниток в силу различия устьевых давлений температура газа по ряду скважин будет ниже температуры гидратообразований. Для этого случая схемой предусмотрена подача метанола непосредственно на блоках входных ниток.

Резкое снижение давления.

Когда гидратная пробка уже образовалась, то резкое снижение давления в системе приводит к разложению гидратов, которые затем выносятся из газопроводов и аппаратуры продувкой их через отводы в атмосферу. Этот способ - аварийный, так как связан с нарушением установленного режима эксплуатации скважины.

Скважины оборудованы продувочной линией и свечой для осуществления следующих операций:

1. продувки шлейфа при ремонтных работах или разгидрачивании;

2.      продувки трубного или затрубного пространства при вытеснении задавочной жидкости после ремонта;

.        отработки скважины после освоения;

.        отвода задавочной жидкости в приёмную ёмкость при освоении;

.        исследования скважины с помощью прувера.

На устье продувочная линия имеет две задвижки - рабочую и контрольную. Конец продувочной свечи оснащён фланцевым соединением для монтажа при исследовании прувера.

Согласно сложившейся практики обустройства газовых северного Сахалина продувочная свеча выполняется горизонтально и выводится с уклоном в защищённый от ветров котлован. Такое решение позволяет избежать скопление и замерзание в продувочной линии жидкости и самое главное предотвращение распространения по окрестности метанольной воды, гидратов и конденсата при осуществлении операций описанных выше. Все эти продукты выжигаются в земляном котловане. Размеры котлована в плане 4´14 м, глубина 1,5 м. Розжиг осуществляется горящей паклей, забрасываемой в котлован с безопасного расстояния, либо ракетницей.

Осушка газов.

На месторождении Узловое применяют сепараторы трех типов: горизонтальный первой и второй ступени, нефтегазовый, замерной. Для осушки газа применяют специальные реагенты-осушители, которые поглощают из газа часть влаги, вследствие чего уменьшается содержание влаги в нем и понижается его точка росы.

Для осушки газа используются следующие методы:

охлаждение;

абсорбция;

адсорбция.

Технологическая схема абсорбционной осушки газа с помощью диэтиленгликоля (ДЭГ), приведена на рисунке 10.

Рисунок 10 - Принципиальная схема осушки газа методом абсорбции:

- абсорбер; 2, 10, 11 - насосы; 3, 9 - емкости; 4, 6 - теплообменники; 5 - выветриватель; 7 - десорбер; 8 - конденсатор - холодильник; 12 - холодильник

Газ, требующий осушки, поступает в абсорбер 1. В нижней скрубберной секции он очищается от взвешенных капель жидкости и поднимается вверх, проходя через систему тарелок. Навстречу газу по тарелкам стекает концентрированный раствор ДЭГ, закачиваемый в абсорбер насосом 2 из емкости 3. Раствор ДЭГ поглощает пары воды. Далее газ проходит через верхнюю скрубберную секцию, где освобождается от захваченных капель раствора и выходит из аппарата.

Технологическая схема осушки газа методом адсорбции приведена на рисунке 11. Влажный газ поступает в адсорбер 1, где он проходит снизу вверх через слой адсорбента - твердого вещества, поглощающего пары воды и далее выводится из аппарата. Процесс осушки газа осуществляется в течение определенного (12...16 ч) времени. После этого влажный газ пускают через адсорбер 2, а адсорбер 1 отключают и выводят на регенерацию. Для этого через регулятор давления 3 типа «после себя» из газовой сети отбирается сухой газ, и воздуходувкой 6 подается в подогреватель 7, где газ нагревается до температуры 180...200 "С. Далее он подается в адсорбер 1, где отбирает влагу от адсорбента, после чего поступает в холодильник 4. Сконденсировавшаяся вода собирается в емкости 5, а газ используется для осушки повторно и т. д. Процесс регенерации адсорбента продолжается 6...7 ч. После этого в течение около 8 ч адсорбер остывает.

Рисунок 11 - Принципиальная схема осушки газа методом адсорбции:

, 2 − адсорберы; 3 - регулятор давления типа "после себя"; 4 - холодильник; 5 − емкость; 6 - газодувка; 7 - подогреватель газа.

Осушку газа адсорбентами проводят, как правило, в тех случаях, когда необходимо достичь точку росы менее - 30 "С. В качестве адсорбентов используют бокситы, хлористый кальций в твердом виде, цеолиты, силикагель и другие.[8]

2.5 Система сбора и подготовки газа на промысле

К принципиальным положениями принятой схемы сбора и подготовки газа и конденсата следует отнести следующие:

1)   система сбора газа по лучевой схеме, на установку подготовки газа. Индивидуальные шлейфы от каждой скважины проложены подземно совместно с индивидуальными метанолопроводами;

2)      осушку и отбензинивание газа предусматривалось осуществлять на УКПГ способом низкотемпературной сепарации в течении 3 лет, абсорбционной осушкой газа с 4 года разработки;

)        транспорт газа осуществляется по однотрубной системе: первые шесть лет в систему дальнего магистрального транспорта, затем, со снижением давления на устьях скважин ниже 5,5МПа-на собственные нужды острова.

4)   конденсат углеводородов, выделяемый из газа в процессе его подготовки, после дегазации проходит процесс отделения от воды, при чем степень подготовки конденсата должна соответствовать степени подготовки нефти по I категории качества. После подготовки конденсат по трубопроводу Ду100 мм насосом откачивается в магистральный нефтепровод “Оха-Комсомольск”.

Схема сбора показана на рисунке 12.

В соответствии с принятыми технологическими решениями, схема сбора предусматривает самостоятельный транспорт продукции каждой скважины по лучевой системе от устьев до УКПГ. рядом со шлейфами прокладываются метанолопроводы для подачи ингибитора гидратообразований на устье скважин.

Рисунок 12 - Схема сбора продукции скважин

По пропускной способности шлейфы рассчитаны по максимальному дебиту, с потерей давления по длине не более 5% от давления на устье. Диаметр метанолопроводов выбран с расчетом обеспечения надежности при монтаже и эксплуатации. [10,11]

Расчётный диаметр шлейфов - 114 мм, метанолопроводов - 57 мм.

Общая протяжённость шлейфов 12 км, метанолопроводов также 12 км.

В соответствии с техусловиями ОСТ 51.48-83 «Газы горючие природные, подаваемые в магистральные газопроводы» газ для районов с умеренным климатом, к которому относится район месторождения, должен быть подготовлен по следующим параметрам:

. точка росы газа по влаге -0°С летом и минус 5°С зимой;

. точка росы газа по углеводородам -0°С летом и 0°С зимой;

. масса механических примесей в 1 м3, не более -0,003

. масса сероводорода в 1 м3, не более -0,02 г;

. масса меркаптановой серы в 1 м3, не более -0,036 г;

. объёмная доля кислорода, не более -1,0%.

Природный газ, поступающий из скважин, содержит в виде примесей твердые частицы (песок, окалина), конденсат тяжелых углеводородов, пары воды, а в ряде случаев сероводород и углекислый газ. Присутствие в газе твердых частиц приводит к абразивному износу труб, арматуры и деталей компрессорного оборудования, засорению контрольно-измерительных приборов. Конденсат тяжелых углеводородов оседает в пониженных точках газопроводов, уменьшая их проходное сечение. Наличие водяных паров в газе приводит к коррозии трубопроводов и оборудования, а также к образованию в трубопроводах гидратов - снегоподобного вещества, способного полностью перекрыть сечение труб.

Сероводород является вредной примесью. При его содержании большем, чем 0,01 мг в 1 л воздуха рабочей зоны, он ядовит. А в присутствии влаги сероводород способен образовывать растворы сернистой и серной кислот, резко увеличивающих скорость коррозии труб, арматуры и оборудования.

Углекислый газ вреден тем, что снижает теплоту сгорания газа, а также приводит к коррозии оборудования. Поэтому его целесообразно отделить на промыслах.

Задачами промысловой подготовки газа являются его очистка от мехпримесей, тяжелых углеводородов, паров воды, сероводорода и углекислого газа.

Очистка газа от механических примесей. Для очистки природного газа от мехпримесей используются аппараты 2-х типов:

- работающие по принципу «мокрого» улавливания пыли (масляные пылеуловители);

работающие по принципу «сухого» отделения пыли (циклонные пылеуловители);

В товарном газе содержание мехпримесей не должно превышать 0,05 мг/м3.

Осушка газа. Для осушки газа используются следующие методы:

- охлаждение;

абсорбция;

адсорбция.

Пока пластовое давление значительно больше давления в магистральном газопроводе газ охлаждают, дросселируя излишнее давление. При этом газ расширяется и в соответствии с эффектом Джоуля-Томсона охлаждается.

Если пластовое давление понижено, то охлаждение газа производится на установках низкотемпературной сепарации. Эти установки очень сложны и дороги.

Работа десорбера основана на различной температуре кипения воды и абсорбента: для диэтиленгликоля (ДЭГ) она равна 244,5°С, а для триэтиленгликоля (ТЭГ) 287,4°С. ДЭГ понижает точку росы газа на 25...35 градусов, а ТЭГ - на 40...45. Обе жидкости обладают малой вязкостью, неагрессивны в коррозионном отношении, очень слабо растворяют природные газы и имеют низкую упругость паров, что облегчает их регенерацию.

Недостатками абсорбционной осушки газа являются унос абсорбента и относительная сложность его регенерации.

Осушку газа адсорбентами проводят, как правило, в тех случаях, когда необходимо достичь точку росы менее - 30"С. В качестве адсорбентов используют бокситы, хлористый кальций в твердом виде, цеолиты, силикагель и др.

Очистка газа от сероводорода. Очистка газа от сероводорода осуществляется методами адсорбции и абсорбции.

Принципиальная схема очистки газа от Н2S методом адсорбции аналогична схеме осушки газа адсорбционным методом. В качестве адсорбента используются гидрат окиси железа и активированный уголь.

Абсорбент вступает в химическую реакцию с сероводородом, содержащимся в газе, унося продукт реакции с собой. Очищенный газ выводится из аппарата через скрубберную секцию, в которой задерживаются капли абсорбента.

Работа этаноламиновых газоочистных установок автоматизирована. Степень очистки газа составляет 99% и выше. Недостатком процесса является относительно большой расход газа.

Очистка газа от углекислого газа. Обычно очистка газа от СО2 проводится одновременно с его очисткой от сероводорода, т.е. этаноламинами. [9]


2.6 Определение условий гидратообразования

Условиями образования гидратов является присутствие одновременно трех факторов: низкой температуры, высокого давления и наличия влаги, что всегда имеет место при добыче нефтяного и природного газа.

Гидраты природных газов - типичные смешанные гидраты, в которых гидратообразователями являются не отдельные углеводороды, а смесь газов. Присутствие H2S в смеси природных и нефтяных газов значительно повышает температуру гидратообразования. В то же время наличие в газе H2S и СО2 понижает равновесное давление гидратообразования, причем влияние H2S значительно сильнее, чем СО2.

Условиями образования смешанных гидратов не совпадают с условиями гидратообразования отдельных компонентов и зависят от состава газа. Чем выше плотность газа, тем выше, как правило, температура гидратообразования (рисунок 13).

Рисунок 13 - График условий гидратообразования

Область существования гидратов на этом рисунке располагается левее и выше приведенных кривых. Основное условие образования гидратов - это полное насыщенность газа парами воды. Если снизить содержание паров воды в газе до такого значения, что парциальное давление водяного пара станет меньше упругости паров гидрата, то последний не сможет образовываться.

На рисунке 13 видно, что вероятность образования гидратов увеличивается с повышением давления и снижением температуры газа. Гидраты могут образовываться на всем пути движения газа от забоя скважины до пункта сбора газа, причем самая неприятная особенность гидратов заключается в том, что они способны образовываться при температурах значительно выше нуля.

Рисунок 14 - Максимальное содержание влаги в газе в зависимости от давления и температуры.

Условия образования гидратов природных газов с различной плотностью можно определить по графику (рисунок 14), на котором слева от каждой линии находится зона с гидратами, справа - зона без гидратов. Присутствие азота, сероводорода и углекислого газа повышает температуру гидратообразования.

Зону возможного гидратообразования в газопроводе находят следующим образом: определяют температуру газа, падение давления, температуру гидратообразования и точку росы. Полученные значения наносят на график (рисунок 14). Участок, на котором температура газа ниже кривой гидратообразования, представляет собой зону возможного гидратообразования. Точка росы определяется обычно путём охлаждения газа до температуры конденсации водяных паров. Гидраты, образующиеся в скважинах, шлейфах, газопроводах или аппаратах разрушаются при снижении давления в системе, увеличении температуры в аппарате или на участке газопровода, где произошло образование гидратов, а также при вводе метилового, этилового и пропилового спиртов, гликолей, аммиака и хлористого кальция, способствующих разрушению гидратов.

Аммиак применяют редко, так как он реагирует с углекислотой, которая содержится в природном газе, и образует с ней осадок углекислого аммония, забивающего запорную арматуру.[8]

Необходимое количество метанола рассчитывают следующим образом.

Определяют количество воды (в г/сут), выделившейся из газа за сутки,

в = (mtp - mtj) Q,

где mtp и mtj - влагосодержание при температуре точки росы tp и фактической температуре tj газа в газопроводе, г/м³;- расход газа, м³/сут.

Рисунок 15 - График гидратообразования для природных газов с различной относительной плотностью.

По заданным параметрам газа, давлению и относительной плотности определяют температуру образования гидратов tг (рисунок 16). Величину требуемого снижения точки росы ∆tp по углеводородам рассчитывают по формуле:

∆tp = tг - tj.

Рисунок 16 - График изменения температуры и давления и зона образования гидратов в магистральном трубопроводе.

По графику определяют минимальное содержание метанола в жидкости (Мж) для температуры ∆tp. Находят отношение содержания метанола в парах к его содержанию в жидкости (Км). Рассчитывают концентрацию метанола в газе:

Км.г = Км Мж.

Определяют количество метанола (в г/сут), необходимое для насыщения жидкости:

м.ж = qМж / 100 - Мж

Определяют количество метанола (в г/сут), необходимое для насыщения газа:

м.г = Км.г Q

Находят общий расход метанола (в г/сут):

Gм = Gм.ж + Gм.г

Рисунок 17 - График понижения точки замерзания жидкости в зависимости от содержания метанола.

Рисунок 18 - График содержания метанола в паровой и жидкой фазах в зависимости от давления и температуры газа.

2.7 Расчет условий гидратообразования

Исходные данные:

Ту = 240С - устьевая температура,

- ρот = 0,68 - относительная плотность газа,

Ру = 16 МПа - устьевое давление.

Решение

Для предупреждения гидратообразования необходимо создать режим в соответствии с условием:

≤ Pp и T≥Tp,

где tр и Тр - равновесные давление и температура гидратообразования. Величины рр и Тр определяют экспериментально.

При положительных температурах взаимосвязь между равновесной температурой и равновесным давлением гидратообразования имеет вид:


где tр -- равновесная температура гидратообразования, °С; рр - равновесное давление гидратообразования, МПа; В, В1 - числовые коэффициенты (табл. 5).

Таблица 5 - Зависимость коэффициентов В и В1 от относительной плотности


Определим возможность образования кристаллогидратов в скважине, если давление на устье скважины Ру = 16 МПа, температура Ту = 24 0С, а относительная плотность газа при этом давлении ρ = 0,68.

По табл. для ρ = 0,68 определяем:

В = 14,34,

В1 = 45,6

Рассчитываем равновесную температуру по формуле

р = 18,47 (1 + lg рр) - Вр = 18,47(1 + lg 16) -14,34 = 26,4оС

или lg Рр =

отсюда Рр = 0,5 МПа

Вывод: Сравнивая температуру на устье Ту = 240С с рассчитанной tр = 26,4оС устанавливаем, что образование кристаллогидратов в скважине возможно, так как tу < tр. Отсюда можно сделать вывод, что образование гидратов зависит от относительной плотности газа, т.е. чем выше плотность газа и чем ниже давление на устье скважины, тем выше вероятность гидратообразования.[6]

.8 Применение метода подачи метанола на забой газовых скважин

Рассмотрим применение оборудования для дозированной подачи химического реагента (ОПР) (рисунок 19), предназначенное для регулируемой подачи метанола в зону перфорации или затрубное пространство газовых и газоконденсатных скважин, в трубопровод промысловой системы транспорта и подготовки газа. Такое оборудование позволяет снизить потребление метанола до 6,5 тыс.л/год при заводских настройках порога срабатывания клапана 25-30 кгс/см3: до 2,5 л/час.

ОПР может эксплуатироваться при температуре воздуха от минус 600 С до плюс 400 С. ОПР с блоком подачи метанола (БПМ) включает в себя наземное и скважинное оборудование.

Установка, монтаж блоков подачи должна производиться на подготовленную площадку или сваи. Прокладка трубопровода наземного от блока до устья скважины производится по воздуху на стойках. Спуск трубопровода скважинного производится с помощью автонаматывателя и подвесного ролика, установленного на ремонтном агрегате.

газовая скважина гидратообразование метанол

Рисунок 19 - Оборудование подачи реагента (ОПР). Схема обвязки

Блочное оборудование (рисунок 20) предназначено для хранения и регулируемой подачи метилового спирта в зону перфорации, в затрубное пространство газовых и газоконденсатных скважин, а также в трубопровод промысловой системы транспорта и подготовки газа, с целью предотвращения гидратных пробок и отложений. В районах с низкими температурами окружающей среды, для предотвращения замерзания рабочей диафрагмы газовой скважины. Кроме того, может применяться для подачи поверхностно активного вещества (ПАВ) к забою газовой скважины с целью выноса жидкости с забоя, для более стабильной работы скважины.

Оборудование обеспечивает хранение метанола под азотной подушкой с содержанием воды не более 0,02%. Конструкция блока предусматривает три варианта размещения управляющей аппаратуры:

. Встроенный аппаратный отсек герметично отделен от технологической секции;

. Аппаратный отсек имеет отдельный вход и герметично отделен от технологического отсека на одной раме;

Рисунок 20 - Блок подачи метанола. Габаритные размеры.

. Выносной шкаф управления размещается в отдельном закрытом помещении на территории объекта.

В блоке со съемной крышей размещены: емкость для хранения метанола под азотной подушкой давлением 1,5…2 кПа, дозировочные насосы и вспомогательное оборудование. Пульт оператора вынесен из блока в отдельный герметичный аппаратный отсек. В нем располагается шкаф КИПиА, могут располагаться баллоны для хранения азота и редуктора для понижения высокого давления системы «азотного дыхания». Дополнительно в блоке установлен регулятор давления газа для понижения давления газа до рабочего значения.

Преимущества. Вспомогательное оборудование состоит из аварийной вентиляции, срабатывающей при повышении концентрации паров метанола выше ПДК, системы автоматического контроля паров метанола, системы отключения аварийной вентиляции и всего электрооборудования в случае пожара, системы звукового и светового оповещения.

Емкость блока оборудована линией деаэрации с дыхательным клапаном. Заполнение емкости может производиться от метанолопровода, расположенного на месторождении, либо от транспортной емкости через трубопровод. Сигнал о наполнении емкости поступает от сигнализатора уровня. Уровнемер служит для определения точного расхода насосов-дозаторов.

Манометры могут быть расположены как в насосном отсеке, так и на пульте оператора.

Технические характеристики: количество дозаторов 2 шт., давление на выходе насоса 6,3-40 МПа Объем технологической емкости 1,0-6,0 м3, потребляемая мощность не более 15 кВт

Устройства ввода условным проходом Dу 6мм монтируется на устьевую арматуру и выполняет функцию подачи метанола в затрубное пространство или соединения наземного и скважинного трубопроводов, обеспечивая проход линии подачи реагента через устьевую арматуру.

Трубопровод скважинный (рисунок 21) условным проходом DN4 и DN6 предназначен для подачи метанола в скважину в колонну НКТ. Трубопровод крепится к колонне НКТ аналогично силовому кабелю УЭЦН. Представляет собой тонкостенную нержавеющую трубку, защищенную от механических повреждений двумя слоями оплетки из стальной проволоки. Крепление трубопровода производится на муфтовых соединениях колонны НКТ при помощи хомута-протектора, который также служит для его защиты от механических повреждений при спускоподъемных операциях, что исключает сдавливание трубопровода скважинного, контакт со стенками и стыками колонны, тем самым, предотвращая износ брони трубопровода и защищая его от ударных нагрузок.

 

Рисунок 21 - Трубопровод скважинный

Преимущества. Верхняя заделка трубопровода (механическая) поставляется отдельно и устанавливается в верхней части трубопровода после его спуска в скважину (служит для соединения устройства ввода с трубопроводом скважинным). В случае разрыва брони и капиллярной трубки трубопровода скважинного производится механическое сращивание трубопровода при помощи ремкомплекта или производится пайка в заводских условиях.

Максимальная пропускная способность трубопровода ограничена. Определяется физическими свойствами жидкости, длиной трубопровода, внутренним диаметром, давлением в системе.

Устройство дозирования с комплектом грузов (рисунок 22) предназначено для подачи метанола внутрь эксплуатационной колонны. В состав устройства входит муфта-клапан, имеющая перенастраиваемый порог срабатывания; карабин, состоящий из двух частей, свободно вращающихся относительно друг друга; комплект грузов, который увеличивает вес, что упрощает спуск устройства и исключает перегиб трубопровода скважинного.

Муфта-клапан (рисунок 23) условным проходом DN 5 мм предназначена для подачи метанола во внутрь колонны НКТ (эксплуатационной колонны). Устанавливается на любой уровень скважины, между двух труб НКТ. Состоит из эксцентричной муфты и встроенного обратного клапана с перенастраиваемым порогом срабатывания. Порог настраивается пружиной клапана. При превышении давления на входе сверх установленного, клапан открывается. [13]

Рисунок 22 - Устройство дозирования с комплектом грузов

Рисунок 23 - Муфта-клапан

3. Экономическая часть


Произведем расчет себестоимости сбора и подготовки газа на месторождении при подачи метанола от УКПГ по трубопроводам на устье действующих скважин исходя из расхода 14,6 тыс.л/год в соответствии с принятой схемой сбора и подготовки газа на месторождении Узловое.

Расчет материальных затрат

Экономический элемент себестоимости «Материальные затраты» не включает стоимость приобретаемых предприятием основных и вспомогательных материалов, всех видов энергии, комплектующих и запасных частей в год.

Таблица 6 - Расчет материальных затрат

Наименование материалов

Единицы измерения

Норма расхода

Расход, единиц

Цена, руб.

Стоимость, руб.

Метанол

л


14600

12,0

175200

Абсорбент

кг


550

50,0

27500

Итого

-

-

-

-

202700

 

Расчет численности персонала и фонда оплаты труда.

Таблица 7 - Расчет численности персонала и фонда оплаты труда

Должность

Разряд

Численность

Часовая тарифная ставка (руб.)

Отработано часов

Тарифный фонд оплаты труда (руб.)

Оператор по добыче нефти и газа

5

1

180,63

1903

343739,0

Оператор по добыче нефти и газа

4

2

160,15

3806

609531,0

Итого


3



953270,0


В соответствии с премиальным положением определяем размер премии (25% от тарифного фонда оплаты труда):

Пр = 953270,0·0,25 = 238,32 тыс. руб.;

Определяем размер северных и районных льгот:

Слг = (953,27+238,32)·0,9 = 1072,431 тыс. руб.;

Определяем размер доплат за переработанное время:

Дн = (953,27+238,32+1072,431)·0,18 = 407,52 тыс. руб.;

Определяем годовой фонд оплаты труда рабочих:

ФОТ=953,27+238,32+1072,431 +407,52 = 2671,541 тыс. руб.

Расчет амортизации основных средств

Размер амортизации основных средств определяется исходя из балансовой стоимости основных средств и общей нормы амортизации.

Таблица 8 - Расчет амортизации основных средств

Наименование основных средств

Первоначальная стоимость, руб.

Норма амортизации, %

Сумма амортизации руб.

Метанольная установка

1260200

15

 189030

Адсорбер

608000

12

 72960

Абсорбер

608000

12

 72960

Итого



 334950


Расчет полной себестоимости сбора и подготовки природного газа

Таблица 9 - Расчет полной себестоимости

Наименование экономических элементов себестоимости

Сумма затрат, тыс. руб.

Структура затрат, %

Материальные затраты

 202,7

4,5

Расходы на оплату труда

 2671,5

58,9

Взносы на ОПС, ФСС, ФОМС (27,3% от ФОТ)

 729,3

16,1

Амортизация основных средств

 335,0

7,4

Прочие затраты 15% от суммы вышеуказанных затрат (материалы, все виды энергии, комплектующие и запасные части)

 590,8

13,1

Итого:

4529,3

100

3.2 Расчет себестоимости продукции и ликвидации гидратообразования при закачке метанола в скважину

При закачке метанола на забой скважины при помощи оборудования для дозированной подачи химического реагента, потребление метанола снижается до 6,5 тыс. л/год на весь фонд действующих на месторождении скважин.

Для обслуживания блока подачи метанола необходимая численность персонала составляет 2 человека: оператор по добыче нефти и газа 5 разряда и оператор КИПиА.

Таблица 10 - Расчет материальных затрат

Наименование материалов

Единицы измерения

Норма расхода

Расход, единиц

Цена, руб.

Стоимость, руб.

Метанол

л

 6

6500

12,0

78000

Итого

-

-

-

-

78000

 

Расчет численности персонала и фонда оплаты труда.

Таблица 11 - Расчет численности персонала и фонда оплаты труда.

Должность

Разряд

Численность

Часовая тарифная ставка (руб.)

Отработано часов

Тарифный фонд оплаты труда (руб.)

Оператор по добыче нефти и газа

5

1

180,63

1903

343739,0

Оператор КИПиА

4

1

203,5

1903

387260,5

Итого


3



730999,5


В соответствии с премиальным положением определяем размер премии (25% от тарифного фонда оплаты труда):

Пр = 730999,5·0,25 = 182,7 тыс. руб.;

Определяем размер северных и районных льгот:

Слг = (730,99+182,7)·0,9 = 822,32 тыс. руб.;

Определяем размер доплат за переработанное время:

Дн = (730,99+182,7+822,32)·0,18 = 312,48 тыс. руб.;

Определяем годовой фонд оплаты труда рабочих:

ФОТ=730,99+182,7+822,32 +312,48= 2048,49 тыс. руб.

Расчет амортизации основных средств

Размер амортизации основных средств определяется исходя из балансовой стоимости основных средств и общей нормы амортизации.

Таблица 12 - Расчет амортизации основных средств

Наименование основных средств

Первоначальная стоимость, руб.

Норма амортизации, %

Сумма амортизации руб.

Метанольная установка

1738500

15

 260775

Итого



 260775

 

Расчет полной себестоимости сбора и подготовки природного газа

Таблица 13 - Расчет полной себестоимости

Наименование экономических элементов себестоимости

Сумма затрат, тыс. руб.

Структура затрат, %

Материальные затраты

 78,0

2,3

Расходы на оплату труда

 2048,5

60,4

Взносы на ОПС, ФСС, ФОМС (27,3% от ФОТ)

 559,2

16,5

Амортизация основных средств

 260,8

7,7

Прочие затраты 15% от суммы вышеуказанных затрат (материалы, все виды энергии, комплектующие и запасные части)

 442,0

13,1

Итого:

3388,5

100

По результатам расчетов видно, что структура затрат в основном состоит из расходов на оплату труда и затрат на установки и реагенты для подготовки газа и борьбы с гидратообразованием.

Из чего следует оправданность применения новых, снижающих затраты методов подготовки продукции и борьбы с осложнениями при эксплуатации скважин, приводящими к простоям в работе и дорогостоящему ремонту, таких истощенных и малодебитных месторождений как Узловое.

4. Безопасность и экологичность проекта

.1 Организация работ по обслуживанию и эксплуатации газовых скважин

Особенности процесса добычи газа, создающие опасность для обслуживающего персонала обусловлены:

необходимостью обслуживания оборудования (фонтанной арматуры, сепараторов и пр.), находящегося в процессе эксплуатации под высоким давлением;

необходимостью работы во взрывоопасных помещениях;

выделением из газа и газоконденсата различных компонентов, представляющих опасность отравления людей, а при определенных условиях и опасность взрыва и пожара;

применением вредных и ядовитых веществ (например, метанол);

необходимостью проведения газоопасных работ, то есть работ в загазованной среде или при которых возможен выход газа из газопроводов и аппаратов.

К газоопасным работам относятся ввод в эксплуатацию газопроводов, аппаратов и т.п.; присоединение вновь смонтированных газопроводов к действующим - наружным и находящимся в помещениях (врезка под газом); ремонт действующих газопроводов (без отключения их от газа); осмотр и проветривание колодцев; продувка газопроводов и скважин; ввод в газопровод метанола для удаления гидратов и др.

Для исключения опасных моментов обустройство объектов осуществляется со всеми требованиями техники безопасности, противопожарной техники, санитарных норм, строительных норм и правил. Территория объектов, участков и площадок вокруг скважин должна содержаться в чистоте и порядке. Загрязненность территории конденсатом, глинистым раствором, затопление сточными водами, захламленность и загроможденность различным оборудованием и материалами являются нарушениями требований безопасности и могут приводить к несчастным случаям. Заброшенные колодцы должны быть засыпаны. Все резервуары и амбары должны быть ограждены или перекрыты. Дороги, переходы должны всегда находиться в исправности. Сепараторы, установленные вне помещения, должны освещаться прожекторами или светильниками в взрывозащищенном исполнении, а вне взрывоопасной зоны допускается применение светильников в пыленепроницаемом исполнении. Во взрывоопасных помещениях должны предусматриваться мероприятия по предотвращению влияния газов на работающих, исключению возможности образования взрывоопасных смесей газа с воздухом и появлению источников пламени, искр.

В помещениях, где возможно выделение газа, запрещается хранение смазочных масел, обтирочных и других горючих материалов.

Для курения должны быть выделены специальные места.

Содержание газов в воздухе определяют с помощью газоанализаторов и индикаторов типов МВ-2, ВЗГ, СГГ-2 и др.

При эксплуатации газовой скважины нужно следить за межколонными давлениями газа. Если в процессе эксплуатации давление в кольце начнет повышаться, что указывает на нарушение герметичности колонны, то скважину надо немедленно заглушить и принять меры к ремонту колонны.

На промыслах еще применяются контрольно-измерительные приборы с ртутным заполнением. Выделяющиеся ртутные пары вредно влияют на человека, вызывают острое я хроническое отравление. Пары ртути без запаха и вкуса и обнаруживаются только аналитическим путем. Предельно допустимая концентрация паров ртути в воздухе помещений 0,01 мг/м3. Разлитая ртуть должна быть собрана, а в помещении нужно произвести санитарную очистку.[3]

4.2 Требования безопасности при эксплуатации комплексных установок подготовки газа

Процессы ректификации

1. Ректификационные колонны и абсорберы перед пуском должны быть осмотрены, проверена исправность и готовность к работе всех связанных с ним аппаратов и трубопроводов, исправность контрольно-измерительных приборов, регуляторов температуры и давления в колонне, измерителей уровня жидкости в нижней части колонны, приемниках ректификата, рефлюксных емкостях и емкостях и емкостях остатка.

. Пуск ректификационной установки в работу должен производиться строго в установленной последовательности, которая должна быть указана в технологической инструкции.

. При работе ректификационных и абсорбционных колонн необходимо непрерывно контролировать параметры процесса и исправность аппаратуры.

. При разгонке полимеризующихся растворов необходимо следить, чтобы не создавались благоприятные условия для образования и отложения полимеров в колонне, выносных кипятильниках и трубопроводах.

. При разгонке низкокипящих растворов в сжиженных газов во избежание образования ледяных и кристаллогидратных пробок и в связи с этим повышения давления необходимо: контролировать количество влаги в сырье; подавать соответствующий растворитель в места, где систематически наблюдается отложение льда, или обогревать их.

. Во избежание интенсивной коррозии материала и образования самовозгорающихся на воздухе сульфидов железа необходимо брать пробу сырья, поступающего на перегонку или абсорбцию, для контроля количества находящихся в нем примесей. Предельно допустимое количество корродирующих примесей в сырье должно быть указано в инструкции.

. Герметичность вакуумных колонн и связанных с ними аппаратов необходимо проверять, контролируя количество кислорода, находящегося в неконденсирующихся продуктах после вакуум-насоса или вакуум-эжектора. При падении вакуума ниже предельно допустимого необходимо принять меры к остановке процесса.

. Для улавливания жидкости, которая может быть выброшена вместе с парами и газами через предохранительный клапан наружу, на линии за предохранительным клапаном следует иметь сепаратор. Уровень жидкости в сепараторе не должен превышать установленного предела.

. В зимнее время на открытых установках не реже одного раза в смену необходимо проверять состояние колонн, продуктопроводов, водяных линий, дренажных отростков на паропроводах и аппаратах, спускных линий и т.п.

В этот период следует обеспечить непрерывное движение жидкости в коммуникациях (особенно с водой) для предотвращения их разрыва. Спускные и дренажные линии, а также наиболее опасные участки для подачи воды, щелочи и других замерзающих жидкостей должны быть утеплены.

. Необходимо следить за тем, чтобы поврежденные участки теплоизоляции ректификационных колонн и их опор своевременно исправлялись. Теплоизоляция должна быть чистой, исправной и выполнена так, чтобы при утечках не могли образоваться скрытые потоки жидкости по корпусу.

. Чистку внутренней поверхности колонны (абсорбера) следует вести осторожно, неискрящими инструментами; если в колонне (абсорбере) предполагается наличие отложений, способных к самовозгоранию на воздухе, чистку следует ввести при постоянном смачивании поверхности водой или другой негорючей жидкостью.

. Отложения, снимаемые со стенок при очистке, необходимо складывать в металлическую посуду и удалять из помещения или с установки.

. При обнаружении утечек в ректификационных колоннах, абсорберах, теплообменниках и других аппаратах необходимо подать водяной пар или азот к местам пропуска для предотвращения возможного воспламенения или образования смесей взрывоопасных концентраций.

При возникновении аварии или пожара после снижения внутреннего давления в аппарате необходимо подать внутрь его водяной пар или азот.

. В цехах и на открытых ректификационных и абсорбционных установках необходимо проверять наличие первичных средств пожаротушения и исправность имеющихся стационарных или полустационарных систем пожаротушения.

Колонны для разделения сжиженных газов, а также колонные аппараты большой высоты (40 м и более) должны быть обеспечены стационарными системами водяного или воздушно-пенного охлаждения и тушения, состояние и наличие которых следует систематически проверять.

Процессы адсорбции (абсорбции)

1. Пуск и остановку адсорбционной установки следует осуществлять после согласования с теми цехами, из которых производится отсос паров горючих растворителей.

. Адсорбционная установка должна обеспечивать непрерывный и полный отсос выделяющихся паров горючих растворителей от рабочих мест, оборудованных системами капсуляции.

. Запрещается подключать новые рабочие места, участки и цеха к линиям адсорбционной установки, если ее мощность не рассчитана на такое подключение. Подключение дополнительных объектов приведет к снижению эффективности действия работающих местных отсосов.

. Концентрацию паро- и газовоздушной смеси, поступающей к адсорберам, необходимо систематически контролировать. Величину рабочей концентрации и пределы ее колебаний следует указать в технологических инструкциях.

. Нельзя допускать загрязнения внутренней поверхности трубопроводов твердыми горючими отложениями или жидким конденсатом. Фильтры или циклоны для улавливания из транспортируемой смеси твердых примесей должны быть исправны и регулярно очищаться. Участки линий, где наблюдается образование конденсата, должны быть утеплены и иметь уклон для стекания жидкости.

. Линии паро- или газовоздушной смеси необходимо надежно защищать огнепреградами. Число огнепреградителей, их вид и размеры огнегасящей насадки должны соответствовать проектным данным. Не разрешается эксплуатировать установку без огнегасителей или с огнепреградителями, не соответствующими проекту.

. Исправность огнепреградителей и мембранных клапанов необходимо регулярно проверять. Сроки проверки огнепреградителей и очистки огнегасящей насадки должны быть указаны в цеховой инструкции.

. Адсорберы должны исключать возможность самовозгорания находящегося в них активированного угля.

. Воздушная труба, позволяющая выбрасывать транспортируемую смесь в атмосферу при аварии или пожаре в адсорбционном цехе, не должна заглушаться. Следует систематически проверять ее готовность к работе.

. При перерыве в работе нельзя оставлять адсорберы с поглощенными горючими веществами, а также с разогретым углем. В этом случае необходимо отогнать из угля горючее вещество и охладить уголь.

. Необходимо проверять наличие и исправность стационарной системы подачи воды для тушения горящего угля в адсорберах, наличие первичных средств пожаротушения, а также исправность имеющихся стационарных систем пожаротушения в помещениях рекуперационной станции.[12]

4.3 Требования безопасности и охраны окружающей среды при использовании метанольных установок

Метанол (метиловый спирт), применяемый для борьбы с гидратообразованием, является сильным ядом. Он действует преимущественно на нервную и сосудистую системы, поражает слизистые оболочки дыхательных путей. Особенно сильно он действует на зрительный нерв и сетчатку глаза. Отравление метанолом возможно не только при попадании внутрь (тяжелое отравление, ведущее к слепоте и даже к смерти, вызывают I0 - 15 г. метанола), но и при вдыхании паров и проникновении через кожу. Предельно допустимая концентрация метанола в воздухе производственных помещений не более 50 мг/м3. К тому же метанол легко воспламеняется. К работе с метанолом допускаются лишь лица, прошедшие инструктаж.

На емкостях с метанолом (метанольная установка, тара) должны быть надписи “Яд”, “Огнеопасно”, а также знак, установленный для ядовитых веществ.

Использование метанола на газопромысловых объектах. В начале метанолопровода должен устанавливаться предохранительный клапан на максимально возможные рабочие давления и пропускную способность. С целью предотвращения отравления местности при разрывах метанолопровода необходима дополнительная установка обратных клапанов и задвижек на участках подъема трассы для предотвращения опорожнения метанолопровода.

Трасса метанолопровода обозначается реперными знаками. О ее прохождении должны быть поставлены в известность местные органы власти под роспись. Обход трассы метанолопровода должен производиться двумя обходчиками, оснащенными соответствующими противогазами, специальной одеждой и газоанализатором УГ-2.

При любом виде работ вблизи метанолопровода работающие должны пройти дополнительный инструктаж с записью в журнале. Запрещается производить строительные работы, складировать материалы, устраивать стоянки автомашин на расстоянии менее 20 м от метанолопровода без согласования с организацией, эксплуатирующей метанолопровод и получения наряда-допуска. Метанолопровод должен иметь катодную защиту.

До заливки метанола в метанольную установку необходимо проверить герметичность и исправность её узлов, фланцевых соединений и др., повреждения в метанольной установке должны немедленно устраняться.

Емкость метанольной установки следует заполнять медленно, исключая её перелив, при сливе-наливе необходимо использовать герметичные шланги. Метанол, налитый в метанольную установку, должен быть без остатка слит в газопровод, запрещается оставлять метанол в емкости метанольной установки, за исключением метанольниц непрерывного действия.

В случае аварийного пролива метанола, необходимо немедленно принять все меры с целью предотвращения попадания метанола в почву:

засыпать место разлива опилками или песком, которые затем собрать в герметичный контейнер, если потребуется, снять слой земли;

содержимое контейнера необходимо вывезти в безопасное в пожарном отношении место и сжечь или утилизировать другим способом.

В зависимости от технологических условий ввод метанола должен осуществляться по закрытой системе стационарными дозировочными насосами, стационарными метанольницами или передвижными насосными установками. В тех случаях, когда дозировочные насосы установлены в помещении, последнее должно иметь легко смываемые водой полы из непроницаемого для метанола материала с уклонами и стоками. В помещении должны иметься естественная и принудительная приточно-вытяжная вентиляция, гидранты, дежурные защитные средство (противогазы марки «А», резиновые сапоги, перчатки и фартуки), а также первичный противопожарный инвентарь. Двери в помещениях насосных должны пломбироваться.

Метанольные емкости при метанольных установках и дозировочных насосах должны герметично закрываться и иметь герметичную обвязку. Все заглушки и фланцевые соединения на емкостях и обвязке должны быть опломбированы и защищены от свободного к ним доступа.

По окончании закачки метанола применяющаяся насосная установка и присоединительные коммуникации должны быть промыты водой в двукратном объеме.

Ремонт трубопроводов, дозировочных насосов, аппаратуры, используемых при работе с метанолом, может производиться только после их полного опорожнения и промывки. [12]

Требования к конструкции ОПР. Конструкция блоков подачи реагента (метанола) и элементов линии подачи выполнена согласно «Технического регламента о безопасности машин и оборудования», утвержденного постановлением правительства РФ №753 от 15.09.2009г. Блоки БПМ должны соответствовать требованиям ОСТ 26.260.18-2004 «Блоки технологические для газовой и нефтяной промышленности. Общие технические условия».

Блоки БПМ должны быть разделены на секцию технологического оборудования и секцию КИП и ЭО герметичными перегородками. Корпуса (оболочки) секций КИП и ЭО всех вариантов блоков должны соответствовать степени защиты IР44, а корпуса (оболочки) электрощитов, размещенные в указанных секции должны отвечать требованиям степени защиты IР54 по ГОСТ 14254-96.

Все электрооборудование, установленное в технологических секциях БПМ должно быть по уровню взрывозащищенности не менее, чем взрывозащита вида «е» (электрооборудование повышенной надежности против взрыва) иметь сертификаты и соответствующую маркировку.

Для обеспечения вытяжки из технологических секций БПМ газовоздушных смесей (паров) должны применяться вентиляторы во взрывозащищенном исполнении. Блоки БПМ перед вводом в эксплуатацию должны быть оборудованы предприятием-изготовителем сигнализаторами взрывоопасных концентраций газовоздушной смеси (паров), которые формируют (выдают) предупреждающие и аварийный сигналы. При этом система блокировок и сигнализации в случае формирования предупреждающего сигнала должна включать вентилятор, а в случае формирования аварийного сигнала - отключить электропитание насоса - дозатора. Блок БПМ дополнительно должен быть оборудован автоматической пожарной сигнализацией и системой пожаротушения.[13]

Охрана окружающей среды. В производствах, где применяется метанол, должен осуществляться систематический контроль за состоянием воздушной среды. Остатки химических реагентов необходимо собирать и доставлять в специально отведенное место, оборудованное для утилизации или уничтожения.

При нормальном технологическом режиме и при кратковременных нарушениях работы комплект оборудования не должен загрязнять выбросами вредных веществ окружающую среду (воздух, воду, почву) выше норм установленных в нормативных документах.

Заключение

В выпускной квалификационной работе представлены материалы по текущему состоянию месторождения Узловое, которое является многопластовым газоконденсатным месторождением. В общей части представлен обзор месторождения, дана литолого-стратиграфическая характеристика, тектоническое строение, нефтегазоносность, свойства и состав пластовых флюидов месторождения Узловое, проведен анализ динамики начальных и остаточных запасов нефти по месторождению, представлена динамика фонда скважин.

На месторождении установлена газоносность 30 залежей в 17горизонтах, суммарные запасы газа по которым составляют 7694 млн. м3 категории С1 и 767 млн. м3 категории С2, газового конденсата С1 - 172 тыс. т кат. И С2 - 23 тыс. т.

Проектом опытно-промышленной эксплуатации выделено для разработки 25 эксплуатационных объектов с рентабельными для разработки запасами категории С1 от 53 до 2521 млн. м3. По состоянию на 01.01.2010 г. из месторождения отобрано газа 4348 млн. м3 и 80,7 тыс. т конденсата.

Основным компонентом газа является метан. Конденсат месторождения по групповому углеводородному составу относится к метаново-нафтеновому типу.

Газоконденсатное месторождение Узловое в разработке с 1997г. и находится в стадии падающей добычи.

Динамика добычи газа и конденсата показывает, что добыча газа заметно снижается, дебит скважин падает. Отсюда можно сделать вывод, что месторождение Узловое находится на последней стадии разработки. Никаких работ по увеличению дебита скважин на данный момент не производится.

В выпускной квалификационной работе мною была раскрыта тема «Методы предупреждения и ликвидации гидратообразования при эксплуатации газовых скважин месторождения Узловое».

В технологической части мною был рассмотрен вопрос об эксплуатации газовых скважин, конструкции добывающих газовых скважин, которая зависит от многих факторов, в частности, от пластового давления и отношения его к гидростатическому, геологических условий бурения, геолого-физических параметров пласта, физических свойств пластового флюида, разности давлений между пластами, технологических условий эксплуатации скважин, режима эксплуатации пласта, экономических соображений.

В выпускной квалификационной работе были рассмотрены условия эксплуатации газовых скважин, также рассмотрено основное оборудование, применяемое для добычи газа, осложнения при эксплуатации, причины гидратообразования и методы предупреждения и ликвидации гидратов, применяемые на месторождении Узловое. Также я произвел расчет условий гидратообразования.

Из всего изложенного можно сделать выводы о том, что в настоящее время технология борьбы с гидратообразованием широко изучена и направлена на снижение потребления ингибиторов гидратообразования (метанола), который является основным способом борьбы с гидратами.

Ввод метанола непосредственно на забой скважин, с помощью дозированной подачи, по сравнению с подачей метанола на забой и в газопровод, является наименее затратным по количеству расхода метанола и трудозатратам на обслуживание установок, следовательно применение этого способа экономически эффективнее.

Также использование метода закачки метанола на забой газовых скважин более выгодно с точки зрения техники безопасности и воздействия на окружающую среду.

Список литературы

1.   Акульшин А.И., Эксплуатация нефтяных и газовых скважин. - М., Недра, 1989. - 480 с.

2.      Гиматудинов Ш.К., Ширковский А.И. Физика нефтяного и газового пласта, - М.: Недра, 1983. - 311 с.

.        Карпеев Ю.С. Охрана труда в нефтяной и газовой промышленности. Вопросы и ответы: Справочник. - М.: Недра, 1991. − 399 с.

4. Муравьев В.М., Эксплуатация нефтяных и газовых скважин. - М., Недра, 1978. - 380 с.

5. Мирзаджанзаде А.Х., Ахметов И.М., Хасаев А.М., Гусев В.И. Технология и техника добычи нефти. - М.: Недра, 1986. - 382 с.

. Юрчук А.М. Расчеты в добыче нефти. - М.: Недра, 1974. - 246 с.

7. Бухгалтер Э.Б. Метанол и его использование в газовой промышленности. - М.: Недра, 1986, - 283 с.

. Истомин В.А., Сулейманов Р.С., Бурмистров А.Г. и др. Пути сокращения расхода ингибиторов гидратообразования в системах подготовки газа Уренгойского месторождения - М.: ВНИИЭгазпром, 1987. - 48 с.

. Истомин В.А. Предупреждение и ликвидация газовых гидратов в системах сбора и промысловой обработки газа и нефти. − М.: РАО ГАЗПРОМ, ВНИИГАЗ, 1990. - 213 с.

. Мальцева А.А. Технологическая схема разработки газоконденсатного месторождения Узловое. - Оха: фонды СахалинНИПИморнефть, 1996.

11. Бибик И.М., Переверзева Н.В. Отчёт о разработке газовых месторождений за 2009 г. Книга №2 - добыча газа, ГДИ. − Оха, 2010. - 68 с.

12. Руководящий документ, «Правила безопасности в нефтяной и газовой промышленности РД 08-200-98» Утверждено Постановлением Госгортехнадзора России №24 от 9 апреля 1998.

. Официальный сайт ООО «Синергия-Лидер» г. Пермь, − www.sinlid.ru.

Похожие работы на - Методы предупреждения и ликвидации гидратообразования при эксплуатации газовых скважин на примере месторождения Узловое

 

Не нашли материал для своей работы?
Поможем написать уникальную работу
Без плагиата!
Без нейросетей!