Кислотный гидравлический разрыв пласта

  • Вид работы:
    Курсовая работа (т)
  • Предмет:
    Геология
  • Язык:
    Русский
    ,
    Формат файла:
    MS Word
    1,25 Мб
  • Опубликовано:
    2014-03-08
Вы можете узнать стоимость помощи в написании студенческой работы.
Помощь в написании работы, которую точно примут!

Кислотный гидравлический разрыв пласта















Кислотный гидравлический разрыв пласта

1. Технология кислотного гидравлического разрыва пласта

В процессе КГРП при давлении, превышающем давление разрыва, в скважину последовательно закачивается высоковязкая жидкость и раствор соляной кислоты. Высоковязкая жидкость (жидкость разрыва), с одной стороны, образует магистральную трещину, а с другой, заполняет каверны и естественные трещины с высокой проницаемостью, не позволяя попадать в них кислоте, поступающей следом. Закачиваемый раствор соляной кислоты разъедает породу вдоль направления трещины преимущественно в низкопроницаемых нефтенасыщенных прослоях, так как высокопроницаемые заполнены гелем. Закачка следующих пачек жидкости разрыва и раствора соляной кислоты еще больше увеличивает протяженность трещины и, таким образом, поверхность фильтрации. Тем самым создаются условия для приобщения ранее неработающих пропластков и повышения производительности скважин. В данной технологии расклинивающие материалы, как правило, не применяются, так как после взаимодействия с соляной кислотой трещина имеет развитую поверхность и смыкается хаотичными выступами, создавая систему сообщающихся гидродинамических каналов, через которые идет фильтрация нефти.

Механизм взаимодействия терригенных и карбонатных пород с кислотами существенно различается. В последнем случае соляная кислота растворяет карбонатные породы с образованием продуктов, которые растворяются в остаточной кислоте. После обработки без затруднений обеспечиваются приток этих продуктов в околоскважинную зону и их подъем на поверхность.

При кислотных обработках терригенных коллекторов частицы пластовых пород осаждаются в порах пласта. Эти частицы нерастворимы в остаточной кислоте, и после обработки от них трудно очистить пласт. При контакте с нефтью они могут образовывать шлам или эмульсию, загрязняющие пласт и сводящие на нет улучшение проницаемости в результате кислотной обработки. В результате этого кислотный ГРП терригенных коллекторов не получил широкое применение.

При обработках соляной кислотой применяются различные добавки: ингибиторы коррозии, ингибиторы осадкообразования, деэмульгаторы, понизители скорости реакции, ПАВ, число которых достигает 5 и более компонентов. Они решают различные проблемы, возникающие при применении кислоты. Это высокое значение коррозии, межфазного натяжения на границе с углеводородами, а также вторичное осадкообразование, повышенная скорость реакции с водонасыщенной породой и образование осадков и эмульсий с пластовыми флюидами.

2. Жидкости разрыва, применяемые при кислотном ГРП


Функции жидкости разрыва связаны с раскрытием и гидравлическим расширением естественных, а также с образованием искусственных трещин.

Важной характеристикой для жидкостей разрыва является условная вязкость. Условная вязкость, прежде всего для всех неньютоновских жидкостей, изменяется во время гидроразрыва, следовательно, необходимо предусматривать, в частности на стадии проектирования ГРП, изменение условной вязкости в соответствии с изменениями градиента сдвига. Поэтому реологические свойства являются определяющими в характеристике жидкостей разрыва.

К важным характеристикам относятся фильтрационные свойства ЖР. Фильтрация жидкости может негативно повлиять на проницаемость породы, что снизит эффективность процесса ГРП.

В качестве жидкости разрыва в процессе кислотного ГРП применяются нефтекислотные эмульсии, а также водные или углеводородные гели без применения деструкторов, поскольку разрушение гелей происходит за счет взаимодействия с кислотой.

2.1 Гели


Гели - структурированные дисперсные системы, состоящие из высокомолекулярных и низкомолекулярных веществ. Наличие трёхмерного полимерного каркаса (сетки) сообщает гелям механические свойства твёрдых тел, таких как отсутствие текучести, способность сохранять форму, прочность и способность к деформации.

Гели состоят, по крайней мере, из двух компонентов, один из которых образует непрерывную трёхмерную макромолекулярную сетку, выступающую в роли каркаса, пустоты в которой заполнены низкомолекулярным растворителем - дисперсионной средой.

Хорошими гелеобразователями являются полимеры, которые нашли широкое применение в нефтяной промышленности, в частности при осуществлении процессов интенсификации добычи нефти. При кислотном ГРП полимерный компонент замедляет реакцию соляной кислоты с карбонатной породой, что увеличивает глубину проникновения кислоты, а также повышает вязкость жидкости разрыва для увеличения эффективности преодоления прочности породы на разрыв.

К полимерам, используемым в процессах повышения нефтеотдачи и интенсификации добычи нефти, предъявляются следующие требования:

·        Хорошая загущающая способность;

·        Стойкость к сдвиговой деструкции;

·        Высокая растворимость в воде при различных температурах, составах электролита и в присутствии стабилизирующих агентов;

·        Низкая степень удерживания (менее 20 мг/г). Все полимеры адсорбируются на породу пласта в той или иной степени, удерживание может быть обусловлено закупоркой, улавливанием, фазовым разделением или другими механизмами;

·        Химическая стойкость;

·        Биологическая устойчивость, т.е. способность не разрушаться под действием бактерий.

Гели на водной основе с использованием гидроксипропилгуара (ГПГ):

Гаур является природным полимером, получаемым из семян растения Guar plant Cyamopsis tetragonolobus L. Taub (семейство бобовых). Структура гуара представлена на рис. 1.

Рис. 1. Структура гуара

Основным преимуществом природных растительных полисахаридов является низкая стоимость, однако их технологические показатели невысоки, что сужает область применения. Поэтому используют химически модифицированные производные гуара, обладающие комплексом необходимых технологических свойств.

Одной из таких производных является гидроксипропилгуар, получаемый из гуара вследствие взаимодействия с пропиленоксидом. Эта реакция делает возможной замену в некоторых боковых цепях OH на - O-CH2-CHOH-CH3, что способствует стабильности геля при повышенных температурах.

Рис. 2. Структурная формула гидроксипропилгуара

В зависимости от характеристик пласта ГПГ применяют совместно с боратным сшивателем (улучшение проницаемости пласта после гидроразрыва), с титановым сшивателем (улучшение контроля жидкости), а также со сшивателями на основе алюминия, бората, хрома и титана (содержимое внутренних буферных систем для легкости перемешивания и самодиспергирования гелеобразователя).

Механизм сшивания представлен на рис. 3.

Рис. 3. Механизм сшивания

Соли бората реагируют с гидроксипропилгуаром, формируя комплекс «а» (рис. 3, а). Когда раствор полимера сконцентрируется таким образом, что его молекулы наслаиваются, комплекс «а» вступает в реакцию с наслоенным полимером и они оба сшиваются (рис. 3, б). Поскольку каждое полимерное звено содержит много цисгидроксилов, то полимер может быть сшитым при более чем одной решетке. Развивается сетка с очень большой молекулярной массой, которая предопределяет образование высоковязкой системы.

Нагревание такой жидкости разрыва выше 93оС обусловливает некоторую потерю вязкости вследствие частичного разрушения полимера. Сшивание боратами носит обратный характер. Разрушение и образование поперечных связей следует друг за другом. Высокие скорости сшивания и вязкость геля служат причиной больших потерь давления на трение во время нагнетания геля в скажину. Поэтому применять сшитые боратом гели не рекомендуют при температурах более 93-107оС.

Таблица 1. Реологические характеристики водных растворов ГПГ (при скорости сдвига 510 с-1)

Концентрация полимера, %

Показатели


Пластическая вязкость, мПа·с

Динамическое напряжение сдвига, дПа

Коэффициент нелинейности n

Коэффициент консистентности k

0,2

7,12

1,5

0,91

0,014

0,3

10,75

22,5

0,63

0,165

0,4

14,13

48,7

0,52

0,512

0,5

14,25

78,0

0,4

1,33


Гели на водной основе с использованием ксантана:

К полимерам, которые наиболее полно отвечают предъявляемым требованиям, относятся микробные полисахариды, сохраняющие вязкостные свойства в растворах кислот. Таким образом, представляется возможным рассматривать их в качестве загустителей кислотных систем с целью их применения в технологиях кислотного гидравлического разрыва пласта.

Особенностью микробных полисахаридов является наличие в их составе большого числа функциональных химически активных групп: гидроксильных, карбоксильных, карбонильных, ацетатных и др. Наличие этих групп в составе их молекул открывает возможность их химической модификации с целью придания им ценных в практическом отношении свойств: поверхностно активных, гелеобразующих, антикоррозионных и др.

Зарубежный опыт показывает, что современная технология получения биополимеров позволяет организовать их производство непосредственно на промыслах. Примечательно, что наряду с химическими фирмами выпуск биополимеров освоен непосредственно такими нефтедобывающими компаниями как Standart Oil, Shell, Petroferm.

Из всех микробных полисахаридов, используемых в добыче нефти, наибольшей совокупностью требуемых технологических качеств обладает ксантан - экзополисахарид фитопатогенных бактерий Xanthomonas Campestris.

Основная цепь ксантана построена аналогично целлюлозе, а в ответвлениях цепи находится трисахарид, а остатки глюкуроновой кислоты и кислые пировиноградные группы придают молекулам ксантана анионный характер. Первичная структура ксантана представлена на рис. 4.

Рис. 4. Первичная структура ксантана

В результате взаимодействия боковых цепочек между собой и с основной цепью образуются высшие структуры ксантана, обусловливающие его свойства (молекулярная масса ксантана варьируется от 2·106 до 15·106). В неионизованных растворах или при температурах выше 75 °С молекулы ксантана приобретают скрученную конформацию, в которой боковые звенья завернуты вокруг основной цепи. Введение в такой раствор даже незначительного количества катионов приводит к формированию молекулами ксантана двойной спирали с ионами металла внутри.

Этот биополимер имеет ряд преимуществ: увеличивает вязкость раствора уже при небольших концентрациях; имеет хорошую тиксотропность и псевдопластичность; устойчив к окислению и ферментативному разложению; хорошо совместим со щелочами, кислотами, солями, поверхностно-активными веществами, биоцидами, синтетическими и органическими загустителями, безвреден как для окружающей среды, так и для человека. Особый интерес представляет свойство ксантановых полимеров не реагировать на рН среды.

Таблица 2. Значения кинематической вязкости (при 20оС) ксантановых загустителей в зависимости от их концентрации в 12%-ной ингибированной соляной кислоте

Загуститель

Кинематическая вязкость (при 20оС) растворов ксантанов в 12%-ной ингибированной соляной кислоте, сСт


0,25%-ный раствор

0,5%-ный раствор

Xanthan GUM XC-CH

3,61

15,46

Xanthan GUM XCT

11,35

72,20

Ксантановая камедь

18,90

193,70

Xanthan 4

9,60

162,50

Xanthan GUM E-415

21,42

193,04



Были изучены вязкостные свойства ксантанов пяти марок (Хаnthan GUM ХС-СН, Xanthan GUM ХСТ, Ксантановая камедь, Xanthan 4, Xanthan GUM Е-415), которые можно использовать в скважинах с пластовой температурой вплоть до 120 °С. Для этого были определены значения кинематической вязкости ксантановых загустителей с концентрациями 0,25 и 0,5% в 12%-ной ингибированной соляной кислоте на вискозиметре ВПЖ-2. Полученные результаты представлены в табл. 2.

Таким образом, была выявлена зависимость кинематической вязкости (при 20 °С) исследуемых ксантановых загустителей от их концентрации в 12%-ной ингибированной соляной кислоте и доказано, что ксантаны эффективно загущают кислоту. График (рис. 5) наглядно показывает, что при концентрации ксантанов 0,25% мас. значения кинематической вязкости кислотных растворов исследуемых биополисахаридов близки и варьируются в пределах от 3,61 до 21,42 сСт. С повышением концентрации биополисахаридов до 0,5% мас. кинематическая вязкость растворов заметно увеличивается: для растворов Ксантановой камеди и Xanthan GUM Е-415 - в 10 раз (до 193 сСт), Xanthan 4 - в 16 раз (до 162 сСт). Загустители Xanthan GUM ХС-СН и Xanthan GUM ХСТ при увеличении концентрации до 0,5% мас. в растворе 12%-ной соляной кислоты не дали значительного увеличения кинематической вязкости.

Рис. 5. Зависимость кинематической вязкости растворов ксантановых загустителей от их концентрации в 12%-ной ингибированной соляно кислоте

Загущенные кислотные системы, содержащие 0,5% мас. выбранных ксантанов в 12%-ной ингибированной соляной кислоте, были протестированы на вискозиметре Rheotest-2 при различных скоростях сдвига. Полученные результаты динамической вязкости кислотных составов в зависимости от скорости сдвига представлены в табл. 3.

Таблица 3. Значения динамической вязкости (при 20 °С) растворов 12%-ной ингибированной HCl, содержащих 0,5% мас. ксантановых загустителей, в зависимости от скорости сдвига

Загуститель

Динамическая вязкость 0,5%-ного раствора загустителя в 12%-ной ингибированной HCl, мПа-с, при скорости сдвига, с-1

Показатель течения n

Мера консистенции жидкости k, Па·с


40

170

511



Ксантановая камедь

173,49

62,40

28,66

0,29

2,35

Xanthan 4

82,64

38,74

21,77

0,48

0,57

Xanthan GUM Е-415

150,82

58,63

28,58

0,35

1,68


Следует отметить, что показатель неньютоновского течения варьируется в пределах 0,29 (Ксантановая камедь) - 0,48 (Xanthan 4), что, в свою очередь, свидетельствует о высокой структурированности изучаемых систем.

Из графика, представленного на рис. 6, видно, что с увеличением скорости сдвига динамическая вязкость 0,5%-ных солянокислотных растворов ксантанов падает, причем в интервале 1,5-170 с-1 падение вязкости значительно и составляет порядка 100 мПа·с для Ксантановой камеди и Xanthan GUM Е-415 и около 50 мПа·с для Xanthan 4. Отсюда следует вывод, что кислотные составы, загущенные полимерами ксантанового ряда, являются псевдопластичными жидкостями. В течение нескольких секунд после снятия напряжения структура растворов быстро восстанавливается, что свидетельствует о наличии тиксотропных свойств.

Рис. 6. Зависимость динамической вязкости 0,5%-ных растворов ксантановых загустителей в 12%-ной ингибированной соляной кислоте от скорости сдвига

Из представленных данных следует, что полимеры ксантанового ряда обладают хорошей загущающей способностью, химической стойкостью, хорошей структурированностью, псевдопластичностью и тиксотропностью.

Таким образом, по реологическим характеристикам исследованные ксантановые полисахариды могут быть использованы в качестве загустителей кислотных растворов для КГРП.

Для предложения полученных высоковязких кислотных составов в качестве технологических жидкостей в процессе КГРП должны быть изучены реологические свойства этих растворов при различных температурах, в т. ч. и после нейтрализации соляной кислоты, а также исследованы их фильтратоотдача и деструкция.

Гели на углеводородной основе применяют для разрывов в породах, чувствительных к воде, с высоким содержанием глин. В состав таких гелей входят гелеобразователь, сшиватель, активатор. Нефть или дизтопливо, керосин или газоконденсат используются как углеводородная среда. В качестве деструктора выступает соляная кислота.

В промысловой практике распространено применение углеводородных гелей на основе солей органических ортофосфорных эфиров. Их получают растворением в углеводородных жидкостях гелеобразователя - смеси алкилфосфорных эфиров, преимущественно диалкилфосфорных эфиров и активатора на основе соединений металлов, например железа. В результате взаимодействия между гелеобразователем и активатором образуются соли органических ортофосфорных эфиров (рис. 7), которые создают в углеводородах ассоциированные комплексы большой молекулярной массы (рис. 8). Наличием этих комплексов объясняется образование углеводородного геля, применяемого в процессе кислотного ГРП.

Рис. 7. Соль органического ортофосфорного эфира;

R1 и R2 - различные углеводородные радикалы, в качестве одного из них может быть водород; а=0-2; b=1-3; a+b=3; Me - атом металла.

Рис. 8. Ассоциированный комплекс

Реологические параметры такой системы при разных концентрациях и температурах измерялись на вискозиметре Rheotest-2 и представлены в таблице 4.

Таблица 4. Реологические параметры углеводородного геля

Температура исследования, оС

Концентрация, %

Реологические коэффициенты



40

110

170

511

n

k

40

0,8

188,78

111,72

82,45

43,91

0,43

1,56

60

1

458,51

242,27

167,44

77,82

0,26

5,01

90

1,2

269,70

180,44

142,98

88,23

0,25

5,60


Как следует из таблицы 4, полученные углеводородные гели в указанном диапазоне концентраций обладают высокой вязкостью при пластовых температурах 40-90оС.

При взаимодействии кислоты, карбонатной породы и геля образуются продукты разрушенного геля и ионы кальция, что приводит к образованию кальциевых солей алкилфорсфорных эфиров (рис. 9).Эти вещества являются поверхностно-активными и, адсорбируясь на карбонатной породе, препятствуют растворению ее кислотой, тем самым замедляют скорость реакции кислоты с породой и способствуют более глубокому проникновению кислотного состава в пласт.

Рис. 9. Кальциевые соли алкилфорсфорных эфиров

Известно, что при взаимодействии растворов соляной кислоты с нефтью, содержащей высокое количество смол и асфальтенов, происходит образование осадков и эмульсий, кольматирующих поровое пространство коллектора.

В результате взаимодействия углеводородного геля и соляной кислоты и получения контролируемого количества осадков асфальтенов и смол образуется слой, обладающий селективным изолирующим воздействием на водонасыщенные пропластки.

При закачке геля происходит снижение проницаемости образца пористой среды за счет высокой вязкости геля, но еще большее снижение проницаемости обеспечивается при последующей закачке кислоты, за счет образования осадков АСПО.

Углеводородные гели можно использовать при КГРП обводненных скважин. В таком случае, идея использования углеводородного геля для солянокислотного разрыва с изоляцией водопритоков заключается в образовании углеводородорастворимых осадков асфальтенов и смол при взаимодействии углеводородного геля и соляной кислоты в процессе поочередной закачки пачки углеводородного геля и порции соляной кислоты. Это позволит, с одной стороны образовать трещину ГРП, а с другой селективно изолировать ее от воды. Таким образом, целенаправленно изолируются от воды крупные трещины, в которые поступает углеводородный гель. При этом углеводородные осадки растворяются при разбавлении нефтью, что свидетельствует о селективности водоизоляции.

Таким образом, перспективы применения нефтяных гелей большие, несмотря на известные их недостатки, такие как пожарная и экологическая опасность.

2.2 Нефтекислотные эмульсии


Нефтекислотными эмульсиями называют эмульсии кислоты в нефти; внешней фазой этих систем является нефть, кислота же распределена в нефти в виде мелких отдельных капель-глобул. Агрегативная устойчивость нефтекислотных эмульсий обеспечивается оболочками адсорбированных поверхностно-активных веществ нефти. Это способствует более глубокой транспортировке кислотного раствора вглубь трещины и замедляет скорость реакции кислоты с карбонатной породой.

Нефтекислотные эмульсии при соотношении фаз водный раствор соляной кислоты / нефть от 40/60 до 60/40 имеют регулируемые физико-химические свойства в широком диапазоне величин. Вязкость нефтекислотной эмульсии находится в пределах от 150 мПа·с при скорости сдвига 500 с-1 до 450 при 5 с-1. Регулирование стабильности нефтекислотной эмульсии достигается путем изменения концентрации соляной кислоты. В диапазоне времени стабильности эмульсии от 0,5 до 3 суток концентрация соляной кислоты изменяется от 0,2 до 3%.

Основным недостатком нефтекислотных эмульсий, получаемых на основе обратных водонефтяных эмульсий, является то, что диапазон вязкостной стойкости эмульсий ограничен диапазоном проявления аномально высоких значений вязкости обратных водонефтяных эмульсий. Это существенно ограничивает глубину трещинообразования. Попытки расширить диапазон вязкостной стойкости за счет введения в состав жидкости разрыва эмульгаторов и загустителей, являющихся новыми компонентами для залежи, приводят к кольматации и пассивации поверхности трещины на стадии ГРП и резко снижают эффективность ГРП.

Добиться большей вязкостной стойкости нефтекислотных эмульсий без применения искусственных эмульгаторов представляется возможным за счет наноструктурирования эмульсий.

Наноструктурированные нефтекислотные эмульсии можно получить путем перемешивания нефти с раствором соляной кислоты. Водный раствор соляной кислоты получали путем растворения соляной кислоты в пластовой воде. Пластовую воду бесконтактно обрабатывали дистиллированной водой, которую подвергали электрохимическому структурированию до достижения и стабилизации максимального значения величины ее окислительно-восстановительного потенциала.

На рис. 10 представлены графики изменения эффективной вязкости наноструктурированных и стандартных нефтекислотных эмульсий в зависимости от содержания внутренней дисперсной фазы (водного раствора соляной кислоты) при скоростях сдвига 500 и 5 с-1. Измерения вязкости проводились на ротационном вискозиметре Реотест-2 в диапазоне изменения скоростей деформации, которые могут возникать в околоскважинной зоне пласта в процессе механической закачки технологических жидкостей в пласт.

Рис. 10. Графики изменения эффективной вязкости нефтекислотной эмульсии (ηэф) в зависимости от содержания внутренней дисперсной фазы (Свдф)

На графиках видно, что величина эффективной вязкости наноструктурированной нефтекислотной эмульсии значительно превышает вязкость стандартной нефтекислотной эмульсии. Кроме того, имеется возможность увеличения содержания внутренней дисперсной фазы в эмульсии до 0,8 объемных долей, что позволяет увеличить концентрацию кислоты в эмульсии и, соответственно, реакционную ее способность. Это позволяет повысить глубину проникновения в карбонатный пласт.

Путем бесконтактной обработки нефтекислотной эмульсии структурированной водой также можно регулировать агрегативную стабильность эмульсии. На рис. 11 представлен график изменения агрегативной стойкости нефтекислотной эмульсии в зависимости от числа циклов бесконтактной обработки при различных концентрациях соляной кислоты во внутренней дисперсной фазе.

Рис. 11. График изменения агрегативной стабильности (Тас) НКЭ в зависимости от числа циклов бесконтактной обработки (Nц) при различных концентрациях кислоты

График, приведенный на рис. 3, позволяет определить число циклов бесконтактной обработки нефтекислотной эмульсии для достижения заданного значения агрегативной устойчивости. Следует отметить, что предложенный способ регулирования времени жизни позволяет получить заданное время без уменьшения концентрации соляной кислоты, что, безусловно, повышает реакционную способность жидкости разрыва и увеличивает эффективную глубину проникновения в пласт.

3. Дополнительные реагенты

Основные проблемы использования кислоты - это высокие значения коррозии внутрискважинного оборудования, межфазного натяжения на границе с углеводородами, а также образование осадков и эмульсий с пластовыми флюидами. Необходимым является понижение скорости реакции кислоты с породой, с целью ее более глубокого проникновения в пласт.

Проблема коррозионной активности обычно решается добавлением в кислоту различных ингибиторов коррозии. Однако действие ингибиторов ограничено во времени и, как правило, они склонны вступать в реакцию с применяемыми ПАВ и другими добавками.

В таблице 5 показаны значения межфазного натяжения на границе кислотного раствора и керосина, а также скорость коррозии при использовании различных реагентов.

Табл. 5. Показатели межфазного натяжения и скорости коррозии кислотных составов

Кислотный состав

Межфазное натяжение, мН/м

Скорость коррозии, г/м2·ч

12%-ная HCl неингибированная

36,5

2,4

12%-ная HCl ингибированная

18,5

0,19

12%-ная HCl ингиб. + 4% Нефтенол К

0,16

0,18

0,10

0,28

12%-ная HCl ингиб. + 4% МЛ-81Б

0,11

0,36

Все три рассмотренных реагента обеспечивают значительное снижение поверхностного натяжения, что помогает кислоте проникать глубже в пласт, но «Нефтенол К» не ухудшает эффект, даваемый ингибитором коррозии, в отличии от «Неонола 9-10» и «МЛ-81Б».

Влияние различных реагентов на образование устойчивых эмульсий, на выпадение осадков будет сильно варьироваться в зависимости от условий отдельно взятого месторождения. В силу этого, необходимо проводить тщательную проверку совместимости пластовых флюидов и применяемых реагентов перед их использованием на промысле.

4. Оценка параметров трещины при проведении кислотного ГРП в скважинах, вскрывающих карбонатные пласты


При кислотном гидравлическом разрыве пласта размеры трещины определяются взаимодействием кислоты с карбонатной породой на поверхности трещины. Параметры трещины, а следовательно, и эффективность ГРП, определяются количеством кислоты и фильтрацией ее через стенки трещины в пласт. Схема трещины ГРП приведена на рисунке 12.

Рис. 12. Схема вертикальной трещины

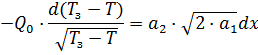
Соотношение утечки кислоты из трещины в пористую среду и объема растворенной породы может быть записано в следующем виде:


где m - пористость, доли единицы;

H - высота трещины, м;

b - половина ширины трещины на расстоянии x от ее начала, м;

x - текущее значение длины трещины, м;

β - коэффициент, характеризующий растворяющую способность кислоты;

Qy - расход кислоты через поверхности трещины, м3/с;

t - время фильтрации кислоты в точке, с.

При плоско-параллельном движении объем утечки кислоты из трещины в пласт на элементе длины трещины dx может быть определен из выражения:


где K - проницаемость пласта, м2;

µ - вязкость продуктов реакции кислоты с породой, Па·с;

ΔP - перепад давления в зоне, занятой продуктами реакции, Па;

S - расстояние от стенки трещины до контура раздела продуктов реакции и пластового флюида, м.

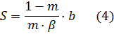
Растворяющая способность определяется по формуле:


где µCaCO3, µHCl - молекулярная масса углекислого кальция и хлористого водорода, кг/моль;

ρк, ρп - плотность кислоты и растворяемой породы, кг/м3;

C - концентрация кислоты, доли единицы.

Соотношение между объемом растворенной породы и объемом пор, занятых продуктами реакции, определяется следующим выражением:


Откуда может быть получена следующая зависимость размера зоны, занятой фильтратом, от ширины трещины:


Совместное решение уравнений (1), (2) и (4) позволяет получить уравнение изменения ширины трещины во времени при фильтрации кислоты через ее стенки


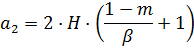
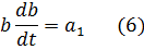
Обозначив правую часть уравнение (5) через a1, запишем:


и после интегрирования получим


Константа C1 находиться из начальных условий при t=0 и b=0, C1=0.

Окончательно имеем


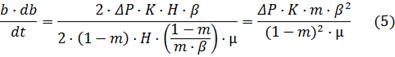
Для установления связи между шириной трещины, временем закачки и темпом закачки кислоты используется уравнение материального баланса между объемом закачанной кислоты с учетом объема кислоты, наполняющей трещину, и объема растворенной породы, характеризующего формирование трещины.

Темп закачки кислоты принимается постоянным:


Обозначив


получим


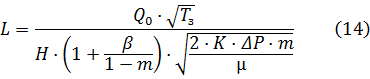
где Q0 - расход кислоты или темп закачки, м3/с;

T - текущее время закачки или время продвижения фронта кислоты в трещине, с.

Тогда время фильтрации кислоты из трещины в пласт определится как разница времени закачки и текущим временем закачки


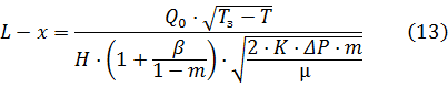
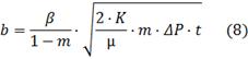
Подставляя b из (10) в (8), получим


Приняв Т=Тз, а х равным конечной длине трещины, определим постоянную интегрирования:


Тогда решение уравнения запишется в следующем виде:


При х=0; Т=0 получим зависимость длины трещины от времени закачки:


Подставляя в выражение (13) значение времени фильтрации t из (11) и полуширину трещины b из (8), получим распределение полуширины трещины по ее длине


Полученные зависимости (14), (15) позволяют оценить расход кислоты с учетом пористости и проницаемости пласта и растворяющей способности кислоты для получения трещины заданной длины и ширины.

Заключение

кислотный пласт разрыв гидравлический

Были рассмотрены разновидности и характеристики применяемых жидкостей разрыва. Гели, применяемые в качестве жидкостей разрыва, уже при небольших концентрациях гелеобразующего компонента способны развивать значительную вязкость. При наличии пород, чувствительных к воде, с высоким содержанием глин, следует применять гели на углеводородной основе. Преимуществом использования нефтекислотных эмульсий в качестве жидкости разрыва является возможность достижения высоких значений вязкости при определенных соотношениях внутренней и внешней фаз эмульсии, однако нефтекислотные эмульсии значительно уступают по стабильности гелям.

При реализации кислотного ГРП необходимо уделять внимание коррозии оборудования и осадкообразованию, а также проверять совместимость используемых реагентов с пластовыми флюидами.



Список литературы

1)    Байков Н.М., Новые технологии кислотных обработок продуктивных пластов // Нефтяное хозяйство. - 2003. - №3. - С. 114

2)      Бронштейн И.Н., Семендяев К.А., Справочник по математике для инженеров и учащихся ВТУЗов. - М: Наука, 1980. - 706 с.

)        Горниковский И.Т. и др., Краткий справочник по химии. - Киев: Наукова думка, 1974. - 990 с.

)        Дерябин В.В., Титов В.И., Гарейшина А.З. и др., Биополимеры для нефтяной промышленности // (Обзор. информ.) Сер. «Техника и технология добычи и обустройство нефтяных месторождений». - М.: ВНИИОЭНГ, 1990. - 39 с.

)        Ибатуллин Р.Р., Глумов И.Ф., Хисаметдинов М.Р. и др., Биополимеры - полисахариды для увеличения нефтеотдачи пластов // Нефтяное хозяйство. - 2006 - №3. - С. 46-47

)        Иванов С.И., Интенсификация притока нефти и газа к скважинам. - М.: ООО «Недра-Бизнесцентр», 2006. - С. 140-142, 146

)        Козак Н., Микробный полисахарид - ксантан // Полимеры-деньги. - 2006, февраль. - №1 (№15)

)        Магадова Л.А., Лекция по кислотным обработкам на ФПК. - М.: РГУНГ им. И.М. Губкина, 2012.

)        Магадова Л.А., Пономарева В.В., Давлетшина Л.Ф., Мухин М.М., Исследование ксантановых загустителей, применяемых в технологиях кислотного гидравлического разрыва пласта // Технологии нефти и газа. - 2010. - №2. - С. 25-28

)        Магадова Л.А., Силин М.А., Губанов В.Б., Магадов В.Р., Демяненко Н.А., Солянокислотный разрыв в сочетании с изоляцией водопритоков // SPE 117366. - 2008. - С: 9

)        Магадова Л.А., Силин М.А., Давлетшина Л.Ф. и др., Применение ксантановых загустителей в процессах кислотных обработок карбонатных коллекторов // Время колтюбинга. - 2008. - №3 (025). - С. 23-25

)        Магадова Л.А., Силин М.А., Магадов В.Р., Малкин Д.Н., Дьяченко В.С., Исследование углеводородных гелей на основе железных органических ортофосфорных эфиров, применяемых в технологии направленной кислотной обработки карбонатного пласта // Территория нефтегаз. - 2011. - №6. - С: 37

)        Маскет М., Физические основы технологии добычи нефти. - М.: Гостоптехиздат, 1953. - 606 с.

)        Мирсаетов О.М., Федоров Ю.В., Получение и применение наноструктурированных нефтекислотных эмульсий для интенсификации добычи нефти // Международный форум по нанотехнологиям: материалы II Междунар. Форума по нанотехнологиям (6-8 октября 2009; Москва). - М.: ГК «Роснанотех», 2009. - С: 393-395

)        Низова С.А., Чепикова М.В., Водорастворимые полимеры. Структура, получение, свойства, применение // Материалы учебного пособия к лекциям. - М.: РГУНГ им. И.М. Губкина, 2011.

)        Орлов Г.А., Кендис М.Ш., Глущенко В.Н., Применение обратных эмульсий в нефтедобыче. - М.: Недра, 1991. - С. 210

)        Середа Н.Е., Нифантов В.И., Малышев С.В., Оценка параметров трещины при проведении кислотного ГРП в скважинах, вскрывающих карбонатные пласты // Строительство нефтяных и газовых скважин на суше и на море. - 2005. - №7. - С. 17-19

)        Силин М.А., Магадова Л.А., Пономарева В.В., Давлетшина Л.Ф., Мухин М.М., Малкин Д.Н., Мишкин А.Г., Разработка состава, содержащего многофункциональное ПАВ, для кислотного гидравлического разрыва пласта в карбонатных коллекторах // Технологии нефти и газа. - 2009. - №4. - С. 47-48

)        Силин М.А., Магадова Л.А., Пономарева В.В., Давлетшина Л.Ф., Мухин М.М., Исследование ксантановых загустителей, применяемых в технологиях кислотного гидравлического разрыва пласта // Технологии нефти и газа. - 2010. - №2. - С. 25

)        Федоров Ю.В., Повышение эффективности технологии кислотного гидравлического разрыва пласта // Нефтепром. дело. - 2010. - №11. - С. 39

Похожие работы на - Кислотный гидравлический разрыв пласта

 

Не нашли материал для своей работы?
Поможем написать уникальную работу
Без плагиата!
Без нейросетей!